Road Passenger Load Probability Prediction and Path Optimization Based on Taxi Trajectory Big Data
Abstract
1. Introduction
2. Literature Review
3. Data Preparation and Data Preprocessing
3.1. Data Description
3.2. Data Preprocessing
3.2.1. Deletion of Outliers
3.2.2. Handling Outliers and Missing Values
3.2.3. Filtering Anomalous GPS Tracks
3.2.4. Extraction of Drop-Off and Pick-Up Points
3.2.5. OD Map-Matching
4. Methods and Models
4.1. Mining and Evaluation Methods for Pick-Up and Drop-Off Points
4.2. BiLSTM Model
4.3. Taxi Passenger-Seeking Route Recommendation Model
5. Experimental Results
5.1. Mining of Passenger Search Start and End Points
- (1)
- During the morning rush hour, loading points are concentrated in Xindu and Wuhou districts;
- (2)
- During the morning peak hour, the highest number of passengers carried on weekdays was at Exit C of Chengdu North Railway Station Metro Station, the highest number of passengers carried on non-weekdays was at Xinnanmen Metro Station, and the number of passengers carried by taxis on non-weekdays was significantly higher than that on weekdays, with a difference of 145 passengers between the two peaks in the morning peak;
- (3)
- During the morning peak hour, weekday loading points come from a complex source, originating from transportation hubs, commercial districts, and hospitals, and non-weekday loading points are generally at transportation hubs.
- (1)
- During the midday peak hour, loading points are concentrated in Jinjiang, Wuhou, and Xindu districts;
- (2)
- During the midday peak hour, the highest number of passengers carried on weekdays was at the Commercial Grounds Shopping Center, the highest number of passengers carried on non-weekdays was at the North Train Station, and there was almost no difference in the highest point of the midday peak between weekdays and non-weekdays;
- (3)
- During the midday peak hour, unlike the morning peak hour, the loading points are concentrated at the entrances of commercial districts and scenic spots, and the rest are at the transportation hubs, both on weekdays and non-weekdays.
- (1)
- Regardless of whether it is the morning, noon, or evening peak hours, passenger pick-up points are concentrated in Wuhou District, Jinjiang District, and Xindu District;
- (2)
- During weekdays, the types of passenger pick-up points during morning and evening peak hours are diverse, including locations such as hospital entrances, transportation hubs, and commercial areas. During non-working days, the noon and evening peak pick-up points are significantly concentrated in commercial areas;
- (3)
- Whether on weekdays or non-working days, Chengdu Shuangliu International Airport T2 Terminal and Chengdu North Railway Station consistently rank among the top in terms of taxi passenger numbers;
- (4)
- The number of taxi passengers on non-working days is approximately 22% higher than on weekdays. Taxi drivers can adjust their operating hours accordingly to optimize their service during these periods.
5.2. Road Passenger Point Statistics
5.3. BiLSTM Predicts the Probability of Carrying Passengers
5.4. Path Optimization Based on Passenger-Carrying Probability
5.4.1. Description of the Two-Stage Passenger-Seeking Problem
5.4.2. Path Optimization Scheme
5.4.3. Optimization Scheme Evaluation
6. Discussion
7. Conclusions
Author Contributions
Funding
Institutional Review Board Statement
Informed Consent Statement
Data Availability Statement
Conflicts of Interest
References
- Li, Z.; Tang, J.; Feng, T.; Liu, B.; Cao, J.; Yu, T.; Ji, Y. Investigating urban mobility through multi-source public transportation data: A multiplex network perspective. Appl. Geogr. 2024, 169, 103337. [Google Scholar] [CrossRef]
- Lai, Y.; Wang, Y. Short-term passenger flow prediction for rail transit based on improved particle swarm optimization algorithm. Iet Intell. Transp. Sy. 2022, 17, 825–834. [Google Scholar] [CrossRef]
- Na, X.; Zhang, Y.; Li, M. Demand prediction model of online car rental based on ODCG. J. Shandong Univ. 2023, 53, 48–56. [Google Scholar]
- Zhou, D.; Sun, J.; Gu, G.; Zhong, C.; Wang, T. Optimization method for taxi drivers’passenger search path basedon trajectory data. J. Chongqing Jiaotong Univ. 2024, 43, 83–90. [Google Scholar]
- Chou, K.S.; Wong, K.L.; Zhang, B.; Aguiari, D.; Im, S.K.; Lam, C.T.; Tse, R.; Tang, S.-K.; Pau, G. Taxi Demand and Fare Prediction with Hybrid Models: Enhancing Efficiency and User Experience in City Transportation. Appl. Sci. 2023, 13, 10192. [Google Scholar] [CrossRef]
- Liu, Z.; Jia, Y.; Zhu, X. Deployment strategy for car-sharing depots by clustering urban traffic big data based on affinity propagation. Sci. Program. 2018, 2018, 3907513. [Google Scholar] [CrossRef]
- Zhou, J.; Bai, X.; Fu, W.; Ning, B.; Li, R. Pedestrian intention estimation and trajectory prediction based on data and knowledge-driven method. IET Intell. Transp. Syst. 2024, 18, 315–331. [Google Scholar] [CrossRef]
- Dang, P. Research on the Analysis of Cab Passenger-Seeking Behavior and Path Planning Based on GPS Data. Master’s Thesis, Dalian University of Technology, Dalian, China, 2021. [Google Scholar]
- Tang, Y.; Jiang, C.; Zheng, B. Research on urban cab passenger travel characteristics based on multi-source data fusion—Taking Yueyang city as an example. Transp. Syst. Eng. Inf. 2018, 18, 45–51. [Google Scholar]
- Niu, D. Research on the Visualization of Cab GPS Trajectory Data. Master’s Thesis, Chang’an University, Xi’an, China, 2018. [Google Scholar]
- Si, Y.; Guan, H. A study on the choice of cab and internet express car for travelers based on latent variables. J. Chongqing Jiaotong Univ. 2022, 41, 46–50. [Google Scholar]
- Zhou, D.; Lou, B.; Gu, G.; Yuan, Q.; Zhong, C.; Zou, J.; Hu, Q. Mining of taxi passenger-seeking regions based on grid-optimised DBSCAN algorithm. SPIE Proc. Int. Conf. Traffic Eng. Transp. Syst. 2024, 13064, 776–781. [Google Scholar]
- Feng, H.; Yang, Z. Hot passenger routes mining based on spatial-temporal similarity clustering. J. Transp. Syst. Eng. Inf. Technol. 2019, 19, 94. [Google Scholar]
- Xie, D.; Jia, H.; Li, C.; Zhao, X. Mining and calculating travel time based on classification of grid traffic state. J. Transp. Syst. Eng. Inf. Technol. 2022, 22, 168. [Google Scholar]
- Verma, M.; Verma, A.; Narsaria, I. Measuring sentiments and attitude of people toward self-drive rental car services in Bangalore City, India. Transp. Lett. 2022, 14, 622–628. [Google Scholar] [CrossRef]
- Ku, Y.; Wu, P.; Ren, Q.; Wang, Y. The sequential pricing of ride-hailing system with rental service in the context of fleet electrification. J. Syst. Sci. Syst. Eng. 2024, 33, 77–105. [Google Scholar] [CrossRef]
- Yang, Q.; Qiao, Z.; Yang, B.; Shi, Z. Modeling and uncovering the passenger–taxi dynamic queues at taxi station with multiple boarding points using a Markovian environment. Physica A 2021, 572, 125870. [Google Scholar] [CrossRef]
- An, S.; Kuang, W. Research on taxi GPS data trajectoryization method. Sci. Technol. Eng. 2015, 15, 125–130. [Google Scholar]
- Du, J.; Meng, C.; Liu, X. Analysis of Urban Residents’ Travelling Characteristics and Hotspots Based on Taxi Trajectory Data. Appl. Sci. 2024, 14, 1279. [Google Scholar] [CrossRef]
- Zhao, F. Research on Path Planning Based on Floating Car Data. Master’s Thesis, Beijing Jiaotong University, Beijing, China, 2020. [Google Scholar]
- Liu, S.; Zhang, Y.; Wang, Z.; Gu, S. AdaBoost-Bagging deep inverse reinforcement learning for autonomous taxi cruising route and speed planning. Transp. Res. Part E 2023, 177, 103232. [Google Scholar] [CrossRef]
- Yang, L.; Wang, S.; Liang, F.; Zhao, Z. A holistic approach for optimal pre-planning of multi-path standardized taxiing routes. Aerospace 2021, 8, 241. [Google Scholar] [CrossRef]
- Yang, X.; Chen, Z.; Luo, Y. Optimizing taxi route planning based on taxi trajectory data analysis. In Databases Theory and Applications; Australasian Database Conference; Springer: Berlin/Heidelberg, Germany, 2023; pp. 44–55. [Google Scholar]
- Zhu, C.; Ye, D.; Zhu, T.; Zhou, W. Time-optimal and privacy preserving route planning for carpool policy. World Wide Web 2022, 25, 1151–1168. [Google Scholar] [CrossRef]
- Yang, G.; Yuan, E.; Zhang, X.; Zhou, H. A route planning mechanism for supermarket shuttle service based on taxi traces. Res. Transp. Bus. Manag. 2021, 38, 100502. [Google Scholar] [CrossRef]
- Hsieh, H.P.; Lin, F. Recommending taxi routes with an advance reservation–a multi-criteria route planner. Int. J. Urban Sci. 2022, 26, 162–183. [Google Scholar] [CrossRef]
- Zhao, L.; Song, Y.; Zhang, C.; Liu, Y.; Wang, P.; Lin, T.; Deng, M.; Li, H. T-GCN: A temporal graph convolutional network for traffic prediction. IEEE Trans. Intell. Transp. Syst. 2019, 21, 3848–3858. [Google Scholar] [CrossRef]
- Zhu, X.; Fan, Y.; Zhang, F.; Ye, X.; Chen, C.; Yue, H. Multiple-factor based sparse urban travel time prediction. Appl. Sci. 2018, 8, 279. [Google Scholar] [CrossRef]
- Shwe, T.; Aritsugi, M. Optimizing data processing: A comparative study of big data platforms in edge, fog, and cloud layers. Appl. Sci. 2024, 14, 452. [Google Scholar] [CrossRef]
- Huang, W.; Xiong, W.; Wang, X. PMMTss: A parallel multi-way merging-based trajectory similarity search for a million metro passengers. Appl. Sci. 2023, 13, 7988. [Google Scholar] [CrossRef]
- Zhang, X.; Zhou, S. WOA-DBSCAN: Application of whale optimization algorithm in DBSCAN parameter adaption. IEEE Access 2023, 11, 91861–91878. [Google Scholar] [CrossRef]
- Chen, Y.; Zhou, L.; Bouguila, N.; Wang, C.; Chen, Y.; Du, J. BLOCK-DBSCAN: Fast clustering for large scale data. Pattern Recognit. 2021, 109, 107624. [Google Scholar] [CrossRef]
- Zhang, H.; Yang, G.; Yu, H.; Zheng, Z. Kalman filter-based CNN-BiLSTM-ATT model for traffic flow prediction. Comput. Mater. Contin. 2023, 76, 1047–1063. [Google Scholar] [CrossRef]
- Zhai, Y.; Wan, Y.; Wang, X. Optimization of traffic congestion management in smart cities under bidirectional long and short-term memory model. J. Adv. Transp. 2022, 2022, 3305400. [Google Scholar] [CrossRef]
- Zhang, X.; Li, Y.; Zhou, X.; Luo, J. CGAIL: Conditional generative adversarial imitation learning—An application in taxi drivers’ strategy learning. IEEE Trans. Big Data 2020, 8, 1288–1300. [Google Scholar] [CrossRef]
- Qian, X.; Ukkusuri, S.V. Taxi market equilibrium with third-party hailing service. Transport. Res. B-Meth. 2017, 100, 43–63. [Google Scholar] [CrossRef]
- Ni, L.; Li, Q.; Zhang, Y.; Luo, W.; Sheng, V.S. LSADEN: Local spatial-aware community detection in evolving geo-social networks. IEEE Trans. Knowl. Data Eng. 2024, 36, 3265–3280. [Google Scholar] [CrossRef]
- Wu, Y.; Yuan, Z.; Chen, Q.; Xiao, Q.; Wang, W.; Wei, L. Taxi pooling method of urban integrated passenger transport hub with trajectory similarity. Transp. Syst. Eng. Inf. Technol. 2020, 20, 188–195. [Google Scholar]
- Espinoza-Molina, F.E.; Ortega, M.; Sandoval Escobar, K.E.; Vazquez Salazar, J.S. An integrated approach to the Spanish Driving Behavior Questionnaire (SDBQ) in the city of Cuenca, Ecuador. Sustainability 2024, 16, 4885. [Google Scholar] [CrossRef]
- Glenn, S.J.; Gentry-Lear, Z.; Shavlik, M.; Harms, M.J.; Asaki, T.J.; Baylink, A. Bacterial vampirism mediated through taxis to serum. Elife 2024, 12, RP93178. [Google Scholar] [CrossRef]
















| City | Taxi Passenger Volume |
|---|---|
| Chengdu | In 2020, the taxi passenger volume in urban Chengdu was 190.843 million, a year-on-year decrease of 12.7%. |
| Shanghai | The daily passenger volume for cruising taxis was 1.164 million trips per day, down 81% compared to the same period in 2019. |
| Beijing | Cruising taxis completed a passenger volume of 174 million trips in 2020, a decrease of 157 million trips from the previous year, representing a year-on-year decline of 47.4%. |
| Guangzhou | The daily passenger volume for cruising taxis was 1.06 million trips per day in 2020, a decrease of 34.9% compared to the same period in 2019. |
| Field Name | Example | Clarification |
|---|---|---|
| vehicle ID | 3637 | Unique identification number for each cab |
| longitudes | 116.367146 | GPS longitude, accurate to 0.1 m |
| latitude | 39.894387 | GPS latitude and longitude |
| timing | 9 August 2020, 23:56 | Time of trajectory data collection |
| carrying state | 1 | 1 for passengers, 0 for empty |
| tempo | 0 | GPS data at the time of data acquisition |
| angle of drift | 90 | Direction of vehicles |
| Number | Recommended Area | Supply/Demand Ratio | Road Density | Number of Passengers at Hot Spots |
|---|---|---|---|---|
| 1 | Chengdu North Railway Station | 1.166 | 14.868 | 319 |
| 2 | Sichuan University | 0.766 | 23.28 | 244 |
| 3 | Shuangliu Airport | 3.231 | 15.44 | 243 |
| 4 | Evergrande Plaza | 1.916 | 13.096 | 218 |
| 5 | Provincial Hospital | 1.987 | 11.204 | 189 |
| 6 | RT Mart | 0.6 | 13.752 | 156 |
| Setting Parameter | Description | Setting Value |
|---|---|---|
| Number of input nodes | Product of number of features and sliding window setting | 16 |
| Number of output nodes | Predicted road traffic | 1 |
| Number of hidden nodes | 4 hidden layers | 128, 64, 32, 16 |
| Learning rate | Dynamic learning rate: every 50 epochs, the learning rate is reduced to 1/10 of the original | 0.01 |
| Activation function | Set hidden node activation function | ReLU activation function |
| Regular optimization | Dropout regular optimization | Dropout = 0.5 |
| Gradient descent | Batch gradient descent sample value setting | Batchsize = 24 |
| Termination condition | Stop iteration if the change of loss value is less than the set value | 1 × 10−5 |
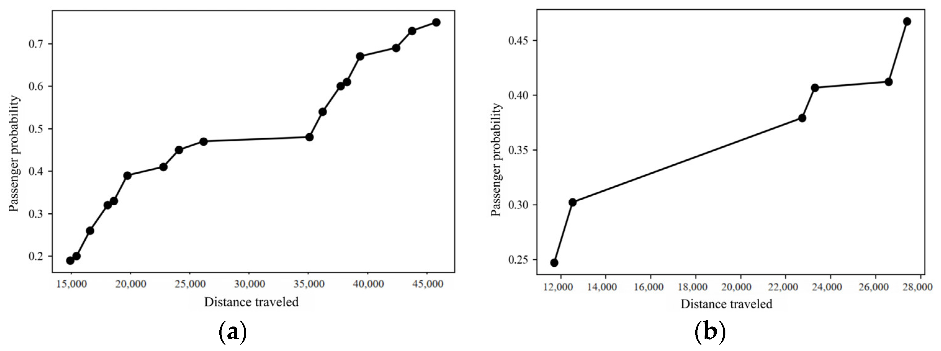
| Number | Pathfinder Program | Distance | Passenger Probability |
|---|---|---|---|
| 1 | [1, 3, 4, 5, 6, 11, 12, 16, 17, 18, 19, 20, 21, 22, 23] | 35,100.8909 | 0.48 |
| 2 | [1, 3, 4, 5, 6, 11, 12, 13, 15, 17, 18, 19, 20, 23] | 18,607.3807 | 0.33 |
| 3 | [1, 2, 3, 4, 5, 6, 11, 12, 13, 15, 17, 18, 19, 20, 23] | 19,736.1208 | 0.39 |
| 4 | [1, 3, 4, 5, 6, 11, 12, 16, 17, 18, 19, 20, 23] | 15,454.7593 | 0.2 |
| 5 | [1, 2, 3, 4, 5, 6, 11, 12, 13, 15, 17, 18, 19, 20, 21, 22, 23] | 39,382.2524 | 0.67 |
| 6 | [1, 2, 3, 4, 5, 6, 11, 12, 16, 17, 18, 19, 20, 23] | 16,583.4995 | 0.26 |
| 7 | [1, 2, 3, 4, 5, 6, 11, 12, 16, 17, 18, 19, 20, 21, 22, 23] | 36,229.6311 | 0.54 |
| 8 | [1, 3, 4, 5, 6, 11, 12, 13, 15, 17, 18, 19, 20, 21, 22, 23] | 38,253.5122 | 0.61 |
| 9 | [1, 4, 5, 6, 11, 12, 16, 17, 18, 19, 20, 23] | 14,924.7091 | 0.19 |
| 10 | [1, 4, 5, 6, 11, 12, 13, 15, 17, 18, 19, 20, 23] | 18,077.3304 | 0.32 |
| 11 | [1, 2, 3, 4, 5, 6, 7, 10, 11, 12, 13, 15, 17, 18, 19, 20, 21, 22, 23] | 43,745.7947 | 0.73 |
| 12 | [1, 4, 5, 6, 11, 12, 13, 15, 17, 18, 19, 20, 21, 22, 23] | 37,723.4619 | 0.6 |
| 13 | [1, 2, 3, 7, 8, 9, 10, 11, 12, 13, 15, 17, 18, 19, 20, 21, 22, 23] | 42,418.4076 | 0.69 |
| 14 | [1, 2, 3, 7, 8, 9, 10, 11, 12, 13, 15, 17, 18, 19, 20, 23] | 22,772.2761 | 0.41 |
| 15 | [1, 2, 3, 4, 5, 6, 7, 8, 9, 10, 11, 12, 13, 15, 17, 18, 19, 20, 23] | 26,158.0361 | 0.47 |
| 16 | [1, 2, 3, 4, 5, 6, 7, 8, 9, 10, 11, 12, 13, 15, 17, 18, 19, 20, 21, 22, 23] | 45,804.1676 | 0.75 |
| 17 | [1, 2, 3, 4, 5, 6, 7, 10, 11, 12, 13, 15, 17, 18, 19, 20, 23] | 24,099.6632 | 0.45 |
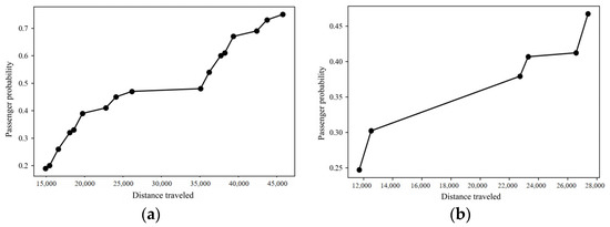
| Number | Pathfinder Program | Distance | Passenger Probability |
|---|---|---|---|
| 1 | [1, 2, 3, 11, 18, 19, 20, 22] | 22,737.5149 | 0.3791 |
| 2 | [1, 5, 6, 7, 8, 9, 13, 14, 15, 16, 21, 22] | 11,712.8585 | 0.2473 |
| 3 | [1, 5, 6, 7, 8, 9, 13, 14, 17, 20, 22] | 26,584.1065 | 0.4121 |
| 4 | [1, 2, 3, 11, 12, 13, 14, 17, 20, 22] | 27,399.0039 | 0.4670 |
| 5 | [1, 2, 3, 11, 12, 13, 14, 15, 16, 21, 22] | 12,527.7559 | 0.3022 |
| 6 | [1, 2, 3, 11, 12, 19, 20, 22] | 23,294.0059 | 0.4066 |
| Options | Basis | Pathway Program | Passenger Probability |
|---|---|---|---|
| Option 1 | Shortest path | [1, 4, 5, 6, 11, 12, 16, 17, 18, 19, 20, 23] | 0.19 |
| Option 2 | Highest passenger probability | [1, 2, 3, 4, 5, 6, 7, 8, 9, 10, 11, 12, 13, 15, 17, 18, 19, 20, 21, 22, 23] | 0.75 |
| Option 3 | Bus stops are the most | [1, 2, 3, 4, 5, 6, 7, 8, 9, 10, 11, 12, 13, 15, 17, 18, 19, 20, 21, 22, 23] | 0.75 |
| Proposed | Synthesized assessment | [1, 2, 3, 4, 5, 6, 7, 10, 11, 12, 13, 15, 17, 18, 19, 20, 21, 22, 23] | 0.73 |
| Options | Basis | Pathway Program | Passenger Probability |
|---|---|---|---|
| Option 1 | Shortest path | [1, 5, 6, 7, 8, 9, 13, 14, 15, 16, 21, 22] | 0.2473 |
| Option 2 | Highest passenger probability | [1, 2, 3, 11, 12, 13, 14, 17, 20, 22] | 0.4670 |
| Option 3 | Bus stops are the greatest | [1, 5, 6, 7, 8, 9, 13, 14, 17, 20, 22] | 0.4121 |
| Proposed | Synthesized assessment | [1, 2, 3, 11, 12, 13, 14, 17, 20, 22] | 0.4670 |
Disclaimer/Publisher’s Note: The statements, opinions and data contained in all publications are solely those of the individual author(s) and contributor(s) and not of MDPI and/or the editor(s). MDPI and/or the editor(s) disclaim responsibility for any injury to people or property resulting from any ideas, methods, instructions or products referred to in the content. |
© 2024 by the authors. Licensee MDPI, Basel, Switzerland. This article is an open access article distributed under the terms and conditions of the Creative Commons Attribution (CC BY) license (https://creativecommons.org/licenses/by/4.0/).
Share and Cite
Gu, G.; Lou, B.; Zhou, D.; Wang, X.; Chen, J.; Wang, T.; Xiong, H.; Liu, Y. Road Passenger Load Probability Prediction and Path Optimization Based on Taxi Trajectory Big Data. Appl. Sci. 2024, 14, 7756. https://doi.org/10.3390/app14177756
Gu G, Lou B, Zhou D, Wang X, Chen J, Wang T, Xiong H, Liu Y. Road Passenger Load Probability Prediction and Path Optimization Based on Taxi Trajectory Big Data. Applied Sciences. 2024; 14(17):7756. https://doi.org/10.3390/app14177756
Chicago/Turabian StyleGu, Guobin, Benxiao Lou, Dan Zhou, Xiang Wang, Jianqiu Chen, Tao Wang, Huan Xiong, and Yinong Liu. 2024. "Road Passenger Load Probability Prediction and Path Optimization Based on Taxi Trajectory Big Data" Applied Sciences 14, no. 17: 7756. https://doi.org/10.3390/app14177756
APA StyleGu, G., Lou, B., Zhou, D., Wang, X., Chen, J., Wang, T., Xiong, H., & Liu, Y. (2024). Road Passenger Load Probability Prediction and Path Optimization Based on Taxi Trajectory Big Data. Applied Sciences, 14(17), 7756. https://doi.org/10.3390/app14177756

