The Influence of Rock Thermal Stress on the Morphology and Expansion Pattern of the Plastic Zone in the Surrounding Rock of a Deep-Buried Tunnel under High Geothermal Temperature Conditions
Abstract
1. Introduction
2. High Geothermal and High Geostress Tunnel Evolution Law and Its Coupling Characteristics
2.1. Engineering Overview
2.2. Pilot Program
2.3. Test Results
3. Plastic Zone Expansion Law
3.1. Theoretical Calculation of the Plastic Zone
3.2. Distribution Pattern and Expansion Law of Plastic Zone in High Geothermal and High Geostress Tunnels
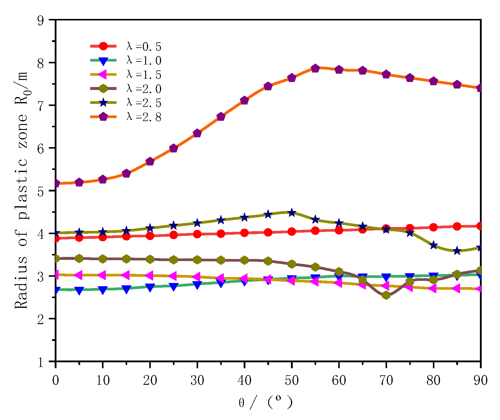
3.2.1. Distribution Pattern and Expansion Law of Tunnel Plastic Zone under High Geostress Effect
3.2.2. Impact of Rock Thermal Stress on the Distribution Pattern of Plastic Zones in Tunnels Subject to High Geothermal Temperatures and High Geostresses
- (1)
- As the temperature gradually rises, so does the thermal stress within the rock body. Consequently, the geometry of the plastic zone undergoes significant changes from an ellipse to a butterfly shape. During this process, both the radius and extent of the plastic zone increase, with the rate of expansion progressively accelerating. Particularly noteworthy is the scenario where T reaches 80 °C and λ equals 2.8, resulting in a noticeable expansion of the plastic zone. In this case, the radius of the plastic zone expands from 7.86 m to 14.13 m. Conversely, at a temperature of 20 °C, the plastic zone assumes a standard vertical butterfly shape with λ at 2.5, distinctly different from the transverse butterfly shape observed under other conditions.
- (2)
- Variations in the lateral pressure coefficient induce changes in the fundamental shape of the plastic zone, characterized by both elliptical and butterfly forms, exhibiting a similar expansion pattern as described in Section 3.2.1. Within the range of 1.0 ≤ λ ≤ 2.0, the plastic zone assumes an elliptical shape, particularly evident at λ = 1.0, where it transitions from a circular to an irregularly expanded ellipse. As λ diverges further from 1, influenced by the profound stress environment, the plastic zone exhibits uneven expansion, narrowing horizontally while widening vertically along the longitudinal axis, thereby increasing the extent of the plastic zone. When λ < 1.0 or λ > 2.0, the plastic zone adopts an elliptical and butterfly-shaped configuration, mirroring the expansion law outlined in Section 3.2.1. At λ = 1.0 or λ > 2.0, the plastic zone extends towards the tunnel’s corners, resembling a complete butterfly shape, with a notable expansion in range. As λ increases to 2.8, the plastic zone takes on a double funnel shape, or transverse butterfly shape, with a substantial increase in range; however, its butterfly shape remains unchanged.
3.2.3. The Impact of Rock Thermal Stress on the Expansion Law of the Plastic Zone in High Geothermal Temperature and High Geostress Tunnels
4. Engineering Practice
4.1. Stress Comparison within the Plastic Zone
4.2. Comparison of the Radius of the Plastic Zone
5. Discussion
5.1. Expansion Law of the Plastic Zone in the Surrounding Rock of High Geothermal and High Geostress Tunnels
- (1)
- The plastic zone morphology and expansion law of the high geostress tunnel obtained in Section 3.2.1 shows that the lateral pressure coefficient has a significant effect on the morphology and range of the plastic zone, with the growth of λ, the plastic zone morphology is circle → ellipse → butterfly and the range of the plastic zone is the following: when the plastic zone is round or ellipse, the plastic zone is slow to develop; when the plastic zone is a butterfly, the plastic zone exhibits an exponential trend of rapid growth, and this expansion law from studies [18,19] can be verified.
- (2)
- Under the conditions of high geothermal temperatures and high geostress, the thermal stress within the rock mass moderates the evolution of plastic zone morphology in tunnels subjected to high geostress, while significantly enlarging the extent of the plastic zone. This influence becomes more pronounced with increasing temperatures. However, compared to the sole impact of high geostress, changes in the morphology of the plastic zone occur more gradually, while the range of the plastic zone exhibits greater variability. These findings are consistent with observed expansion patterns in tunnels with high geothermal temperatures. Nevertheless, the limited research on the morphology and expansion laws of the plastic zone under varying thermal stress conditions in the rock mass, coupled with insufficient relevant references, hinders the direct verification of these results. Thus, further comprehensive investigation and validation are essential.
5.2. Prospect
6. Conclusions
- (1)
- In the high-temperature diversion tunnel at Bulunkou, the three principal stresses are characterized by σH > σZ > σh. Notably, the temperature, maximum, and minimum horizontal principal stresses exhibit an approximately linear increase with the depth of the tunnel borehole, with the maximum horizontal principal stress showing a more pronounced increase.
- (2)
- The boundary line equation for the plastic zone of the tunnel surrounding the rock, accounting for self-weight stress and considering the thermal stress of the rock body in the hydraulic fracturing method, was derived. Subsequently, the analytical solution for the radius of the plastic zone was obtained via an iterative method. This facilitated the analysis of the morphology of the plastic zone and its expansion law.
- (a)
- Under high geostress conditions, the lateral pressure coefficient notably influences the morphology and extent of the plastic zone. Specifically, when λ = 1.0, the plastic zone exhibits circular distribution; it adopts an elliptical shape for 1.0 ≤ λ ≤ 2.0; meanwhile, λ ≤ 1.0 or 2.0 ≤ λ, a butterfly-shaped plastic zone emerges. Excessive or insufficient lateral pressure coefficients (compared to λ = 1) are prone to irregular plastic zone formation, markedly expanding the plastic zone range.
- (b)
- Under the combined influence of high geothermal temperature and geostress, the shape of the plastic zone in tunnels resembles that observed in tunnels subjected primarily to high geostress. Thermal stress in the rock mass slows down the expansion of the tunnel’s plastic zone shape while notably increasing both its radius and extent. Additionally, the plastic zone’s shape shows a more moderated response compared to scenarios influenced solely by high geostress, leading to a broader range of plastic zones. While thermal stress has a lesser impact on the shape and extent of the plastic zone compared to lateral pressure coefficients, its importance should not be underestimated.
- (3)
- A comparison between the Xinjiang Bulunkou tunnel, affected by high geothermal temperature and geostress, and the theoretical outcomes of this study reveals a significant difference in the radius of the surrounding rock’s plastic zone and the stress induced by thermal interaction. This emphasizes the considerable role of thermal stress in influencing the plastic zone, validating its substantial impact.
Author Contributions
Funding
Institutional Review Board Statement
Informed Consent Statement
Data Availability Statement
Conflicts of Interest
References
- Song, Y.; Gao, Y.S.; J, G.C.; Teng, J.; Liu, K.H. Engineering Geologic Study of Deeply Buried Long Tunnels in Water Conservancy and Hydropower Projects; China Water Resources and Hydropower Press: Beijing, China, 2014. [Google Scholar]
- Ma, N.J.; Zhao, X.D.; Zhao, Z.Q.; Li, J.; Guo, X.F. Stability analysis and control technology of mine roadway roof in deep mining. J. China Coal Soc. 2015, 40, 2287–2295. [Google Scholar] [CrossRef]
- Wu, J.; Dong, Y.; Jiang, Y.; Yang, Y.; Sun, H.; Yin, D.; Gu, W. Research on plastic zone evolution law of surrounding rock of gob-side entry retaining under typical roof conditions in deep mine. Shock. Vib. 2020, 2020, 8864991. [Google Scholar] [CrossRef]
- Zheng, Y.R.; Zhu, H.H.; Fang, Z.C.; Liu, H.H. Stability Analysis and Design Theory of Underground Engineering Surrounding Rock; People’s Transportation Press: Beijing, China, 2012; pp. 17–21. [Google Scholar]
- Zhao, Z.Q. Mechanism of Surrounding Rock Deformation and Failure and Control Method Research in Large Deformation Mining Roadway; China University of Mining and Technology: Beijing, China, 2014. [Google Scholar]
- Chen, L.W.; Peng, J.B.; Fan, W.; Sun, P. Analysis of surrounding rock mass plastic zone of round tunnel under non-uniform stress field based on the unified strength theory. J. China Coal Soc. 2007, 32, 20–23. [Google Scholar]
- Zhang, X.B.; Zhao, G.M.; Meng, X.R. Analysis of plastic zone of circular roadway perimeter rock in non-uniform stress field based on nonlinear uniform strength criterion of rock. J. Saf. Environ. 2013, 13, 202–206. [Google Scholar]
- Guo, X.F.; Ma, N.J.; Z, X.D.; Zhao, Z.Q.; Li, Y.E. General morphology of plastic zone of circular roadway perimeter rock and its determination criterion. J. Coal 2016, 41, 1871–1877. [Google Scholar]
- Ma, N.J.; Li, J.; Zhao, Z.Q. Research on the distribution law of deviatoric stress field and plastic zone in the surrounding rock of circular roadway. J. China Univ. Min. Technol. 2015, 44, 206–213. [Google Scholar]
- Wang, W.J.; Guo, G.Y.; Zhu, Y.J.; Yu, W.J. Malignant extension process and its control of plastic zone of surrounding rock in high stress soft rock roadway. J. Coal 2015, 40, 2747–2754. [Google Scholar]
- He, M.C. Current status of rock mechanics in deep mining engineering and its prospect. In Proceedings of the Eighth National Conference on Rock Mechanics and Engineering; Chinese Society of Rock Mechanics and Engineering; Science Press: Beijing, China, 2004; Volume 7. [Google Scholar]
- Meng, W.; He, C.; Wu, F.Y.; Chen, Z.Q.; Zhou, Z.H.; Kou, H. Influence of thermal stresses on rockburst prediction in rocks spawned by geothermal gradients. J. Southwest Jiaotong Univ. 2022, 57, 903–909. [Google Scholar]
- Li, T.B.; Pan, H.S.; Chen, G.Q.; Meng, L.B. Physical modelling test of temperature effect of tunnel rockburst under heat-force. J. Rock Mech. Eng. 2018, 37, 261–273. [Google Scholar]
- Yan, J.; He, C.; Bo, W.; Meng, W.; Wu, F.Y. Rockburst prognosis and characteristics of deeply buried long tunnel complexes in the Yarlung Tsangpo River suture zone. J. Rock Mech. Eng. 2019, 38, 769–781. [Google Scholar]
- Xu, L.S.; Tang, B.M.; Mu, C.C.; Yang, J.; Meng, H. Current Research Situation of Problems Related to High Ground Stress and Rock Blasting. Technocogy Highw. Transp. 2002, 4, 48–51. [Google Scholar]
- Sun, Y. A review of geostress and its application in mining engineering. West-China Explor. Eng. 2017, 29, 127–129 + 134. [Google Scholar]
- Du, S.J.; Liu, H.; Zhi, H.T.; Chen, H.H. Testing study on mechanical properties of post-high-temperature granite. Chin. J. Rock Mech. Eng. 2004, 14, 2359–2364. [Google Scholar]
- Guo, X.F.; Guo, L.F.; Ma, N.J.; Zhao, Z.Q.; Li, C. Applicability analysis of the roadway butterfly failure theory. J. China Univ. Min. 2020, 49, 646–653 + 660. [Google Scholar] [CrossRef]
- Hao, Z.; Sun, G.Z. Research on the morphological characteristics and evolution law of plasticity zone in the roadway of back mining of extra-thick coal seam. Coal Sci. Technol. 2022, 50, 77–83. [Google Scholar] [CrossRef]
- Cai, M.F.; He, M.C.; Liu, D.Y. Rock Mechanics and Engineering, 2nd ed.; Science Press: Beijing, China, 2013. [Google Scholar]













| Drill Hole Number | Altitude/m | Drilling Direction | Number of Measurement Points | |
|---|---|---|---|---|
| Tilt/° | Azimuth/° | |||
| YBK1 | 3340 | −5 | 81 | 3 |
| YBK2 | 3341 | −4 | 53 | 3 |
| YBK3 | 3342 | −5 | 97 | 3 |
| Drill Hole Number | Measurement Point | Surrounding Rock Temperature T/°C | Profundity H/m | σH/MPa | σh/MPa | σz/MPa | λ |
|---|---|---|---|---|---|---|---|
| YBK1 | 1 | 72.4 | 8.2 | 20.0 | 10.2 | 15.1 | 1.3 |
| 2 | 78.7 | 12.0 | 22.2 | 12.0 | 15.2 | 1.5 | |
| 3 | 87.5 | 16.6 | 24.7 | 12.7 | 15.3 | 1.6 | |
| 4 | 91.3 | 19.6 | 26.2 | 13.2 | 15.4 | 1.7 | |
| 5 | 95.7 | 23.3 | 26.5 | 13.2 | 15.5 | 1.7 | |
| YBK2 | 1 | 73.4 | 8.4 | 19.9 | 10.3 | 15.1 | 1.3 |
| 2 | 78.4 | 12.6 | 21.6 | 11.0 | 15.2 | 1.4 | |
| 3 | 85.3 | 15.9 | 23.1 | 11.9 | 15.3 | 1.5 | |
| 4 | 91.3 | 19.6 | 26.4 | 12.9 | 15.4 | 1.7 | |
| 5 | 95.3 | 23.9 | 27.1 | 13.1 | 15.5 | 1.8 | |
| YBK3 | 1 | 74.1 | 8.6 | 20.9 | 10.5 | 15.1 | 1.3 |
| 2 | 78.7 | 12.7 | 22.6 | 11.2 | 15.2 | 1.4 | |
| 3 | 84.8 | 16.2 | 23.5 | 12.2 | 15.3 | 1.5 | |
| 4 | 91.6 | 19.7 | 26.4 | 12.8 | 15.4 | 1.7 | |
| 5 | 95.7 | 23.5 | 27.8 | 13.5 | 15.5 | 1.9 |
| Modulus of Elasticity E/Gpa | Poisson’s Ratio μ | Cohesive Force C/Mpa | Angle of Internal Friction ψ/° | Coefficient of Linear Expansion of Surrounding Rock β/°C−1 |
|---|---|---|---|---|
| 6 | 0.25 | 0.9 | 30 | 0.000005 |
| Measurement Point Number | Depth of Measurement Point/m | σX | σY | σZ | σXY | σYZ | σZX |
|---|---|---|---|---|---|---|---|
| /MPa | |||||||
| SYZK1-1 | 13.3 | 21.9 | 20.9 | 15.6 | −5.5 | 0.5 | 0.1 |
| SYZK1-2 | 14.5 | 22.4 | 22.9 | 14.9 | −7.1 | 0.8 | −0.3 |
| SYZK1-3 | 15.1 | 22.4 | 19.8 | 15.3 | −7.3 | 0.5 | 1.1 |
| SYZK1-4 | 16.3 | 25.0 | 22.0 | 15.3 | −8.7 | 1.1 | −1.1 |
| SYZK2-1 | 13.9 | 20.5 | 16.7 | 15.7 | −7.1 | 1.0 | −1.1 |
| SYZK2-2 | 14.5 | 21.3 | 18.5 | 15.2 | −8.8 | 1.3 | −1.5 |
| SYZK3-1 | 13.0 | 21.0 | 16.5 | 15.4 | −12.0 | 3.9 | −2.0 |
| SYZK3-2 | 13.5 | 17.6 | 21.6 | 14.8 | −12.3 | −0.8 | 1.4 |
| SYZK3-3 | 14.0 | 19.1 | 21.9 | 14.6 | −11.9 | 1.1 | −1.4 |
| Measurement Point Number | σH/MPa | σh/MPa | σZ/MPa | λ = σH/σZ |
|---|---|---|---|---|
| SYZK1-1 | 26.9 | 15.9 | 15.6 | 1.7 |
| SYZK1-2 | 29.8 | 15.5 | 14.9 | 2.0 |
| SYZK1-3 | 28.6 | 13.7 | 15.3 | 1.9 |
| SYZK1-4 | 32.4 | 14.7 | 15.3 | 2.1 |
| SYZK2-1 | 26.0 | 11.2 | 15.7 | 1.7 |
| SYZK2-2 | 28.7 | 10.8 | 15.2 | 1.9 |
| SYZK3-1 | 31.0 | 6.5 | 15.4 | 2.0 |
| SYZK3-2 | 32.1 | 7.1 | 14.8 | 2.2 |
| SYZK3-3 | 32.4 | 8.5 | 14.6 | 2.2 |
Disclaimer/Publisher’s Note: The statements, opinions and data contained in all publications are solely those of the individual author(s) and contributor(s) and not of MDPI and/or the editor(s). MDPI and/or the editor(s) disclaim responsibility for any injury to people or property resulting from any ideas, methods, instructions or products referred to in the content. |
© 2024 by the authors. Licensee MDPI, Basel, Switzerland. This article is an open access article distributed under the terms and conditions of the Creative Commons Attribution (CC BY) license (https://creativecommons.org/licenses/by/4.0/).
Share and Cite
Yin, Y.; Jiang, H.; Zhang, J.; Lu, G.; Li, Q. The Influence of Rock Thermal Stress on the Morphology and Expansion Pattern of the Plastic Zone in the Surrounding Rock of a Deep-Buried Tunnel under High Geothermal Temperature Conditions. Appl. Sci. 2024, 14, 7589. https://doi.org/10.3390/app14177589
Yin Y, Jiang H, Zhang J, Lu G, Li Q. The Influence of Rock Thermal Stress on the Morphology and Expansion Pattern of the Plastic Zone in the Surrounding Rock of a Deep-Buried Tunnel under High Geothermal Temperature Conditions. Applied Sciences. 2024; 14(17):7589. https://doi.org/10.3390/app14177589
Chicago/Turabian StyleYin, Yucong, Haibo Jiang, Jun Zhang, Gongda Lu, and Qinglin Li. 2024. "The Influence of Rock Thermal Stress on the Morphology and Expansion Pattern of the Plastic Zone in the Surrounding Rock of a Deep-Buried Tunnel under High Geothermal Temperature Conditions" Applied Sciences 14, no. 17: 7589. https://doi.org/10.3390/app14177589
APA StyleYin, Y., Jiang, H., Zhang, J., Lu, G., & Li, Q. (2024). The Influence of Rock Thermal Stress on the Morphology and Expansion Pattern of the Plastic Zone in the Surrounding Rock of a Deep-Buried Tunnel under High Geothermal Temperature Conditions. Applied Sciences, 14(17), 7589. https://doi.org/10.3390/app14177589

