Next Article in Journal
Life Cycle Carbon Assessment of Mortars with Carbonated and Non-Carbonated Recycled Aggregates
Previous Article in Journal
Revealing the Protective Dynamics of an Ecologically Engineered Wetland against Acid Mine Drainage: A Case Study in South Africa
 
 
Font Type:
Arial Georgia Verdana
Font Size:
Aa Aa Aa
Line Spacing:
Column Width:
Background:
Article

Analytical Solution for Lined Circular Water Conveyance Tunnels under the Action of Internal and External Hydraulic Pressure

1
College of Water Conservancy and Hydropower Engineering, Hohai University, Nanjing 210024, China
2
The National Key Laboratory of Water Disaster Prevention, Hohai University, Nanjing 210024, China
3
Guangdong Research Institute of Water Resources and Hydropower, Guangzhou 510635, China
4
State and Local Joint Engineering Laboratory of Estuarine Hydraulic Technology, Guangzhou 510635, China
*
Author to whom correspondence should be addressed.
Appl. Sci. 2024, 14(17), 7443; https://doi.org/10.3390/app14177443
Submission received: 9 July 2024 / Revised: 14 August 2024 / Accepted: 18 August 2024 / Published: 23 August 2024

Abstract

The interaction between the surrounding rock and the support structure in a circular water conveyance tunnel with lining comprises two main aspects: internal and external hydraulic pressures, and the contact load between the post-excavation lining and the surrounding rock. There is currently no reasonable calculation method to consider both factors simultaneously. Therefore, by utilizing the assumption of smooth contact between the surrounding rock and the lining, an analytical model for a circular water conveyance tunnel with lining is developed through the complex function method. Smooth contact indicates continuity of radial contact stress, coordination of radial displacement, and the absence of shear stress transmission. Considering the inner and outer boundary stress conditions of the lining, two sets of undetermined analytical functions are established, corresponding to internal and external water pressure, as well as the contact stress between the surrounding rock and the lining. Ultimately, the stress and displacement components at any point within the surrounding rock and lining can be derived under the conditions outlined in this study. The analytical model elucidates the mechanism of load transfer within the circular water conveyance tunnel with lining, considering the combined effects of internal and external water pressure and excavation loads. Of particular note, it quantifies the restrictive impact of external water pressure on lining hydrofracturing when subjected to high internal water pressure. Additionally, the model offers a theoretical foundation for designing and assessing support structures for use in long-distance water conveyance projects.

1. Introduction

In water network infrastructure construction, the utilization of water conveyance tunnels is widespread for achieving the interconnection of rivers, lakes, and reservoirs, facilitating the optimal allocation of water resources. The lining support structure plays a crucial role in ensuring the safe and stable operation of water conveyance tunnels. Currently, there is extensive research focused on understanding the bearing mechanisms of lining support. Scholars have employed various methods to analyze the factors influencing the effectiveness of lining support from diverse perspectives.
The depth of the tunnel plays a significant role in determining the effectiveness of lining support. Analysis typically revolves around two scenarios: deep burial and shallow burial. The distinction between them hinges on whether the impact of the ground stress gradient around the tunnel can be disregarded. Li and Wang et al. [1,2] first solved the stress results for a circular tunnel with lining by using the complex function power series method proposed by Muskhelishvili [3] and considered the misfit and interaction between surrounding rock and lining. Lu et al. [4,5] also conducted research on lining support mechanisms by using the complex function power series method and conformal transformation method to obtain the stress components at any point in the lining or surrounding rock, and they considered the influence of different contact modes between surrounding rock and lining. Zhang et al. [6] presented complex variable solutions for soil and lining deformation based on a deterministic nonuniform convergence boundary model for displacement-controlled conditions at the tunnel opening, indicating the key parameters affecting the tunneling-induced soil deformation including tunneling gap, soil and lining physical characteristics, and the buried depth, as well as lining thickness. For the analysis of the lining support mechanism of a shallow tunnel, Cao et al. [7] used complex potential functions combined with a conformal mapping method to determine stress components within the concrete lining and the surrounding rock mass but with the assumption of uniform radial displacement of the surrounding rock inner edge. Cai et al. [8] proposed a semi-analytical solution for stress and displacement of a lined circular tunnel at shallow depth, based on full-contact interaction between surrounding rock and lining. The current study assumes the tunnel to be deeply buried; thus, the original loading conditions of the tunnel are depicted in Figure 1.
According to the obtained research results, the contact mode between surrounding rock and lining has a significant impact on the bearing effect of the lining. The main forms of contact include complete contact [4,9,10], pure slip contact [5,11,12,13], and frictional slip [14,15,16,17]. Among these, complete contact mode denotes continuous stress and displacement coordination at the contact surface, and pure slip contact mode denotes that this occurs only in the radial direction of the contact surface, stress continuity and displacement continuity are satisfied, and there is no shear force transfer. Frictional slip mode is a state between the above two contact modes. The study in this paper is based on the assumption of pure slip contact between the tunnel and the lining.
The interaction between the surrounding rock and lining structures of tunnels with different hole patterns is also an important research direction. Kargar et al. [18] proposed a semi-analytical elastic solution for the stress field of a lined non-circular tunnel using a complex variable method, and then, Lu et al. [9,10,11] put forward an analytical solution and took the support delay and contact modes into consideration. According to the design specifications for hydraulic tunnels in China, the hole type used in pressure tunnels should be circular. Therefore, this article is also based on research conducted on circular tunnels.
Elastoplastic analysis of lined tunnels is also an important content of engineering safety evaluation. Ren et al. [19] pointed out that the first principal stress used in Mohr–Coulomb yield conditions for lined circular tunnels should be adjusted according to load and in situ stresses. Wu et al. [20] put forward an elastic–plastic analytic solution for rock–liner interaction under general loading, in which the constitutive models of the surrounding rock and the liner were the Mohr–Coulomb and bilinear model respectively, determining the displacement, sensitivity of the displacement, and plastic zone of surrounding rock varying with general loading.
In practice, the interaction between surrounding and lining changes over time. The main factors affecting the observed time dependency in tunnel construction are the sequence of excavation [21,22,23], the number of linings [24,25,26], their time of installation [4,5,9,10,11,12,13,27,28], and the rheological properties of the host rock [24,29,30]. This paper uses the parameter of stress release coefficient to characterize the timing of support, which depends on the distance between the tunnel face and the lining section.
Other research has focused on the influence of the anisotropy of rock mass on the interaction between the surrounding rock and lining. Bobet and Yu [31,32] obtained closed-form solutions for a deep circular tunnel excavated in transversely anisotropic rock, including the displacements and stresses of both the lining and the surrounding rock, and Lu et al. [33] then expanded these solutions, which were suitable for any hole shapes. On the basis of Lu’s works, Wang et al. [34] proposed analytical solutions for an arbitrary-shaped tunnel with lining in anisotropic rock mass in conjunction with the consideration of different contact modes.
In addition, there are many other factors that affect the interaction mechanism between surrounding rock and lining, such as the seepage pressure [35,36,37,38,39], multiple tunnel excavation [40], coupling with temperature field [41,42], and void phenomena [43]. There are some meaningful examples within actual engineering practice. Based on the kinematic upper bound theorem and reliability theory, Yang et al. studied the stability of a deep buried tunnel roof in nonlinear Hoek–Brown medium [44]. Zoran et al. introduced a method of using drilling and blasting techniques to distinguish and quantify technical and geological over-excavation in hard rock tunnel construction and demonstrated its application on an 8.1 km section of a 12 km pressure tunnel [45].
In summary, numerous factors influence the interaction between surrounding rock and lining support, necessitating specialized analysis and demonstration based on the primary contradictions between the engineering environment and construction needs.
The focal point of this paper is the comprehensive analysis of the bearing capacity of long-distance water supply pipe tunnel support structures. It delves into the combined effects of internal and external water pressure, along with the surrounding rock pressure resulting from tunnel excavation. This aspect has been notably absent in previous research on lining support and this study is intended to address this gap.
In recent years, numerous water conveyance tunnel projects have been confronted with high internal water pressure conditions. For instance, the Yellow River Tunnel of the South-to-North Water Transfer Project in China has a designed internal water pressure of 0.517 MPa, while the Guangzhou Xijiang Water Diversion Project faces a maximum internal water pressure of 0.9 MPa. Furthermore, water resources allocation projects in the Pearl River Delta may encounter internal water pressures reaching 1.05 MPa, and even 1.5 MPa under exceptional circumstances [25]. When the loads from surrounding rock excavation are not predominant, the lining structure may expand due to high internal pressure, intensifying the normal contact between the surrounding rock and the lining, leading to the development of tangential normal stress. If this stress exceeds the tensile threshold of the structure, tensile failure may occur, disrupting the normal operation of the water conveyance tunnel. Consequently, conventional design approaches often err on the side of caution, neglecting the impact of external water pressure on lining bearing capacity and treating it merely as a safety reserve. Designers typically opt to increase lining thickness and reinforcement to forestall hydrofracturing, thereby significantly augmenting the scope of lining support engineering. However, as water conveyance tunnel projects progress, the influence of external water pressure becomes increasingly apparent. Ignoring its constraints on internal water pressure expansion may lead to underutilization of material bearing potential and substantial waste of engineering resources. Therefore, this paper aims to integrate external water pressure considerations and develop a calculation model capable of accurately quantifying the load distribution between tunnel surrounding rock and lining support under high internal pressure conditions.

2. Basic Principles and Methods

This paper assumes the tunnel to be deeply buried, with the lining in continuous contact with the surrounding rock, and both the rock mass and lining to remain in an elastic state. Additionally, it assumes zero axial strain within the tunnel, simplifying the problem into a plane strain scenario.
Under the assumption of constant force, the stress solution for plane elastic problems ultimately involves solving the biharmonic equation under specified boundary conditions. Utilizing the theory of complex variable functions, the stress function can be represented by two potential functions. Once the concrete forms of these two analytical functions are determined based on boundary conditions, the stress and displacement at any point within the domain can be derived. Thus, the essence of this paper lies in solving the two analytical functions corresponding to the lining structure under internal and external water and soil loads, which can be subdivided into two components: the effects of internal and external water pressure and the interaction between the surrounding rock and the lining.

2.1. The Effects of Internal and External Water Pressure

The two analytical functions of annular lining structure under the action of internal and external water pressure can be expressed according to the Laurent series as follows [4]:
φ 1 ( z ) = k = 1 a k z k + k = 1 b k z k ψ 1 ( z ) = k = 1 c k z k + k = 1 d k z k
where ak, bk, ck, and dk are undetermined coefficients and z = reiθ represents the position of any point in the study domain.
Assuming that the external and internal water pressures are p1 and p2, respectively, then, according to the external and internal water pressure conditions on the lining–surrounding rock contact surface L1 and the lining–inner wall boundary L2, we can obtain [4]:
2 R e φ 1 ( z ) e 2 i θ z ¯ φ 1 ( z ) + ψ 1 ( z ) = p 1 , z = R 1 e i θ 2 R e φ 1 ( z ) e 2 i θ z ¯ φ 1 ( z ) + ψ 1 ( z ) = p 2 , z = R 2 e i θ
where R1 and R2 represent the outer and inner radii of the lining, respectively. In this paper, tensile stress is positive, compressive stress is negative, and p1 and p2 are positive, which respectively represent the internal and external hydraulic pressure. Substituting Equation (1) into Equation (2), it can be seen that if b1 and c1 are not zero, the remaining undetermined coefficients are equal to zero, and b1 and c1 are equal to:
b 1 = p 0 R 1 2 p 1 R 0 2 2 ( R 0 2 R 1 2 ) c 1 = p 1 p 0 R 0 2 R 1 2
That is to say, the analytical function corresponding to only the annular lining under the action of internal and external water pressure is:
φ 1 ( z ) = p 0 R 1 2 p 1 R 0 2 2 ( R 0 2 R 1 2 ) z ψ 1 ( z ) = p 1 p 0 R 0 2 R 1 2 z 1
Substituting φ1(z), ψ1(z) into φj(z), ψj(z) of Equation (5) [3] can obtain the stress components at any position ( σ 1 r , σ 1 θ , τ 1 r θ ) in the lining at the time, and substituting φ1(z), ψ1(z) into Equation (6) [3] can obtain the radial displacement components u 1 r and tangential displacement components u 1 θ at any position in the lining:
σ j r + σ j θ = 4 R e φ j ( z ) σ j θ σ j r + 2 i τ j r θ = 2 e 2 i θ z ¯ φ j ( z ) + ψ j ( z )
u j r + i u j θ = 1 2 G n e i θ κ n φ j ( z ) z φ j ( z ) ¯ ψ j ( ζ ) ¯
where Gn is shear modulus, Gn = En/[2(1 + μn)], κn = 3–4μn, En is Young’s modulus, μn is Poisson’s ratio; when n is equal to 1, it corresponds to the surrounding rock; when n is equal to 2, it corresponds to the lining.
It is verified that the results obtained are consistent with those obtained for a thick-walled cylinder, indicating that the potential function corresponding to the action of internal and external water pressure on the lining has been derived correctly.

2.2. The Interaction between the Surrounding Rock and the Lining

The analytical function φ2(z), ψ2(z) corresponding to a circular tunnel with excavation radius R1 in the surrounding rock with vertical geostress σv and lateral pressure coefficient λ is shown in Equation (7) [4].
φ 2 ( z ) = σ v ( 1 λ ) 2 R 1 2 1 z , ψ 2 ( z ) = σ v ( 1 + λ ) 2 R 1 2 1 z + σ v ( 1 λ ) 2 R 1 4 1 z 3
The lining restricts the deformation of the surrounding rock after tunnel excavation, and the lining and surrounding rock interact with each other at this time. The analytical function corresponding to the extrusion action of the surrounding rock on the lining can be expressed as [4]:
φ 3 ( z ) = e 1 z 1 + e 2 z + e 3 z 3 ψ 3 ( z ) = f 1 z 1 + f 2 z 3 + f 3 z
where e1e3 and f1f3 are undetermined coefficients. On the other hand, the analytical function corresponding to the support effect of the lining on the surrounding rock can be expressed as [4]:
φ 4 ( z ) = g 1 z 1 ψ 4 ( z ) = h 1 z 1 + h 2 z 3
where g1, h1, and f3 are also undetermined coefficients. Similarly, by replacing the φj(z) and ψj(z) in Equations (5) and (6) with φ2(z) and ψ2(z) in Equation (7), the additional stress and displacement components caused by tunnel excavation can be obtained: [ σ 2 r , σ 2 θ , τ 2 r θ ], [ u 2 r , u 2 θ ]. Replacing φ3(z) and ψ3(z) in Equation (8) with φj(z) and ψj(z) in Equations (5) and (6) yields the additional stress and displacement components of the lining caused by surrounding rock compression: [ σ 3 r , σ 3 θ , τ 3 r θ ], [ u 3 r , u 3 θ ]. Replacing the φ4(z) and ψ4(z) of Equation (9) with the φj(z) and ψj(z) of Equations (5) and (6) yields the additional stress and displacement components caused by the confinement of the lining in the surrounding rock: [ σ 4 r , σ 4 θ , τ 4 r θ ], [ u 4 r , u 4 θ ].

2.3. Establishing Equations for Solving Unknown Coefficients

It can be seen from the above that the coefficients e1e3, f1f3, g1, h1, and f3 of the analytical function corresponding to the interaction between surrounding rock and lining are still unknown, and corresponding equations need to be established according to the boundary conditions of the supporting structure to obtain the solution. In this paper, it is assumed that the surrounding–lining interface is smooth, that is, the surrounding–lining interface satisfies the conditions of radial stress continuity and radial displacement coordination, and the shear stress is zero.
Firstly, according to the radial stress continuity condition of the surrounding–lining boundary at the contact surface L1, we can obtain [3]:
2 Re φ 3 ( z ) Re e 2 i θ z ¯ φ 3 ( z ) + ψ 3 ( z ) = 2 Re φ 4 ( z ) Re e 2 i θ z ¯ φ 4 ( z ) + ψ 4 ( z ) , z = R 1 e i θ
Then, based on the displacement compatibility condition at the boundary of the surrounding–lining interface L1, we obtain:
( 1 η ) u 2 r + u 4 r = u 1 r + u 3 r , z = R 1 e i θ
where η is the displacement release coefficient determined by the distance between the tunnel face and the lining section, indicating that the tunnel is supported after η times the total displacement [4,5,9,10,11,12,13].
Then, according to the condition that the shear stress at the boundary of surrounding rock–lining interface L1 is zero, we can obtain:
Im e 2 i θ z ¯ φ 3 ( z ) + ψ 3 ( z ) = 0 Im e 2 i θ z ¯ φ 4 ( z ) + ψ 4 ( z ) = 0 z = R 1 e i θ
Finally, according to the stress boundary condition of the lining inner wall L2, we can obtain:
2 R e φ 3 ( z ) e 2 i θ z ¯ φ 3 ( z ) + ψ 3 ( z ) = 0 , z = R 2 e i θ

2.4. Equation Solving

Substituting Equations (8) and (9) into Equation (10) and comparing the coefficients of the corresponding eikθ yields the following equation:
h 1 2 R 1 2 e 2 f 1 = 0 4 R 1 2 g 1 3 h 2 4 R 1 2 e 1 + 3 f 2 R 1 4 f 3 = 0
Substituting Equations (6)–(9) into Equation (11) and comparing the coefficients for the corresponding eikθ yields the following equation:
1 G 1 ( κ 1 + 1 ) R 1 1 g 1 1 G 1 R 1 3 h 2 1 G 2 ( κ 2 + 1 ) R 1 1 e 1 + 1 G 2 ( 3 κ 2 ) R 1 3 e 3 + 1 G 2 R 1 3 f 2 + 1 G 2 R 1 f 3 = ( 1 η ) σ v G 1 κ 1 ( 1 λ ) R 1 2 1 G 1 R 1 1 h 1 + 1 G 2 ( 1 κ 2 ) R 1 e 2 + 1 G 2 R 1 1 f 1 = ( 1 η ) σ v 2 G 1 ( 1 + λ ) R 1 + 1 G 2 ( κ 2 1 ) b 1 R 1 c 1 R 1 1
Substituting Equations (8) and (9) into Equation (12) and comparing the coefficients of eikθ on both sides of the equation gives:
2 R 1 2 g 1 3 h 2 = 0 2 R 1 2 e 1 + 6 R 1 6 e 3 + 3 f 2 + R 1 4 f 3 = 0
Substituting Equation (8) into Equation (13) and comparing the coefficients of eikθ on both sides of the equation gives:
2 e 2 + R 2 2 f 1 = 0 e 1 + 3 R 2 4 e 3 + R 2 2 f 3 = 0 R 0 2 e 1 R 2 6 e 3 f 2 = 0
Equations (14)–(17) can be solved with e1e3, f1f3, g1, h1, and f3, and the analytical expression of the interaction between the surrounding rock and the lining can be obtained.

2.5. Stress Solution of Lining and Surrounding Rock

Given the (R1, R2, σv, p0, p1, λ, μ1, μ2, E1, E2, η) parameter values, Equations (14)–(17) can be combined to solve e1e3, f1f3, g1, h1, and f3, and the specific expression of analytical function corresponding to the surrounding rock–lining can be obtained. Then, the stress at any position in the lining can be solved via Equation (5); just replace φj(z) and ψj(z) in the equation with the corresponding φL(z) and ψL(z), respectively.
φ L ( z ) = φ 1 ( z ) + φ 3 ( z ) ψ L ( z ) = ψ 1 ( z ) + ψ 3 ( z )
The stress in the surrounding rock is composed of the original stress of the surrounding rock before excavation, the stress response caused by excavation, and the stress response after the lining is applied. Therefore, the two final analytical functions φR(z) and ψR(z) are equal to the analytical function before excavation plus the analytical functions corresponding to Equations (7) and (9), i.e.,:
φ R ( z ) = σ v ( 1 + λ ) 4 z + φ 2 ( z ) + φ 4 ( z ) ψ R ( z ) = σ v ( 1 λ ) 2 z + ψ 2 ( z ) + ψ 4 ( z )
The first term in Equation (19) represents the analytical function corresponding to the surrounding rock before tunnel excavation. Substituting Equation (19) into Equation (5), the stress result at any position in the surrounding rock can be obtained.

3. Example and Discussion

3.1. Boundary Condition Verification

The relevant parameters were as follows [4]: circular tunnel radius R1 = 3.0 m; lining thickness 0.3 m (R2 = 2.7 m); vertical geostress σv = 1 MPa; lateral pressure coefficient λ = 0.5; tunnel external water pressure p1 = 0.2 MPa, internal water pressure p2 = 0.5 MPa; elastic modulus of surrounding rock and lining E1 = 1 GPa, E2 = 36 GPa; Poisson ratio μ1 = 0.25, μ2 = 0.22; displacement release coefficient η = 0.2. The stress results in this paper still stipulate that tensile stress is positive and compressive stress is negative. Using the method in this paper, the stress at the boundary of L1 and L2 was obtained, and the results are shown in Figure 2:
In Figure 2, the radial normal stress σ 3 r on the lining inner boundary L2 is −0.5 MPa (internal water pressure) and shear stress τ 3 r θ is 0 MPa, complying with the stress conditions of the inner boundary of the lining. The radial normal stress σ 1 r of the surrounding rock on both sides of the contact surface L1 between the surrounding rock and the lining is parallel to the radial normal stress result σ 2 r of the lining and satisfies σ 1 r σ 2 r = 0.25 MPa (being equal to external water pressure). In addition, the shear stresses τ 1 r θ and τ 2 r θ on both sides of the contact surface are equal to zero, meeting the characteristics of smooth contact. That is to say, the interaction relationship between surrounding rock and lining at the L1 boundary is satisfied through the preset requirements, and the load on the outer boundary of lining is the result of superposition of geotechnical pressure caused by tunnel excavation and external water pressure p1. To sum up, the stress results are consistent with the preset lining boundary conditions and also accord with the actual engineering situation, which to some extent verifies the correctness of the model established in this paper.
Furthermore, based on the parameters employed in this example, it can be observed that under the combined action of tunnel excavation and internal and external water pressures (p1, p2), the tangential stress of the lining remains in a compressive stress state throughout the domain ( σ 2 θ , σ 3 θ are less than 0). This indicates that tunnel excavation predominantly influences the stress state. Additionally, the tangential stress distribution amplitude of the lining inner boundary and outer boundary is significant, presenting an approximately sinusoidal distribution within the ranges of [−6.25, 0] and [−5.75, 0] respectively. The mean values are approximately σ ¯ 3 θ = −3.125 MPa (compressive stress), and σ ¯ 2 θ = −2.875 MPa (compressive stress), which are slightly smaller than the results obtained for the inner boundary of the lining.

3.2. Comparison of Results with and without Considering External Water Pressure p1

As discussed earlier, numerous calculation methods employed in the design of water conveyance tunnel lining structures tend to err on the side of caution, disregarding the reinforcing effect of external water pressure (p1) on the lining’s bearing capacity and merely treating it as a safety margin. This section aims to quantify the influence of external water pressure (p1) on the lining’s bearing capacity by comparing stress results ( σ 1 r , σ 2 r ; σ 1 θ , σ 2 θ , σ 3 θ ) at the boundaries of L1 and L2 with and without internal water pressure p1). The parameters utilized are consistent with those outlined in Section 3.1, and the findings are depicted in Figure 3 and Figure 4.
From Figure 3, we can observe the radial stress results at the L1 interface between the surrounding rock and the lining. Without considering external water pressure, the radial stress results of the surrounding rock and the lining coincide, indicating solely the interaction force stemming from tunnel excavation. However, when external water pressure is taken into account, several changes occur. The radial contact compressive stress on the surrounding rock decreases, signifying a reduction in the interaction force between the lining and the surrounding rock. Conversely, the radial compressive stress on the lining increases, satisfying σ 1 r σ 2 r = −0.2 MPa (being equal to the external water pressure). It is worth noting that the radial stress of the lining’s outer boundary reflects the superposition of geotechnical pressure and external water pressure induced by tunnel excavation.
Figure 4 illustrates the comparison of the influence of external water pressure (p1) on the tangential normal stress distribution of the surrounding rock and lining:
(1) The tangential normal stress σ 1 θ of the surrounding rock at L1 exhibits close alignment in both cases. This suggests that under the parameter conditions of this example, the influence of external water pressure (p1) on the tangential normal stress of the surrounding rock is very small;
(2) With consideration of external water pressure (p1), the tangential normal stress σ 2 θ at the outer boundary (L1) of the lining remains in a compressive stress state across the entire domain. Conversely, when external water pressure (p1) is not considered, a tension–compression stress state coexists. The maximum difference between the two scenarios can reach approximately 2 MPa. Similarly, when external water pressure (p1) is considered, the tangential normal stress σ 3 θ at the inner boundary (L2) of the lining remains in a compressive stress state throughout the domain. Conversely, without consideration of external water pressure (p1), a tension–compression stress state is evident. The difference between the two scenarios can also reach about 2 MPa.
In summary, the presence of external water pressure can mitigate the phenomenon of lining expansion induced by high internal water pressure. Furthermore, the greater the external water pressure, the more pronounced its effect, thereby enhancing the performance of the lining structure operating under high internal water pressure conditions.

3.3. The Influence of External Water Pressure p1 on the Tangential Normal Stress of Lining

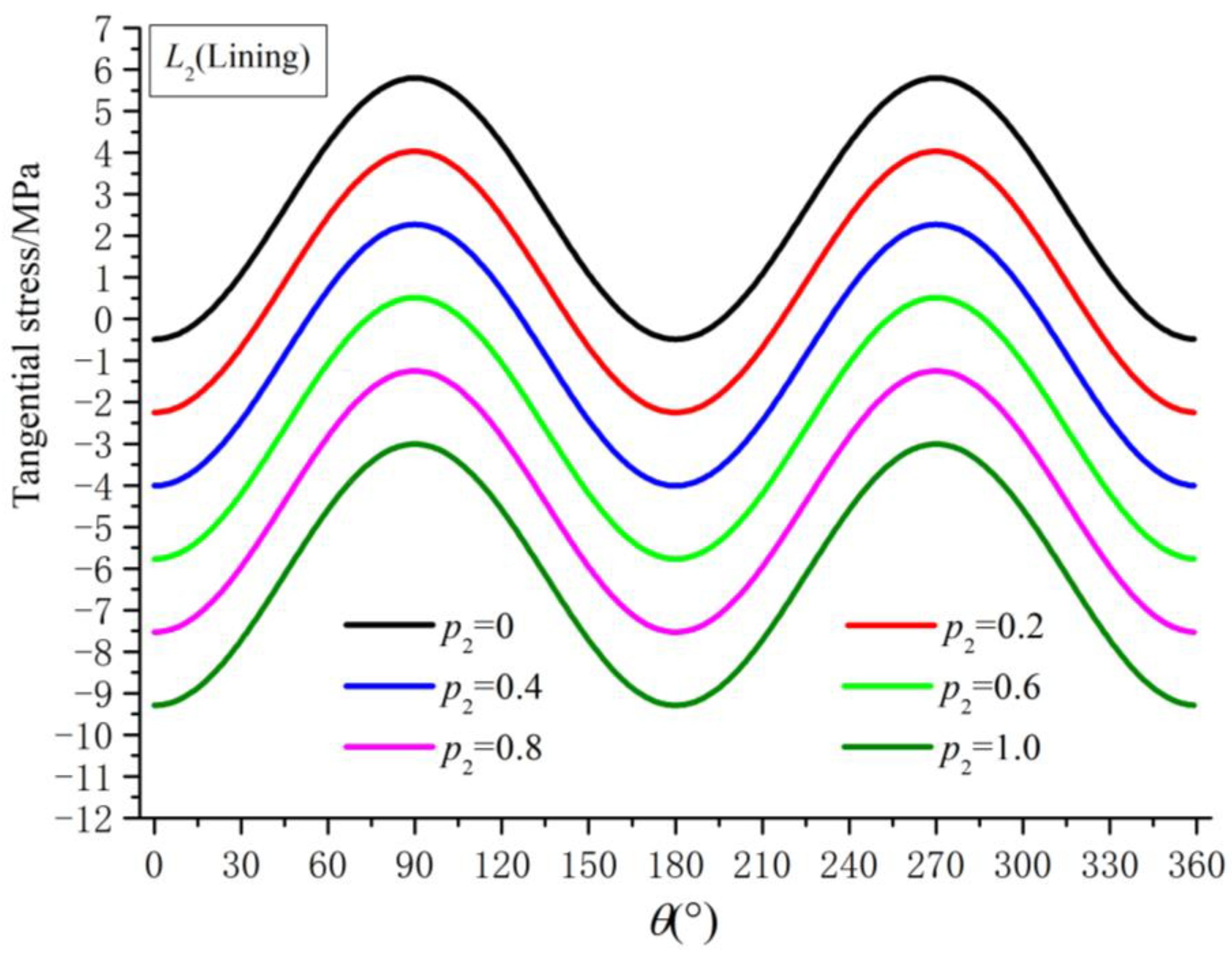
To further investigate the impact of external water pressure on the bearing performance of the lining, this subsection considers an internal water pressure (p2) of 1 MPa. The external water pressure (p1) gradually increases from 0 MPa to 1 MPa with each increase of 0.2 MPa, while keeping other parameters constant. The results are presented in Figure 5.
From Figure 5, it is evident that the tangential stress values of the surrounding rock exhibit sinusoidal variation. In the directions of θ = 90° and 270°, the tangential normal stress tends to be closer to a tensile stress state. As the internal water pressure (p2) increases, the tangential stress value curve remains largely consistent, with little numerical variation. This suggests that changes in internal water pressure have a relatively low sensitivity to the tangential stress of the surrounding rock.
Comparing Figure 6 and Figure 7, it is apparent that the tangential normal stress of the lining at the L1 boundary is at a minimum in the θ = 90° and 270° directions, while it reaches its maximum in the θ = 0°, 180° directions. As the internal water pressure (p2) increases, the tangential normal stress of the lining at the L1 boundary gradually transitions from a tensile–compressive stress state to a complete compressive stress state, and an increment of ∆p2 = 0.2 MPa leads to a variation in tangential normal stress of ∆σθ = 1.5 MPa (compression).
Conversely, the tangential normal stress of the lining at the L2 boundary is at its maximum in the θ = 90° and 270° directions, and at its minimum in the θ = 0°, 180°directions. With the increase in p2, the tangential normal stress of the lining at the L2 boundary undergoes a similar transition from tensile–compressive stress to complete compressive stress. Furthermore, an increment of ∆p2 = 0.2 MPa leads to a variation in tangential normal stress of ∆σθ = 2 MPa (compression).
Certainly, the conclusions drawn above are based on the given parameters, and it is essential to conduct calculations and evaluations tailored to the specific circumstances of each project. Factors such as the stiffness ratio between the surrounding rock and the lining, initial ground stress, and the timing of support installation are crucial considerations that can significantly influence the results. Therefore, it is imperative to customize the analysis according to the actual conditions encountered in each scenario to ensure accurate and reliable outcomes.

4. Conclusions

This study investigated the complex interaction (smooth contact) between the surrounding rock and lining, in which the influence of internal and external water pressure, as well as tunnel excavation were simultaneously taken into consideration. Based on the contact relationship and boundary conditions between the surrounding rock and the lining, the stress components at any position within the surrounding rock and the lining can be determined, and the following conclusion can be drawn:
(1) When accounting for the external water pressure, the normal contact force at the interface between the surrounding rock and the lining varies. Consequently, the load borne by the lining comprises the combined effect of the surrounding rock pressure and the external water pressure.
(2) External hydraulic pressure exerted on the lining can mitigate to a certain extent the “expansion” phenomenon caused by operation of high internal hydraulic pressure, thereby reducing the likelihood of hydrofracturing. Moreover, the effect becomes more pronounced with higher external water pressure.
This finding serves as a reminder to consider the reinforcement effect of external hydraulic pressure on the bearing capacity of prefabricated pipe segments and other components during the design and construction phase of large-diameter shield tunnel projects for long-distance water transmission. By doing so, engineering requirements such as design thickness of lining structures and reinforcement quantities can be appropriately reduced.

Author Contributions

Conceptualization, Y.L.; Software, M.Y.; Formal analysis, S.Z.; Writing—original draft, Y.X.; Writing—review & editing, T.B. All authors have read and agreed to the published version of the manuscript.

Funding

This research was supported by the Major Science and Technology Program of the Ministry of Water Resources of China with grant No. SKS-2022138 and the Science and Technology Innovation Program from Water Resources of Guangdong Province with grant No. 2024-07 and the Science and Technology Innovation Program from Water Resources of Guangdong Province with grant No. 2023-02.

Institutional Review Board Statement

Not applicable.

Informed Consent Statement

Not applicable.

Data Availability Statement

All data, models, and code generated or used during the study appear in the submitted article.

Acknowledgments

This research was supported by the Major Science and Technology Program of the Ministry of Water Resources of China (grant No. SKS-2022138) and the Science and Technology Innovation Programs from the Water Resources Department of Guangdong Province (grant Nos. 2023-02 and 2024-07).

Conflicts of Interest

The authors declare no conflict of interest.

References

  1. Li, S.C.; Wang, M.B. An elastic stress-displacement solution for a lined tunnel at great depth. Int. J. Rock Mech. Min. Sci. 2008, 45, 486–494. [Google Scholar] [CrossRef]
  2. Li, S.C.; Wang, M.B. Elastic analysis of stress-displacement field for a lined circular tunnel at great depth due to ground loads and internal pressure. Tunn. Undergr. Space Technol. 2008, 23, 609–617. [Google Scholar] [CrossRef]
  3. Muskhelishvili, N.I. Some Basic Problems of the Mathematical Theory of Elasticity; Noordhoff: Groningen, The Netherlands, 1963. [Google Scholar]
  4. Lu, A.Z.; Zhang, L.Q.; Zhang, N. Analytic stress solutions for a circular pressure tunnel at pressure and great depth including support delay. Int. J. Rock Mech. Min. Sci. 2011, 48, 514–519. [Google Scholar] [CrossRef]
  5. Lu, A.Z.; Zhang, N.; Chen, H.Y.; Zhang, N. Analytic stress solutions for a circular pressure tunnel at great depth including support delay and pure slip boundary condition. In Proceedings of the ISRM EUROCK, Vigo, Spain, 26–28 May 2014. ISRM-EUROCK-2014-164. [Google Scholar]
  6. Zhang, Z.; Huang, M.; Xi, X.; Yang, X. Complex variable solutions for soil and liner deformation due to tunneling in clays. Int. J. Geomech. 2018, 18, 04018074. [Google Scholar] [CrossRef]
  7. Cao, X.; Gong, W.; Zhou, F.; Dai, G. Stress analytical solution for shallow buried lined circular tunnel under the deformation of surrounding rock inner edge. Geotech. Geol. Eng. 2019, 37, 3771–3780. [Google Scholar] [CrossRef]
  8. Cai, H.; Lu, A.Z.; Ma, Y.C.; Yin, C.L. Semi-analytical solution for stress and displacement of lined circular tunnel at shallow depths. Appl. Math. Model. 2021, 100, 263–281. [Google Scholar] [CrossRef]
  9. Lu, A.Z.; Zhang, N.; Kuang, L. Analytic solutions of stress and displacement for a non-circular tunnel at great depth including support delay. Int. J. Rock Mech. Min. Sci. 2014, 70, 69–81. [Google Scholar] [CrossRef]
  10. Tao, J.Y.; Lu, A.Z.; Yin, C.L. Analytic solutions of stress and displacement for a non-circular pressurized tunnel in consideration of support delay. J. Yangtze River Sci. Res. Inst. 2018, 35, 164. [Google Scholar]
  11. Lu, A.Z.; Zhang, L.Q.; Qin, Y. Analytical solutions for the stress of a lined non-circular tunnel under full-slip contact conditions. Int. J. Rock Mech. Min. Sci. 2015, 79, 183–192. [Google Scholar] [CrossRef]
  12. Yin, C.L.; Lu, A.Z.; Tao, J.Y. Analytic solutions of stress and displacement for a non-circular pressure tunnel under full-slip contact condition. J. Yangtze River Sci. Res. Inst. 2018, 35, 85. [Google Scholar]
  13. Lu, A.Z.; Yin, C.L.; Zhang, N. Analytic stress solutions for a lined circular tunnel under frictional slip contact conditions. Eur. J. Mech. A/Solids 2019, 75, 10–20. [Google Scholar] [CrossRef]
  14. Zhao, N.; Shao, Z.; Yuan, B.; Chen, X.; Wu, K. Analytical approach to estimating the influence of friction slip contact between surrounding rock and concrete lining on mechanical response of deep rheological soft rock tunnels. Appl. Math. Model. 2023, 113, 287–308. [Google Scholar] [CrossRef]
  15. Zhang, D.; Xu, T.; Fang, H.; Fang, Q.; Cao, L.; Wen, M. Analytical modeling of complex contact behavior between rock mass and lining structure. J. Rock Mech. Geotech. Eng. 2021, 14, 813–824. [Google Scholar] [CrossRef]
  16. Fang, H.; Zhang, D.; Fang, Q. A semi-analytical method for frictional contact analysis between rock mass and concrete linings. Appl. Math. Model. 2022, 105, 17–28. [Google Scholar] [CrossRef]
  17. Fang, H.; Zhang, D.; Fang, Q.; Cao, L.; Wen, M. An efficient patch-to-patch method for coupling independent finite element subdomains with intersecting interfaces. Comput. Methods Appl. Mech. Eng. 2022, 388, 114209. [Google Scholar] [CrossRef]
  18. Kargar, A.R.; Rahmannejad, R.; Hajabasi, M.A. A semi-analytical elastic solution for stress field of lined non-circular tunnels at great depth using complex variable method. Int. J. Solids Struct. 2014, 51, 1475–1482. [Google Scholar] [CrossRef]
  19. Ren, Q.W.; Qiu, Y. Elastic-plastic solution of circular tunnel with liner. Eng. Mech. 2005, 22, 212–217. [Google Scholar]
  20. Wu, S.C.; Pan, D.G.; Gao, Y.T. Analytic solution for rock-liner interaction of deep circular tunnel. Eng. Mech. 2011, 28, 136–142. [Google Scholar]
  21. Wang, H.N.; Utili, S.; Jiang, M.J. An analytical approach for the sequential excavation of axisymmetric lined tunnels in viscoelastic rock. Int. J. Rock Mech. Min. Sci. 2014, 68, 85–106. [Google Scholar] [CrossRef]
  22. Kargar, A.R.; Haghgouei, H. An analytical solution for time-dependent stress field of lined circular tunnels using complex potential functions in a stepwise procedure. Appl. Math. Model. 2020, 77, 1625–1642. [Google Scholar] [CrossRef]
  23. Wang, H.; Song, F.; Zhao, T.; Jiang, M. Solutions for lined circular tunnels sequentially constructed in rheological rock subjected to non-hydrostatic initial stresses. Eur. J. Environ. Civ. Eng. 2022, 26, 1834–1866. [Google Scholar] [CrossRef]
  24. Wang, H.N.; Li, Y.; Ni, Q.; Utili, S.; Jiang, M.J.; Liu, F. Analytical solutions for the construction of deeply buried circular tunnels with two liners in rheological rock. Rock Mech. Rock Eng. 2013, 46, 1481–1498. [Google Scholar] [CrossRef]
  25. Yang, G.H.; Li, Z.Y.; Xu, C.B.; Jia, K.; Jiang, Y. Modeling load-structure interaction in shield tunnel composite lining. J. Hydroelectr. Eng. 2018, 37, 20–30. [Google Scholar] [CrossRef]
  26. Liu, C.; Zhang, D.; Zhang, S.; Sun, Z. Interaction analysis between composite supports and rheological rock considering progressive hardening characteristic of shotcrete. Constr. Build. Mater. 2023, 374, 130876. [Google Scholar] [CrossRef]
  27. Carranza-Torres, C.; Rysdahl, B.; Kasim, M. On the elastic analysis of a circular lined tunnel considering the delayed installation of the support. Int. J. Rock Mech. Min. Sci. 2013, 61, 57–85. [Google Scholar] [CrossRef]
  28. Kargar, A.R.; Haghgouei, H.; Babanouri, N. Time-dependent analysis of stress components around lined tunnels with circular configuration considering tunnel advancing rate effects. Int. J. Rock Mech. Min. Sci. 2020, 133, 104422. [Google Scholar] [CrossRef]
  29. Sun, C.; Zhang, X.D.; Li, Y.J. Analysis of interaction between surrounding rock and support structure in high stressed soft rock roadway. Rock Soil Mech. 2013, 34, 2601–2607. [Google Scholar]
  30. Zhao, N.; Shao, Z.; Chen, X.; Yuan, B.; Wu, K. Prediction of mechanical response of “a flexible support system” supported tunnel in viscoelastic geomaterials. Arch. Civ. Mech. Eng. 2022, 22, 160. [Google Scholar] [CrossRef]
  31. Bobet, A. Lined circular tunnels in elastic transversely anisotropic rock at depth. Rock Mech. Rock Eng. 2011, 44, 149–167. [Google Scholar] [CrossRef]
  32. Bobet, A.; Yu, H. Full stress and displacement fields for steel-lined deep pressure tunnels in transversely anisotropic rock. Tunn. Undergr. Space Technol. 2016, 56, 125–135. [Google Scholar] [CrossRef]
  33. Lu, A.; Zhang, N.; Wang, S.; Zhang, X. Analytical solution for a lined tunnel with arbitrary cross sections excavated in orthogonal anisotropic rock mass. Int. J. Geomech. 2017, 17, 04017044. [Google Scholar] [CrossRef]
  34. Wang, S.; Lu, A.; Tao, J.; Zeng, X.; Yin, C. Analytical solution for an arbitrary-shaped tunnel with full-slip contact lining in anisotropic rock mass. Int. J. Rock Mech. Min. Sci. 2020, 128, 104276. [Google Scholar] [CrossRef]
  35. Bobet, A. Effect of pore water pressure on tunnel support during static and seismic loading. Tunn. Undergr. Space Technol. 2003, 18, 377–393. [Google Scholar] [CrossRef]
  36. Bobet, A.; Nam, S. Stresses around pressure tunnels with semi-permeable liners. Rock Mech. Rock Eng. 2007, 40, 287–315. [Google Scholar] [CrossRef]
  37. Carranza-Torres, C.; Zhao, J. Analytical and numerical study of the effect of water pressure on the mechanical response of cylindrical lined tunnels in elastic and elasto-plastic porous media. Int. J. Rock Mech. Min. Sci. 2009, 46, 531–547. [Google Scholar] [CrossRef]
  38. Li, X.; Du, S.; Chen, B. Unified analytical solution for deep circular tunnel with consideration of seepage pressure, grouting and lining. J. Cent. South Univ. 2017, 24, 1483–1493. [Google Scholar] [CrossRef]
  39. Zou, J.; Li, S.; Zhang, Y.; Yuan, Z. Solution and analysis of circular tunnel for the strain-softening rock masses considering the axial in situ stress and seepage force. Eng. Mech. 2014, 46, 747–755. [Google Scholar] [CrossRef]
  40. Fang, H.; Zhang, D.; Fang, Q.; Wen, M. A generalized complex variable method for multiple tunnels at great depth considering the interaction between linings and surrounding rock. Comput. Geotech. 2021, 129, 103891. [Google Scholar] [CrossRef]
  41. Wang, T.; Zhou, G.Q.; Wang, J.Z.; Yin, L.J. Stochastic analysis of uncertainty mechanical characteristics for surrounding rock and lining in cold region tunnels. Cold Reg. Sci. Technol. 2018, 145, 160–168. [Google Scholar] [CrossRef]
  42. Cheng, Q.X.; Lu, A.Z.; Yin, C.L. Influence of unsteady temperature on the stress field of a deep buried circular lining tunnel. Comput. Geotech. 2021, 132, 104010. [Google Scholar] [CrossRef]
  43. Yasuda, N.; Tsukada, K.; Asakura, T. Elastic solutions for circular tunnel with void behind lining. Tunn. Undergr. Space Technol. 2017, 70, 274–285. [Google Scholar] [CrossRef]
  44. Yang, X.; Long, J. Reliability Prediction of Tunnel Roof with a Nonlinear Failure Criterion. Mathematics 2023, 11, 937. [Google Scholar] [CrossRef]
  45. Berisavljević, Z.; Bajić, D.; Jovičić, V. Development and Application of Methodology for Quantification of Overbreaks in Hard Rock Tunnel Construction. Appl. Sci. 2023, 13, 1379. [Google Scholar] [CrossRef]
Figure 1. Schematic diagram of circular hydraulic tunnel with lining.
Figure 1. Schematic diagram of circular hydraulic tunnel with lining.
Applsci 14 07443 g001
Figure 2. Stresses on boundary L1, L2.
Figure 2. Stresses on boundary L1, L2.
Applsci 14 07443 g002
Figure 3. Comparison of radial normal stress results at L1 boundary with and without considering external water pressure p1.
Figure 3. Comparison of radial normal stress results at L1 boundary with and without considering external water pressure p1.
Applsci 14 07443 g003
Figure 4. Comparison of tangential normal stress results with and without considering external hydraulic pressure p1.
Figure 4. Comparison of tangential normal stress results with and without considering external hydraulic pressure p1.
Applsci 14 07443 g004
Figure 5. Influence of external hydraulic pressure p1 on tangential normal stress of surrounding rock at L1.
Figure 5. Influence of external hydraulic pressure p1 on tangential normal stress of surrounding rock at L1.
Applsci 14 07443 g005
Figure 6. Influence of external hydraulic pressure p1 on tangential normal stress of lining at L1.
Figure 6. Influence of external hydraulic pressure p1 on tangential normal stress of lining at L1.
Applsci 14 07443 g006
Figure 7. Influence of external hydraulic pressure p1 on tangential normal stress of lining at L2.
Figure 7. Influence of external hydraulic pressure p1 on tangential normal stress of lining at L2.
Applsci 14 07443 g007
Disclaimer/Publisher’s Note: The statements, opinions and data contained in all publications are solely those of the individual author(s) and contributor(s) and not of MDPI and/or the editor(s). MDPI and/or the editor(s) disclaim responsibility for any injury to people or property resulting from any ideas, methods, instructions or products referred to in the content.

Share and Cite

MDPI and ACS Style

Xu, Y.; Bao, T.; Yuan, M.; Liu, Y.; Zhang, S. Analytical Solution for Lined Circular Water Conveyance Tunnels under the Action of Internal and External Hydraulic Pressure. Appl. Sci. 2024, 14, 7443. https://doi.org/10.3390/app14177443

AMA Style

Xu Y, Bao T, Yuan M, Liu Y, Zhang S. Analytical Solution for Lined Circular Water Conveyance Tunnels under the Action of Internal and External Hydraulic Pressure. Applied Sciences. 2024; 14(17):7443. https://doi.org/10.3390/app14177443

Chicago/Turabian Style

Xu, Yunqian, Tengfei Bao, Mingdao Yuan, Yijie Liu, and Shu Zhang. 2024. "Analytical Solution for Lined Circular Water Conveyance Tunnels under the Action of Internal and External Hydraulic Pressure" Applied Sciences 14, no. 17: 7443. https://doi.org/10.3390/app14177443

APA Style

Xu, Y., Bao, T., Yuan, M., Liu, Y., & Zhang, S. (2024). Analytical Solution for Lined Circular Water Conveyance Tunnels under the Action of Internal and External Hydraulic Pressure. Applied Sciences, 14(17), 7443. https://doi.org/10.3390/app14177443

Note that from the first issue of 2016, this journal uses article numbers instead of page numbers. See further details here.

Article Metrics

Back to TopTop