Characterization of Shallow Sedimentary Layers in the Oran Region Using Ambient Vibration Data
Abstract
1. Introduction
2. Geological Setting
3. Methodology and Data Processing
3.1. Ambient Vibration Data Acquisition
3.2. HVSR Technique
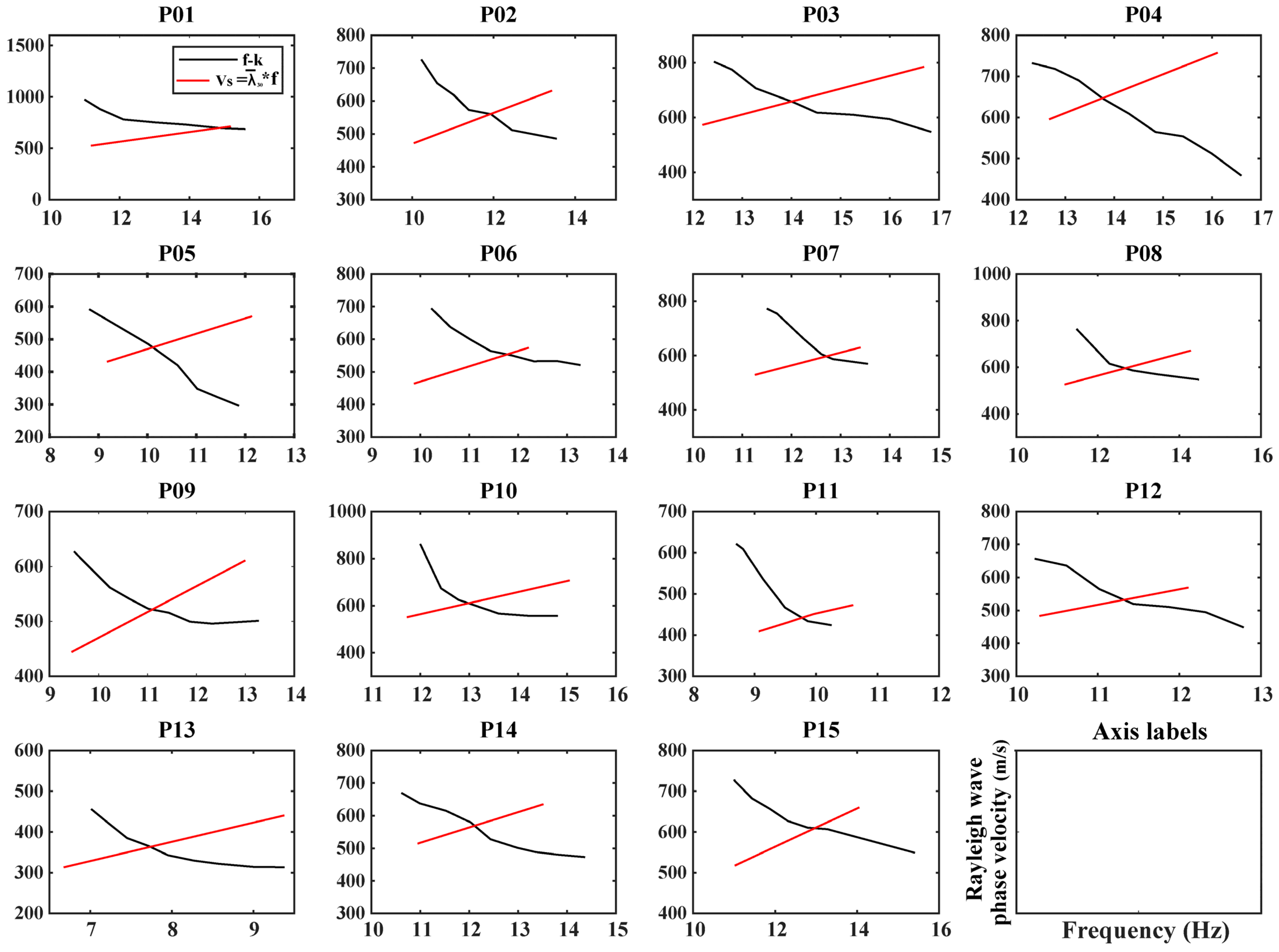
3.3. Frequency–Wavenumber (f-k) Analysis
3.4. Spatial Autocorrelation (SPAC) Technique
3.5. Inversion of Dispersion Curves
3.6. Estimation of the Vs30
3.7. Quality Factors Qs and Qp
3.8. Vulnerability Index (Kg)
4. Results and Discussion
4.1. The Soil Fundamental Frequencies
4.2. Dispersion Curves
4.3. Shear-Wave Velocity Models
4.4. Average Shear-Wave Velocities Vs30
4.4.1. Vs30 and Soil Classification
4.4.2. Vs30 Predictive Equation for the Oran Region
4.5. Soil Vulnerability Kg
4.6. Directional Site-Effects
5. Conclusions
Author Contributions
Funding
Institutional Review Board Statement
Informed Consent Statement
Data Availability Statement
Acknowledgments
Conflicts of Interest
References
- Yelles-Chaouche, A.; Boudiaf, A.; Djellit, H.; Bracene, R. La tectonique active de la région nord-algérienne. Comptes Rendus Geosci. 2006, 338, 126–139. [Google Scholar] [CrossRef]
- Chimouni, R.; Harbi, A.; Boughacha, M.S.; Hamidatou, M.; Kherchouche, R.; Sebaï, A. The 1790 Oran earthquake, a seismic event in times of conflict along the Algerian coast: A critical review from western and local source materials. Seismol. Res. Lett. 2018, 89, 2392–2403. [Google Scholar] [CrossRef]
- Grandjean, A. Séisme d’Algérie de 1940 a 1950. In Annales de L’Institut de Physique du Globe, 3ème Partie, Géophysique VII; IPG: Strasbourg, France, 1954. [Google Scholar]
- Benfedda, A.; Bouhadad, Y.; Boughacha, M.; Guessoum, N.; Abbes, K.; Bezzeghoud, M. The Oran January 9th (Mw 4.7) and June 6th, 2008 (Mw 5.4) earthquakes: Seismological study and seismotectonic implication. J. Afr. Earth Sci. 2020, 169, 103896. [Google Scholar] [CrossRef]
- Pomel, A. Description Stratigraphique Générale De L’Algerie; Imprimerie de l’Association Ouvrière P: Fontana, Alger, 1889; Volume 1, p. 90. [Google Scholar]
- Thomas, G. Géodynamique D’un Bassin Intramontagneux: Le Bassin Du Bas Chéliff occidental (Algérie) Durant le Mio-Plio-Quaternaire; Université de Pau et Pays de l’Adour: Pau, France, 1985. [Google Scholar]
- Hassani, M.I. Hydrogeologie D’un Bassin Endoreique Semi-Aride: Le Bassin Versant De La Grande Sebkha D’oran (Algérie). Master’s Thesis, Université Scientifique et Médicale de Grenoble, Grenoble, France, 1987. [Google Scholar]
- Bouhadad, Y. The Murdjadjo, Western Algeria, fault-related fold: Implications for seismic hazard. J. Seismol. 2001, 5, 541–558. [Google Scholar] [CrossRef]
- Esmaeilabadi, R.; Abasszadeh Shahri, A.; Behzadafshar, K.; Gheirati, A.; Nosrati Nasrabadi, J. Frequency content analysis of the probable earthquake in Kopet Dagh region—Northeast of Iran. Arab. J. Geosci. 2015, 8, 3833–3844. [Google Scholar] [CrossRef]
- Rosa-Cintas, S.; Clavero, D.; Delgado, J.; López-Casado, C.; Galiana-Merino, J.J.; Garrido, J. Characterization of the shear wave velocity in the metropolitan area of Málaga (S Spain) using the H/V technique. Soil Dyn. Earthq. Eng. 2017, 92, 433–442. [Google Scholar] [CrossRef]
- Rosa-Cintas, S.; Galiana-Merino, J.; Molina-Palacios, S.; Rosa-Herranz, J.; García-Fernández, M.; Jiménez, M. Soil characterization in urban areas of the Bajo Segura Basin (Southeast Spain) using H/V, F–K and ESAC methods. J. Appl. Geophys. 2011, 75, 543–557. [Google Scholar] [CrossRef]
- Panzera, F.; Romagnoli, G.; Tortorici, G.; D’Amico, S.; Rizza, M.; Catalano, S. Integrated use of ambient vibrations and geological methods for seismic microzonation. J. Appl. Geophys. 2019, 170, 103820. [Google Scholar] [CrossRef]
- Rohmer, O.; Bertrand, E.; Mercerat, E.; Régnier, J.; Pernoud, M.; Langlaude, P.; Alvarez, M. Combining borehole log-stratigraphies and ambient vibration data to build a 3D Model of the Lower Var Valley, Nice (France). Eng. Geol. 2020, 270, 105588. [Google Scholar] [CrossRef]
- Wathelet, M.; Jongmans, D.; Ohrnberger, M.; Bonnefoy-Claudet, S. Array performances for ambient vibrations on a shallow structure and consequences over V s inversion. J. Seismol. 2008, 12, 1–19. [Google Scholar] [CrossRef]
- Chaaraoui, A.; Chourak, M.; Peláez, J.A.; Cherif, S.-E. Seismic site effects investigation in the urban area of Nador (NE Morocco) using ambient noise measurements. Arab. J. Geosci. 2021, 14, 1937. [Google Scholar] [CrossRef]
- Yulians, M.; Tohari, A.; Rochman, J.P.G.N. Development of Seismic microzonation for Rancaekek Sub-District using microtremor method. In IOP Conference Series: Earth and Environmental Science; IOP Publishing: Bristol, UK, 2024; Volume 1373, p. 12017. [Google Scholar] [CrossRef]
- Mori, F.; Mendicelli, A.; Moscatelli, M.; Romagnoli, G.; Peronace, E.; Naso, G. A new Vs30 map for Italy based on the seismic microzonation dataset. Eng. Geol. 2020, 275, 105745. [Google Scholar] [CrossRef]
- Trichandi, R.; Bauer, K.; Ryberg, T.; Heit, B.; Araya Vargas, J.; von Blanckenburg, F.; Krawczyk, C.M. 3D shear wave velocity imaging of the subsurface structure of granite rocks in the arid climate of Pan de Azúcar, Chile, revealed by Bayesian inversion of HVSR curves. Earth Surf. Dyn. 2024, 12, 747–763. [Google Scholar] [CrossRef]
- Boore, D.M. Determining subsurface shear-wave velocities: A review. In Proceedings of the Third International Symposium on the Effects of Surface Geology on Seismic Motion, Grenoble, France, 30 August–1 September 2006; Volume 30, pp. 67–85. [Google Scholar]
- Abbaszadeh Shahri, A.; Naderi, S. Modified correlations to predict the shear wave velocity using piezocone penetration test data and geotechnical parameters: A case study in the southwest of Sweden. Innov. Infrastruct. Solut. 2016, 1, 13. [Google Scholar] [CrossRef]
- Olutoki, J.O.; Zhao, J.; Siddiqui, N.A.; Elsaadany, M.; Haque, A.E.; Akinyemi, O.D.; Said, A.H.; Zhao, Z. Shear wave velocity prediction: A review of recent progress and future opportunities. Energy Geosci. 2024, 5, 100338. [Google Scholar] [CrossRef]
- Issaadi, A.; Saadi, A.; Semmane, F.; Yelles-Chaouche, A.; Galiana-Merino, J.J. Liquefaction potential and Vs30 structure in the Middle-Chelif Basin, Northwestern Algeria, by ambient vibration data inversion. Appl. Sci. 2022, 12, 8069. [Google Scholar] [CrossRef]
- Issaadi, A.; Semmane, F.; Yelles-Chaouche, A.; Galiana-Merino, J.J.; Layadi, K. A shear-wave velocity model in the city of Oued-Fodda (Northern Algeria) from Rayleigh wave ellipticity inversion. Appl. Sci. 2020, 10, 1717. [Google Scholar] [CrossRef]
- Issaadi, A.; Semmane, F.; Yelles-Chaouche, A.; Galiana-Merino, J.J.; Mazari, A. Shallow S-wave velocity structure in the Middle-Chelif Basin, Algeria, using ambient vibration single-station and array measurements. Appl. Sci. 2021, 11, 11058. [Google Scholar] [CrossRef]
- Layadi, K.; Semmane, F.; Yelles-Chaouche, A. S-wave velocity structure of Chlef City, Algeria, by inversion of Rayleigh wave ellipticity. Near Surf. Geophys. 2018, 16, 328–339. [Google Scholar] [CrossRef]
- Layadi, K.; Semmane, F.; Yelles-Chaouche, A. Site-Effects Investigation in the City of Chlef (Formerly El-Asnam), Algeria, Using Earthquake and Ambient Vibration Data. Bull. Seismol. Soc. Am. 2016, 106, 2185–2196. [Google Scholar] [CrossRef]
- Saadi, A.; Issaadi, A.; Semmane, F.; Yelles-Chaouche, A.; Galiana-Merino, J.J.; Layadi, K.; Chimouni, R. 3D shear-wave velocity structure for Oran city, northwestern Algeria, from inversion of ambient vibration single-station and array measurements. Soil Dyn. Earthq. Eng. 2023, 164, 107570. [Google Scholar] [CrossRef]
- Perrodon, A. Etude géologique des bassins sublittoraux de l’Algérie occidentale. Publ. Serv. Carte Géol. de l’Algérie. NS Bull. 1957, 12, 328. [Google Scholar]
- Gourinard, Y. Carte Géologique De l’Algérie, Oran, 1/50000, 2nd ed.; Algeria Geological Map Service: Algiers, Algeria, 1952; Volume 159. [Google Scholar]
- Acerra, C.; Aguacil, G.; Anastasiadis, A.; Atakan, K.; Azzara, R.; Bard, P.-Y.; Basili, R.; Bertrand, E.; Bettig, B.; Blarel, F.; et al. Guidelines for the Implementation of the H/V Spectral Ratio Technique on Ambient Vibrations Measurements, Processing and Interpretation; European Commission, Project No. EVG1-CT-2000-00026 SESAME; European Commission: Luxembourg, 2004. [Google Scholar]
- Okada, H. The Microtremor Survey Method, Geophysical Monograph Series 12; Asten, M.W., Ed.; Society of Exploration Geophysicists: Tulsa, OK, USA, 2003. [Google Scholar]
- Nogoshi, M.; Igarashi, T. On the amplitude characteristics of ambient noise (Part 2). J. Seismol. Soc. Jpn. 1971, 24, 26–40. [Google Scholar] [CrossRef]
- Nakamura, Y. A Method for Dynamic Characteristics Estimation of Subsurface Using Microtremor on the Ground Surface; Railway Technical Research Institute, Quarterly Reports; Railway Technical Research Institute: Tokyo, Japan, 1989; Volume 30. [Google Scholar]
- Molnar, S.; Sirohey, A.; Assaf, J.; Bard, P.-Y.; Castellaro, S.; Cornou, C.; Cox, B.; Guillier, B.; Hassani, B.; Kawase, H. A review of the microtremor horizontal-to-vertical spectral ratio (MHVSR) method. J. Seismol. 2022, 26, 653–685. [Google Scholar] [CrossRef]
- Konno, K.; Ohmachi, T. Ground-motion characteristics estimated from spectral ratio between horizontal and vertical components of microtremor. Bull. Seismol. Soc. Am. 1998, 88, 228–241. [Google Scholar] [CrossRef]
- Wathelet, M.; Chatelain, J.L.; Cornou, C.; Giulio, G.D.; Guillier, B.; Ohrnberger, M.; Savvaidis, A. Geopsy: A user-friendly open-source tool set for ambient vibration processing. Seismol. Res. Lett. 2020, 91, 1878–1889. [Google Scholar] [CrossRef]
- Capon, J. High-resolution frequency-wavenumber spectrum analysis. Proc. IEEE 1969, 57, 1408–1418. [Google Scholar] [CrossRef]
- Capon, J.; Greenfield, R.J.; Kolker, R.J. Multidimensional maximum-likelihood processing of a large aperture seismic array. Proc. IEEE 1967, 55, 192–211. [Google Scholar] [CrossRef]
- Kelly, E.J.; Levin, M.J. Signal Parameter Estimation for Seismometer Arrays; Massachusetts Institute of Technologies, Lincoln Lab: Lexington, MA, USA, 1964. [Google Scholar]
- Lacoss, R.T.; Kelly, E.J.; Toksöz, M.N. Estimation of seismic noise structure using arrays. Geophysics 1969, 34, 21–38. [Google Scholar] [CrossRef]
- Aki, K. Space and time spectra of stationary stochastic waves, with special reference to microtremors. Bull. Earthq. Res. Inst. 1957, 35, 415–456. [Google Scholar]
- Bettig, B.; Bard, P.; Scherbaum, F.; Riepl, J.; Cotton, F.; Cornou, C.; Hatzfeld, D. Analysis of dense array noise measurements using the modified spatial auto-correlation method (SPAC): Application to the Grenoble area. Boll. Di Geofis. Teor. Ed Appl. 2001, 42, 281–304. [Google Scholar]
- Brown, L.; Diehl, J.G.; Nigbor, R.L. A simplified procedure to measure average shear-wave velocity to a depth of 30 meters (VS30). In Proceedings of the 12th World Conference on Earthquake Engineering, Auckland, New Zealand, 30 January–4 February 2000; pp. 1–8. [Google Scholar]
- Gosselin, J.M.; Dosso, S.E.; Askan, A.; Wathelet, M.; Savvaidis, A.; Cassidy, J.F. A review of inverse methods in seismic site characterization. J. Seismol. 2022, 26, 781–821. [Google Scholar] [CrossRef]
- Yang, X.-H.; Zhou, Y.; Han, P.; Feng, X.; Chen, X. Near-Surface Rayleigh Wave Dispersion Curve Inversion Algorithms: A Comprehensive Comparison. Surv. Geophys. 2024, 45, 773–818. [Google Scholar] [CrossRef]
- Wathelet, M. An improved neighborhood algorithm: Parameter conditions and dynamic scaling. Geophys. Res. Lett. 2008, 35, L09301. [Google Scholar] [CrossRef]
- Hyndman, R.J.; Koehler, A.B. Another look at measures of forecast accuracy. Int. J. Forecast. 2006, 22, 679–688. [Google Scholar] [CrossRef]
- Olsen, K.; Nigbor, R.; Konno, T. 3D viscoelastic wave propagation in the Upper Borrego Valley, California, constrained by borehole and surface data. Bull. Seismol. Soc. Am. 2000, 90, 134–150. [Google Scholar] [CrossRef]
- Schlotterbeck, B.A.; Abers, G.A. Three-dimensional attenuation variations in southern California. J. Geophys. Res. Solid Earth 2001, 106, 30719–30735. [Google Scholar] [CrossRef]
- Riga, E.; Makra, K.; Pitilakis, K. Aggravation factors for seismic response of sedimentary basins: A code-oriented parametric study. Soil Dyn. Earthq. Eng. 2016, 91, 116–132. [Google Scholar] [CrossRef]
- Nakamura, Y. Seismic vulnerability indices for ground and structures using microtremor. In Proceedings of the World Congress on Railway Research, Florence, Italy, 16–19 November 1997. [Google Scholar]
- Nakamura, Y. Real-time information systems for seismic hazards mitigation UrEDAS, HERAS and PIC. Q. Rep.-Rtri 1996, 37, 112–127. [Google Scholar]
- Council, B.S.S. NEHRP Recommended Provisions for Seismic Regulations for New Buildings and Other Structures (FEMA 450); Building Seismic Safety Council: Washington, DC, USA, 2003. [Google Scholar]
- Konno, K.; Kataoka, S.I. An estimating method for the average S-wave velocity of ground from the phase velocity of Rayleigh wave. Doboku Gakkai Ronbunshu 2000, 2000, 415–423. [Google Scholar] [CrossRef][Green Version]












| Sedimentary Layers | VP Range (m/s) | VS Range (m/s) | Density Range (kg/m3) |
|---|---|---|---|
| Quaternary alluviums | 200–1100 | 150–380 | 1700–2100 |
| Pliocene sands and sandstones | 450–2500 | 300–900 | 1900–2200 |
| Miocene marls, sandstones, and limestones | 1200–3000 | 800–1450 | 2100–2400 |
| Site | Lon (°) | Lat (°) | f0 (Hz) | A0 | f1 (Hz) | A1 | Kg | Vs30 (m/s) | Soil Class (NEHRP) | Qs30 |
|---|---|---|---|---|---|---|---|---|---|---|
| P01 | −0.550492 | 35.741258 | 0.47 ± 0.01 | 2.63 ± 0.32 | 8.50 ± 0.34 | 0.95 ± 0.08 | 14.72 | 620 | C | 62 |
| P02 | −0.550247 | 35.707788 | 0.38 ± 0.01 | 4.50 ± 0.46 | — | — | 53.29 | 590 | C | 59 |
| P03 | −0.597945 | 35.690743 | 0.47 ± 0.02 | 3.95 ± 0.34 | 7.44 ± 0.23 | 0.80 ± 0.33 | 33.20 | 630 | C | 63 |
| P04 | −0.564590 | 35.661102 | 1.05 ± 0.02 | 4.22 ± 0.28 | 8.00 ± 0.45 | 1.40 ± 0.14 | 16.96 | 680 | C | 68 |
| P05 | −0.630212 | 35.664428 | 0.48 ± 0.01 | 3.60 ± 0.29 | — | — | 27.00 | 510 | C | 51 |
| P06 | −0.643120 | 35.654857 | 0.39 ± 0.01 | 3.38 ± 0.41 | 7.16 ± 0.22 | 0.60 ± 0.03 | 29.29 | 540 | C | 54 |
| P07 | −0.576390 | 35.708226 | 0.41 ± 0.01 | 3.90 ± 0.01 | — | — | 37.10 | 580 | C | 58 |
| P08 | −0.589235 | 35.718537 | 0.30 ± 0.01 | 2.25 ± 0.15 | 9.00 ± 0.34 | 1.10 ± 0.21 | 16.88 | 640 | C | 64 |
| P09 | −0.630193 | 35.685222 | 0.35 ± 0.00 | 4.30 ± 0.03 | 6.63 ± 0.45 | 0.86 ± 0.08 | 52.83 | 550 | C | 55 |
| P10 | −0.576455 | 35.737782 | 0.31 ± 0.01 | 2.80 ± 0.04 | 6.60 ± 0.50 | 1.90 ± 0.34 | 25.29 | 580 | C | 58 |
| P11 | −0.629627 | 35.708965 | 0.35 ± 0.02 | 2.56 ± 0.10 | — | — | 18.72 | 480 | C | 48 |
| P12 | −0.657203 | 35.708427 | 1.58 ± 0.02 | 2.05 ± 0.12 | — | — | 02.66 | 530 | C | 53 |
| P13 | −0.654465 | 35.692368 | 0.40 ± 0.02 | 2.20 ± 0.07 | — | — | 12.10 | 390 | C | 39 |
| P14 | −0.683473 | 35.650235 | 0.87 ± 0.01 | 2.20 ± 0.43 | 6.52 ± 0.20 | 1.67 ± 0.15 | 05.04 | 560 | C | 56 |
| P15 | −0.570552 | 35.685702 | 0.76 ± 0.02 | 3.60 ± 0.35 | 7.83 ± 0.35 | 1.35 ± 0.44 | 17.05 | 580 | C | 58 |
| Vs (m/s) | Soil Type | Soil Classification |
|---|---|---|
| Vs > 1500 | Hard rock | A |
| 760 < Vs ≤ 1500 | Rock | B |
| 360 < Vs ≤ 760 | Very dense soil and soft rock | C |
| 180 < Vs ≤ 360 | Stiff soil | D |
| Site | Vs30 (m/s) | Predicted Vs30 (m/s) | Error (%) | Actual Site Classification | Predicted Site Classification |
|---|---|---|---|---|---|
| P1 | 620 | 590 | 5.00% | C | C |
| P2 | 590 | 560 | 5.30% | C | C |
| P3 | 630 | 650 | 3.00% | C | C |
| P4 | 680 | 640 | 6.25% | C | C |
| P5 | 510 | 480 | 6.20% | C | C |
| P6 | 540 | 570 | 5.30% | C | C |
| P7 | 580 | 590 | 1.70% | C | C |
| P8 | 640 | 600 | 6.60% | C | C |
| P9 | 550 | 520 | 5.80% | C | C |
| P10 | 580 | 600 | 3.30% | C | C |
| P11 | 480 | 450 | 6.60% | C | C |
| P12 | 530 | 520 | 5.80% | C | C |
| P13 | 390 | 370 | 5.40% | C | C |
| P14 | 560 | 560 | 0.00% | C | C |
| P15 | 580 | 600 | 3.30% | C | C |
Disclaimer/Publisher’s Note: The statements, opinions and data contained in all publications are solely those of the individual author(s) and contributor(s) and not of MDPI and/or the editor(s). MDPI and/or the editor(s) disclaim responsibility for any injury to people or property resulting from any ideas, methods, instructions or products referred to in the content. |
© 2024 by the authors. Licensee MDPI, Basel, Switzerland. This article is an open access article distributed under the terms and conditions of the Creative Commons Attribution (CC BY) license (https://creativecommons.org/licenses/by/4.0/).
Share and Cite
Saadi, A.; Galiana-Merino, J.J.; Semmane, F.; Yelles-Chaouche, A.; Issaadi, A. Characterization of Shallow Sedimentary Layers in the Oran Region Using Ambient Vibration Data. Appl. Sci. 2024, 14, 7364. https://doi.org/10.3390/app14167364
Saadi A, Galiana-Merino JJ, Semmane F, Yelles-Chaouche A, Issaadi A. Characterization of Shallow Sedimentary Layers in the Oran Region Using Ambient Vibration Data. Applied Sciences. 2024; 14(16):7364. https://doi.org/10.3390/app14167364
Chicago/Turabian StyleSaadi, Ahmed, Juan José Galiana-Merino, Fethi Semmane, Abdelkrim Yelles-Chaouche, and Abdelouahab Issaadi. 2024. "Characterization of Shallow Sedimentary Layers in the Oran Region Using Ambient Vibration Data" Applied Sciences 14, no. 16: 7364. https://doi.org/10.3390/app14167364
APA StyleSaadi, A., Galiana-Merino, J. J., Semmane, F., Yelles-Chaouche, A., & Issaadi, A. (2024). Characterization of Shallow Sedimentary Layers in the Oran Region Using Ambient Vibration Data. Applied Sciences, 14(16), 7364. https://doi.org/10.3390/app14167364

