Abstract
The study proposed the use of aspen wood sawdust and biochar derived from this sawdust for the removal of Pb(II), Cd(II), and Cr(VI) ions from soil in systems containing single metals as well as a mixture of all the studied metals. The effectiveness of the applied sorbents was compared with the sorptive properties of activated carbon. The results showed that all the tested materials reduced the metal content in the soil, and the obtained biochar was able to sorb lead, cadmium, and chromium ions in both studied systems. The influence of the type of sorbent, its dose, process duration, and the impact of metal on the removal efficiency and sorption capacity was analyzed. A statistical analysis of the obtained results was also conducted, determining the influence of process parameters on the removal capabilities of metal ions. The highest Pb, Cd and Cr ion removal efficiencies were obtained in a 36-day process at a sorbent dose of 10%. Aspen sawdust, biochar and activated carbon removed 46%, 50% and 71% of Pb(II), 35%, 43% and 53% of Cd(II) and 15%, 27% and 38% of Cr(VI), respectively. In turn, the highest sorption capacity values were achieved in a 36-day process at a sorbent dose of 2%, obtaining results of 20.2 mg/g, 22.3 mg/g and 23.2 mg/g of Pb(II), 5.1 mg/g, 7.9 mg/g and 11.7 mg/g of Cd(II) and 3.8 mg/g, 5.8 mg/g and 8.5 mg/g of Cr(VI), respectively. It was found that both raw aspen wood sawdust and biochar derived from this wood are effective in removing toxic metal ions from soil, which presents a potential solution to their presence in the natural environment.
1. Introduction
Heavy metals such as chromium (Cr), lead (Pb), cadmium (Cd), mercury (Hg), arsenic (As), copper (Cu), zinc (Zn), and nickel (Ni) are considered major hazardous trace elements due to their high toxicity, long residence time in the environment, and persistent bioavailability. Their presence in soil can result from various sources, such as weathering of parent rocks, mining, vehicular emissions, smelting, the use of chemical fertilizers, and industrial, agricultural, and commercial activities [1,2]. Heavy metal contamination in soil is persistent and can have detrimental effects on soil fertility, microbial activity, biodiversity, crop yields, and thus human health [3].
Soil contamination with heavy metals has garnered widespread interest globally, making the monitoring and control of these pollutants a priority. Chronic exposure to heavy metals can lead to serious health issues such as lung cancer, bone fractures, kidney dysfunction, and impairments of the immune, nervous, and hormonal systems [4]. Since the 20th century, rapid economic and social development has increased the demand for land resources due to human activities. Industrial production, fossil fuel combustion, metal extraction, the use of pesticides and fertilizers in agriculture, and wastewater discharge have contributed to soil degradation. The consequences of these activities include soil erosion, desertification, salinization, pollution, and a decline in soil fertility. Heavy metal contamination, characterized by long-lasting persistence, irreversibility, low mobility, severe toxicity, complex chemical properties, and ecological reactions, has become the most serious soil pollution problem [5].
The fundamental approach to protecting agricultural land and products is to trace the sources of heavy metal contamination and develop and implement appropriate mitigation and prevention measures. However, due to the complexity of heavy metal sources in soil and the influence of numerous parameters on their migration and accumulation, as well as the significant spatial variability of soil properties, these challenges are substantial. To mitigate the risks associated with heavy metals in contaminated soils, significant efforts have been devoted to developing effective remediation technologies such as soil washing, excavation of contaminated soil, and physicochemical, chemical, phytoremediation, and bioremediation methods. Physicochemical remediation involves changing the soil’s pH, redox conditions, or ionic composition by adding appropriate amendments to achieve heavy metal immobilization. Phytoremediation involves enhancing plants’ tolerance to heavy metals and their ability to remove them. Bioremediation utilizes microorganisms to absorb and precipitate heavy metals or reduce their toxicity through redox reactions [6,7].
One of the efficient and eco-friendly approaches to reclamation is the use of biochar, produced through the pyrolysis of biomass or plant or animal manure at temperatures ranging from approximately 200 to 700 °C under limited oxygen conditions [8,9,10]. Biochar improves soil properties, such as increasing pH, water retention, and promoting the decomposition of organic compounds, and can effectively reduce the mobility and bioavailability of heavy metals in contaminated soils, thus contributing to enhanced plant growth [11,12]. Biochar, a solid product of the pyrolysis process, is characterized by a high carbon content (65–90%). It has a fine-grained and porous structure and features oxygen-containing functional groups and an aromatic surface [13]. Due to the extensive microporous structures on its surface and the resulting large specific surface area, biochar is a practical adsorbent [14].
Wood is a widely used material in many areas, such as agriculture, construction, manufacturing, and consumption. Sawdust is mainly composed of cellulose, and also contains soluble sugars, acids, resins, oils, waxes, and other organic substances that affect its physicochemical properties. Wood sawdust, generated on a large scale as industrial waste during cutting, sawing, or milling of wood, requires careful disposal due to potential environmental problems. Improper burning or open disposal of sawdust can lead to serious health problems and environmental pollution [15]. In developing countries, these problems can be particularly acute, leading to additional environmental challenges. Therefore, the appropriate use of sawdust, such as its use in environmental remediation or biofuel production, is not only beneficial due to its low price, but also due to the diverse properties that can be used in various technological processes [16].
There are several studies available on the use of sawdust as a biosorbent of heavy metal ions and organic dyes [17]. Teixeira et al. proposed the chemical modification of sawdust of Ayous wood with APTES. Preliminary experiments showed that AW@APTES-0.5 is the best adsorbent for the removal of RB-4 dye from aqueous effluents [18]. Studies have been conducted on the use of wood sawdust as a raw material for the production of activated carbons. The results have shown that activated carbons obtained from wood biomass have promising properties, such as appropriate surface area, pore size, and volume, the presence of functional groups on the surface, and efficiency in removing various water-soluble toxic substances [19]. Recent studies have shown that sawdust ash can be used as a pozzolan in concrete, and sawdust can replace fine aggregate and sand, which affects the workability, density, mechanical, and shrinkage properties of bricks and brick materials [20].
However, the mechanisms responsible for reducing the mobility and bioavailability of heavy metals under the influence of biochar, as well as the potential risks associated with its use, are not fully understood, hindering its application for soil remediation [21]. Stabilizing heavy metals in soil through its modification has been recognized as a promising, cost-effective, and environmentally friendly remediation approach. Various soil amendments, such as lime, phosphate fertilizers, iron salts, apatite composites, red mud, bentonite, zeolite, silicon, and modified silicon, have been developed to limit heavy metal activity and reduce their accumulation in plants [22].
Nevertheless, large-scale remediation of agricultural soils contaminated with heavy metals has not yet been conducted, mainly due to economic challenges, low efficiency, lack of specificity, and potential secondary contamination. Therefore, it is necessary to develop new soil amendments characterized by high specificity and effectiveness with minimal negative impact on the soil environment to efficiently remediate heavy-metal-contaminated soils [23].
Biochar metal removal studies are superior to other studies in the field because they offer unique advantages resulting from the use of biochar as a sorption material. Unlike traditional remediation methods such as the use of activated carbon or chemicals, biochar is a more sustainable and ecological solution because it is derived from plant biomass and can be produced from agricultural waste. Additionally, biochar not only effectively removes heavy metals but also improves soil properties by increasing its water capacity and organic matter content, which brings additional environmental benefits. Our studies also include an extensive comparison of biochar with other sorption materials, allowing for a more accurate assessment of its efficiency and potential in different application contexts.
The aim of this study was to investigate the potential use of natural materials (biomass, biochar) as sorbents for the removal of selected heavy metals (lead (II), cadmium (II), and chromium (VI)) from soil. In the conducted experiments, aspen wood sawdust and the pyrolysis product of sawdust from the same type of wood were used as natural sorbents. Activated carbon was used as a control sorbent.
2. Materials and Methods
2.1. Materials
The natural sorbent used was aspen wood sawdust (AW), which is a by-product of mechanical wood processing. This lignocellulosic biomass mainly contains cellulose, hemicellulose, and lignin. Due to its compact and rigid structure, the sawdust is resistant to chemical and biochemical degradation [24]. Sawdust is utilized as an adsorbent because the cellulose and lignin it contains have hydroxyl, carboxyl, and phenolic groups, which facilitate the binding of metal cations [25]. The chemical composition of the analyzed, dry sawdust (with a diameter of 2.5 mm) includes cellulose (48%), lignin (18%), hemicellulose (20%), extractives (11%), and minerals (ash 3%) [24].
High-quality flower soil, a natural organic mixture designed for growing flowers with moderate nutritional requirements, was used in the studies. The main component of this soil is high-quality peat, and it is additionally enriched with micro- and macroelements. The pH of the substrate is maintained in the range of 5.5–6.5.
As a comparative material, granular activated carbon (AC) 4–8 mm pure p.a. was also used, with a minimum proper fraction of 80%, a methylene number of at least 7 cm3, drying losses of up to 12%, ash content of up to 8%, and a water extract pH of at least 8 (Avantor, Gliwice, Poland). Reagents used in the studies, such as K2Cr2O7, Pb(NO3)2, and Cd(NO3)2∙4H2O, were of pure analysis grade (Sigma-Aldrich, Steinheim, Germany). All solutions used in the experiment were prepared with deionized water, which was also used to maintain constant soil moisture.
2.2. Biomass Pyrolysis
The pyrolysis of aspen wood sawdust was carried out in an electric tubular furnace with a tube diameter of 100 mm (Strohlein Instruments, Őfen 85, Germany). Argon (Ar) was used as the inert gas, with a flow rate maintained at 12 dm3/min. In the first stage, the furnace was purged with argon for 60 min to remove air. The pyrolysis temperature was maintained at 500 °C. To obtain a sufficient quantity of material for the studies, three experiments were conducted, each with samples weighing approximately 20 g. These samples were then transferred to the central part of the reactor for a three-hour pyrolysis process. After completing the pyrolysis cycle, the device was left to cool down with a continuous flow of inert gas. The obtained biochar (BC) samples were weighed, averaged, and separated into coarser and finer fractions for subsequent use in the studies. The average yield of the pyrolysis process was 24.5%.
2.3. Preparation of Model Soil
The preparation of model soil containing lead (Pb), cadmium (Cd), and chromium (Cr) involved several unit operations. In the first step, the moisture content of the soil intended for the study was assessed. The results obtained were used for further calculations based on the dry weight of the soil. The initial concentration of each heavy metal in the soil was set at 1000 mg/kg. Appropriate amounts of Pb(NO3)2, Cd(NO3)2·4H2O, and K2Cr2O7 salts were weighed and dissolved in 100 cm3 of deionized water. Then, 800 g of raw soil was weighed into three containers, and each container was treated with one of the prepared solutions. Additionally, a soil sample containing all the salt solutions was prepared. The mixture was thoroughly stirred to ensure a uniform distribution of the chemical substances in the soil material.
2.4. Removal of Heavy Metals from the Soil
The removal of heavy metals—lead (Pb), cadmium (Cd), and chromium (Cr)—was conducted using three different sorbents: aspen wood sawdust, biochar, and activated carbon. For each metal, tests were performed at three different sorbent concentrations (Cs): 2%, 5%, and 10%. Control samples were prepared without any sorbent. For the soil enriched with the three heavy metals, three samples were prepared, each containing one type of sorbent at a concentration of 10%. The sorption process lasted for 15 days for Series I and 36 days for Series II.
The process of heavy metal removal was conducted in PP containers, where 30 g of model soil was weighed into each container. The appropriate amounts of sorbents were then added to the prepared soil, and the mixture was thoroughly stirred. The samples were gently mixed every three days to ensure uniform contact between the materials and the soil. Additionally, during the sorption process, the moisture content of the soil was monitored and adjusted to 60% using deionized water.
After the specified time interval, the materials were separated from the soil (only the coarser fraction of the material was used, and the samples were mixed in a way to avoid damage). The samples were then dried in a laboratory dryer at 50 °C for 24 h. The prepared samples were subsequently subjected to further analysis to characterize the sorbents and model soil, with a particular focus on the content of heavy metals.
2.5. Determination of Heavy Metals
The procedure for determining heavy metals in soil samples began with the thorough grinding of the dried soil and its mineralization in aqua regia (3:1, HCl:HNO3). The mineralization process was conducted at a temperature of 130–150 °C for 5 h. After cooling, the solution was filtered to remove insoluble residues, and the resulting filtrate was analyzed for heavy metal content using atomic absorption spectroscopy (AAS). The results were expressed in mg/kg of dry soil.
2.6. Physicochemical Characteristics
The microstructure of the materials was examined using a Hitachi TM3000 scanning electron microscope (Hitachi TM-3000, Tokyo, Japan), with a magnification of 2000×. Prior to observation, the samples were coated with a thin layer of gold. Observations were conducted at an accelerating voltage of 15 kV. The chemical composition of the coatings was analyzed using energy dispersive spectroscopy (EDS) with an X-ray microanalyzer.
Surface functional groups of the sorbents were investigated using Fourier-transform infrared spectroscopy (FTIR) with attenuated total reflectance (ATR). The measurements were performed with a Thermo Scientific ID ATR attachment for the Thermo Scientific Nicolet iS5 FT-IR spectrometer (Thermo Scientific, Nicolet iS5 spectrometer with the ATR iD7 attachment, Waltham, MA, USA). Sample preparation involved placing the sorbent on the ATR crystal and applying a specific force to press it against the crystal.
Thermogravimetric analysis of aspen wood sawdust was conducted using an EXSTAR SII TG/DTA 7300 apparatus (Dallas, TX, USA). The samples were heated in air from 30 to 750 °C at a rate of 20 °C/min.
2.7. Statistical Analysis
Pareto charts of effects were created, in which effects obtained through analysis of variance (ANOVA) were ordered by descending absolute values. The size of each effect is represented by a bar with a line indicating the statistical significance threshold [26]. To determine the independent parameter values that would yield the most favorable estimated values of the response coefficient, approximation profiles were created. The approximate values of the response coefficient for combinations of input factor values were converted to a utility scale, where the dependent variable values range from 0.0 (undesirable) to 1.0 (highly desirable). Statistical analysis was conducted using STATISTICA software, version 13, by Tibco [27].
3. Result and Discussion
3.1. Characterizations of Materials
The thermogravimetric analysis allowed for the measurement and recording of parameters such as sample mass (mg) and temperature (°C). The experimental data enabled the creation of TG and DTG profiles, which facilitated the identification of stages in the thermal degradation of biomass along with characteristic temperature ranges. The graphical representation of the thermogravimetric analysis is shown in Figure 1. Based on this, it was found that the combustion process of aspen wood sawdust occurs in three main stages: moisture evaporation, devolatilization, and combustion. The thermogravimetric curve shows that in the initial phase up to ~100 °C, moisture is removed from the wood (mass loss of approximately 6.5%). The main thermal degradation process of the biomass starts above 200 °C and proceeds in two stages, corresponding to peaks at 317 °C and 444 °C on the DTG curve. In the first stage, the degradation of hemicellulose (~220 °C), which is less thermally stable compared to cellulose, and cellulose (~315 °C) occurs [28]. It can be assumed that the onset of cellulose thermal degradation, along with the ongoing continuous degradation of hemicellulose, generally increases the degradation rate [29]. In the second stage, a thermal effect at 444 °C is observed, which is most likely related to the decomposition of lignin. Due to its complex structure, lignin undergoes continuous decomposition over a wide temperature range from about 200 °C to 500 °C. This phenomenon is due to its complex and stable chemical structure, including the presence of numerous oxygen-containing functional groups that decompose at higher temperature ranges [30].
Figure 1.
Thermogravimetric analysis of aspen wood sawdust.
Using SEM-EDS analysis, the morphology of the surface of aspen wood, biochar derived from this wood, and activated carbon was characterized before and after the removal of the investigated heavy metals. Figure 2 illustrates the sorbent materials in their raw state and as examples after the removal of lead ions from the soil.
Figure 2.
SEM-EDS analysis: (A)—aspen wood, (B)—biochar, (C)—activated carbon (A–C)—raw material, (A′–C′)—after Pb removal).
Aspen wood sawdust before the heavy metal removal process shows a rough texture with distinct sharp edges and secondary partitions. Surface roughness refers to the irregularities and unevenness, while the sharp structure indicates the presence of prominent edges and tips on the surface of the sawdust [31]. The resulting biochar features a wrinkled, uneven, and rough surface with numerous fissures and indentations of varying sizes, indicating a high degree of porosity in the studied material [32]. Activated carbon is characterized by highly irregular surface channels that play a crucial role in the adsorption of heavy metals. These channels serve as effective sites for the adsorption of heavy metal ions.
A comparison of the micrographs taken before and after the heavy metal removal process from the soil revealed that the surfaces of the studied materials became smoother and more uniform compared to the raw samples. SEM-EDS analysis detected the presence of lead, cadmium, and chromium on the surface of the applied material, confirming its ability to effectively bind these heavy metals.
Based on the FTIR spectral analysis, the characteristic functional groups present on the surfaces of the studied materials were identified before and after the removal of heavy metals. The FTIR spectra, shown in Figure 3, were analyzed in terms of the relationship between transmittance and wavenumber. The spectrum shows the materials in their raw state and the materials after metal removal, illustrated using lead ions as an example.
Figure 3.
Results of FTIR analysis of sorbents before and after the sorption process.
Based on the FTIR spectral analysis, the surface functional groups of the sorbent materials were characterized before and after the removal of heavy metals. Peaks with absorption maxima around 3333 cm−1 indicate the presence of stretching vibrations, likely associated with hydroxyl groups (O-H) from alcohols, phenols, amines, or acids [33]. Bands around 2916 cm−1 and 2849 cm−1 suggest the presence of asymmetric and symmetric stretching vibrations of the methylene group (CH2) [34,35]. Peaks in the range of 1740 cm−1 to 1590 cm−1 indicate the presence of asymmetric stretching vibrations of the C=O group, which may be attributed to acids, aldehydes, ketones, or esters [36,37]. Peaks in the range of 1500 cm−1 to 1450 cm−1 may suggest the presence of O-H groups (related to phenols) and deformation vibrations or C-O groups and their stretching vibrations. Peaks around 1029 cm−1 may correspond to hydroxyl groups (O-H) in sugars, C-O-C stretching vibrations in lignin or hemicellulose, C-H bending vibrations in aromatic rings, and S=O stretching vibrations [38,39,40].
The FTIR spectra also revealed noticeable differences that reflect changes in the surface structure of the materials after the removal of metal ions. These differences are attributed to the adsorption of metal ions on the surfaces of the studied materials. For example, shifts in peak positions and changes in signal intensity may indicate interactions between the functional groups on the adsorbents’ surfaces and metal ions. After the adsorption process, the intensity of existing peaks changes. A change in the stretching frequency around 3333 cm−1 indicates the coordination of -OH with metal ions [41]. Shifts in peaks around 2916 cm−1 and 2849 cm−1, corresponding to asymmetric and symmetric stretching vibrations of the methylene group (CH2), may suggest chemical interactions between the functional groups of the adsorbents and the metal ions. Additionally, changes in the range of 1590 cm−1 to 1735 cm−1, where asymmetric stretching vibrations of the C=O group occur, may suggest the formation of metal-carbonyl complexes [42]. Peaks corresponding to hydroxyl groups (O-H) and C-O groups also show shifts and changes in intensity, which could be related to the binding of heavy metal ions by these functional groups [41]. These observations indicate that the process of heavy metal ion adsorption on the surfaces of the studied materials leads to distinct changes in FTIR spectra, confirming the effectiveness of these materials in removing heavy metals from the soil.
3.2. Removal of Heavy Metals from the Soil
Figure 4 shows the influence of the type of sorbent materials for heavy metals and the process time on the adsorption characteristics of the tested metal ions from the soil, assuming a constant sorbent amount of 10%. Figure 4A demonstrates that all three tested materials can reduce the concentration of Pb, Cd, and Cr in the soil. The concentration of metals in the soil decreased from Pb: 966.0 mg/kg, Cd: 974.7 mg/kg, and Cr: 992.7 mg/kg (without sorbents) to: AW: 783.1 mg/kg, 521.9 mg/kg; BC: 766.4 mg/kg, 483.2 mg/kg; AC: 549.6 mg/kg, 281.2 mg/kg (Pb—Series I, Series II); AW: 843.6 mg/kg, 629.5 mg/kg; BC: 805.9 mg/kg, 557.0 mg/kg; AC: 769.2 mg/kg, 457.5 mg/kg (Cd—Series I, Series II); AW: 919.4 mg/kg, 842.2 mg/kg; BC: 830.0 mg/kg, 722.6 mg/kg; AC: 739.4 mg/kg, 611.8 mg/kg (Cr—Series I, Series II). In Series I, differences in the degree of removal of individual heavy metals were observed. For lead, the values were as follows: 18.94% for AW, 20.66% for BC, and 43.10% for AC. For cadmium, the achieved values were as follows: 13.46% for AW, 17.32% for BC, and 21.08% for AC. For chromium, the values were as follows: 7.38% for AW, 16.39% for BC, and 25.52% for AC. Comparing the values obtained from Series I with those from Series II, similar relationships between the removed metal and the sorbent used can be observed. The following removal efficiency values were obtained for lead: 45.97% for AW, 49.98% for BC, and 70.98% for AC. For cadmium, the values were as follows: 35.42% for AW, 42.85% for BC, and 53.06% for AC. For chromium, the values were as follows: 15.16% for AC, 27.21% for BC, and 38.37% for AC (Figure 4B). Activated carbon demonstrated the highest sorption capacity in both Series I and II (Pb: 4.16 and 6.84 mg/g; Cd: 2.05 and 5.17 mg/g; Cr: 2.53 and 3.81 mg/g), followed by biochar (Pb: 2.00 and 4.82 mg/g; Cd: 1.69 and 4.18 mg/g; Cr: 1.63 and 2.70 mg/g) and aspen wood (Pb: 1.83 and 4.44 mg/g; Cd: 1.31 and 3.45 mg/g; Cr: 0.73 and 1.50 mg/g) (Figure 4C). Analyzing the obtained values for AW, BC, and activated carbon (the control sample), the most similar values were recorded for biochar. Aspen wood achieved slightly lower values, which also confirms the effectiveness of this material as a sorbent. The differences between Series I and Series II consist mainly of the degree of removal of metal ions by individual materials, which is directly related to the parameter that differs between these series, which is the duration of the sorption process. In the series and contact time of materials with metal ion solutions, it was shorter, which could have influenced the lower efficiency of removing metal ions. However, in Series II, with the extended contact time, higher levels of removal were observed, which indicates the importance of this parameter for the effectiveness of the sorption process. Similar observations were made by other researchers who used, among others, poplar sawdust for removing Cu, Zn, and Cd from galvanic wastewater [43], maple sawdust for removing copper ions [44], or meranti sawdust as an adsorbent for removing copper (II), chromium (III), nickel (II), and lead (II) [45]. The analysis of the obtained results revealed that lead was most effectively removed by all the sorbents used. Ocreto et al., in their research, used modified activated carbon from bamboo as a cost-effective potential adsorbent for removing cadmium, copper, and lead from aqueous solutions, and the conducted experiments showed that the tested material had the highest affinity for lead ions [46]. The experiments also observed the influence of time on the degree of removal of heavy metals from the soil. The highest increase in removal efficiency was recorded for AW—163% for Cd, and the lowest for Cr and AC—50.4%. Biochar showed an increase of 142% for Pb, 147.4% for Cd, and 66% for Cr.
Figure 4.
The influence of the material on the removal of heavy metals from the soil: (A)—Metal concentration [mg/kg], (B)—removal efficiency [%], (C)—sorption capacity [mg/g] (Cs = 10%, I—Series I, II—Series II).
Figure 5 shows the influence of the amount of sorption materials on the removal of heavy metals from the soil. The tested materials were added to the soil in amounts of 2%, 5%, and 10%. Figure 5A,A′ indicate that the concentrations of the tested Pb, Zn, and Cr ions in the soil decrease in both Series I and Series II after adding the tested sorbents. The highest metal contents in the soil were observed for 2% Cs after the first series: AW: Pb—879.1 mg/kg, Cd—951.8 mg/kg, Cr—972.7 mg/kg; BC: Pb—852.8 mg/kg, Cd—928.5 mg/kg, Cr—944.0 mg/kg; AC: Pb—816.4 mg/kg, Cd—912.1 mg/kg, Cr—914.2 mg/kg. The lowest metal contents were observed for 10% Cs after the second series: AW: Pb—521.9 mg/kg, Cd—629.5 mg/kg, Cr—842.2 mg/kg; BC: Pb—483.2 mg/kg, Cd—557.0 mg/kg, Cr—722.6 mg/kg; AC: Pb—281.2 mg/kg, Cd—457.5 mg/kg, Cr—611.8 mg/kg. These data show that lead was the metal most effectively removed from the soil, with removal ranging from 9% (AW, Cs = 2%, I) to 71% (AC, Cs = 10%, II). In contrast, chromium was the most difficult to remove, with removal ranging from 2% (AW, Cs = 2%, I) to 38% (AC, Cs = 10%, II). The percentage of heavy metal removal increases rapidly with the increasing sorbent dosage due to greater availability of replacement sites or a larger surface area. Additionally, the adsorption percentage of metal ions on the adsorbent depends on the adsorption capacity of the adsorbent for different metal ions [47]. The obtained results are consistent with studies by other researchers, where increasing the sorbent dose led to an increase in the degree of contamination removal [6,48,49]. However, the amount of heavy metal ions adsorbed per unit mass of sorbent decreased as the amount of sorbent increased (Figure 5C). The highest differences were observed for the process carried out for 36 days. The difference in sorption capacity between Cs = 2% and Cs = 10% was: AW: Pb—78.0%, Cd—31.9%, Cr—60.3%; BC: Pb—78.3%, Cd—47.0%, Cr—53.3%; AC: Pb—70.4%, Cd—55.6%, Cr—55.2%. Increasing the sorbent dose increases the number of active sites available for adsorption, which facilitates the adsorption of heavy metal ions and explains the increase in removal percentage. However, the reduction in sorption capacity with higher sorbent doses (resulting in a higher ratio of sorbent mass to heavy metal ions) can be attributed to several factors, the most important of which is the saturation of sorption sites during the sorption process. Increasing the sorbent dose leads to a less proportional increase in total sorption due to lower utilization of the sorbent’s sorption capacity. As the sorbent dose increases, the number of available sorption sites increases, resulting in a larger amount of heavy metal ions absorbed. However, the reduction in sorption capacity at higher sorbent doses can mainly be attributed to the saturation of sorption sites during the process [47,50].
Figure 5.
The influence of the material and its concentration on the removal of heavy metals from the soil: (A)—Metal concentration [mg/kg], (B)—removal efficiency [%], (C)—sorption capacity [mg/g] (Cs = 2%,5%,10%, (A–C)—Series I, (A′–C′)—Series II).
The observed higher sorption capacity of activated carbon compared to that of aspen wood and biochar is mainly due to its highly developed specific surface area and larger pore volume, which allow better access for metal ions. Activated carbon is also characterized by a more diverse distribution of pores and the presence of numerous functional groups that favor the creation of strong bonds with heavy metals. In turn, sawdust and biochar have a less developed porous structure and a limited number of active adsorption places, which translates into their lower adsorption capacity.
Figure 6 shows the results of removing heavy metal ions from soil containing all three metals simultaneously by the tested materials. Figure 6A illustrates that all three tested metals were partially removed by the sorbents used. The metal concentrations obtained were: AW: Pb—790.5 mg/kg, Cd—912.4 mg/kg, Cr—918.9 mg/kg; BC: Pb—740.3 mg/kg, Cd—868.7 mg/kg, Cr—896.1 mg/kg; AC: Pb—684.3 mg/kg, Cd—865.2 mg/kg, Cr—854.4 mg/kg. These values are higher than those obtained under the same parameters but in soil containing individual metals. The differences range from 8% for AW and chromium ions to 59% for AC and lead ions. A similar trend was observed in the analysis of the degree of metal removal (Figure 6B). Here, the reduction ranged from 51% to 82% for AW—Cr, while for cadmium removal by AW, the reduction varied between 35.4% and 6.4%. The sorption capacity of the materials with respect to Pb, Cd, and Cr also showed the same trend (Figure 6C). The differences between the results for soil containing individual metals and soil containing all three metals can be attributed to competitive sorption that occurs when removing multiple metals simultaneously. In such cases, the available sorption sites on the tested materials are occupied by various metal ions, reducing the efficiency of removal and sorption capacity for each metal. When removing individual metals, the sorbents were able to sorb specific metal ions more effectively, leading to higher removal efficiency and sorption capacity [51,52]. These results highlight the significant impact of competitive adsorption on the cleaning processes and emphasize the importance of selecting appropriate process conditions for practical heavy metal sorption applications.
Figure 6.
The influence of the material on the removal of all heavy metals from the soil: (A)—Metal concentration [mg/kg], (B)—removal efficiency [%], (C)—sorption capacity [mg/g] (Cs = 10%, Series II).
Many researchers have studied the use of biochar made from various raw materials to remove heavy metals from soil. Xing et al. obtained biochar from sludge by pyrolysis carried out at different temperatures to remove chromium, lead, cadmium, arsenic, copper and zinc. The biochar produced at 900 °C reduced chromium from 73.51% to 9.57%, lead from 55.91% to 4.87%, cadmium from 78.20% to 12.50%, arsenic from 97.91% to 52.11%, copper from 91.65% to 9.44% and zinc from 98.82% to 63.34% [53]. Liang et al. used rice husk biochar to remove copper and zinc, among others, which allowed them to reduce Cu from 53.9 mg/kg to 51.57 mg/kg and Zn from 210.82 mg/kg to 194.59 mg/kg [54]. Tang et al. investigated the possibility of using rice straw biochar and a mixture of biochar and compost to remove cadmium from soil. After 30 days, they observed a 65.8% reduction in cadmium using biochar alone and an 87.1% reduction in cadmium using a mixture of biochar and compost [55]. Liu et al. used magnetic macroporous biochar beads to remove cadmium and arsenic from soil in their study, achieving reductions in cadmium from 2.81 mg/kg to 1.39 mg/kg and arsenic from 60.23 mg/kg to 27.34 mg/kg [56].
The results presented on the removal efficiency of the studied metal ions by the analyzed materials show that lead ions are removed with higher efficiency compared to cadmium and chromium ions. The main reasons for this difference are due to the chemical and physical properties of Pb(II), which has a larger ionic radius and lower hydration energy compared to Cr and Cd ions, which facilitates its sorption on the sorbent surface (lower hydration energy results in easier adsorption) [57,58]. Lead ions easily form strong complexes with functional groups on the surface of the adsorbent, which increase its removal efficiency [59]. Lead, due to its properties, better fills available spaces on the adsorbent surface compared to smaller and more complex forms of metals, such as chromium ions. Chromium in the form of Cr(VI) (e.g., as chromate) is less susceptible to adsorption compared to Pb(II) because Cr(VI) is more soluble in water and has less tendency to form permanent bonds with functional groups on the adsorbent surface.
Although the obtained biochar shows lower effectiveness in removing metals compared to activated carbon, it remains a valuable sorbent material. Its production is generally cheaper and more environmentally friendly because it can be made from agricultural waste or other biomaterials, reducing production costs and environmental impact. The low production cost of biochar allows it to be used in larger quantities, which can effectively compensate for its lower unit efficiency. Unlike activated carbon, biochar can improve soil properties by increasing its water-holding capacity and organic matter content, which provides additional benefits for its use in environmental remediation. Moreover, biochar can retain and decompose certain organic pollutants, making it a more versatile material compared to activated carbon, which is more specialized in adsorbing inorganic compounds.
3.3. Statistical Analysis of Results
The significance of the data can be assessed based on their p-values, with values closer to zero indicating greater importance. For a 95% confidence level, the p-value should be less than or equal to 0.05 for an effect to be considered statistically significant [60]. Figure 7 graphically presents the absolute values of the main effects and interactions of these factors using Pareto charts. To indicate the minimum statistically significant effect size for a 95% confidence level, a vertical line is drawn on the Pareto chart. Bars that remain to the left of the reference line on the Pareto chart indicate that these variables contributed the least to predicting the effectiveness of the studied parameters. The higher the bar for a variable, the greater the impact that variable has on the dependent variable being studied. In the case of the process analysis conducted for soil containing individual metals (Figure 7A–C), it appears that all studied variables—metal type (Metal), process time (Time), sorbent concentration (Cs), and type of sorbent used (Material)—are statistically significant. Additionally, for the metal content in the soil after the removal process and removal efficiency, the interactions between Metal and Time, as well as Material and Cs, are also statistically significant. For sorption capacity, significant interactions are observed between Metal and Time, Metal and Cs, and Time and Cs. In the process of removing heavy metals from soil containing all metals (Figure 7D–F), it is observed that the only statistically significant effect influencing the process is the type of metal being removed (Metal).
Figure 7.
Pareto charts of effects: (A,D)—Metal concentration, (B,E)—removal efficiency, (C,F)—sorption capacity ((A–C)—Series I and II, (D–F)—multi-component system).
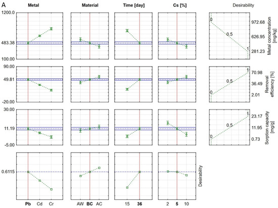
The approximation profile with the desirability function is a tool that enables finding the optimal solution for the analyzed issue (Figure 8). Profiling allows for displaying predicted values of dependent variables under various combinations of levels of independent variables. Additionally, it enables the determination of the desirability function for dependent variables and the establishment of a method to identify the levels of independent variables that provide the most desired response of dependent variables [61]. The desirability function, ranging from 0 to 1, estimates the degree of preference for the predicted response value at a given factor level and the average values of the remaining factors. The horizontal dashed line on the response charts illustrates the optimal values of the studied variables (lowest metal concentration in the soil, highest removal efficiency, and highest sorption capacity). Optimal conditions for removing heavy metal ions from the soil that met the chosen parameters and could improve process efficiency were identified. Figure 8A shows the optimal results obtained from statistical analysis for heavy metal removal from soil in single-component systems. The horizontal line on the desirability charts indicates the highest achieved desirability. Vertical lines correspond to approximate optimal factor values (i.e., parameters that achieve the highest values for the studied variables). It is important to note that in the case of two variables, namely removal efficiency and sorption capacity, there is a mutual exclusion because increasing the amount of sorbent increases removal efficiency but decreases sorption capacity. In many publications, an optimal sorbent dose is chosen to achieve the desired removal efficiency, which is useful for the economical use of sorption materials. Therefore, individual optimal desirability values differed from those obtained for global optimal desirability. This was due to statistical conversions needed to simultaneously achieve optimal values [62]. For the three analyzed dependent variables, the individual desirability was approximately 0.61 for lead removal using BC at a concentration of 5% over 36 days. With these process parameters, the soil achieved a Pb content of 483.4 mg/kg, a removal efficiency of 49.8%, and a sorption capacity of 11.2 mg/g. To achieve the highest desirability value, an analysis of two parameters, i.e., metal content and removal efficiency, was considered. In this case, a desirability of 0.99 was achieved for lead-ion removal using AC over 36 days at Cs = 10%, resulting in a metal content in the soil of 289.5 mg/kg and a removal efficiency of 69.8%. Similar observations were made in studies on the simultaneous removal of heavy metals from soil, with individual desirability directed towards BC at a level of 0.65, achieving a Pb content of 761 mg/kg, a removal efficiency of 21.1%, and a sorption capacity of ~2 mg/g for Pb. For optimal desirability (0.87), this was achieved in metal removal using AC (metal content 714 mg/kg, sorption efficiency 25.9%).

Figure 8.
Approximation profile with the desirability function of the metal removal process from the soil for the variables: heavy metal content in the soil and heavy metal removal efficiency ((A)—Series I and II, (B)—multi-component system).
4. Conclusions
The conducted studies demonstrated that the use of aspen wood sawdust and biochar made from this type of wood is effective in removing heavy metals from soil. Experiments on the removal of lead, cadmium, and chromium ions were carried out in two scenarios: one with a single metal and another with three metals. The impact of process time and sorbent concentration in the soil on the removal capacities of Pb(II), Cd(II), and Cr(VI) was investigated, and the results were compared with those from commercial activated carbon. The removal capacities of heavy metal ions from the soil are strongly correlated with the type of material and the metal ion being removed. Activated carbon exhibited the highest removal capacities for all metal ions, while aspen wood sawdust had the lowest capacities. The highest removal efficiencies for individual metal ions were achieved for lead ions at a sorbent concentration of 10%, with removal rates of 46% for sawdust, 50% for biochar, and 71% for activated carbon. The highest sorption capacities were achieved for sorbent concentrations of 2%, with values of 20.1 mg/g, 22.3 mg/g, and 23.2 mg/g, respectively. Studies in the three-metal scenario showed that all metals were removed from the soil, but the obtained values were lower compared to the single-metal scenarios. In this case, the removal efficiencies for biochar were 23.4% (Pb), 10.9% (Cd), and 9.7% (Cr). The efficiency of removing heavy metal ions from the soil increased with process time and the concentration of the used sorbent. Statistical analysis revealed that statistically significant parameters for the process were the type of material used, its concentration in the soil, process time, and the type of metal being removed. The use of sorbents, including biochar, could be a potential method for immobilizing heavy metals in soil and preventing their movement into the food chain. Despite some limitations compared to activated carbon, biochar is an attractive and sustainable alternative for heavy metal removal due to its low cost, versatility, and ecological benefits.
Author Contributions
Conceptualization, P.S.; Methodology, J.C.; Validation, P.S. and J.C.; Investigation, P.S., A.Z., P.R. and J.C.; Writing—original draft, P.S. and A.Z.; Visualization, P.S.; Supervision, P.S. All authors have read and agreed to the published version of the manuscript.
Funding
This research received no external funding.
Institutional Review Board Statement
Not applicable.
Informed Consent Statement
Not applicable.
Data Availability Statement
The raw data supporting the conclusions of this article will be made available by the authors on request.
Conflicts of Interest
The authors declare no conflict of interest.
References
- Rahman, Z.; Singh, V.P. The Relative Impact of Toxic Heavy Metals (THMs) (Arsenic (As), Cadmium (Cd), Chromium (Cr)(VI), Mercury (Hg), and Lead (Pb)) on the Total Environment: An Overview. Environ. Monit. Assess. 2019, 191, 419. [Google Scholar] [CrossRef]
- Balali-Mood, M.; Naseri, K.; Tahergorabi, Z.; Khazdair, M.R.; Sadeghi, M. Toxic Mechanisms of Five Heavy Metals: Mercury, Lead, Chromium, Cadmium, and Arsenic. Front. Pharmacol. 2021, 12, 643972. [Google Scholar] [CrossRef] [PubMed]
- Jayakumar, M.; Surendran, U.; Raja, P.; Kumar, A.; Senapathi, V. A Review of Heavy Metals Accumulation Pathways, Sources and Management in Soils. Arab. J. Geosci. 2021, 14, 2156. [Google Scholar] [CrossRef]
- Rehman, K.; Fatima, F.; Waheed, I.; Akash, M.S.H. Prevalence of Exposure of Heavy Metals and Their Impact on Health Consequences. J. Cell. Biochem. 2018, 119, 157–184. [Google Scholar] [CrossRef]
- Shakya, A.; Agarwal, T. Potential of Biochar for the Remediation of Heavy Metal Contaminated Soil. In Biochar Applications in Agriculture and Environment Management; Springer: Cham, Switzerland, 2020; pp. 77–98. [Google Scholar] [CrossRef]
- Manjaiah, M.; Datta, S.C.; Ahammed Shabeer, T.P.; Sarkar, B. Chitosan-g-Poly(Acrylic Acid)-Bentonite Composite: A Potential Immobilizing Agent of Heavy Metals in Soil. Cellulose 2018, 25, 3985–3999. [Google Scholar] [CrossRef]
- Wang, L.; Rinklebe, J.; Tack, F.M.G.; Hou, D. A Review of Green Remediation Strategies for Heavy Metal Contaminated Soil. Soil Use Manag. 2021, 37, 936–963. [Google Scholar] [CrossRef]
- Saletnik, B.; Zagula, G.; Bajcar, M.; Tarapatskyy, M.; Bobula, G.; Puchalski, C. Biochar as a Multifunctional Component of the Environment—A Review. Appl. Sci. 2019, 9, 1139. [Google Scholar] [CrossRef]
- Panwar, N.L.; Pawar, A.; Salvi, B.L. Comprehensive Review on Production and Utilization of Biochar. SN Appl. Sci. 2019, 1, 168. [Google Scholar] [CrossRef]
- Jatav, H.S.; Rajput, V.D.; Minkina, T.; Singh, S.K.; Chejara, S.; Gorovtsov, A.; Barakhov, A.; Bauer, T.; Sushkova, S.; Mandzieva, S.; et al. Sustainable Approach and Safe Use of Biochar and Its Possible Consequences. Sustainability 2021, 13, 10362. [Google Scholar] [CrossRef]
- Guo, X.X.; Liu, H.T.; Zhang, J. The Role of Biochar in Organic Waste Composting and Soil Improvement: A Review. Waste Manag. 2020, 102, 884–899. [Google Scholar] [CrossRef]
- Hayyat, A.; Javed, M.; Rasheed, I.; Ali, S.; Shahid, M.J.; Rizwan, M.; Javed, M.T.; Ali, Q. Role of Biochar in Remediating Heavy Metals in Soil. Phytoremediation Manag. Environ. Contam. 2016, 3, 421–437. [Google Scholar] [CrossRef]
- Ghani, W.A.W.A.K.; Mohd, A.; da Silva, G.; Bachmann, R.T.; Taufiq-Yap, Y.H.; Rashid, U.; Al-Muhtaseb, A.H. Biochar Production from Waste Rubber-Wood-Sawdust and Its Potential Use in C Sequestration: Chemical and Physical Characterization. Ind. Crops Prod. 2013, 44, 18–24. [Google Scholar] [CrossRef]
- Liu, Z.; Xu, Z.; Xu, L.; Buyong, F.; Chay, T.C.; Li, Z.; Cai, Y.; Hu, B.; Zhu, Y.; Wang, X. Modified Biochar: Synthesis and Mechanism for Removal of Environmental Heavy Metals. Carbon Res. 2022, 1, 8. [Google Scholar] [CrossRef]
- Batool, F.; Islam, K.; Cakiroglu, C.; Shahriar, A. Effectiveness of Wood Waste Sawdust to Produce Medium- to Low-Strength Concrete Materials. J. Build. Eng. 2021, 44, 103237. [Google Scholar] [CrossRef]
- Hossain, M.F.; Islam, M.K.; Islam, M.A. Effect of Chemical Treatment on the Mechanical and Physical Properties of Wood Saw Dust Particles Reinforced Polymer Matrix Composites. Procedia Eng. 2014, 90, 39–45. [Google Scholar] [CrossRef]
- Ibrahim, N.A.; Abdellatif, F.H.H.; Hasanin, M.S.; Abdellatif, M.M. Fabrication, Characterization, and Potential Application of Modified Sawdust Sorbents for Efficient Removal of Heavy Metal Ions and Anionic Dye from Aqueous Solutions. J. Clean. Prod. 2022, 332, 130021. [Google Scholar] [CrossRef]
- Teixeira, R.A.; Lima, E.C.; Benetti, A.D.; Thue, P.S.; Cunha, M.R.; Cimirro, N.F.G.M.; Sher, F.; Dehghani, M.H.; dos Reis, G.S.; Dotto, G.L. Preparation of Hybrids of Wood Sawdust with 3-Aminopropyl-Triethoxysilane. Application as an Adsorbent to Remove Reactive Blue 4 Dye from Wastewater Effluents. J. Taiwan Inst. Chem. Eng. 2021, 125, 141–152. [Google Scholar] [CrossRef]
- Danish, M.; Ahmad, T. A Review on Utilization of Wood Biomass as a Sustainable Precursor for Activated Carbon Production and Application. Renew. Sustain. Energy Rev. 2018, 87, 1–21. [Google Scholar] [CrossRef]
- Chowdhury, S.; Maniar, A.; Suganya, O.M. Strength Development in Concrete with Wood Ash Blended Cement and Use of Soft Computing Models to Predict Strength Parameters. J. Adv. Res. 2015, 6, 907–913. [Google Scholar] [CrossRef]
- Guo, M.; Song, W.; Tian, J. Biochar-Facilitated Soil Remediation: Mechanisms and Efficacy Variations. Front. Environ. Sci. 2020, 8, 521512. [Google Scholar] [CrossRef]
- Cui, W.; Li, X.; Duan, W.; Xie, M.; Dong, X.; Cui, W.; Li, X.; Duan, W.; Xie, M.; Dong, X. Heavy Metal Stabilization Remediation in Polluted Soils with Stabilizing Materials: A Review. Environ. Geochem. Health 2023, 45, 4127–4163. [Google Scholar] [CrossRef] [PubMed]
- Wuana, R.A.; Okieimen, F.E.; Montuelle, B.; Steinman, A.D. Heavy Metals in Contaminated Soils: A Review of Sources, Chemistry, Risks and Best Available Strategies for Remediation. Int. Sch. Res. Not. 2011, 2011, 402647. [Google Scholar] [CrossRef]
- Borovkova, V.S.; Malyar, Y.N.; Sudakova, I.G.; Chudina, A.I.; Zimonin, D.V.; Skripnikov, A.M.; Miroshnikova, A.V.; Ionin, V.A.; Kazachenko, A.S.; Sychev, V.V.; et al. Composition and Structure of Aspen (Pópulus trémula) Hemicelluloses Obtained by Oxidative Delignification. Polymers 2022, 14, 4521. [Google Scholar] [CrossRef] [PubMed]
- Del Sole, R.; Fogel, A.A.; Somin, V.A.; Vasapollo, G.; Mergola, L. Evaluation of Effective Composite Biosorbents Based on Wood Sawdust and Natural Clay for Heavy Metals Removal from Water. Materials 2023, 16, 5322. [Google Scholar] [CrossRef]
- Stanisz, A. Przystępny Kurs Statystyki z Zastosowaniem Statistica PL Tom 2: Modele Liniowe i Nieliniowe; StatSoft: Tulsa, OK, USA, 2007; p. 868. [Google Scholar]
- TIBCO Statistica, version 13; TIBCO Statistica Inc.: Tulsa, OK, USA.
- Yang, H.; Yan, R.; Chen, H.; Lee, D.H.; Zheng, C. Characteristics of Hemicellulose, Cellulose and Lignin Pyrolysis. Fuel 2007, 86, 1781–1788. [Google Scholar] [CrossRef]
- Jonasson, S.; Bünder, A.; Niittylä, T.; Oksman, K. Isolation and Characterization of Cellulose Nanofibers from Aspen Wood Using Derivatizing and Non-Derivatizing Pretreatments. Cellulose 2020, 27, 185–203. [Google Scholar] [CrossRef]
- Brebu, M.; Vasile, C. Thermal Degradation of Lignin—A Review. Cellul. Chem. Technol. 2010, 44, 353–363. [Google Scholar]
- Kumar, A.; Korpinen, R.; Möttönen, V.; Verkasalo, E. Suberin Fatty Acid Hydrolysates from Outer Birch Bark for Hydrophobic Coating on Aspen Wood Surface. Polymers 2022, 14, 832. [Google Scholar] [CrossRef]
- Ilyas, M.; Liao, Y.; Xu, J.; Wu, S.; Liao, W.; Zhao, X. Removal of Anthracene from Vehicle-Wash Wastewater through Adsorption Using Eucalyptus Wood Waste-Derived Biochar. Desalin. Water Treat. 2024, 317, 100115. [Google Scholar] [CrossRef]
- Evora, M.C.; Gonçalez, O.L.; Dutra, R.C.L.; Diniz, M.F.; Wiebeck, H.; Andrade e Silva, L.G. de Comparação de Técnicas FTIR de Transmissão, Reflexão e Fotoacústica Na Análise de Poliamida-6, Reciclada e Irradiada. Polímeros 2002, 12, 60–68. [Google Scholar] [CrossRef]
- Cavagna, M.; Dell’Anna, R.; Monti, F.; Rossi, F.; Torriani, S. Use of ATR-FTIR Microspectroscopy to Monitor Autolysis of Saccharomyces Cerevisiae Cells in a Base Wine. J. Agric. Food Chem. 2009, 58, 39–45. [Google Scholar] [CrossRef]
- Bhaduri, D.; Saha, A.; Desai, D.; Meena, H.N. Restoration of Carbon and Microbial Activity in Salt-Induced Soil by Application of Peanut Shell Biochar during Short-Term Incubation Study. Chemosphere 2016, 148, 86–98. [Google Scholar] [CrossRef]
- Mitter, E.K.; Corso, C.R. FT-IR Analysis of Acid Black Dye Biodegradation Using Saccharomyces Cerevisiae Immobilized with Treated Sugarcane Bagasse. Water Air Soil Pollut. 2013, 224, 1607. [Google Scholar] [CrossRef]
- El-Kabbany, F.; Taha, S.; B1, H.; Hafez, M. Infrared Spectroscopic Anaylsis of Polymorphism in Diphenyl Carbazide. Sci. Pap. Univ. Pardubic. 2011, 78, 981–988. [Google Scholar]
- Wahab, M.A.; Boubakri, H.; Jellali, S.; Jedidi, N. Characterization of Ammonium Retention Processes onto Cactus Leaves Fibers Using FTIR, EDX and SEM Analysis. J. Hazard. Mater. 2012, 241–242, 101–109. [Google Scholar] [CrossRef] [PubMed]
- Abbas, O.; Rebufa, C.; Dupuy, N.; Kister, J. FTIR—Multivariate Curve Resolution Monitoring of Photo-Fenton Degradation of Phenolic Aqueous Solutions: Comparison with HPLC as a Reference Method. Talanta 2008, 77, 200–209. [Google Scholar] [CrossRef] [PubMed]
- Cherdoud-Chihani, A.; Mouzali, M.; Abadie, M.J.M. Study of Crosslinking Acid Copolymer/DGEBA Systems by FTIR. J. Appl. Polym. Sci. 2003, 87, 2033–2051. [Google Scholar] [CrossRef]
- Fakhre, N.A.; Ibrahim, B.M. The Use of New Chemically Modified Cellulose for Heavy Metal Ion Adsorption. J. Hazard. Mater. 2018, 343, 324–331. [Google Scholar] [CrossRef]
- Yu, X.; Tong, S.; Ge, M.; Wu, L.; Zuo, J.; Cao, C.; Song, W. Adsorption of Heavy Metal Ions from Aqueous Solution by Carboxylated Cellulose Nanocrystals. J. Environ. Sci. 2013, 25, 933–943. [Google Scholar] [CrossRef]
- Šćiban, M.; Radetić, B.; Kevrešan, Ž.; Klašnja, M. Adsorption of Heavy Metals from Electroplating Wastewater by Wood Sawdust. Bioresour. Technol. 2007, 98, 402–409. [Google Scholar] [CrossRef]
- Rahman, M.S.; Islam, M.R. Effects of PH on Isotherms Modeling for Cu(II) Ions Adsorption Using Maple Wood Sawdust. Chem. Eng. J. 2009, 149, 273–280. [Google Scholar] [CrossRef]
- Rafatullah, M.; Sulaiman, O.; Hashim, R.; Ahmad, A. Adsorption of Copper (II), Chromium (III), Nickel (II) and Lead (II) Ions from Aqueous Solutions by Meranti Sawdust. J. Hazard. Mater. 2009, 170, 969–977. [Google Scholar] [CrossRef]
- Ocreto, J.; Go, C.I.; Chua, J.C.; Apacible, C.J.; Vilando, A. Competitive Effects for the Adsorption of Copper, Cadmium and Lead Ions Using Modified Activated Carbon from Bambo. MATEC Web Conf. 2019, 268, 06021. [Google Scholar] [CrossRef]
- Meena, A.K.; Mishra, G.K.; Rai, P.K.; Rajagopal, C.; Nagar, P.N. Removal of Heavy Metal Ions from Aqueous Solutions Using Carbon Aerogel as an Adsorbent. J. Hazard. Mater. 2005, 122, 161–170. [Google Scholar] [CrossRef]
- Zhang, H.; Zhang, Y.; Pan, Y.; Wang, F.; Sun, Y.; Wang, S.; Wang, Z.; Wu, A.; Zhang, Y. Efficient Removal of Heavy Metal Ions from Wastewater and Fixation of Heavy Metals in Soil by Manganese Dioxide Nanosorbents with Tailored Hollow Mesoporous Structure. Chem. Eng. J. 2023, 459, 141583. [Google Scholar] [CrossRef]
- Zvinowanda, C.M.; Okonkwo, J.O.; Shabalala, P.N.; Agyei, N.M. A Novel Adsorbent for Heavy Metal Remediation in Aqueous Environments. Int. J. Environ. Sci. Technol. 2009, 6, 425–434. [Google Scholar] [CrossRef]
- Lin, K.; Pan, J.; Chen, Y.; Cheng, R.; Xu, X. Study the Adsorption of Phenol from Aqueous Solution on Hydroxyapatite Nanopowders. J. Hazard. Mater. 2009, 161, 231–240. [Google Scholar] [CrossRef]
- Pawar, R.R.; Lalhmunsiama; Kim, M.; Kim, J.G.; Hong, S.M.; Sawant, S.Y.; Lee, S.M. Efficient Removal of Hazardous Lead, Cadmium, and Arsenic from Aqueous Environment by Iron Oxide Modified Clay-Activated Carbon Composite Beads. Appl. Clay Sci. 2018, 162, 339–350. [Google Scholar] [CrossRef]
- Zhao, J.J.; Shen, X.J.; Domene, X.; Alcañiz, J.M.; Liao, X.; Palet, C. Comparison of Biochars Derived from Different Types of Feedstock and Their Potential for Heavy Metal Removal in Multiple-Metal Solutions. Sci. Rep. 2019, 9, 9869. [Google Scholar] [CrossRef]
- Xing, J.; Li, L.; Li, G.; Xu, G. Feasibility of Sludge-Based Biochar for Soil Remediation: Characteristics and Safety Performance of Heavy Metals Influenced by Pyrolysis Temperatures. Ecotoxicol. Environ. Saf. 2019, 180, 457–465. [Google Scholar] [CrossRef]
- Liang, J.; Yang, Z.; Tang, L.; Zeng, G.; Yu, M.; Li, X.; Wu, H.; Qian, Y.; Li, X.; Luo, Y. Changes in Heavy Metal Mobility and Availability from Contaminated Wetland Soil Remediated with Combined Biochar-Compost. Chemosphere 2017, 181, 281–288. [Google Scholar] [CrossRef] [PubMed]
- Tang, J.; Zhang, L.; Zhang, J.; Ren, L.; Zhou, Y.; Zheng, Y.; Luo, L.; Yang, Y.; Huang, H.; Chen, A. Physicochemical Features, Metal Availability and Enzyme Activity in Heavy Metal-Polluted Soil Remediated by Biochar and Compost. Sci. Total Environ. 2020, 701, 134751. [Google Scholar] [CrossRef]
- Liu, Y.; Huang, J.; Xu, H.; Zhang, Y.; Hu, T.; Chen, W.; Hu, H.; Wu, J.; Li, Y.; Jiang, G. A Magnetic Macro-Porous Biochar Sphere as Vehicle for the Activation and Removal of Heavy Metals from Contaminated Agricultural Soil. Chem. Eng. J. 2020, 390, 124638. [Google Scholar] [CrossRef]
- Xia, Y.; Li, Y.; Xu, Y. Adsorption of Pb(II) and Cr(VI) from Aqueous Solution by Synthetic Allophane Suspension: Isotherm, Kinetics, and Mechanisms. Toxics 2022, 10, 291. [Google Scholar] [CrossRef] [PubMed]
- Zhang, B.L.; Qiu, W.; Wang, P.P.; Liu, Y.L.; Zou, J.; Wang, L.; Ma, J. Mechanism Study about the Adsorption of Pb(II) and Cd(II) with Iron-Trimesic Metal-Organic Frameworks. Chem. Eng. J. 2020, 385, 123507. [Google Scholar] [CrossRef]
- Pesavento, M.; Profumo, A.; Alberti, G.; Conti, F. Adsorption of Lead(II) and Copper(II) on Activated Carbon by Complexation with Surface Functional Groups. Anal. Chim. Acta 2003, 480, 171–180. [Google Scholar] [CrossRef]
- Srinivasan, A.; Viraraghavan, T. Oil Removal from Water by Fungal Biomass: A Factorial Design Analysis. J. Hazard. Mater. 2010, 175, 695–702. [Google Scholar] [CrossRef]
- Khalafyan, A.A.; Temerdashev, Z.A.; Yakuba, Y.F.; Guguchkina, T.I. Computer Analysis of the Sensory Qualities of Red Wines as a Method to Optimize Their Blend Formulation. Heliyon 2019, 5, e01602. [Google Scholar] [CrossRef]
- Tumwesigye, S.K.; Montañez, J.C.; Oliveira, J.C.; Sousa-Gallagher, M.J. Novel Intact Bitter Cassava: Sustainable Development and Desirability Optimisation of Packaging Films. Food Bioprocess Technol. 2016, 9, 801–812. [Google Scholar] [CrossRef]
Disclaimer/Publisher’s Note: The statements, opinions and data contained in all publications are solely those of the individual author(s) and contributor(s) and not of MDPI and/or the editor(s). MDPI and/or the editor(s) disclaim responsibility for any injury to people or property resulting from any ideas, methods, instructions or products referred to in the content. |
© 2024 by the authors. Licensee MDPI, Basel, Switzerland. This article is an open access article distributed under the terms and conditions of the Creative Commons Attribution (CC BY) license (https://creativecommons.org/licenses/by/4.0/).