Next Article in Journal
Enhancing Inter-Patient Performance for Arrhythmia Classification with Adversarial Learning Using Beat-Score Maps
Previous Article in Journal
Estimation of Processing Times and Economic Feasibility of Producing Moringa oleifera Lam. Capsules in Mexico
Previous Article in Special Issue
Tidal Range Barrage Design and Construction
 
 
Font Type:
Arial Georgia Verdana
Font Size:
Aa Aa Aa
Line Spacing:
Column Width:
Background:
Article

Motion of Submerged Body in a Frozen Channel with Compressed Porous Ice

by
Tatyana Sibiryakova
1,†,
Kristina Naydenova
1,†,
Kirill Serykh
1,† and
Tatyana Khabakhpasheva
2,3,*,†
1
Department of Differential Equations, Altai State University, 656049 Barnaul, Russia
2
Lavrentyev Institute of Hydrodynamics SB RAS, 630090 Novosibirsk, Russia
3
School of Mathematics, University of East Anglia, Norwich NR4 7TJ, UK
*
Author to whom correspondence should be addressed.
These authors contributed equally to this work.
Appl. Sci. 2024, 14(16), 7226; https://doi.org/10.3390/app14167226
Submission received: 23 April 2024 / Revised: 31 May 2024 / Accepted: 28 July 2024 / Published: 16 August 2024

Abstract

The problem of submerged body motion in a frozen channel is considered. The fluid in the channel is assumed to be inviscid and incompressible. Fluid flow is the potential. The ice cover has non-uniform compression along the principal coordinates. The damping of hydroelastic waves generated by the motion of submerged body is modeled by taking into account porosity of ice. The submerged body is modeled as a dipole, the potential of which is determined using mirror images from the channel walls. The main problem of the submerged body motion at constant speed along the central line of the channel is considered. Two subproblems are addressed: comparison of damping effects of the porosity and viscosity of ice and investigation of effects of symmetrically variable ice thickness relative to the central line of the channel. It was found that the most important compressive stress is the stress in the direction of the motion of the submerged body. The speed of the body, which was subcritical for uncompressed ice, may become critical or supercritical. Compressive stresses perpendicular to the direction of motion do not qualitatively change the character of the ice response. These stresses, in combination with compressive stresses along the direction of motion, strengthen the effect of the latter, making the transition from subcritical to supercritical regime faster.

1. Introduction

Recently, the problems of wave motion in a fluid in the presence of a thin elastic plate floating on the upper boundary of the fluid have been actively studied. Well-studied are the problems associated with the propagation of flexural-gravity waves in ice covers, which arise due to the action of non-stationary external loads on the floating ice plate. The Kirchhoff–Love model is commonly used, which describes the plate considering only its flexural rigidity and inertia. For such models, the straight-line motion of the external load has been extensively studied in both stationary and non-stationary cases. An extensive list of literature on this topic can be found in [1,2].
However, tensile or compressive forces can arise in an ice cover due to the effects of wind, currents, or temperature variations [3]. In the three-dimensional case, three types of forces exist: longitudinal, transverse, and shear (combined) [4]. The behavior of free hydroelastic waves under conditions of non-uniform compression was studied in [5], and the behavior of steady wave motion under external load was investigated in [6]. The kinematic properties of hydroelastic waves arising from periodic and impulsive disturbances under conditions of uniform and non-uniform compression were deeply studied in [7]. In [8], acceptable values of compression parameters ensuring the correctness of the mathematical formulation were investigated, and the regions of existence of hydroelastic waves with positive group speed were determined. Additionally, the influence of periodic and impulsive loading was studied.
Together with those described above, another large class of problems is the study of the interaction between ice and a body immersed in liquid. The influence of an submerged body on the ice cover and the effects of the ice cover on the fluid flow near the body have been studied in [9,10]. Many authors consider problems of ice cover behaviour assuming that the ice plate thickness is constant. However, in natural conditions ice is not homogeneous and therefore it is important to study models in which the ice thickness will be variable [11,12]. It is obtained that changing the ice cover thickness distribution, as in [12] for example, leads to changes in the pattern of flexural-gravity waves, changes in their critical velocities and distributions of deflections and stresses in the ice plate.
The two-dimensional problem of a pulsating point source placed in a fluid of infinite depth was analysed in [13]. The solution was sought in the form of a superposition of standing and travelling waves. It was shown that the frequencies of standing and travelling waves coincide with the frequency of the source oscillations, and the amplitudes and wave numbers of the resulting flexural-gravity waves depend strongly on the thickness and elastic properties of the ice plate. In [14] a three-dimensional problem on the response of the ice cover to uniform and straight-line motion of a dipole for a long time was considered. The dipole approximationis used to model the flow around a sphere submerged in a liquid [15,16]. It has been shown that the ice cover perturbations caused by the motion of a spherical body modelled by a dipole are significantly different depending on the velocity of the body. When the body moves with a subcritical velocity, it causes a local deflection of the ice cover and quickly decays with distance from the body. In the case of body motion with supercritical velocity, wave-type disturbances appear in the ice cover.
In addition to ice covers with variable thicknesses and non-uniform compression, another type of ice heterogeneity—porosity—is actively investigated nowadays. Moreover, porous structures are often used to dissipate the energy of gravity waves, for example, in wave attenuators. Single or multiple porous plates—horizontal, vertical, or inclined—are commonly used. The main advantage of horizontal plates is that they have weak interaction with horizontal fluid flows [17].
In [18,19], a two-dimensional problem was investigated using non-standard eigenfunctions in the plate domain, thus avoiding complex dispersion relationships by increasing the number of unknowns in the numerical solution process. In [20,21], a comparison of experimental results was conducted in a wave tank with one and two submerged porous plates.
The discussed results assume the application of linearized boundary conditions for the interaction between the ice plate and the fluid. In the case of a thin plate, these conditions ensure the continuity of normal velocities of the fluid beneath the plate and proportionality of pressure changes within the plate [22,23]. In [24], a problem of wave interaction with a submerged porous plate was considered, where a nonlinear boundary condition for the porous plate was taken into account. Moreover, more complex wave dissipation devices, in which the porous plate plays a crucial role, have been proposed and studied in [25,26,27,28]. Refs. [29,30,31] also discuss vertical or inclined porous structures in addition to horizontal ones. Wave dissipation by a submerged porous disk is studied in [32].
Three-dimensional problems have been studied to a lesser extent. In [33], a problem of a circular plate was solved using the method of eigenfunctions, while in [34], a variational principle and the Rayleigh–Ritz method were applied to solve the problem of a plate partially immersed in water with axisymmetric changes in its thickness. In [35], a problem of a plate of arbitrary shape was solved using boundary element and finite element methods. In [36], a 3D problem of linear scattering of water waves by a floating porous elastic plate of circular shape was solved by the methods of matching eigenfunctions. It was found that wave energy dissipation due to porosity initially increases as the plate becomes more porous, but reaches a maximum and then slowly decreases as porosity further increases.
The study of porous ice and, in particular, permeability parameters was conducted in [37,38,39]. An experimental formula was derived to relate the permeability parameter K and the value of ice porosity, which varies from 0 to 1, where 0 represents solid ice with no pores. The connection between surface waves and motion in a flexible porous surface layer was investigated in [40]. The porosity of the floating layer was described by a macroscopic version of Darcy’s law. It was found that the wave-induced vertical motion at the interface leads to wave attenuation. Field observations of drifting ice in the Barents Sea region is discussed in [41]. The investigations included measurements of ice rubble sizes and shapes, vertical profiles of ice temperature and salinity inside ice rubble, uniaxial compressive strength of ice cores taken from ice rubble, and vertical permeability of ice rubble. Migration of liquid brine in pore spaces as a damping mechanism of waves in solid ice was studied in [42]. The study of ice permeability and its dependence on porosity and ice microstructure was conducted in [43]. A multifaceted theory that closely captures laboratory and field data was presented.
In the present paper to describe the influence of porosity on the deflections and strains of a floating plate, we use the approach developed in [44]. This approach is based on Darcy’s law and presented via a coefficient in the kinematic condition. In [45], the influence of porosity on the deflections and strains of a floating plate according of this approach was investigated. A comparison was made between two models, one accounting for hydrostatic pressure and the other not. It was shown that porosity has a damping effect, and the damping rate exhibits non-monotonic behavior with respect to porosity. Similarly, non-monotonic behavior of the damping rate was observed in the case of porosity studied in [46], where the authors were able to derive an alternative form of the dispersion equation showing a more explicit dependence on porosity.
The study in [47] considered a problem that incorporated the effects of variable thickness and porosity of the ice cover. An external load was represented by an oscillating dipole along the principal axes in a frozen channel. The dipole of small radius was submerged to a sufficient depth to model the oscillations of a rigid sphere. The ice thickness was linear and symmetric about the center of the channel. The porosity of the ice cover was accounted for using the fluid penetration velocity into the ice plate within the Darcy model. The effects of porosity and symmetric linear thickness on the reaction of the ice cover was investigated separately, as well as the effect of thickness variation together with sufficiently high values of ice porosity.
This article considers the motion of a submerged body along the central line of a channel, taking into account non-uniform compressibility. Non-uniform compressibility implies different compressive stresses along (longitudinal) and across (transverse) the channel. The submerged body is modeled as a dipole, whose potential in the channel is determined using the method of mirror images. The caused oscillations of the ice cover are damped either by accounting for porosity or by viscosity of ice. The problem is solved within the linear theory of hydroelasticity. The general formulation of the problem for heterogeneous ice and the formulation in the considered case of compressed ice are given in Section 2. In Section 3 the method of solution is presented. The numerical results are described in Section 4. The influence of inhomogeneous compression on ice deflections and strain is presented in the same Section. A brief comparison of the damping effects of viscosity and porosity is given in Section 4.1. The effect of symmetric linearly varying thickness of the channel ice cover on ice deflections and deformations in the case of longitudinal compression is investigated in Section 4.2.
In problems involving the interaction of ice, liquid, structures, and external loads, mathematical models are quite extensive, with a significant number of equations, often being nonlinear in their complete formulation. For the construction of analytical or semi-analytical solutions, which is our focus, it is necessary to consider problem formulations under certain conditions. Fortunately, comparisons between experiments and computational results, as demonstrated in works such as those by Kozin and their research group [48], indicate that the linear theory of hydroelasticity and potential flow theory effectively describe the considered problems at realistic scales. The advantage of using linear theory and the solution method described in this article is that the solution of the problem for the ice and hydrodynamic parts is constructed simultaneously. The formulas obtained in the form of integrals for calculating ice deflections and maximum strains in the ice cover allow for a careful analysis of the behavior of ice in the considered ice–liquid–structure system. Since the results of modeling ice as thin plates showed good agreement with experiments, we believe that the main aspects of porous ice in the considered problem can be analyzed within the same theory. In this case, porous ice is understood as an elastic porous ice plate. As will be shown later, within such models, at least the damping effect of ice porosity is captured. Using full-fledged filtration models to describe the movement of fluid in porous ice is very challenging for the considered ice–fluid–structure interaction problems.

2. Formulation of the Problem

The three-dimensional problem of interaction between an ice cover and a moving submerged body in a channel is considered. The channel has a rectangular cross-section with a width of 2 b ( b < y < b ), a depth of H ( H < z < 0 ), and its length is unlimited. The channel is filled with an ideal, incompressible fluid, and its surface is covered with a thin ice cover. The submerged body is modeled by a three-dimensional dipole moving with a speed U ( t ) . The scheme of the problem is illustrated in Figure 1.
The problem is solved within the linear theory of hydroelasticity. In the linear formulation, the deflection of the heterogeneous ice cover w ( x , y , t ) is modeled by the vertical displacement of the plate from the state of rest ( z = 0 ) and satisfies the equation of the thin viscoelastic plate
ρ i h i ( y ) w t t + 1 + τ t Λ w + Q x 2 w x 2 + Q y 2 w y 2 + Q x y 2 w x y = p ( x , y , 0 , t ) ,
where Λ is a differential operator in the form
Λ = D ( y ) Δ 2 + 2 D y 3 y 3 + 3 x 2 y + D y y 2 y 2 + ν 2 x 2 ,
Δ 2 = 4 / x 4 + 2 4 / x 2 y 2 + 4 / y 4 , ρ i is the density of ice, h i ( y ) is the thickness of the plate, τ = η / E is the retardation time, η is the viscosity of ice, E is the Young’s modulus, D = E h i 3 ( y ) / [ 12 ( 1 ν 2 ) ] is the bending rigidity of the plate, ν is the Poisson’s ratio, p ( x , y , 0 , t ) is the pressure of the fluid on the ice/fluid interface, Q x and Q y are the compressing stresses in the plate plane along the x and y directions, respectively, and Q x y is the combined compressing stress.
The ice cover is frozen to the channel walls, which is modeled by clamped conditions
w = w y = 0 ( < x < , y = ± b ) .
The pressure of the fluid at the ice/fluid interface is given by the linearized Bernoulli integral
p ( x , y , 0 , t ) = ρ l Φ t ( x , y , 0 , t ) ρ l g w ( < x < , b < y < b ) ,
where Φ ( x , y , z , t ) is the velocity potential of the fluid flow in the channel, g is the acceleration due to gravity, and ρ l is the density of the fluid. The velocity potential of the fluid flow Φ ( x , y , z , t ) satisfies the Laplace equation in the channel domain, as well as the kinematic condition at the fluid/porous plate interface
Φ z ( x , y , 0 , t ) = w t + α p ( x , y , 0 , t ) ,
where α is a parameter of porosity and is given by the formula α = K μ h i ( y ) , K is the permeability coefficient of ice, and μ is the dynamic viscosity of ice. At the walls and bottom of the channel, the potential satisfies the no-slip conditions
Φ z = 0 ( z = H ) , Φ y = 0 ( y ± b ) .
The submerged body is modeled by a three-dimensional dipole placed in the channel beneath the ice cover. To determine the shape of the submerged body, it is necessary to define the dipole potential φ D ( x , y , z , t ) in the channel. For a dipole of small strength, its motion describes the motion of a sphere of small radius R [49]. The dipole potential satisfies the Laplace equation in the channel and decays at infinity, φ D 0 as | x | + . The normal derivative of the potential is equal to 0 at the walls y = ± b , at the bottom z = H , and at the ice/fluid interface z = 0 . The potential φ D ( x , y , z , t ) is obtained using the method of mirror images [49]. First, the potential φ D 1 is derived, taking into account images from the vertical channel walls, which satisfies the boundary conditions y = ± b . For the dipole motion along the channel, we obtain the potential φ D 1 ( x , y , z , t ) , which is a series
φ D 1 ( x , x 0 , y , y 0 , z , z 0 , t ) = U ( t ) R 3 2 X [ 1 r 3 ( y 0 , z 0 ) + n = 1 ( 1 r 3 ( y 0 + 4 n b , z 0 ) + 1 r 3 ( ( 4 n 2 ) b y 0 , z 0 ) + 1 r 3 ( y 0 4 n b , z 0 ) + 1 r 3 ( ( 4 n 2 ) b y 0 , z 0 ) ) ] ,
where r ( y 0 , z 0 ) = X 2 + ( y y 0 ) 2 + ( z z 0 ) 2 , and X = x x 0 ( t ) , x 0 ( t ) = U ( t ) . The potential (6) does not satisfy the boundary conditions at z = 0 and z = H . The next step is to derive images of the potential φ D 1 from the planes z = 0 and z = H which would satisfy the corresponding boundary conditions. The potential constructed in this way corresponds to the potential of the flow around an submerged body moving in the channel.
φ D ( X , y , z , t ) = φ D 1 ( x , x 0 , y , y 0 , z , z 0 , t ) + m = 1 ( φ D 1 ( x , x 0 , y , y 0 , z , z 0 + 2 m H , t ) + φ D 1 ( x , x 0 , y , y 0 , z , z 0 2 m H , t ) + φ D 1 ( x , x 0 , y , y 0 , z , z 0 2 m H , t ) + φ D 1 ( X , y , y 0 , z , z 0 + ( 2 m 2 ) H , t ) ) .
Thus, the potential Φ ( x , y , z , t ) represents the total potential of the fluid flow caused by the motion of the dipole and the deflection of the plate, and it has the form
Φ ( x , y , z , t ) = φ D ( x , y , z , t ) + φ E ( x , y , z , t ) ,
where φ E ( x , y , z , t ) is the correction potential, accounting for the fluid flow caused by the vibrations of the plate. The potential φ E ( x , y , z , t ) satisfies the Laplace equation in the fluid domain and the boundary conditions
Δ φ E = 0 ( < x < , b < y < b , H < z < 0 ) ,
φ z E ( x , y , 0 , t ) = w t + α p ( x , y , 0 , t ) , φ y E = 0 ( y = ± b ) , φ z E = 0 ( z = H ) .
The system of Equations (1)–(9) describes unsteady oscillations of an inhomogeneous ice cover caused by the motion of the submerged body modeled by a dipole. The ice inhomogeneity includes variable thickness, non-uniform compressibility, and porosity. A model based on Darcy’s law is used to describe porous ice [45]. Within this model, ice porosity is modeled by considering the ice penetration velocity in the plate in the kinematic condition (4). This velocity is proportional to the pressure difference of the fluid on different surfaces of the ice plate. In this study, the dynamic viscosity of ice μ is chosen to be equal to 1.8 · 10 3 kg/(m s). The permeability coefficient of ice K is varied in a large range corresponding to different porosities of ice, see [45] and discussion of this parameter in Section 4.1. In general, wave attenuation in the ice cover can be caused by viscous and elastic deformations of ice, wave-induced motion of brine, and water–ice friction [42]. The porosity model used in this paper is simplified and primarily serves to describe oscillation damping if other damping effects are not considered.
To consider the unsteady problem, this formulation needs to be supplemented with initial conditions for w, w t , and φ E such as
w ( x , y , 0 ) = w 0 ( x , y ) , w t ( x , y , 0 ) = 0 , φ E ( x , y , z , 0 ) = 0 ,
and boundary conditions at the channel walls for the ice deflections.
The described formulation problem uses general assumptions that are usually applied to describe gravity waves in a fluid, the linear equations of motion of the ice plate, and small dipole radius, and include the porosity of the plate through the simplified Darcy’s law. The size of the considered region is not very small and the motion is not very fast, therefore, the effects of capillarity, vorticity, and fluid compression are not taken into account. The linear model is valid when the ice deflections have small curvature, w x 2 + w y 2 < < 1 , and the amplitudes of hydroelastic waves are an order of magnitude smaller than their wavelength. Comparisons with experiments in ice tanks have shown good agreement between the calculations within the considered linear theory and experimental data, see [50]. This linear theory with a variable ice thickness h i ( y ) is also valid in the leading order as long as h i ( y ) < < 1 , see [12].
The study of ice cover oscillations due to external loads within simplified models has been a subject of previous author’s works. In the work by Shishmarev and Khabakhpasheva [51], a non-stationary problem was investigated, where the ice was modeled as a thin viscoelastic plate with uniform thickness. The load was represented by a localized pressure moving at a constant speed along the channel’s central line. Further investigations into viscoelastic ice plates were conducted by Shishmarev et al in [49], where a submerged body moving steadily through the channel served as the external force. A two-dimensional analysis of oscillations in thin poroelastic ice covers under the influence of oscillating external loads was carried out by Zavyalova et al. in [44]. Additionally, Shishmarev in [12] studied the problem of periodic hydroelastic waves in a channel covered with ice. Ice was modeled as a thin elastic plate with linearly changing ice thickness across the channel. The behavior of hydroelastic waves depending on the ice thickness slope parameter was investigated. The combination of viscosity and non-uniform ice thickness was studied in [52], where the ice thickness varied linearly and symmetrically across the channel. It was found that even a small variation in ice thickness significantly changes the characteristics of hydroelastic waves in the channel. In this article, we shall study ice cover oscillations caused by a moving body taking into account compressibility effects in combination with viscosity/porosity/variable ice thickness.

The Motion of a Submerged Body with Constant Speed in a Frozen Channel with Non-Uniform Compression of the Ice Cover

The motion of the submerged body along the frozen channel with constant speed U ( t ) = U is considered. Accounting for the viscosity of the ice results in the attenuation of the ice deflections away from the moving body (see [49]). Additionally, considering porosity also leads to the damping of these oscillations, see [47], thus simultaneous consideration of these two parameters is not needed. For the considered problem, we will include only porosity for most of the calculations. At this stage of the solution, we shall consider a constant thickness of the ice cover, h i ( y ) = h 0 , and zero combined compressions of the ice, Q x y . The porosity model is chosen without considering hydrostatic pressure, as done, for example, in [36].
The problems (1)–(10) are solved in dimensionless variables with the following scales: the length scale is b and the time scale is b / U . Dimensionless variables are denoted by a tilde (∼), and the dimensionless channel depth H / b is denoted as h. The system of coordinates O ˜ X y ˜ z ˜ , which is moving together with the body, is defined by
x ˜ = x b , y ˜ = y b , z ˜ = z b , t ˜ = t U b , X = x ˜ t ˜ .
The body moves for a sufficiently long time with a constant speed, such that the ice deflections in the moving system of coordinates have reached a steady state form
w ( x , y , t ) = w s c w ˜ ( X , y ˜ ) ,
φ E ( x , y , z , t ) = φ s c E φ ˜ E ( X , y ˜ , z ˜ ) ,
φ D ( x , y , z , t ) = φ s c D φ ˜ D ( X , y ˜ , z ˜ ) ,
where w s c , φ s c E and φ s c D are corresponding scales.
In dimensionless variables, problems (1)–(10) read (here and below, we omit the symbol∼for all dimensionless functions and variables)
m h 2 F r 2 w x x + β Δ 2 w + [ q x w x x + q y w y y ] + w = h F r 2 φ x E + φ x D ( < x < , 1 < y < 1 , z = 0 ) ,
w = w y = 0 ( y = ± 1 ) ,
Δ φ E = 0 ( < x < , 1 < y < 1 , h < z < 0 ) ,
φ y E = 0 ( y = ± 1 ) , φ z E = 0 ( z = h ) , φ z E = 0 ( z = 0 ) ,
φ z E = w x + δ ( h F r 2 φ x E + φ x D ) ( z = 0 ) .
φ D 1 ( x , y , y 0 , z , z 0 ) = x 2 [ r 3 ( y 0 , z 0 ) + n = 1 ( r 3 ( y 0 + 4 n , z 0 ) + r 3 ( ( 4 n 2 ) y 0 , z 0 ) + r 3 ( y 0 4 n , z 0 ) + r 3 ( ( 4 n 2 ) y 0 , z 0 ) ) ] ,
φ D ( x , y , z ) = φ D 1 ( x , y , y 0 , z , z 0 ) + m = 1 ( φ D 1 ( x , y , y 0 , z , z 0 + 2 m h ) + φ D 1 ( x , y , y 0 , z , z 0 2 m h ) + φ D 1 ( x , y , y 0 , z , z 0 2 m h ) + φ D 1 ( x , y , y 0 , z , z 0 + ( 2 m 2 ) h ) ) .
where φ s c E = U w s c , w s c = H F r 2 a 3 and
m = ρ i h 0 ρ l H , h = H b , F r = U g H , β = D b 4 ρ l g ,
a = R b , q x = Q x b 2 ρ l g , q y = Q y b 2 ρ l g , δ = α ρ l g b U .
Here, m is the mass ratio, h is the aspect ratio, F r is the Froude number, β is the dimensionless plate rigidity, q x and q y are the dimensionless compressions along the x and y directions, respectively, and δ is the dimensionless porosity parameter. The sought-after functions are the ice deflections w and the velocity potential of the fluid flow φ E . The velocity potential serves as an auxiliary quantity, which will be determined during the solution of the problem. However, the primary interest for analysis and investigation is the behavior of the function w. These deflections depend on the values of the listed dimensionless parameters. The aim of the study is to determine the effect of the parameters q x and q y on the ice deflections and the distribution of strains in the ice cover.

3. Method of the Solution

The problems (11)–(17) are solved using Fourier transform along the x direction. The coefficient α , which appears in the dimensionless parameter δ , accounts for the damping of oscillations of the ice cover away from the moving body. Therefore, the application of the Fourier transform is correct for this problem. The Fourier transform along the channel is defined by
w F ( ξ , y ) = 1 2 π + w ( x , y ) e i ξ x d x , w ( x , y ) = 1 2 π + w F ( ξ , y ) e i ξ x d ξ .
Applying the Fourier transform to the plate Equation (11) and the boundary conditions (12), we arrive at
m h 2 F r 2 ξ 2 w F + β w y y y y F 2 ξ 2 w y y F + ξ 4 w F + ξ 2 q x w F + q y w y y F + w F = i ξ h F r 2 ( φ E ) F ( ξ , y , 0 ) + P ( ξ , y ) .
w F = w y F = 0 ( y = ± 1 ) ,
Here,
( φ E ) F ( ξ , y , z ) = 1 2 π + φ E ( x , y , z ) e i ξ x d x , P ( ξ , y ) = 2 π 0 + φ D ( x , y , 0 ) ξ sin ( ξ x ) d x .
The solution of Equation (18) is sought in the form of a series
w F = n = 1 a n ( ξ ) ψ n ( y ) ,
where a n ( ξ ) are the principal coordinates, and ψ n ( y ) are the normal modes of vibration of the elastic beam. The functions ψ n ( y ) are calculated analytically; to determine them, it is necessary to calculate the eigenvalues and the functions themselves using known analytical formulas. These functions form a complete system of functions, i.e., any position of the beam can be described as a superposition of these functions (see, for example, [49]). The coefficients a n ( ξ ) are to be found after determining ψ n ( y ) . The functions ψ n ( y ) are the solutions to the following spectral problem
ψ n I V = λ n 4 ψ n ( 1 < y < 1 ) , ψ n = ψ n = 0 ( y = ± 1 ) ,
1 1 ψ n ψ m = δ n m .
The solution of this spectral problem can be represented as a sum of even and odd functions. For motion along the central line of the channel, only even functions need to be considered. Even functions ψ n e ( y ) and odd functions ψ n s ( y ) are obtained as combinations of trigonometric and hyperbolic functions, see for example [49].
Further, the method of the solution is described only for even modes. To find the Fourier transform of the correction velocity potential, first, we introduce the functions ϕ ( 1 ) and ϕ ( 2 ) such that
( φ E ) F = ϕ ( 1 ) + ϕ ( 2 ) .
The first potential satisfies the boundary problem
ϕ y y ( 1 ) + ϕ z z ( 1 ) = ξ 2 ϕ ( 1 ) ,
ϕ y ( 1 ) = 0 ( y = ± 1 ) , ϕ z ( 1 ) = 0 ( z = h ) , ϕ z ( 1 ) = i ξ w F + i ξ δ h F r 2 ϕ ( 1 ) ( z = 0 ) .
The second potential satisfies the boundary problem
ϕ y y ( 2 ) + ϕ z z ( 2 ) = ξ 2 ϕ ( 2 ) ,
ϕ y ( 2 ) = 0 ( y = ± 1 ) , ϕ z ( 2 ) = 0 ( z = h ) ,
ϕ z ( 2 ) = i ξ δ h F r 2 ϕ ( 2 ) + δ P ( z = 0 ) .
Both of these boundary problems are solved using the method of separation of variables. The potential ϕ ( 1 ) is sought in the form
ϕ ( 1 ) = n = 1 a n ( ξ ) ϕ n = n = 1 a n ( ξ ) ( ϕ n R + i ϕ n I ) ,
where ϕ n ( ξ , y , z ) are solutions to the similar boundary problem, but with the condition at the ice/fluid interface in the form
ϕ n , z = i ξ ψ n + i ξ δ h F r 2 ϕ n ( z = 0 ) .
The solution to this boundary problem is
ϕ n = A n 0 R + i A n 0 I 2 cosh ( ξ ( z + h ) ) + k = 1 ( A n k R + i A n k I ) cos ( π k y ) cosh ( μ k ( z + h ) ) ,
where μ k = ξ 2 + ( π k ) 2 and the coefficients A n k are determined from the condition (22). The solution for ϕ ( 2 ) is given by
ϕ ( 2 ) = ϕ R ( 2 ) + i ϕ I ( 2 )
= B n 0 R + i B n 0 I 2 cosh ( ξ ( z + h ) ) + k = 1 ( B n k R + i B n k I ) cos ( π k y ) cosh ( μ k ( z + h ) ) ,
where the coefficients B n k are determined from the condition (21).
Substituting the expansions (19) and (20) into the plate Equation (18), we obtain
n = 1 a n m h 2 F r 2 ξ 2 ψ n + β ψ n , y y y y 2 ξ 2 ψ n , y y + ξ 4 ψ n + ξ 2 q x ψ n + q y ψ n , y y + ψ n = i ξ h F r 2 n = 1 a n ( ϕ n R + i ϕ n I ) + i ξ h F r 2 ( ϕ R ( 2 ) + i ϕ I ( 1 ) ) ) + P .
Equation (23) reduces to an infinite system of algebraic complex equations for the coefficients a n ( ξ ) by multiplying this equation by the mode ψ m and then integrating the result over y from 1 to 1. The resulting algebraic system is solved using reduction method. Limiting the number of modes in (19) by N mod , Equation (23) reduces to the following matrix problem
D + ( 2 ξ 2 q y ) C + ξ h F r 2 ( M ( 1 ) i M ( 2 ) ) a = P ( 1 ) + i P ( 2 ) ,
where D = d i a g ( 1 m h 2 F r 2 ξ 2 + β λ 1 4 + β ξ 4 ξ 2 q x , . . . ) , C = { C n m } , M ( 1 ) = { M n m ( 1 ) } , M ( 2 ) = { M n m ( 2 ) } , P ( 1 ) = ( P 1 ( 1 ) , P 2 ( 1 ) , . . . ) T , P ( 2 ) = ( P 1 ( 2 ) , P 2 ( 2 ) , . . . ) T and
C n m = 1 1 ψ n ψ m d y , M n m ( 1 ) = 1 1 ϕ n I ψ m d y , M n m ( 2 ) = 1 1 ϕ n R ψ m d y ,
P m ( 1 ) = 1 1 ( P ξ h F r 2 δ ϕ I ( 1 ) ) ψ m d y , P m ( 2 ) = 1 1 ξ h F r 2 δ P ϕ R ( 1 ) ψ m d y .
The solution to the matrix problem (24) is sought by separating the real and imaginary parts of the vector a ( ξ ) = a R ( ξ ) + i a I ( ξ ) and reducing it to two matrix problems for the real and imaginary parts of the matrix equation. The coefficients of the matrices and vectors P 1 , 2 are real. The matrix M ( 2 ) and vector P 2 are odd functions of ξ , while the remaining matrices and vectors are even. Therefore, the vector a R ( ξ ) will be even and a I ( ξ ) will be odd with respect to ξ . The deflections of the ice w ( x , y ) are obtained using the inverse Fourier transform
w ( x , y ) = 2 π n = 1 N m o d ψ n ( y ) 0 a R cos ( ξ x ) a I sin ( ξ x ) d ξ .
The upper limit of integration in the improper integrals of the first kind in (25) is bounded by a finite value N ξ , and the resulting definite integrals are computed numerically.
We shall also study the distribution of strains in the ice cover. The strains were studied in [47,49,52] for homogeneous/poroelastic/viscoelastic ice covers. However, considering the effect of compression, both independently and in combination with the above-mentioned other nonhomogeneous parameters, can significantly influence the distribution of strains in the ice cover.
In the classical thin plate theory, it is assumed that the distribution of strains is linear across the plate’s thickness, with the strains being zero at the plate’s midplane. As a result, maximum strains occur at either the top or bottom surface, depending on the plate’s thickness. To analyze the strain distribution within an ice cover using linear hydroelasticity theory, we focus on calculating maximum strains. Only positive strains, which indicate the elongation or stretching of the ice cover, are considered. The maximum dimensionless strains ϵ can be determined by finding the eigenvalues of the strain tensor that describes the strain field within the ice plate
E ( x , y ) = ζ w x x w x y w x y w y y
Here, ζ represents the dimensionless coordinate through the ice thickness. The scale of strain is given by h 0 w s c / ( 2 b 2 ) . For the study to remain valid within the linear theory, the condition w x 2 + w y 2 1 must be met, and the strains should not surpass the critical value ε c r . The critical strain value is defined as the yield limit, beyond which plastic deformation occurs in the material. In the work by Shishmarev [49], ε c r = 8 × 10 5 was used as the yield limit. If the strains at any location in the ice exceed this critical value, it is presumed that fracturing occurs at that point, although the exact nature of the fracture is not specified. Questions regarding ice fracture are not discussed in this article.

4. Numerical Results and Discussion

The described problem of the ice response with non-uniform compression caused by the moving submerged body is solved numerically for an ice plate with the following parameters: ρ i = 917 kg/m3, E = 4.2 × 10 9 N/m2, ν = 0.3 , h i = 0.1 m, b = 10 m, H = 2 m, 1.8 · 10 3 kg/(m s), and K = 0.7 · 10 8 m2 until other values specified for any presented plot. The porosity parameter α (dimensional) is described according to Equation (4). The nondimensional porosity parameter δ is described according to Equation (17). The values of the permeability parameter K are discussed in the next subsection. Dimensionless strains and how they are calculated are described according to Equation (25). The dipole is located at the point ( 0 , 0 , h / 2 ) and moves with a speed U, which varies in the calculations. The shape of the submerged object is determined by formulas (17).
The terms describing the images from the channel walls decay with the increase in their number. In Equations (16) and (17), the number n corresponds to the number of images from the vertical walls, and the number m corresponds to the number of images from the horizontal channel walls. For each combination of m and n, 16 images are calculated. The corresponding sums converge relatively quickly. Each term with a reflected potential in the final dipole potential φ D behaves as O 1 n 3 m 3 with a correction factor depending on h. Along x, the dipole potential behaves as O 1 x 2 and along y, as O 1 y 3 . The dipole potential was calculated with a limit on the number of terms in (16)and (17) by N 1 and N 2 . The calculations showed that the relative difference in potentials calculated with N 1 = N 2 = 10 and N 1 = N 2 = 11 does not exceed 10 2 percent near the dipole and 2.6 percent near the channel walls. Further dipole potential calculations were conducted for N 1 = N 2 = 10 .
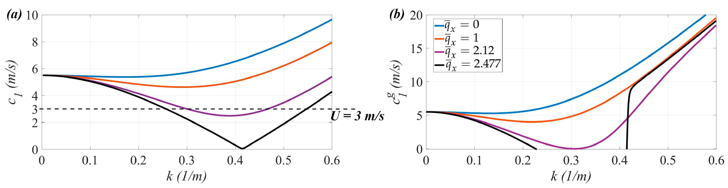
The body speed U is selected based on the critical speeds of hydroelastic waves in a frozen channel, see [49]. For the given case, the characteristic length of the ice cover, ( D / ρ l g ) 1 / 4 , is 2.48 m. In the calculations, the primary variable parameters are the dimensionless compression parameters q x and q y . Ice deflections resulting from the motion of the body are characterized by localized, rapidly decaying disturbances in the area directly above the body and by a set of hydroelastic waves propagating from the moving body at a specific velocity. The number of these waves is determined by the intersections of the horizontal line representing the body’s speed with the phase speed lines of the hydroelastic waves within the channel. Although there are numerous waves within the channel, only a subset of them, contingent upon the body’s speed, contributes to the ice cover’s response. These waves can be arranged in increasing order of their frequencies. The compressive coefficients q x and q y in the plate equation can change the values of phase speeds, thus, the ratio of the body speed to the phase speeds in the case of compressed ice will be different. In the case of compressed ice, the characteristics of periodic hydroelastic waves were investigated in [53].
In the linear theory of hydroelasticity, if the maximum value of compressive stresses in the direction of wave propagation, in our case Q x , exceeds the value q c r ρ l g D , waves with negative frequency and negative group speeds will appear for some range of wave numbers (see [8,9,53,54]). The lines of group speeds and frequency of the periodic wave touch zero line for some wave numbers k 1 , * and k 2 , * when q c r = 20 / 3 and q c r = 2 , respectively, for an unbounded ice cover. These values are determined from the dispersion relation. They can be obtained analytically. The value q c r = 20 / 3 is determined as the value at which the derivative of the dispersion relation with respect to the wave number k equals zero. The value q c r = 2 is the value when the dispersion relation itself equals 0. For the ice cover in the channel, only the wave with the lowest frequency has the same behavior. However, in a channel’s case, these values for this wave are 2.12 and 2.477 , respectively. This is explained by the influence of the channel walls. Dispersion relations in the channel are computed numerically from a matrix problem. Therefore, these values are also determined solely by numerical methods. In this work, we shall consider compressive stresses Q x not exceeding the critical value 2.477 ρ l g D . It is convenient to use scaled parameters q ¯ x and q ¯ y , q ¯ x = q x β , q ¯ y = q y / β , to describe compression in the ice plate instead of nondimensional parameters q x and q y .
The phase (a) and group (b) speeds for the first hydroelastic wave with the lowest frequency for the considered channel are shown in Figure 2. The blue lines show the results for q ¯ x = 0 , the red lines, for q ¯ x = 1 , the purple lines, for q ¯ x = 2.12 , and the black lines, for q ¯ x = 2.477 . For the moving body, the phase speeds are most important. It can be observed from the plots that the speed U = 3 m/s is subcritical for the uncompressed and weakly compressed plate. However, for high compression ( q ¯ x = 2.12 and q ¯ x = 2.477 ), this speed becomes supercritical, and there is one long wave that will propagate behind the body, and one short wave that will propagate in front of it. The direction of propagation of these waves depends on the sign of the difference between the group speed and moving body speed, see [55]. Note that in the case of q ¯ x = 2.477 , for a low speed of the body, the long waves will have a negative group speed.
The accuracy of the calculations of the ice deflections depends on the number N m o d and the method of computing the integrals in (25). Numerical analysis showed that all functions of ξ involved in the integrals decay rapidly and are smooth enough for all investigated sets of parameters. For visual accuracy of the integral’s calculations, it is sufficient to take N ξ = 40 and 400 steps in ξ from 0 to N ξ . The convergence of the numerical solution is generally assessed by the norm m a x | w N m o d 1 ( x , y ) w ( x , y ) N m o d 2 | , where lower indexes correspond to a number of modes used in the calculations. Test calculations showed that to achieve convergence of the solution with visual accuracy, it is sufficient to take 10 modes. The convergence of the solution can also be affected by reducing the porosity parameter α .
The effect of compressed ice along the x direction (direction of motion) is shown in Figure 3. The calculations were carried out for U = 3 m/s. This speed, for different values of compressibility q x , can be either subcritical, critical, or supercritical, see Figure 2. The dimensionless deflections along the central line of the channel are shown in Figure 3a, the dimensionless strains are shown in Figure 3c along the central line of the channel, and in Figure 3d, along the walls. Results for q ¯ x = 0 are shown by black, for q ¯ x = 1 , by green, q ¯ x = 2.12 , by red, and q ¯ x = 2.477 , by blue lines. The speed U = 3 m/s is subcritical for q ¯ x = 0 and q ¯ x = 1 . In this range, there is an increase in the amplitudes of ice deflections and strains in the local area above the moving body. Hydroelastic waves do not propagate from the moving body. For q ¯ x = 2.12 and q ¯ x = 2.477 , this speed is supercritical. Analysis of phase speeds predicts the appearance of one short wave in front of the body and one long wave behind it. These waves are observed in the plots. The speed U = 3 m/s is closest to critical in the case q ¯ x = 2.12 . So the ice deflections and strains in this case are the largest among all shown. Strains along the central line of the channel are 1.5–2 times larger than strains along the walls for all considered cases. Normalized deflections across the channel, at x = 0 , are shown in Figure 3b. It is evident that for subcritical cases, the primary contribution to the ice deflections is made by the first normal vibration mode, ψ 1 ( y ) , while for supercritical cases, the primary contribution is made by the first and second normal vibrations modes, ψ 1 ( y ) and ψ 2 ( y ) .
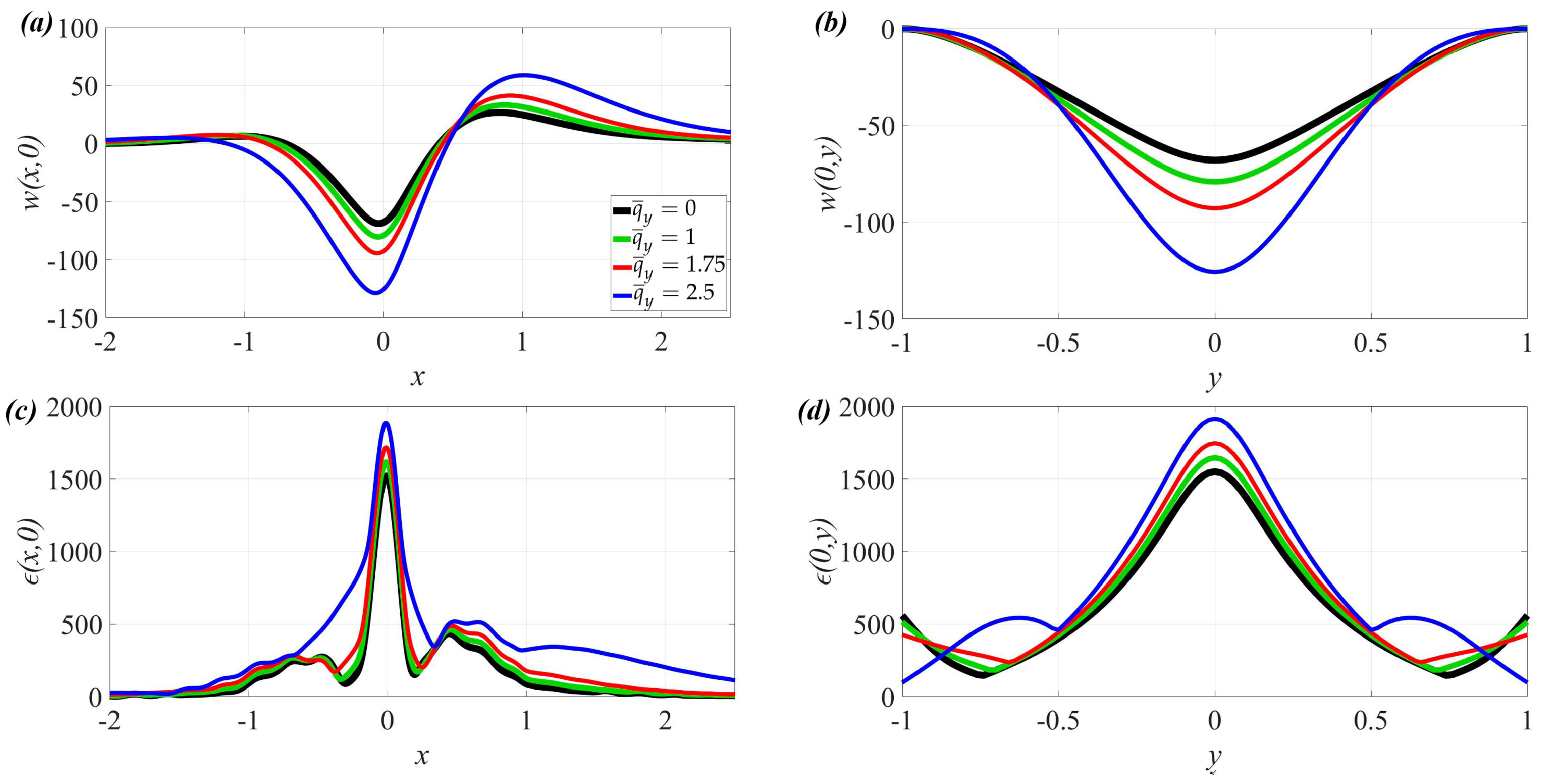
The variation in compressive stresses across the channel, q y , does not lead to noticeable changes in the phase speeds of hydroelastic waves in a channel. Therefore, in the case of compression-only along the y direction, the shape of the ice deflections should not significantly change compared to uncompressed ice. The effect of compressibility across the channel is shown in Figure 4 for the subcritical speed U = 3 m/s. The supercritical case will be shown later in combination with longitudinal compression. Dimensionless ice deflections are shown in Figure 4a,b, and dimensionless strains along the central line and across the channel are shown in (c,d), respectively. Results for q ¯ y = 0 are shown by black, for q ¯ y = 1 , by green, q ¯ y = 1.75 , by red, and q ¯ y = 2.5 , by blue lines. For the considered range of compressive stresses q y , the deflection is localized above the dipole, and no propagating waves appear. An increase in transverse compressive stresses leads to an increase in deflection amplitudes and a slight increase in strain amplitudes above the submerged body and along the central line of the channel. In contrast, strains decrease at the channel walls. The shape of the ice oscillations across the channel becomes narrower with increasing q y .
The simultaneous effect of compressive stresses along and across the channel is shown in Figure 5. In the presence of non-zero longitudinal compressive stresses, the addition of transverse stresses amplifies the effects of the longitudinal ones. Therefore, if a certain motion speed U was subcritical even for longitudinally compressed ice, it may become critical or supercritical with the presence of transverse stresses as well. Dimensionless ice deflections along the central line of the channel are shown in Figure 3a, dimensionless strains are shown in Figure 3c, along the central line of the channel, and in Figure 3d, along the walls. Calculations of the ice deflections and strains in the case of non-zero compressive stresses in both directions were performed for a fixed value of q ¯ x = 1.4 and the speed of the body U = 3 m/s. Results for q ¯ y = 0 are shown by black, for q ¯ y = 1 , by green, q ¯ y = 1.75 , by red, and q ¯ y = 2.5 , by blue lines. The speed U = 3 m/s is subcritical for the first three cases and supercritical for the last case. The ice deflections and strains in the first three cases are localized above the body, have the same shape, and increase with increasing q y . After transitioning to the supercritical case, waves appear in front of and behind the submerged body. Note that after the appearance of waves, the strains at the walls at the dipole’s location line, which were previously increasing, sharply decrease, and their peak shifts forward in accordance with the shape of the propagating wave in front of the body. Normalized deflections across the channel, at x = 0 , are shown in Figure 3b. The effect of the second normal vibration mode ψ 2 ( y ) is more pronounced for the supercritical case compared to the case of only longitudinally compressed ice (see Figure 3b and Figure 5b). A narrowing of the ice deflection shape across the channel is observed only for the supercritical case.
The calculations showed no particular features for the body speed U = U * , where U * = c 1 ( k * ) , c 1 g ( k * ) = 0 for q ¯ x = 2.12 . This is the case when the group speed of the hydroelastic wave with the lowest frequency is equal to 0 at the point k * , see Figure 2. It is possible that to determine the effects of such a body’s motion speed, it is necessary to consider a fully non-stationary problem. Another noteworthy special case is q ¯ x = 2.477 . In this case, the body speed U = 0 m/s becomes critical. This means that the ice plate becomes unstable in the absence of motion. Dimensionless ice deflections (a) and strains (b) along the central line of the channel for q ¯ x = 2.477 are shown in Figure 6. Results for U = 0.2 m/s are shown by black, U = 0.15 m/s, by green, U = 0.1 m/s, by red, and U = 0.05 m/s, by blue lines. The ice deflections and strains increase as the speed of the motion approaches 0. Note that the results for U = 0.05 m/s differ in wave shape and length, indicating a relatively small difference between the wave numbers of the wave in front and behind and possible errors due to the calculations of the ice deflections near the unstable point. A more detailed investigation of these special speeds requires consideration of non-stationary and nonlinear models.

4.1. A Compressed Viscoelastic Ice Plate

The oscillations of a poroelastic plate, like those of a viscoelastic one, dampen as their locations move away from the moving body. In this section, a comparison of the effects of ice viscosity within the Kelvin–Voigt model [48] and ice porosity within the Meylan model [36] is conducted. We shall consider the motion of the submerged body under a compressed viscoelastic ice plate. To do this, we set α = 0 and τ 0 in Equations (1)–(10). The same motion of a dipole with a constant speed U along the central line of the channel is studied. The solution method follows the steps described in Section 3. Changes will occur in the calculation of the added mass matrix and the resulting matrix equation. For the viscoelastic plate, the potential φ F is sought in the form
( φ E ) F = i ξ ϕ ( 1 ) ,
ϕ y y ( 1 ) + ϕ z z ( 1 ) = ξ 2 ϕ ( 1 ) ,
ϕ y ( 1 ) = 0 ( y = ± 1 ) , ϕ z ( 1 ) = 0 ( z = h ) , ϕ z ( 1 ) = w F ( z = 0 ) .
Similarly, the potential ϕ ( 1 ) is expanded into functions ϕ n with principal coordinates a n . The boundary problem for ϕ n is also adjusted to account for the new kinematic condition at z = 0 . For the viscoelastic plate, the added mass matrix is computed more simply than for the poroelastic plate, and it will not have an imaginary part. The final matrix equation will take the form
D + ( 2 ξ 2 q y ) C ξ 2 h F r 2 M ( 1 ) i Q a = P ,
where Q = β ξ σ ( D 1 + 2 ξ 2 C ) , D 1 = d i a g ( λ 1 4 + ξ 4 , . . . ) , P = ( P 1 , P 2 , . . . ) T , σ = τ U / b and
M n m ( 1 ) = 1 1 ϕ n ψ m d y , P m = 1 1 P ψ m d y .
The solution of Equation (26) is obtained using the same algorithm as the solution of Equation (24).
For the comparison of viscosity and porosity effects of ice, the ice deflections and strains were calculated for a compressed ice cover along the x direction with q x = 2.12 . The dipole speed was U = 3 m/s. The coefficient K in the considered model describes the porosity of the ice plate. In the works [38,39], it is shown that the values of this coefficient in the range from 10 13 m2 to 10 10 m2 correspond to an approximate porosity of the ice plate from 0.1 to 0.4. The value K = 10 12 m2 was used in [42]. Relatively large values of K correspond to rubbish ice, 10 8 m2 in [41] and 10 7 m2 in [56]. Calculations have shown that the values of the porosity coefficient affect the damping of oscillations and the length of the observed oscillation area in the ice cover. The tendency of K to 0 leads the form of ice oscillations to a form of periodic waves, which will propagate to infinity, see [44]. The same asymptotic behavior of ice deflections is observed in the results obtained in this article. Therefore, to clearly demonstrate the damping effect caused by porosity, dimensionless ice deflections will be shown for values of K in the range of 10 9 10 7 m2, where minimum values correspond to highly porous ice, and maximum values correspond to rubbish ice. Figure 7a shows the dimensionless deflections of porous ice along the central line of the channel for different values of the permeability coefficient K. The blue line shows the results for K = 0.1 · 10 8 m2, green, for K = 0.7 · 10 8 m2, red, for K = 0.1 · 10 7 m2, and black, for K = 0.7 · 10 7 m2. It is clear that increasing the porosity parameter dampens the waves both before and after the submerged body. Visually, increasing the porosity parameter slightly reduces the wavelength. Dimensionless strains for this case are shown in Figure 7c along the central line of the channel.
Figure 7b,d show the dimensionless deflections of viscous ice and the corresponding dimensionless strains along the central line of the channel for different values of τ , describing the viscosity of the ice cover. The blue lines show the results for τ = 0.07 s, red, for τ = 0.1 s, green, for τ = 0.135 s, and black, for τ = 0.2 s. The ice deflections and strains decrease significantly in the area of the submerged body’s location and rapidly dampen away from it with increasing τ . Additionally, it can be observed that with increasing viscosity, the wavelength slightly increases, which is opposite to the effect of porosity. For the ice cover compressed across the channel, the velocity U = 3 m/s is not supercritical. In this case, the ice deflection is localized above the submerged body, and the effects of porosity and viscosity have no significant influence on it.
It was found that in the presence of viscosity, waves in front of the submerged body dampen much faster than waves behind it. For porous ice, wave attenuation occurs uniformly both in front of and behind the body. This is clearly illustrated in Figure 8. In the considered case, the amplitudes and shapes of the deflections of porous and viscous ice covers visually coincide near the submerged body for K = 0.7 · 10 8 m2 (blue line) and τ = 0.135 s (red line). Note that the maximum strains in both cases are reached slightly in front of the body along the central line of the channel. These strains will be the largest for porous ice. Next to these maximum strains will be strains in front of the submerged body for the porous ice and strains behind it for the viscous ice.

4.2. A Compressed Poroelastic Ice Plate with Variable Ice Thickness

Changes in ice thickness can significantly affect the behavior of the ice cover. In [47], the influence of linearly changing ice thickness, symmetrically relative to the central line of the channel, was investigated. Normal modes of vibration of an elastic beam with linear thickness were used in [47], which represent a combination of Bessel functions with a spectral parameter dependent on the inclination angle, describing the linear change in thickness.
In the present study, we shall consider the ice thickness variation function in the following form
h i ( y ) = ( 1 + θ | y | ) n , n = 1 , 2
The ice thickness is expressed in dimensionless form and scaled by the value of h 0 . The value θ = 1 corresponds to the ice thickness of 2 h 0 m near the channel walls for n = 1 and 4 h 0 m for n = 2 . To solve the problem, we will also apply the method of normal modes for an elastic beam of constant thickness. It is expected that a symmetric variation in the ice thickness with a minimum thickness at the center of the channel and maximum thickness near the walls will lead to increased strains along the central line. Therefore, we propose that, for small θ , the behavior of the ice with linear thickness can be described using the same classic elastic modes ψ n ( y ) as those for ice with constant thickness. However, it is expected that calculations will require a larger number of modes. It is also expected that the obtained deflections and strains will differ with a small but acceptable error from the deflections and strains calculated using special normal modes for a beam with thickness ( 1 + θ | y | ) n , as was done in [47,52].
For the specified distribution of ice thickness, the deflections will also remain symmetric. However, the matrices in the resulting matrix equation will become more complex due to the non-orthogonality of many obtained terms. The plate equation, after applying the Fourier transform, reads
m h 2 F r 2 ξ 2 h i ( y ) w F + β [ h i 3 ( y ) ( w y y y y F 2 ξ 2 w y y F + ξ 4 w F ) + 6 h i ( y ) h i 2 ( y ) ( w y y y F ξ 2 w y F ) + ( 6 ( h i ( y ) ) 2 h i ( y ) + 3 h i 2 ( y ) h i ( y ) ) ( w y y F ξ 2 ν w F ) ] + [ ξ 2 q x w F + q y w y y F ] + w F = i ξ h F r 2 ( φ E ) F ( ξ , y , 0 ) + P ( ξ , y ) .
Subsequently, the solution method repeats the steps described in Section 3. The final matrix equation will take the form
( ( 1 ξ 2 q x ) I q y C m h 2 F r 2 ξ 2 K 10 + β K 34 2 ξ 2 K 32 + ξ 4 K 30 + 6 ( K 23 ξ 2 K 21 ) + 3 ( L 12 ξ 2 ν L 10 ) + ξ h F r 2 ( M ( 1 ) i M ( 2 ) ) ) a = P ( 1 ) + i P ( 2 ) ,
where K nm = { K n m } , L nm = { L n m } and
K 10 = 1 1 h i ψ n ψ m d y , K 34 = 1 1 h i 3 ψ n ψ m d y , K 32 = 1 1 h i 3 ψ n ψ m d y ,
K 30 = 1 1 h i 3 ψ n ψ m d y , K 23 = 1 1 h i 2 h i ψ n ψ m d y , K 21 = 1 1 h i 2 h i ψ n ψ m d y ,
L 12 = 1 1 ( 2 h i ( h i ) 2 + h i 2 h i ) ψ n ψ m d y , L 10 = 1 1 ( 2 h i ( h i ) 2 + h i 2 h i ) ψ n ψ m d y ,
The matrix Equation (28) is not symmetric. Calculations were performed for θ = 0.25 and θ = 0.5 , and n = 1 and n = 2 in (27). The thickness scale was chosen so that its average value was equal to 0.1 m. Two cases of compressibility variation were investigated, q ¯ x = 1 and q ¯ x = 2 , for the supercritical speed of motion U = 7 m/s and permeability parameter K = 0.7 · 10 8 m2. For this speed, the appearance of a short wave in front of the moving body is expected.
The convergence of the results was checked using the norm | ( w N 1 w N 2 ) / w N 1 | calculated at each point on the computational grid in the plane ( x , y ) , where N 1 and N 2 are the numbers of considered classic normal modes ψ n ( y ) . The calculations showed that for N 1 = 60 and N 2 = 80 , this relative difference does not exceed 0.2 percent along the central line of the channel. The absolute difference (with a maximum value of dimensionless deflections around 100, see Figure 9 below) over the entire ice cover does not exceed 0.04. Further increasing the number of modes does not lead to a noticeable increase in these differences. The relatively small value of this number is associated with the consideration of small inclination angles for symmetric thickness. More complex shapes of ice thickness will require a greater number of modes, and in general, it is better to use normal modes for an elastic beam with variable thickness, see [12]. For comparison, to achieve the same accuracy in the case of a constant thickness of ice, for the considered parameters of the problem, it is sufficient to use 10–15 modes. Thus, calculations in the case of variable thickness were performed with N m o d = 60 modes. This value is sufficient to obtain deflections and strains with visual accuracy. The ice deflections along the central line of the channel are shown in Figure 9. The results for a constant ice thickness are shown by the black lines, the blue lines show the results for θ = 0.25 and n = 1 , and the red lines, for θ = 0.5 and n = 2 . In this and the following figures, the left side corresponds to the case q ¯ x = 1 , and the right side corresponds to q ¯ x = 2 . The shape of the ice deflections qualitatively remains the same. An increase in the variation in symmetric ice thickness leads to a slight increase in ice deflection amplitudes. A variable ice thickness can lead to changes in the parameters of hydroelastic waves, see [12]. In the case under consideration, the linear ice thickness variation with a small parameter θ = 0.25 does not lead to a significant change in the wavelength. Quadratic thickness variation with θ = 0.5 leads to a 9% decrease in the wavelength.
The strains along the central line of the channel are shown in Figure 10. The results for a constant ice thickness are shown by the black lines, the blue lines show the results for θ = 0.25 , and the red lines, for θ = 0.5 . The case of linear thickness, n = 1 , is shown in Figure 10a,b, and the case of quadratic thickness, n = 2 , is shown in Figure 10c,d. Increasing the symmetric variation in ice thickness leads to a significant increase in strains along the central line of the channel, where the ice becomes thinner. The increase in strains occurs nonlinearly depending on the parameter θ . For quadratic ice thickness variation, strains for θ = 0.5 can increase by more than 3 times compared to strains for θ = 0.25 . A further increase in the parameter θ may lead to an even greater difference in values of the maximum strains between these cases. It is noted that for a constant ice thickness, the maximum strain value for higher compression, q ¯ x = 2 , is 1.04 times greater than the maximum strain value for lower compression, q ¯ x = 1 . The ratio of maximum strains, max ϵ ¯ ( x , y ) / max ( ϵ ( x , y ) ) , where ϵ ¯ is the strains for the ice plate with variable thickness, is shown in Table 1. The values in the table indicate that strains increase more significantly with increasing variation in ice thickness in the case of less compressed ice. For a large ice thickness variation, strains for less compressed ice may become greater than strains for highly compressed ice. Increasing ice thickness variation in the form (27) leads to an increase in thickness near the channel walls. Here, strains decrease significantly, with the decrease being greater for the quadratic thickness variation. Strains along the walls are shown in Figure 11 with the same notation as for Figure 9.

5. Conclusions

The problem of the motion of a submerged body along the central line of the frozen channel with non-uniformly compressed ice along the principal coordinates is considered. The body is moving at a constant speed. Cases with different longitudinal and transverse compressive stresses were studied, considering only positive stresses. The submerged body is modeled as a dipole, the potential of which in the channel is determined by the method of mirror images. The damping of oscillations was modeled by taking into account the porosity or viscosity of the ice. The problem is solved within the linear theory of hydroelasticity. By applying the Fourier transform along the channel, the problem is reduced to a problem of the profile of vibrations of compressed ice across the channel, which is solved by the method of normal modes. Classical normal modes for a beam of constant thickness were used, taking into account the clamped conditions at the channel walls. The main part of the article is devoted to the motion of the body along compressed ice. Alongside this, two additional problems are studied: a comparison of the damping effects of porosity and viscosity, and a study of the influence of variable ice thickness on the ice deflections and strains during considered motion.
Relating the problem of the body motion along the compressed ice, the following results were obtained:
  • The most important compressive stress is the stress in the direction of motion of the submerged body, in our case, the longitudinal stress. Increasing longitudinal stresses changes the phase speeds of hydroelastic waves, which form the ice response to the moving submerged body. These speeds become smaller as the longitudinal stresses increase. Therefore, the speed of the body, which was subcritical for uncompressed ice, may become critical or supercritical. For the considered channel, the speed U = 3 m/s was subcritical for uncompressed ice and compressed ice with a longitudinal stress of Q x = ρ l g D , and supercritical for Q x = 2.12 ρ l g D and Q x = 2.477 ρ l g D . In general, for subcritical speeds, increasing longitudinal compression leads to a sequential increase in the ice deflections and strain amplitudes, followed by a change in the shape of the ice deflections from localized deflection above the body to a system of hydroelastic waves in front of and behind the body.
  • Transverse compressive stresses do not qualitatively change the shape of the ice deflections. Increasing transverse compressive stresses leads to an increase in ice deflection amplitudes above the body and a decrease in these amplitudes near the walls, narrowing the oscillation shape towards the center of the channel. Transverse stresses also reduce strains at the channel walls and increase them above the body.
  • Transverse compressive stresses, in combination with longitudinal compressive stresses, strengthen the effect of the latter, making the transition from subcritical to supercritical regime faster.
  • The calculations showed no particular features at the body speed U = U * , where U * = c 1 ( k * ) , c 1 g ( k * ) = 0 at Q x = 2.12 ρ l g D . This is the case when the group speed of the hydroelastic wave with the lowest frequency is equal to 0 at the point k * . Conversely, for Q x = 2.477 ρ l g D , the minimum phase speed of the first hydroelastic wave in the channel with the lowest frequency will be 0. In this case, the sequential decrease in the body motion speed to 0 leads to an increase in the ice deflections and strains in the ice cover, indicating instability of the ice plate in the absence of motion. These cases require investigation using fully non-stationary and nonlinear models.
Regarding the comparison of the damping effects of porosity and viscosity in the considered problem:
  • Increasing the porosity parameter slightly reduces the wavelength of the wave propagating from the body’s location. With increasing viscosity, the wavelength slightly increases, which is opposite to the effect of porosity for the wavelength. For viscous ice, waves in front of the submerged body dampen much faster than waves behind it. For porous ice, wave attenuation occurs uniformly both in front of and behind the body. In the considered case, the amplitudes and shapes of the deflections of porous and viscous ice covers visually coincide near the submerged body for K = 0.7 · 10 8 m2 and τ = 0.135 s.
Regarding the effect of variable thickness in the considered problem:
  • The effect of symmetric linear and quadratic variations in ice thickness across the channel, h i = ( 1 + θ | y | ) n , n = 1 , 2 , for the longitudinally compressed ice cover was studied. Cases with θ = 0.25 and 0.5 were considered. An increase in symmetric thickness variation leads to a slight increase in ice deflection amplitudes but a significant increase in strains along the central line of the channel and a decrease at the walls. Variable ice thickness has a stronger effect for less compressed ice.
The obtained results are valid for describing the response of a heterogeneous ice cover within the linear theory of hydroelasticity, where the amplitudes of ice oscillations are an order of magnitude smaller than the length of the hydroelastic wave, and for the motion of a submerged body moving at a constant speed. An important result is that the motion of the body with the same speed can be either subcritical or supercritical depending on compression. For a more detailed description of this effect, research of fully non-stationary models considering acceleration or deceleration of the body’s motion is required. To account for large loads on the ice cover (motion of a sphere with a large radius), it is necessary to consider nonlinear ice models. This is a future plan for continuing this work, along with subsequent investigation of different models of porous ice.

Author Contributions

Conceptualization, T.S. and T.K.; methodology, T.S. and T.K.; software, T.S. and K.S.; validation, T.S., K.N. and K.S.; formal analysis, T.S., K.N., K.S. and T.K.; investigation, T.S., K.N. and K.S.; resources, T.S. and K.S.; writing—original draft preparation, T.S., K.N. and K.S.; writing— review and editing, T.S., K.S. and T.K.; and visualization, T.S., K.N. and K.S. All authors have read and agreed to the published version of the manuscript.

Funding

The study was supported by the Russian Science Foundation, grant No. 23-71-01096, URL: https://rscf.ru/project/23-71-01096/ (accessed on 31 June 2024).

Data Availability Statement

Data of numerical calculations are available upon request.

Conflicts of Interest

The authors declare no conflicts of interest.

References

  1. Nugroho, W.S.; Wang, K.; Hosking, R.J.; Milinazzo, F. Time-dependent response of a floating flexible plate to an impulsively started steadily moving load. J. Fluid Mech. 1999, 381, 337–355. [Google Scholar] [CrossRef]
  2. Kheysin, D.Y. Dinamika Ledyanogo Pokrova (Dynamics of Floating Ice Covers); Technical Translation FSTC-HT-23-485-69; Gidrometeorologicheskoe Izdatel’stvo: Leningrad, Russia; US Army Foreign Science and Technology Center: Charlottesville, VA, USA, 1967; 215p. [Google Scholar]
  3. Evans, D.V.; Peter, M.A. Asymptotic reflection of linear water waves by submerged horizontal porous plates. J. Eng. Math. 2011, 69, 135–154. [Google Scholar] [CrossRef]
  4. Timoshenko, S.; Woinowsky-Krieger, S. Theory of Plates and Shells, 2nd ed.; McGraw-Hill Book Company Inc.: New York, NY, USA; Toronto, ON, Canada; London, UK, 1959; 591p. [Google Scholar]
  5. Bukatov, A.E.; Goncharov, A.M. Izgibno-gravitacionnye volny pri neravnomernom szhatii. Morsk. Gidrofiz. Zhurnal 1989, 4, 35–39. [Google Scholar]
  6. Bukatov, A.E.; Zharkov, V.V.; Zav’yalov, D.D. Three-dimensional bent-gravity waves with non-uniform compression. J. Appl. Mech. Tech. Phys. 1991, 32, 867–872. [Google Scholar] [CrossRef]
  7. Bukatov, A.E. Volny vs. More s Plavayushchim Ledyanym Pokrovom; FGBUN MGI: Sevastopol, Crimea, 2017; 360p. [Google Scholar]
  8. Sturova, I.V. The effect of non-uniform compression of an elastic plate floating on the fluid surface on the development of unsteady flexural-gravity waves. Fluid Dyn. 2021, 56, 211–218. [Google Scholar] [CrossRef]
  9. Stepanyants, Y.A.; Sturova, I.V. Waves on a compressed floating ice caused by motion of a dipole in water. J. Fluid Mech. 2021, 907, A7. [Google Scholar] [CrossRef]
  10. Wu, G.X. Radiation and diffraction by a submerged sphere advancing in water waves of finite depth. Proc. R. Soc. Lond. Ser. A 1995, 448, 29–54. [Google Scholar]
  11. Sturova, I.V.; Tkacheva, L.A. Wave motion in a fluid under an inhomogeneous ice cover. J. Phys. Conf. Ser. 2017, 894, 012092. [Google Scholar] [CrossRef]
  12. Shishmarev, K.; Zavyalova, K.; Batyaev, E.; Khabakhpasheva, T. Hydroelastic waves in a frozen channel with non-uniform thickness of ice. Water 2022, 14, 281. [Google Scholar] [CrossRef]
  13. Savin, A.A.; Savin, A.S. Waves generated on an ice cover by a source pulsating in fluid. Fluid Dyn. 2013, 48, 303–309. [Google Scholar] [CrossRef]
  14. Savin, A.A.; Savin, A.S. Three-Dimensional Problem of Disturbing an Ice Cover by a Dipole Moving in Fluid. Fluid Dyn. 2015, 50, 613–620. [Google Scholar] [CrossRef]
  15. Lamb, H. Hydrodynamics; Cambridge University Press: Cambridge, UK, 1932. [Google Scholar]
  16. Kochin, N.E.; Kibel, I.A.; Roze, N.V. Theoretical Hydrodynamics; Fizmatlit: Moscow, Russia, 1948; Volume 1, 584p. [Google Scholar]
  17. Wang, K.H.; Shen, Q. Wave motion over a group of submerged horizontal plates. Int. J. Eng. Sci. 1999, 37, 703–715. [Google Scholar] [CrossRef]
  18. Liu, Y.; Li, Y.-C. An alternative analytical solution for water-wave motion over a submerged horizontal porous plate. J. Eng. Math. 2011, 69, 385–400. [Google Scholar] [CrossRef]
  19. Liu, Y.; Li, H.J.; Li, Y.-C. A new analytical solution for wave scattering by a submerged horizontal porous plate with finite thickness. Ocean. Eng. 2012, 42, 83–92. [Google Scholar] [CrossRef]
  20. Cho, I.H.; Kim, M.H. Transmission of oblique incident waves by a submerged horizontal porous plate. Ocean. Eng. 2013, 61, 56–65. [Google Scholar] [CrossRef]
  21. Cho, I.H.; Koh, H.J.; Kim, J.R.; Kim, M.H. Wave scattering by dual submerged horizontal porous plates: Further results. Ocean. Eng. 2013, 73, 149–158. [Google Scholar] [CrossRef]
  22. Taylor, G. Fluid flow in regions bounded by porous surfaces. Proc. R. Soc. Lond. Ser. A 1956, 234, 456–475. [Google Scholar]
  23. Tuck, E. Matching problems involving flow through small holes. Adv. Appl. Mech. 1975, 15, 89–158. [Google Scholar]
  24. An, S.; Faltinsen, O.M. Linear free-surface effects on a horizontally submerged and perforated 2D thin plate in finite and infinite water depths. Appl. Ocean. Res. 2012, 37, 220–234. [Google Scholar] [CrossRef]
  25. Wu, J.; Wan, Z.; Fang, Y. Wave reflection by a vertical wall with a horizontal submerged porous plate. Ocean. Eng. 1998, 25, 767–779. [Google Scholar] [CrossRef]
  26. Yip, T.L.; Chwang, A.T. Perforated wall breakwater with internal horizontal plate. J. Eng. Mech. 2000, 126, 533–538. [Google Scholar] [CrossRef]
  27. Liu, Y.; Li, Y.-C.; Teng, B. Wave interaction with a perforated wall breakwater with a submerged horizontal porous plate. Ocean. Eng. 2007, 34, 2364–2373. [Google Scholar] [CrossRef]
  28. Liu, Y.; Li, Y.-C.; Teng, B.; Dong, S. Wave motion over a submerged breakwater with an upper horizontal porous plate and a lower horizontal solid plate. Ocean. Eng. 2008, 35, 1588–1596. [Google Scholar] [CrossRef]
  29. Chwang, A.T.; Chan, A.T. Interaction between porous media and wave motion. Annu. Rev. Fluid Mech. 1998, 30, 53–84. [Google Scholar] [CrossRef]
  30. Yu, X. Functional performance of a submerged and essentially horizontal plate for offshore wave control: A review. Coast. Eng. 2002, 44, 127–147. [Google Scholar] [CrossRef]
  31. Molin, B. Hydrodynamic modeling of perforated structures. Appl. Ocean. Res. 2011, 33, 1–11. [Google Scholar] [CrossRef]
  32. Chwang, A.T.; Wu, J. Wave scattering by submerged porous disk. J. Eng. Mech. 1994, 120, 2575–2587. [Google Scholar] [CrossRef]
  33. Peter, M.A.; Meylan, M.H.; Chung, H. Wave scattering by a circular elastic plate in water of finite depth: A closed form solution. Int. J. Offshore Polar Eng. 2004, 14, 81–85. [Google Scholar]
  34. Bennetts, L.G.; Biggs, N.R.T.; Porter, D. Wave scattering by an axisymmetric ice floe of varying thickness. IMA J. Appl. Math. 2009, 74, 273–295. [Google Scholar] [CrossRef]
  35. Meylan, M.H. The wave response of ice floes of arbitrary geometry. J. Geophys. Res. 2002, 107, 5-1–5-11. [Google Scholar]
  36. Meylan, M.H.; Bennetts, L.G.; Peter, M.A. Water-wave scattering and energy dissipation by a floating porous elastic plate in three dimensions. Wave Motion 2017, 70, 240–250. [Google Scholar] [CrossRef]
  37. Freitag, J. The hydraulic properties of arctic sea-ice: Implications for the small scale particle transport. Rep. Polar Res. 1999, 325, 155. [Google Scholar]
  38. Eicken, H.; Grenfell, T.C.; Perovich, D.K.; Richter-Menge, J.A.; Frey, K. Hydraulic controls of summer Arctic pack ice albedo. J. Geophys. Res-Oceans. 2004, 109, C08007. [Google Scholar] [CrossRef]
  39. Petrich, C.; Langhorne, P.J.; Sun, Z.F. Modelling the interrelationships between permeability, effective porosity and total porosity in sea ice. Cold Reg. Sci. Technol. 2006, 44, 131–144. [Google Scholar] [CrossRef]
  40. Weber, J.E.H. On the coupling between surface waves and the motion in a flexible porous surface layer. Ocean. Model. 2022, 174, 102013. [Google Scholar] [CrossRef]
  41. Marchenko, A. Thermo-Hydrodynamics of Sea Ice Rubble. IUTAM Symp. Phys. Mech. Sea Ice 2022, 39, 203–223. [Google Scholar]
  42. Marchenko, A.; Cole, D. Three Physical Mechanisms of Wave Energy Dissipation in Solid Ice. In POAC 2017, Proceedings of the 24th International Conference on Port and Ocean Engineering under Arctic Conditions, Busan, Republic of Korea, 11–16 June 2017; Curran Associates, Inc.: Red Hook, NY, USA, 2017; p. 01747082. [Google Scholar]
  43. Golden, K.M.; Eicken, H.; Heaton, A.L.; Miner, J.; Pringle, D.J.; Zhu, J. Thermal evolution of permeability and microstructure in sea ice. Geophys. Res. Lett. 2007, 34, L16501. [Google Scholar] [CrossRef]
  44. Zavyalova, K.N.; Shishmarev, K.A.; Korobkin, A.A. The response of a poroelastic ice plate to an external pressure. J. Sib. Fed. University. Math. Phys. 2021, 14, 87–97. [Google Scholar] [CrossRef]
  45. Wu, Q.Y.; Khabakhpasheva, T.I.; Ni, B.; Korobkin, A.A. Small-amplitude waves in a floating poroelastic plate forcing by vertical pitching plate. Phys. Fluids 2023, 35, 117127. [Google Scholar] [CrossRef]
  46. Chen, H.; Gilbert, R.P.; Guyenne, P. Dispersion and attenuation in a porous viscoelastic model for gravity waves on an ice-covered ocean. Eur. J. Mech.-B/Fluids 2019, 78, 88–105. [Google Scholar] [CrossRef]
  47. Shishmarev, K.; Sibiryakova, T.; Naydenova, K.; Khabakhpasheva, T. Dipole Oscillations along Principal Coordinates in a Frozen Channel in the Context of Symmetric Linear Thickness of Porous Ice. J. Mar. Sci. Eng. 2024, 12, 198. [Google Scholar] [CrossRef]
  48. Zhestkaya, V.D.; Kozin, V.M. Ice Breaking with Air-Cushion Vessels Using a Resonant Method; Dal’nauka: Vladivostok, Russia, 2003; 160p. [Google Scholar]
  49. Shishmarev, K.A.; Khabakhpasheva, T.I.; Korobkin, A.A. Ice response to an underwater body moving in a frozen channel. Appl. Ocean. Res. 2019, 91, 101877. [Google Scholar] [CrossRef]
  50. Pogorelova, A.V.; Zemlyak, V.L.; Kozin, V.M. Body motion in liquid under ice plate with snow cover. Appl. Ocean. Res. 2019, 84, 32–37. [Google Scholar] [CrossRef]
  51. Shismarev, K.A.; Khabakhpasheva, T.I. Unsteady deflection of ice cover in a frozen channel under a moving load. Comput. Technol. 2019, 24, 111–128. [Google Scholar] [CrossRef]
  52. Shishmarev, K.; Khabakhpasheva, T.; Oglezneva, K. Steady-State Motion of a Load on an Ice Cover with Linearly Variable Thickness in a Channel. J. Mar. Sci. Eng. 2023, 11, 1045. [Google Scholar] [CrossRef]
  53. Batyaev, E.; Khabakhpasheva, T. Flexural-gravity Waves in a Channel with a Compressed Ice Cover. Water 2024, 16, 1255. [Google Scholar] [CrossRef]
  54. Das, S.; Sahoo, T.; Meylan, M.H. Dynamics of flexural gravity waves: From sea ice to Hawking radiation and analogue gravity. Proc. R. Soc. A 2018, 474, 20170223. [Google Scholar] [CrossRef] [PubMed]
  55. Khabakhpasheva, T.I.; Shishmarev, K.A.; Korobkin, A.A. Large-time response of ice cover to a load moving along a frozen channel. Appl. Ocean. Res. 2019, 86, 154–165. [Google Scholar] [CrossRef]
  56. Freitag, J.; Eicken, H. Meltwater circulation and permeability of Arctic summer sea ice derived from hydrological field experiments. J. Glaciol. 2003, 49, 349–358. [Google Scholar] [CrossRef]
Figure 1. Scheme of the problem.
Figure 1. Scheme of the problem.
Applsci 14 07226 g001
Figure 2. Phase (a) and group (b) speeds for the first hydroelastic wave with the lowest frequency for the considered channel. The blue lines show the results for q ¯ x = 0 , the red lines, for q ¯ x = 1 , the purple lines, for q ¯ x = 2.12 , and the black lines, for q ¯ x = 2.477 .
Figure 2. Phase (a) and group (b) speeds for the first hydroelastic wave with the lowest frequency for the considered channel. The blue lines show the results for q ¯ x = 0 , the red lines, for q ¯ x = 1 , the purple lines, for q ¯ x = 2.12 , and the black lines, for q ¯ x = 2.477 .
Applsci 14 07226 g002
Figure 3. Dimensionless ice deflections (a) and dimensionless strains (c) along the central line of the channel, and dimensionless strains along the walls (d) and normalized deflections across the channel, x = 0 , (b) for U = 3 m/s. Results for q ¯ x = 0 are shown by black, for q ¯ x = 1 , by green, q ¯ x = 2.12 , by red and q ¯ x = 2.477 , by blue lines.
Figure 3. Dimensionless ice deflections (a) and dimensionless strains (c) along the central line of the channel, and dimensionless strains along the walls (d) and normalized deflections across the channel, x = 0 , (b) for U = 3 m/s. Results for q ¯ x = 0 are shown by black, for q ¯ x = 1 , by green, q ¯ x = 2.12 , by red and q ¯ x = 2.477 , by blue lines.
Applsci 14 07226 g003
Figure 4. Dimensionless ice deflections (a,b) and dimensionless strains (c,d) along the center line of the channel (a,c) and across the channel, x = 0 , (b,d) for U = 3 m/s. Results for q ¯ y = 0 are shown by black, for q ¯ y = 1 , by green, q ¯ y = 1.75 , by red, and q ¯ y = 2.5 , by blue lines.
Figure 4. Dimensionless ice deflections (a,b) and dimensionless strains (c,d) along the center line of the channel (a,c) and across the channel, x = 0 , (b,d) for U = 3 m/s. Results for q ¯ y = 0 are shown by black, for q ¯ y = 1 , by green, q ¯ y = 1.75 , by red, and q ¯ y = 2.5 , by blue lines.
Applsci 14 07226 g004
Figure 5. Dimensionless ice deflections (a) and dimensionless strains (c) along the central line of the channel, and dimensionless strains along the walls (d) and normalized deflections across the channel, x = 0 , (b) for U = 3 m/s and q x = 1.4 . Results for q ¯ y = 0 are shown by black, for q ¯ y = 1 , by green, q ¯ y = 1.75 , by red, and q ¯ y = 2.5 , by blue lines.
Figure 5. Dimensionless ice deflections (a) and dimensionless strains (c) along the central line of the channel, and dimensionless strains along the walls (d) and normalized deflections across the channel, x = 0 , (b) for U = 3 m/s and q x = 1.4 . Results for q ¯ y = 0 are shown by black, for q ¯ y = 1 , by green, q ¯ y = 1.75 , by red, and q ¯ y = 2.5 , by blue lines.
Applsci 14 07226 g005
Figure 6. Dimensionless ice deflections (a) and strains (b) along the central line of the channel for q ¯ x = 2.477 . Results for U = 0.2 m/s are shown by black, U = 0.15 m/s, by green, U = 0.1 m/s, by red, and U = 0.05 m/s by blue lines.
Figure 6. Dimensionless ice deflections (a) and strains (b) along the central line of the channel for q ¯ x = 2.477 . Results for U = 0.2 m/s are shown by black, U = 0.15 m/s, by green, U = 0.1 m/s, by red, and U = 0.05 m/s by blue lines.
Applsci 14 07226 g006
Figure 7. Dimensionless ice deflections (a) and dimensionless strains (c) along the central line of the channel of the porous elastic ice cover for U = 3 m/s and q x = 2.12 ; Dimensionless ice deflections (b) and dimensionless strains (d) along the central line of the channel of the viscoelastic ice cover for U = 3 m/s and q x = 2.12 .
Figure 7. Dimensionless ice deflections (a) and dimensionless strains (c) along the central line of the channel of the porous elastic ice cover for U = 3 m/s and q x = 2.12 ; Dimensionless ice deflections (b) and dimensionless strains (d) along the central line of the channel of the viscoelastic ice cover for U = 3 m/s and q x = 2.12 .
Applsci 14 07226 g007
Figure 8. Dimensionless ice deflections for U = 3 m/s and q x = 2.12 . The blue line shows the porous elastic plate for K = 0.7 · 10 8 m2 and red lines, the viscoelastic plate for τ = 0.135 s.
Figure 8. Dimensionless ice deflections for U = 3 m/s and q x = 2.12 . The blue line shows the porous elastic plate for K = 0.7 · 10 8 m2 and red lines, the viscoelastic plate for τ = 0.135 s.
Applsci 14 07226 g008
Figure 9. Dimensionless ice deflections along the central line of the channel for q ¯ x = 1 (a) and q ¯ x = 2 (b). The results for constant ice thickness are shown by black lines, blue lines show results for θ = 0.25 and n = 1 , and red lines, for θ = 0.5 and n = 2 in (27).
Figure 9. Dimensionless ice deflections along the central line of the channel for q ¯ x = 1 (a) and q ¯ x = 2 (b). The results for constant ice thickness are shown by black lines, blue lines show results for θ = 0.25 and n = 1 , and red lines, for θ = 0.5 and n = 2 in (27).
Applsci 14 07226 g009
Figure 10. Dimensionless strains along the central line of the channel for q ¯ x = 1 (a,c) and q ¯ x = 2 (b,d) and for θ = 0.25 (a,b) and θ = 0.5 (c,d). The results for constant ice thickness are shown by black lines, blue lines show the results for n = 1 and orange lines, for n = 2 in (27).
Figure 10. Dimensionless strains along the central line of the channel for q ¯ x = 1 (a,c) and q ¯ x = 2 (b,d) and for θ = 0.25 (a,b) and θ = 0.5 (c,d). The results for constant ice thickness are shown by black lines, blue lines show the results for n = 1 and orange lines, for n = 2 in (27).
Applsci 14 07226 g010
Figure 11. Dimensionless strains along the channel walls for q ¯ x = 1 (a) and q ¯ x = 2 (b). Legend is the same as in Figure 9. The results for constant ice thickness are shown by black lines, blue lines show results for θ = 0.25 and n = 1 , and red lines, for θ = 0.5 and n = 2 in (27).
Figure 11. Dimensionless strains along the channel walls for q ¯ x = 1 (a) and q ¯ x = 2 (b). Legend is the same as in Figure 9. The results for constant ice thickness are shown by black lines, blue lines show results for θ = 0.25 and n = 1 , and red lines, for θ = 0.5 and n = 2 in (27).
Applsci 14 07226 g011
Table 1. The ratio of maximum strains, max ϵ ¯ ( x , y ) / max ( ϵ ( x , y ) ) , where ϵ ¯ is the strains for the ice plate with variable thickness for corresponding cases described by (27).
Table 1. The ratio of maximum strains, max ϵ ¯ ( x , y ) / max ( ϵ ( x , y ) ) , where ϵ ¯ is the strains for the ice plate with variable thickness for corresponding cases described by (27).
n = 1 , θ = 0.25 n = 1 , θ = 0.5 n = 2 , θ = 0.25 n = 2 , θ = 0.5
q ¯ x = 1 1.473.383.468.53
q ¯ x = 2 1.282.852.917.54
Disclaimer/Publisher’s Note: The statements, opinions and data contained in all publications are solely those of the individual author(s) and contributor(s) and not of MDPI and/or the editor(s). MDPI and/or the editor(s) disclaim responsibility for any injury to people or property resulting from any ideas, methods, instructions or products referred to in the content.

Share and Cite

MDPI and ACS Style

Sibiryakova, T.; Naydenova, K.; Serykh, K.; Khabakhpasheva, T. Motion of Submerged Body in a Frozen Channel with Compressed Porous Ice. Appl. Sci. 2024, 14, 7226. https://doi.org/10.3390/app14167226

AMA Style

Sibiryakova T, Naydenova K, Serykh K, Khabakhpasheva T. Motion of Submerged Body in a Frozen Channel with Compressed Porous Ice. Applied Sciences. 2024; 14(16):7226. https://doi.org/10.3390/app14167226

Chicago/Turabian Style

Sibiryakova, Tatyana, Kristina Naydenova, Kirill Serykh, and Tatyana Khabakhpasheva. 2024. "Motion of Submerged Body in a Frozen Channel with Compressed Porous Ice" Applied Sciences 14, no. 16: 7226. https://doi.org/10.3390/app14167226

APA Style

Sibiryakova, T., Naydenova, K., Serykh, K., & Khabakhpasheva, T. (2024). Motion of Submerged Body in a Frozen Channel with Compressed Porous Ice. Applied Sciences, 14(16), 7226. https://doi.org/10.3390/app14167226

Note that from the first issue of 2016, this journal uses article numbers instead of page numbers. See further details here.

Article Metrics

Back to TopTop