Tracking Differences in Cow Temperature Related to Environmental Factors
Abstract
1. Introduction
2. Materials and Methods
2.1. Farms and Animals
2.2. Data Collection
- -
- Air temperature in the measured object [°C];
- -
- Relative humidity [%];
- -
- Air speed [m·s−1].
- Tdb = air temperature, °F;
- RH = relative humidity, %.
2.3. Data Analysis
2.4. Statistical Analysis
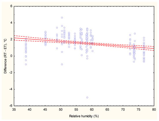
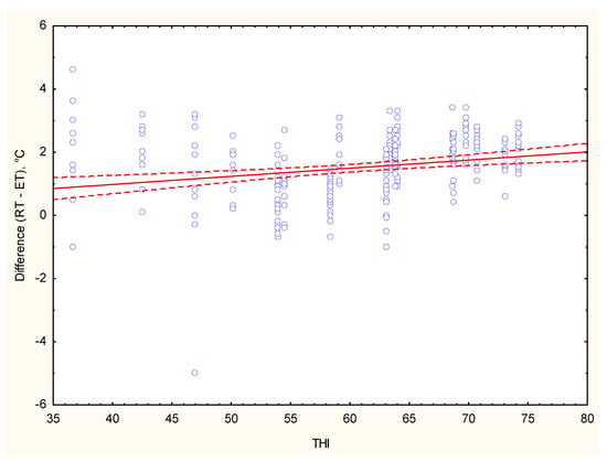
3. Results
4. Discussion
5. Conclusions
Author Contributions
Funding
Institutional Review Board Statement
Informed Consent Statement
Data Availability Statement
Conflicts of Interest
Correction Statement
References
- Shu, H.; Li, Y.; Fang, T.; Xing, M.; Sun, F.; Chen, X.; Bindelle, J.; Wang, W.; Guo, L. Evaluation of the Best Region for Measuring Eye Temperature in Dairy Cows Exposed to Heat Stress. Front. Vet Sci. 2022, 23, 9. [Google Scholar] [CrossRef] [PubMed] [PubMed Central]
- Tan, J.H.; Ng, E.Y.K.; Acharya, U.R.; Chee, C. Infrared thermography on ocular surface temperature: A review. Infrared Phys. Technol. 2009, 52, 97–108. [Google Scholar] [CrossRef]
- Silanikove, N. Effects of heat stress on the welfare of extensively managed domestic ruminants. Livest. Prod. Sci. 2000, 67, 1–18. [Google Scholar] [CrossRef]
- Godyń, D.; Herbut, P.; Angrecka, S. Measurements of peripheral and deep body temperature in cattle—A review. J. Therm. Biol. 2019, 79, 42–49. [Google Scholar] [CrossRef]
- Timsit, E.; Assié, S.; Quiniou, R.; Seegers, H.; Baraille, N. Early detection of bovine respiratory diseae in young bulls using reticulo-rumen temperature boluses. Vet. J. 2011, 190, 136–142. [Google Scholar] [CrossRef] [PubMed]
- Talukder, S.; Kerrisk, K.L.; Ingenhoff, L.; Thomson, P.C.; Garcia, S.C.; Celi, P. Infrared technology for estrus detection and as a predictor of time of ovulation in dairy cows in a pasture-based system. Theriogenology 2014, 81, 925–935. [Google Scholar] [CrossRef] [PubMed]
- Prendiville, D.; Lowe, J.; Earley, B. Radiotelemetry Systems for Measuring Body Temperature; Teagasc: Carlow, Ireland, 2002; Beef Prod; No. Ser.:57. [Google Scholar]
- Wang, F.-K.; Shih, J.-Y.; Juan, P.-H.; Su, Y.-C.; Wang, Y.-C. Non-Invasive Cattle Body Temperature Measurement Using Infrared Thermography and Auxiliary Sensors. Sensors 2021, 21, 2425. [Google Scholar] [CrossRef]
- Schaefer, A.L.; Cook, N.J.; Bench, C.; Chabot, J.B.; Colyn, J.; Liu, T. The non-invasive and automated detection of bovine respiratory disease onset in receiver calves using infrared thermography. Res. Vet. Sci. 2012, 93, 928–935. [Google Scholar] [CrossRef] [PubMed]
- Purwanto, B.P.; Abo, Y.; Sakamoto, R.; Furumoto, F.; Yamamoto, S. Diurnal patterns of heat production and heart rate under thermoneutral conditions in Holstein Friesian cows differing in milk production. J. Agric. Sci. 1990, 114, 139–142. [Google Scholar] [CrossRef]
- Schaefer, A.L.; Cook, N.J.; Church, J.S.; Basarab, J.; Perry, B.; Miller, C.; Tong, A.K.W. The use of infrared thermography as an early indicator of bovine respiratory disease complex in calves. Res. Vet. Sci. 2007, 83, 376–384. [Google Scholar] [CrossRef]
- Do Prado Paim, T.; Borges, B.O.; De Mello Tavares Lima, P.; Gomes, E.F.; Dallago, B.S.L.; Fadel, R.; McManus, C. Thermographic evaluation of climatic conditions on lambs from different genetic groups. Int. J. Biometeorol. 2013, 57, 59–66. [Google Scholar] [CrossRef] [PubMed]
- Aalseth, E. Fresh Cow Management: What is Important, What Does it Cost, and What Does it Return? In Proceedings of the 7th Western Dairy Management Conference, Reno, NV, USA, 9–11 March 2005; Kansas State University and Cooperative Extension Service: New York, NY, USA, 2005; pp. 1–12. [Google Scholar]
- Hoffman, G.; Schmidt, M.; Ammon, C.; Rose-Meierhofer, S.; Burfeind, O.; Heuwieser, W. Monitoring the body temperature of cows and calves using video recordings from an infrared thermography camera. Vet. Res. Commun. 2013, 37, 91–99. [Google Scholar] [CrossRef] [PubMed]
- Bilby, T. How Do I Determine? How Do I Calculate Temperature-Humidity Index (THI)? 2014. Available online: https://progressivedairy.com/topics/herd-health/how-do-i-determine-how-do-i-calculate-temperature-humidity-index-thi (accessed on 1 July 2023).
- Liang, D.; Wood, C.L.; McQuerry, K.J.; Ray, D.L.; Clark, J.D.; Bewley, J.M. Influence of breed, milk production, season, and ambient temperature on dairy cow reticulorumen temperature. J. Dairy Sci. 2013, 96, 5072–5081. [Google Scholar] [CrossRef] [PubMed]
- Berry, D.P.; Coyne, J.; Coughlan, B.; Burke, M.; McCarthy, J.; Enright, B.; Cromie, A.R.; McParland, S. Genetics of milking characteristics in dairy cows. Animal 2013, 7, 1750–1758. [Google Scholar] [CrossRef]
- Church, J.S.; Hegadoren, P.R.; Paetkau, M.J.; Miller, C.C.; Regev-Shoshani, G.; Schaefer, A.L. Influence of environmental factors on infrared eye temperature measurements in cattle. Res. Vet. Sci. 2014, 96, 220–226. [Google Scholar] [CrossRef] [PubMed]
- Idris, M.; Uddin, J.; Sullivan, M.; McNeill, D.M.; Phillips, C.J.C. Non-Invasive Physiological Indicators of Heat Stress in Cattle. Animals 2021, 11, 71. [Google Scholar] [CrossRef]
- Jiang, L.J.; Ng, E.Y.; Yeo, A.C.; Wu, S.; Pan, F.; Yau, W.Y. A perspective on medical infrared imaging. J. Med. Eng. Technol. 2005, 29, 257–267. [Google Scholar] [CrossRef] [PubMed]
- Collier, R.J.; Dahl, G.E.; VanBaale, M.J. Major advances associated with environmental effects on dairy cattle. J. Dairy Sci. 2006, 89, 1244–1253. [Google Scholar] [CrossRef]
- McDowell, R.E.; Hooven, N.W.; Camoens, J.K. Effect of climate on performance of Holsteins in first lactation. J. Dairy Sci. 1976, 59, 965–971. [Google Scholar] [CrossRef]
- Kotrba, R.; Knížková, I.; Kunc, P.; Bartoš, L. Comparison between the coat temperature of the eland and dairy cattle by infrared thermography. J. Therm. Biol. 2007, 32, 355–359. [Google Scholar] [CrossRef]
- Bianca, W.; Kunz, P. Physiological reactions of three breed’s of goats to cold, heat and high altitude. Livest. Prod. Sci. 1978, 5, 57–69. [Google Scholar] [CrossRef]
- Bowers, S.; Gandy, S.; Anderson, B.; Ryan, P.; Willard, S. Assessment of pregnancy in the late-gestation mare using digital infrared thermography. Theriogenology 2009, 72, 372–377. [Google Scholar] [CrossRef]
- Collier, R.J.; Hall, L.W.; Rungruang, S.; Zimbleman, R.B. Quantifying Heat Stress and Its Impact on Metabolism and Performance. In Proceedings of the Florida Ruminant Nutrition Symp, Gainesville, FL, USA, 31 January–1 February 2012; Available online: https://animal.ifas.ufl.edu/apps/dairymedia/rns/2012/6CollierRNS2012a.pdf (accessed on 1 July 2023).
- Collier, R.J.; Eley, R.M.; Sharma, A.K.; Pereira, R.M.; Buffington, D.E. Shade Management in Subtropical Environment for Milk Yield and Composition in Holstein and Jersey Cows. J. Dairy Sci. 1981, 64, 844–849. [Google Scholar] [CrossRef]
- Çolak, A.; Polat, B.; Okumus, Z.; Kaya, M.; Yanmaz, L.E.; Hayirli, A. Early detection of mastitis using infrared thermography in dairy cows. J. Dairy Sci. 2008, 91, 4244–4248. [Google Scholar] [CrossRef]
- Hovinen, M.; Siivonen, J.; Taponen, S.; Hänninen, L.; Pastell, M.; Aisla, A.M.; Pyörälä, S. Detection of clinical mastitis with the help of a thermal camera. J. Dairy Sci. 2008, 91, 4592–4598. [Google Scholar] [CrossRef] [PubMed]
- Kovács, L.; Kézér, F.L.; Póti, P.; Boros, N.; Nagy, K. Short communication: Upper critical temperature-humidity index for dairy calves based on physiological stress variables. J. Dairy Sci. 2020, 103, 2707–2710. [Google Scholar] [CrossRef] [PubMed]
- Lendelová, J.; Hauliková, A.; Žitňák, M.; Kuchar, P. Assessment of the possibility of reducing the thermal load in the barn by using mechanical ventilation. Acta Technol. Agric. 2021, 24, 173–180. [Google Scholar] [CrossRef]
- Montanholi, Y.R.; Odongo, N.E.; Swanson, K.C.; Schenkel, F.S.; McBride, B.W.; Miller, S.P. Application of infrared thermography as an indicator of heat and methane production and its use in the study of skin temperature in response to physiological events in dairy cattle (Bos taurus). J. Therm. Biol. 2008, 33, 468–475. [Google Scholar] [CrossRef]
- Dukes, H.H. Fisiologia dos Animais Domésticos; Guanabara Koogan: Rio de Janeiro, Brazil, 1996; p. 856. [Google Scholar]
- Hahn, G.; Gauchan, J.B.; Mader, T.L.; Eigenberg, R.A. Chapter 5: Thermal indices and their applications for livestock environments. In Livestock Energetics and Thermal Environmental Management; DeShazer, J.A., Ed.; American Society of Agricultural and Biological Engineers (ASABE): St. Joseph, MI, USA, 2009; pp. 113–130. [Google Scholar]
- Uddin, J.; Phillips, C.J.C.; Auboeuf, M.; McNeill, D.M. Relationships between body temperatures and behaviours in lactating dairy cows. Appl. Anim. Behav. Sci. 2021, 241, 105359. [Google Scholar] [CrossRef]
- Scoley, G.E.; Gordon, A.W.; Morrison, S.J. Use of thermal imaging in dairy calves: Exploring the repeatability and accuracy of measures taken from different anatomical regions. Transl. Anim. Sci. 2019, 3, 564–576. [Google Scholar] [CrossRef]
- Kou, H.X.; Zhao, Y.Q.; Ren, K.; Chen, X.L.; Lu, Y.Q.; Wang, D. Automated measurement of cattle surface temperature and its correlation with rectal temperature. PLoS ONE 2017, 12, e0175377. [Google Scholar] [CrossRef]
- Mazdeyasna, S.; Ghassemi, P.; Wang, Q. Best Practices for Body Temperature Measurement with Infrared Thermography: External Factors Affecting Accuracy. Sensors 2023, 23, 8011. [Google Scholar] [CrossRef]
- Bronzino, J.D. IR Imagers as Fever Monitoring Devices: Physics, Physiology, and Clinical Accuracy. 2006. Available online: https://taylorfrancis.com/chapters/edit/10.1201/9781420003864-31/ir-imagers-fever-monitoring-devices-physics-physiology-clinical-accuracy (accessed on 1 July 2021).
- Peng, D.; Chen, S.; Li, G.; Chen, J.; Wang, J.; Gu, X. Infrared thermography measured body surface temperature and its relationship with rectal temperature in dairy cows under different temperature-humidity indexes. Int. J. Biometeorol. 2019, 63, 327–336. [Google Scholar] [CrossRef]
- Herbut, P.; Angrecka, S.; Walczak, J. Environmental parameters to assessing of heat stress in dairy cattle—A review. Int. J. Biometeorol. 2018, 62, 2089–2097. [Google Scholar] [CrossRef]
- Jaddoa, M.A.; Al-Jumaily, A.; Gonzalez, L.; Cuthbertson, H. Automatic eyes localization in thermal images for temperature measurement in cattle. In Proceedings of the 12th International Conference on Intelligent Systems and Knowledge Engineering (ISKE), Nanjing, China, 24–26 November 2017; pp. 1–6. [Google Scholar] [CrossRef]
- Nikkhah, A.; Plaizier, J.C.; Einarson, M.S.; Berry, R.J.; Scott, S.L.; Kennedy, A.D. Infrared thermography and visual examination of hooves of dairy cows in two stages of lactation. J. Dairy Sci. 2005, 88, 2749–2753. [Google Scholar] [CrossRef]
- Zhang, Q.; Yang, Y.; Liu, G.; Ning, Y.; Li, J. Dairy Cow Mastitis Detection by Thermal Infrared Images Based on CLE-UNet. Animals 2023, 13, 2211. [Google Scholar] [CrossRef] [PubMed]
- Werema, C.W.; Laven, L.; Mueller, K.; Laven, R. Evaluating Alternatives to Locomotion Scoring for Lameness Detection in Pasture-Based Dairy Cows in New Zealand: Infra-Red Thermography. Animals 2021, 11, 3473. [Google Scholar] [CrossRef]
- Türkgeldi, B.; Koç, F.; Lackner, M.; Okuyucu, B.; Okur, E.; Palangi, V.; Esen, S. Infrared Thermography Assessment of Aerobic Stability of a Total Mixed Ration: An Innovative Approach to Evaluating Dairy Cow Feed. Animals 2023, 13, 2225. [Google Scholar] [CrossRef]
- Martello, L.S.; Da Luz, S.S.; Gomes, R.C.; Corte, R.S.R.P.; Leme, P.R. Infrared thermography as a tool to evaluate body surface temperature and its relationship with feed efficiency in Bos indicus cattle in tropical conditions. Int. J. Biometeorol. 2016, 60, 173–181. [Google Scholar] [CrossRef]
- Berry, D.; Coughlan, B.; Enright, B.; Burke, M. Factors associated with milking characteristics in dairy cows. J. Dairy Sci. 2013, 96, 5943–5953. [Google Scholar] [CrossRef]
- Dado-Senn, B.; Ouellet, V.; Dahl, G.E.; Laporta, J. Methods for assessing heat stress in preweaned dairy calves exposed to chronic heat stress or continuous cooling. J. Dairy Sci. 2020, 103, 8587–8600. [Google Scholar] [CrossRef] [PubMed]
- Ouellet, V.; Toledo, I.M.; Dado-Senn, B.; Dahl, G.E.; Laporta, J. Critical temperature-humidity index thresholds for dry cows in a subtropical climate. Front. Anim. Sci. 2021, 2, 28. [Google Scholar] [CrossRef]
- Pinto, S.; Hoffmann, G.; Ammon, C.; Amon, T. Critical THI thresholds based on the physiological parameters of lactating dairy cows. J. Therm. Biol. 2020, 88, 102523. [Google Scholar] [CrossRef]
- Torrao, N.A.; Hetem, R.S.; Meyer, L.C.R.; Fick, L.G. Assessment of the use of temperature-sensitive microchips to determine core body temperature in goats. Vet. Rec. 2011, 168, 328. [Google Scholar] [CrossRef]
- Burfeind, O.; Von Keyserlingk, M.A.G.; Weary, D.M.; Veira, D.M.; Heuwieser, W. Repeatability of measures of rectal temperature in dairy cows. J. Dairy Sci. 2010, 93, 624–627. [Google Scholar] [CrossRef] [PubMed]
- Naylor, J.M.; Streeter, R.M.; Torgerson, P. Factors affecting rectal temperature measurement using commonly available digital thermometers. Res. Vet. Sci. 2012, 92, 121–123. [Google Scholar] [CrossRef]




| PARAMETER | MEAN | MINIMUM | MAXIMUM | STANDARD DEVIATION |
|---|---|---|---|---|
| COW’S EYE TEMPERATURE (°C) | 36.7 | 33.9 | 39.1 | 0.92 |
| COW’S RECTAL TEMPERATURE (°C) | 38.3 | 32.1 | 39.0 | 0.51 |
| AIR TEMPERATURE (°C) | 16.4 | −1.8 | 27.4 | 6.98 |
| RELATIVE HUMIDITY (%) | 59.2 | 38.9 | 76.8 | 11.71 |
| THI | 60.4 | 36.7 | 74.3 | 9.38 |
Disclaimer/Publisher’s Note: The statements, opinions and data contained in all publications are solely those of the individual author(s) and contributor(s) and not of MDPI and/or the editor(s). MDPI and/or the editor(s) disclaim responsibility for any injury to people or property resulting from any ideas, methods, instructions or products referred to in the content. |
© 2024 by the authors. Licensee MDPI, Basel, Switzerland. This article is an open access article distributed under the terms and conditions of the Creative Commons Attribution (CC BY) license (https://creativecommons.org/licenses/by/4.0/).
Share and Cite
Gálik, R.; Bod’o, Š.; Lüttmerding, A.; Knížková, I.; Kunc, P. Tracking Differences in Cow Temperature Related to Environmental Factors. Appl. Sci. 2024, 14, 7205. https://doi.org/10.3390/app14167205
Gálik R, Bod’o Š, Lüttmerding A, Knížková I, Kunc P. Tracking Differences in Cow Temperature Related to Environmental Factors. Applied Sciences. 2024; 14(16):7205. https://doi.org/10.3390/app14167205
Chicago/Turabian StyleGálik, Roman, Štefan Bod’o, Angélique Lüttmerding, Ivana Knížková, and Petr Kunc. 2024. "Tracking Differences in Cow Temperature Related to Environmental Factors" Applied Sciences 14, no. 16: 7205. https://doi.org/10.3390/app14167205
APA StyleGálik, R., Bod’o, Š., Lüttmerding, A., Knížková, I., & Kunc, P. (2024). Tracking Differences in Cow Temperature Related to Environmental Factors. Applied Sciences, 14(16), 7205. https://doi.org/10.3390/app14167205

