The Running Performance of Amateur Football Players in Matches with a 1-4-3-3 Formation in Relation to Their Playing Position and the 15-min Time Periods
Abstract
1. Introduction
2. Materials and Methods
2.1. Subjects
2.2. Anthropometric Measurements
2.3. External Load
- Zone 1: 0.1–7.19 km/h (rest, walking)—low intensity;
- Zone 2: 7.2–14.39 km/h (jogging)—moderate intensity;
- Zone 3: 14.4–19.79 km/h (running)—high intensity;
- Zone 4: 19.8–25.19 km/h (fast running)—high intensity;
- Zone 5: ≥25.2 km/h (sprinting)—very high intensity.
2.4. Time Intervals Used in the Study
- 1st Half: 1st–15th min;
- 1st Half: 16th–30th min;
- 1st Half: 31st–45th min + stoppage time;
- 2nd Half: 46th–60th min;
- 2nd Half: 61st–75th min;
- 2nd Half: 76th–90th min + stoppage time.
2.5. External Load Variables
- Total distance covered (and in each speed zone) per 15 min time interval of the 1st half;
- Total distance covered (and in each speed zone) per 15 min time interval of the 2nd half;
- Total distance covered (and in each speed zone) per corresponding 15 min time interval between the two halves (e.g., 1st–15th min compared to 46th–60th min, etc.).
2.6. Statistical Analysis
3. Results
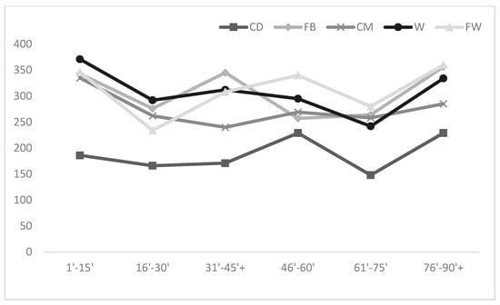
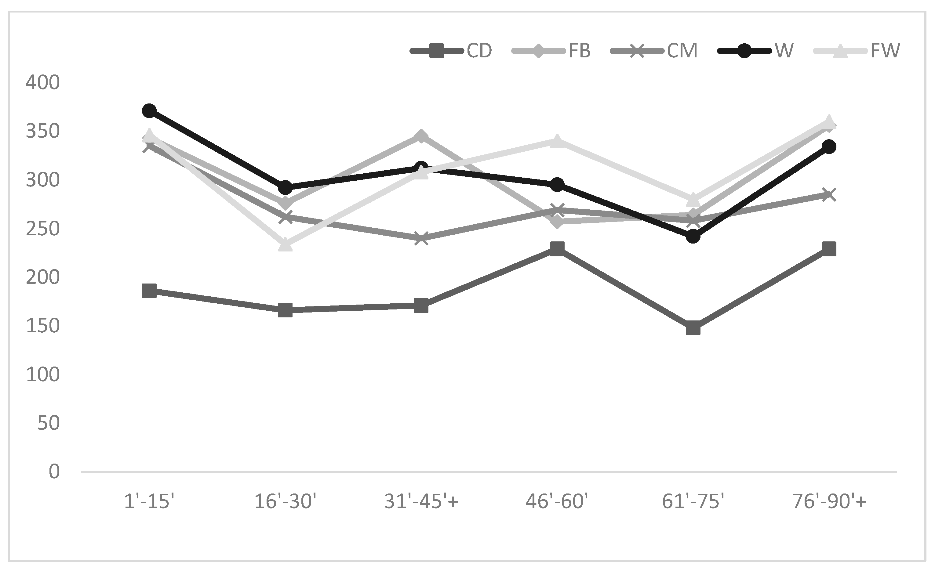
3.1. Total Distance Covered (and in Each Speed Zone) per 15 min Time Interval of the 1st and 2nd Half
3.2. Total Distance Covered (and in Each Speed Zone) per Corresponding 15 min Time Interval between the Two Halves
4. Discussion
Total Distance Covered in Each Different Speed Zone per 15-min Interval of the First Half
5. Conclusions
Author Contributions
Funding
Institutional Review Board Statement
Informed Consent Statement
Data Availability Statement
Conflicts of Interest
References
- Available online: https://publications.fifa.com/en/annual-report-2021/around-fifa/professional-football-2021/ (accessed on 1 January 2023).
- Barnes, C.; Archer, D.; Bush, M.; Hogg, R.; Bradley, P. The evolution of physical and technical performance parameters in the English Premier League. Int. J. Sports Med. 2014, 35, 1095–1100. [Google Scholar] [CrossRef] [PubMed]
- Modric, T.; Jelicic, M.; Sekulic, D. Relative Training Load and Match Outcome: Are Professional Soccer Players Actually Undertrained during the In-Season? Sports 2021, 9, 139. [Google Scholar] [CrossRef] [PubMed]
- Vardakis, L.; Michailidis, Y.; Mandroukas, A.; Mavrommatis, G.; Christoulas, K.; Metaxas, T. Analysis of the running performance of elite soccer players depending on position in the 1-4-3-3 formation. Ger. J. Exerc. Sport Res. 2019, 50, 241–250. [Google Scholar] [CrossRef]
- Plakias, S.; Mandroukas, A.; Kokkotis, C.; Mavrommatis, G.; Metaxas, T. The correlation of the penetrative pass on the offensive third with the possession of the ball in high level soccer. Gazz. Med. Ital.–Arch. Sci. Med. 2022, 181, 633–638. [Google Scholar] [CrossRef]
- Vardakis, L.; Michailidis, Y.; Topalidis, P.; Zelenitsas, C.; Mandroukas, A.; Gissis, I.; Christoulas, K.; Mavrommatis, G.; Metaxas, T. Application of a Structured Training Plan on Different-Length Microcycles in Soccer—Internal and External Load Analysis between Training Weeks and Games. Appl. Sci. 2023, 13, 6935. [Google Scholar] [CrossRef]
- Fousekis, A.; Fousekis, K.; Fousekis, G.; Vaitsis, N.; Terzidis, I.; Christoulas, K.; Michailidis, Y.; Mandroukas, A.; Metaxas, T. Two or Four Weeks Acute: Chronic Workload Ratio Is More Useful to Prevent Injuries in Soccer? Appl. Sci. 2023, 13, 495. [Google Scholar] [CrossRef]
- Weston, M.; Drust, B.; Gregson, W. Intensities of exercise during match-play in FA Premier League referees and players. J. Sport. Sci. 2011, 29, 527–532. [Google Scholar] [CrossRef] [PubMed]
- Linke, D.; Link, D.; Weber, H.; Lames, M. Decline in match running performance in football is affected by an increase in game interruptions. J. Sport. Sci. Med. 2018, 17, 662. [Google Scholar]
- Modric, T.; Versic, S.; Alexe, D.I.; Gilic, B.; Mihai, I.; Drid, P.; Radulovic, N.; Saavedra, J.M.; Menjibar, R.B. Decline in Running Performance in Highest-Level Soccer: Analysis of the UEFA Champions League Matches. Biology 2022, 11, 1441. [Google Scholar] [CrossRef]
- Forcher, L.; Forcher, L.; Jekauc, D.; Woll, A.; Gross, T.; Altmann, S. Center backs work hardest when playing in a back three: The influence of tactical formation on physical and technical match performance in professional soccer. PLoS ONE 2022, 17, e0265501. [Google Scholar] [CrossRef]
- Michailidis, Y.; Bagkos, T.; Kaldaras, V.; Gissis, I.; Metaxas, T.I. The profile of the internal load of amateur soccer players during official matches with formation 1-4-3-3 and relationships with indexes of external load. Appl. Sci. 2024, 14, 258. [Google Scholar] [CrossRef]
- Dellal, A.; Wong, D.P.; Moalla, W.; Chamari, K. Physical and technical activity of soccer players in the French First League–with special reference to their playing position. Int. Sports Med. J. 2010, 11, 278–290. [Google Scholar]
- Aquino, R.; Carling, C.; Palucci Vieira, L.H.; Martins, G.; Jabor, G.; Machado, J.; Santiago, P.; Garganta, J.; Puggina, E. Influence of situational variables, team formation, and playing position on match running performance and social network analysis in brazilian professional soccer players. J. Strength Cond. Res. 2020, 34, 808–817. [Google Scholar] [CrossRef] [PubMed]
- Rivilla-Garcia, J.; Calvo, L.C.; Jimenez-Rubio, S.; Paredes-Hernandez, V.; Munoz, A.; van den Tillaar, R.; Navandar, A. Characteristics of very high intensity runs of soccer players in relation to their playing position and play-ing half in the 2013–2014 Spanish La Liga season. J. Hum. Kinet. 2018, 66, 213–222. [Google Scholar] [CrossRef] [PubMed]
- Baptista, I.; Johansen, D.; Figueiredo, P.; Rebelo, A.; Pettersen, S.A. A comparison of match-physical demands between different tactical systems: 1-4-5-1 vs. 1-3-5-2. PLoS ONE 2019, 14, e0214952. [Google Scholar] [CrossRef] [PubMed]
- Bradley, P.S.; Carling, C.; Archer, D.T.; Roberts, J.; Dodds, A.; Di Mascio, M.; Paul, D.; Diaz, A.G.; Peart, D.; Krustrup, P. The effect of playing formation on high-intensity running and technical profiles in English FA Premier League soccer matches. J. Sports Sci. 2011, 29, 821–830. [Google Scholar] [CrossRef] [PubMed]
- Tierney, P.J.; Young, A.; Clarke, N.D.; Duncan, M.J. Match play demands of 11 versus 11 professional football using Global Positioning System tracking: Variations across common playing formations. Hum. Mov. Sci. 2016, 49, 1–8. [Google Scholar] [CrossRef] [PubMed]
- Muñoz-Castellanos, B.; Rabano-Muñoz, A.; Requena, B.; Suarez-Arrones, L.; Asian-Clemente, J.A. Congested Period in Professional Youth Soccer Players Showed a Different High Decelerations Profile in the Group Performance and a Specific Positional Behaviour. J. Funct. Morphol. Kinesiol. 2022, 7, 108. [Google Scholar] [CrossRef] [PubMed]
- Slaughter, M.H.; Lohman, T.G.; Boileau, R.A.; Horswill, C.A.; Stillman, R.G.; Van loan, M.D.; Bemben, D.A. Skinfold equations for estimation of body fatness in children and youth. Hum. Biol. 1988, 60, 709–723. [Google Scholar]
- Siri, W.E. The gross composition of the body. Adv. Biol. Med. Phys. 1956, 4, 239–280. [Google Scholar]
- Durnin, J.V.G.A.; Rahaman, M.M. The assessment of the amount of fat in the human body from measurements of skinfold thickness. Br. J. Nutr. 1967, 21, 681–689. [Google Scholar] [CrossRef] [PubMed]
- Cohen, J. Statistical Power Analysis for the Behavioral Sciences, 2nd ed.; Lawrence Erlbaum Associates: Mahwah, NJ, USA, 1988. [Google Scholar]
- Bradley, P.S.; Di Mascio, M.; Peart, D.; Olsen, P.; Sheldon, B. High-intensity activity profiles of elite soccer players at different performance levels. J. Strength Cond. Res. 2010, 24, 2343–2351. [Google Scholar] [CrossRef]
- Oliva-Lozano, J.M.; Granero-Gil, P.; Panascì, M. Changes in Physical Performance Throughout Professional Soccer Match-Play. J. Strength Cond. Res. 2024, 38, 123–127. [Google Scholar] [CrossRef] [PubMed]
- Russell, M.; Sparkes, W.; Northeast, J.; Cook, C.J.; Love, T.D.; Bracken, R.M.; Kilduff, L.P. Changes in Acceleration and Deceleration Capacity Throughout Professional Soccer Match-Play. J. Strength Cond. Res. 2016, 30, 2839–2844. [Google Scholar] [CrossRef]
- Oliva-Lozano, J.M.; Fortes, V.; Muyor, J.M. When and how do elite soccer players sprint in match play? A longitudinal study in a professional soccer league. Res. Sports Med. 2023, 31, 1–12. [Google Scholar] [CrossRef] [PubMed]
- Mohr, M.; Krustrup, P.; Bangsbo, J. Match performance of high-standard soccer players with special reference to development of fatigue. J. Sports Sci. 2003, 21, 519–528. [Google Scholar] [CrossRef]
- Augusto, D.; Brito, J.; Aquino, R.; Paulucio, D.; Figueiredo, P.; Bedo, B.L.S.; Touguinhó, D.; Vasconcellos, F. Contextual variables affect peak running performance in elite soccer players: A brief report. Front. Sports Act. Living 2022, 4, 966146. [Google Scholar] [CrossRef]
- Modric, T.; Versic, S.; Sekulic, D. Position Specific Running Performances in Professional Football (Soccer): Influence of Different Tactical Formations. Sports 2020, 8, 161. [Google Scholar] [CrossRef]
- Chmura, P.; Oliva-Lozano, J.M.; Muyor, J.M.; Andrzejewski, M.; Chmura, J.; Czarniecki, S.; Kowalczuk, E.; Rokita, A.; Konefał, M. Physical Performance Indicators and Team Success in the German Soccer League. J. Hum. Kinet. 2022, 83, 257–265. [Google Scholar] [CrossRef]




| Zone | Time | CD | FB | CM | |||
|---|---|---|---|---|---|---|---|
| Pos. | p | Pos. | p | Pos. | p | ||
| Z1 | 1′–15′ | CM | 0.027 | ||||
| 16′–30′ | FB CM | 0.035 0.009 | W | 0.028 | W | 0.009 | |
| 31′–45′ | FB CM | 0.012 0.007 | |||||
| 46′–60′ | FB | 0.044 | |||||
| 61′–75′ | FB | 0.017 | |||||
| 76′–90′ | FB | 0.031 | |||||
| Z2 | 1′–15′ | CM | <0.001 | W | 0.007 | ||
| 16′–30′ | CM | <0.001 | W FW | 0.005 0.018 | |||
| 31′–45′ | CM | 0.004 | W | 0.016 | |||
| 46′–60′ | CM | 0.032 | |||||
| 61′–75′ | CM | <0.001 | |||||
| 76′–90′ | |||||||
| Z3 | 1′–15′ | FB CM W | 0.009 <0.001 0.047 | ||||
| 16′–30′ | CM | 0.025 | |||||
| 31′–45′ | FB | 0.014 | |||||
| 46′–60′ | |||||||
| 61′–75′ | FB CM W | 0.031 0.002 0.044 | |||||
| 76′–90′ | |||||||
| Z4 | 1′–15′ | FB W | 0.014 0.019 | ||||
| 16′–30′ | W | 0.013 | |||||
| 31′–45′ | FB | <0.001 | CM | 0.021 | |||
| 46′–60′ | |||||||
| 61′–75′ | FB | 0.014 | |||||
| 76′–90′ | |||||||
| Z5 | 1′–15′ | ||||||
| 16′–30′ | |||||||
| 31′–45′ | |||||||
| 46′–60′ | W | 0.002 | W | 0.003 | W | <0.001 | |
| 61′–75′ | |||||||
| 76′–90′ | FB W | 0.028 0.035 | CM | 0.007 | W | 0.013 | |
| Pos. | Zone | 1′–15′ | 16′–30′ | 31′–45′ | 46′–60′ | 61′–75′ | |||||
|---|---|---|---|---|---|---|---|---|---|---|---|
| Period | p | Period | p | Period | p | Period | p | Period | p | ||
| CD | Z1 | 31′–45′ 76′–90′ | <0.001 <0.001 | 31′–45′ 76′–90′ | 0.011 <0.001 | 46′–60′ 61′–75′ 76′–90′ | <0.001 <0.001 0.002 | 76′–90′ | <0.001 | 76′–90′ | <0.001 |
| FB | Z1 | 31′–45′ 76′–90′ | 0.007 <0.001 | 76′–90′ | <0.001 | 46′–60′ 61′–75′ 76′–90′ | 0.002 0.039 0.002 | 76′–90′ | <0.001 | 76′–90′ | <0.001 |
| Z2 | 61′–75′ | 0.029 | 76′–90′ | 0.012 | |||||||
| Z3 | 46′–60′ | 0.045 | 76′–90′ | 0.014 | |||||||
| CM | Z1 | 31′–45′ 76′–90′ | 0.002 <0.001 | 76′–90′ | <0.001 | 46′–60′ 76′–90′ | 0.006 <0.001 | 76′–90′ | <0.001 | 76′–90′ | <0.001 |
| W | Z1 | 31′–45′ 76′–90′ | 0.012 <0.001 | 46′–60′ 76′–90′ | 0.002 0.001 | 46′–60′ 61′–75′ | <0.001 0.002 | 76′–90′ | <0.001 | 76′–90′ | <0.001 |
| Z2 | 76′–90′ | 0.050 | |||||||||
| Z4 | 61′–75′ | 0.032 | |||||||||
| FW | Z1 | 16′–30′ 31′–45′ 76′–90′ | 0.026 0.007 <0.001 | 76′–90′ | <0.001 | 76′–90′ | <0.001 | 76′–90′ | <0.001 | 76′–90′ | <0.001 |
Disclaimer/Publisher’s Note: The statements, opinions and data contained in all publications are solely those of the individual author(s) and contributor(s) and not of MDPI and/or the editor(s). MDPI and/or the editor(s) disclaim responsibility for any injury to people or property resulting from any ideas, methods, instructions or products referred to in the content. |
© 2024 by the authors. Licensee MDPI, Basel, Switzerland. This article is an open access article distributed under the terms and conditions of the Creative Commons Attribution (CC BY) license (https://creativecommons.org/licenses/by/4.0/).
Share and Cite
Kaldaras, V.; Michailidis, Y.; Gissis, I.; Metaxas, T.I. The Running Performance of Amateur Football Players in Matches with a 1-4-3-3 Formation in Relation to Their Playing Position and the 15-min Time Periods. Appl. Sci. 2024, 14, 7036. https://doi.org/10.3390/app14167036
Kaldaras V, Michailidis Y, Gissis I, Metaxas TI. The Running Performance of Amateur Football Players in Matches with a 1-4-3-3 Formation in Relation to Their Playing Position and the 15-min Time Periods. Applied Sciences. 2024; 14(16):7036. https://doi.org/10.3390/app14167036
Chicago/Turabian StyleKaldaras, Vasilis, Yiannis Michailidis, Ioannis Gissis, and Thomas I. Metaxas. 2024. "The Running Performance of Amateur Football Players in Matches with a 1-4-3-3 Formation in Relation to Their Playing Position and the 15-min Time Periods" Applied Sciences 14, no. 16: 7036. https://doi.org/10.3390/app14167036
APA StyleKaldaras, V., Michailidis, Y., Gissis, I., & Metaxas, T. I. (2024). The Running Performance of Amateur Football Players in Matches with a 1-4-3-3 Formation in Relation to Their Playing Position and the 15-min Time Periods. Applied Sciences, 14(16), 7036. https://doi.org/10.3390/app14167036

