Multiple Learning Strategies and a Modified Dynamic Multiswarm Particle Swarm Optimization Algorithm with a Master Slave Structure
Abstract
1. Introduction
2. Review of the Standard PSO and Its Variants
2.1. Standard PSO
2.2. Some Variants of PSO
- (1)
- Parameter tuning
- (2)
- Neighborhood topology adjustments
- (3)
- Learning strategy
- (4)
- Hybridization of PSO with other algorithms
3. The Proposed Method
3.1. The Proposed MDMS Strategy
- (1)
- A multiswarm segmentation scheme with a master–slave structure
- (2)
- The multiswarm dynamic adjustment strategy
| Algorithm 1. MDMS_Phase | |
| 1: | Calculate sn using Equation (3); |
| 2: | [~,index_f] = sort(fitness); |
| 3: | Index of superior particles: ST_temp = index_f (1:M/2); |
| 4: | Index of all potential combinations of master particles Comb = nchoosek(ST_temp, sn); |
| 5: | Calculate all combinations of distance sum Sum_d(Pos(Comb)) using Equations (4) and (5); |
| 6: | Index of the combination Cs: [~, index_m] = max (Sum_d); |
| 7: | The index of master particles Master = Comb(index_m,:); |
| 8: | for k = 1: sn |
| 9: | subx(1,:) = Pos(Master(k),:), subp(1,:) = Pbest(Master(k),:); |
| 10: | end for |
| 11: | for l = 1:M |
| 12: | if ~ismember(l,Master) |
| 13: | ms_d = pdist2(Pos(l), Pos(Master,:)); |
| 14: | [~,index_s] = min(ms_d); |
| 15: | subx{index_s}(end + 1,:) = Pos(l,:), subp{index_s}(end + 1,:) = Pbest(l,:); |
| 16: | end if |
| 17: | end for |
3.2. A Multimodel Learning Strategy with Reward and Punishment Mechanisms
- (1)
- MCL strategy
- (2)
- LDL strategy
- (3)
- UL strategy
| Algorithm 2. MLDMS-PSO_Phase | |
| 1: | Set parameter M,G,Rc;SPEAave = 0;delta_t = G; |
| 2: | Initialize the position and velocity of all particles x and v, respectively; |
| 3: | Evaluate x: fitness = fit(x); |
| 4: | Pbest = x, Gbest = [Pbesti | min(fit(Pbesti)]; |
| 5: | MDMS_Phase; |
| 6: | Lbestk = [subp(i,:) | min(fit(subp{k}(i,:)))]; |
| 7: | While (iter ≤ MaxFEs) |
| 8: | if delta_t ≥ G |
| 9: | Calculate average evolutionary ability SPEAave using Equations (5) and (6); |
| 10: | if SPEAave < Rc |
| 11: | MDMS_Phase; |
| 12: | end if |
| 13: | end if |
| 14: | for k = 1,2, …, sn do |
| 15: | Calculate Pls1 and Pls2 using Equations (15)–(17); |
| 16: | if a < Pls1 |
| 17: | Update particles of subpop{k} using Equations (11), (12) and (2); |
| 18: | end if |
| 19: | if Pls1 ≤ a < Pls2 |
| 20: | Update particles of subpop{k} using Equations (8), (9) and (2); |
| 21: | end if |
| 22: | if Pls2 ≤ a |
| 23: | Update particles of subpop{k} using Equations (13), (14) and (2); |
| 24: | end if |
| 25: | Evaluate particles of subpop{k} fitness |
| 26: | Update Lbestk; |
| 27: | end for |
| 28: | Update Gbest; |
| 29: | end while |
4. Experimental Studies
4.1. Parameter Tuning
4.2. Comparison with Other PSO Variants
- ➢
- Traditional global PSO algorithms with inertia weight (GPSO) [17].
- ➢
- Full information PSO (FIPS) [47]. The FIPS implements the ring topology.
- ➢
- Comprehensive learning PSO (CLPSO) [21]. All particles update the dimension information of their velocity using pbest and learn from the pbest of different particles.
- ➢
- Competitive and cooperative (CC) PSO with ISM (CCPSO-ISM) [37]. The CC operator based on the ISM is designed to use the shared information properly and efficiently.
- ➢
- A PSO with the multi-exemplar and forgetting ability (XPSO) [48]. XPSO uses two exemplars to update the velocity and configures distinct forgetting abilities to different particles.
- ➢
- Two-swarm learning PSO (TSLPSO) [20]. In TSLPSO, the dimensional learning strategy and CL strategy are used to guide the local and global search of the particles, respectively.
- ➢
- Dynamic multiple-swarm PSO (DMS-PSO) [11]. DMS-PSO adopts the multiple-swarm strategy and these swarms can be regrouped frequently.
- ➢
- Multiswarm PSO with a dynamic learning strategy (PSO-DLS) [16]. In PSO-DLS, the particle classification mechanism and the dynamic control mechanism of the strategy promote an information exchange among the subswarms.
- ➢
- Heterogeneous comprehensive learning and dynamic multiswarm PSO with two mutation operators (HCLDMS-PSO) [49]. In HCLDMS-PSO, a CL strategy and a modified DMS strategy are used to construct the exploitation subpopulation exemplar and the exploration subpopulation exemplar, respectively.
4.3. Results Analysis and Discussion
4.3.1. Solutions Accuracy
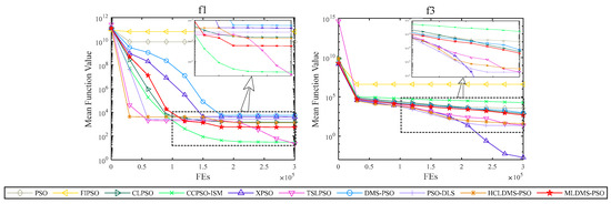
4.3.2. Convergence Process Analysis
4.3.3. Statistical Results of Solutions
5. Conclusions
Author Contributions
Funding
Data Availability Statement
Conflicts of Interest
Appendix A
| GPSO | FIPS | CLPSO | CCPSO-ISM | XPSO | TSLPSO | DMS-PSO | PSO-DLS | HCLDMS-PSO | MLDMS-PSO | ||
|---|---|---|---|---|---|---|---|---|---|---|---|
| f1 | mean | 4.86 × 108 | 1.35 × 1010 | 1.01 × 103 | 5.22 × 101 | 6.11 × 102 | 1.85 × 103 | 1.49 × 102 | 2.25 × 103 | 5.25 × 102 | 3.04 × 102 |
| std | 6.59 × 108 | 3.43 × 109 | 1.12 × 103 | 5.61 × 101 | 9.71 × 102 | 2.01 × 103 | 1.88 × 102 | 2.80 × 103 | 7.22 × 102 | 5.60 × 102 | |
| rank | 9 | 10 | 6 | 1 | 5 | 7 | 2 | 8 | 4 | 3 | |
| f3 | mean | 1.11× 10−15 | 1.33 × 104 | 2.90 × 10−14 | 5.85 × 102 | 4.24 × 10−14 | 3.01 × 10−14 | 1.80 × 10−12 | 2.90 × 10−14 | 1.54 × 10−13 | 6.96 × 10−12 |
| std | 7.88 × 10−15 | 4.00 × 103 | 3.06 × 10−14 | 3.42 × 102 | 3.87 × 10−14 | 2.84 × 10−14 | 5.56 × 10−12 | 2.84 × 10−14 | 1.01 × 10−13 | 2.20 × 10−11 | |
| rank | 1 | 10 | 2 | 9 | 5 | 4 | 7 | 3 | 6 | 8 | |
| f4 | mean | 2.01 × 101 | 1.47 × 103 | 3.53 × 100 | 6.80 × 10−1 | 1.64 × 100 | 2.63 × 10−1 | 1.33 × 100 | 3.68 × 100 | 2.33 × 100 | 1.32 × 100 |
| std | 2.62 × 101 | 8.12 × 102 | 9.05 × 10−1 | 8.04 × 10−1 | 3.11 × 10−1 | 2.13 × 10−1 | 9.61 × 10−1 | 3.21 × 10−1 | 4.82 × 10−1 | 5.99 × 10−1 | |
| rank | 9 | 10 | 7 | 2 | 5 | 1 | 4 | 8 | 6 | 3 | |
| f5 | mean | 2.19 × 101 | 1.28 × 102 | 3.29 × 100 | 5.75 × 100 | 2.52 × 100 | 6.98 × 100 | 4.48 × 100 | 4.95 × 100 | 4.19 × 100 | 3.71 × 100 |
| std | 9.03 × 100 | 1.77 × 101 | 1.61 × 100 | 2.00 × 100 | 1.27 × 100 | 2.90 × 100 | 1.18 × 100 | 1.65 × 100 | 1.53 × 100 | 1.06 × 100 | |
| rank | 9 | 10 | 2 | 7 | 1 | 8 | 5 | 6 | 4 | 3 | |
| f6 | mean | 1.41 × 100 | 6.22 × 101 | 2.79 × 10−8 | 2.76 × 10−9 | 2.79 × 10−8 | 1.43 × 10−6 | 3.21 × 10−10 | 2.67 × 10−14 | 1.23 × 10−8 | 2.23 × 10−14 |
| std | 2.04 × 100 | 1.00 × 101 | 1.97 × 10−7 | 3.49 × 10−9 | 1.97 × 10−7 | 6.89 × 10−6 | 2.27 × 10−9 | 4.82 × 10−14 | 5.85 × 10−8 | 4.51 × 10−14 | |
| rank | 9 | 10 | 6 | 4 | 7 | 8 | 3 | 2 | 5 | 1 | |
| f7 | mean | 2.20 × 101 | 1.57 × 102 | 1.31 × 101 | 1.66 × 101 | 1.22 × 101 | 1.76 × 101 | 1.54 × 101 | 1.94 × 101 | 1.40 × 101 | 1.50 × 101 |
| std | 5.81 × 100 | 1.95 × 101 | 2.61 × 100 | 2.01 × 100 | 8.73 × 10−1 | 4.11 × 100 | 1.85 × 100 | 3.39 × 100 | 1.45 × 100 | 2.13 × 100 | |
| rank | 9 | 10 | 2 | 6 | 1 | 7 | 5 | 8 | 3 | 4 | |
| f8 | mean | 1.73 × 101 | 7.35 × 101 | 3.51 × 100 | 7.28 × 100 | 2.34 × 100 | 6.42 × 100 | 5.31 × 100 | 4.50 × 100 | 4.02 × 100 | 3.75 × 100 |
| std | 7.18 × 100 | 8.81 × 100 | 1.20 × 100 | 2.07 × 100 | 1.24 × 100 | 2.77 × 100 | 1.57 × 100 | 1.64 × 100 | 1.86 × 100 | 1.55 × 100 | |
| rank | 9 | 10 | 2 | 8 | 1 | 7 | 6 | 5 | 4 | 3 | |
| f9 | mean | 1.35 × 10−1 | 1.15 × 103 | 0.00 × 100 | 8.71 × 10−5 | 1.56 × 10−14 | 1.34 × 10−14 | 1.05 × 10−13 | 0.00 × 100 | 1.11 × 10−14 | 0.00 × 100 |
| std | 3.08 × 10−1 | 3.10 × 102 | 0.00 × 100 | 1.90 × 10−4 | 4.51 × 10−14 | 3.66 × 10−14 | 6.30 × 10−14 | 0.00 × 100 | 3.38 × 10−14 | 0.00 × 100 | |
| rank | 7 | 8 | 1 | 6 | 4 | 3 | 5 | 1 | 2 | 1 | |
| f10 | mean | 5.85 × 102 | 2.06 × 103 | 1.25 × 102 | 2.42 × 102 | 1.71 × 102 | 3.49 × 102 | 1.44 × 102 | 1.20 × 102 | 1.73 × 102 | 1.56 × 102 |
| std | 1.98 × 102 | 2.31 × 102 | 9.88 × 101 | 1.19 × 102 | 1.36 × 102 | 2.19 × 102 | 1.15 × 102 | 1.29 × 102 | 1.13 × 102 | 1.00 × 102 | |
| rank | 9 | 10 | 2 | 7 | 5 | 8 | 3 | 1 | 6 | 4 | |
| f11 | mean | 2.81 × 101 | 2.23 × 104 | 2.02 × 100 | 2.95 × 100 | 2.75 × 100 | 3.46 × 100 | 2.54 × 100 | 2.47 × 100 | 1.40 × 100 | 8.94 × 10−1 |
| std | 4.55 × 101 | 7.29 × 104 | 1.21 × 100 | 1.08 × 100 | 1.15 × 100 | 2.03 × 100 | 1.29 × 100 | 1.39 × 100 | 9.57 × 10−1 | 8.03 × 10−1 | |
| rank | 9 | 10 | 3 | 7 | 6 | 8 | 5 | 4 | 2 | 1 | |
| f12 | mean | 2.25 × 106 | 4.23 × 108 | 1.20 × 104 | 8.03 × 103 | 8.20 × 103 | 1.20 × 104 | 9.47 × 103 | 1.37 × 104 | 6.29 × 103 | 7.85 × 103 |
| std | 5.15 × 106 | 3.83 × 108 | 1.04 × 104 | 6.94 × 103 | 5.05 × 103 | 1.13 × 104 | 8.48 × 103 | 1.37 × 104 | 5.21 × 103 | 5.73 × 103 | |
| rank | 9 | 10 | 6 | 3 | 4 | 7 | 5 | 8 | 1 | 2 | |
| f13 | mean | 9.06 × 103 | 9.79 × 107 | 1.02 × 103 | 6.32 × 101 | 5.96 × 103 | 5.18 × 103 | 6.03 × 101 | 3.63 × 103 | 2.37 × 103 | 4.07 × 101 |
| std | 1.06 × 104 | 2.37 × 108 | 2.59 × 103 | 9.82 × 101 | 3.92 × 103 | 4.32 × 103 | 1.05 × 102 | 2.96 × 103 | 3.14 × 103 | 3.04 × 101 | |
| rank | 9 | 10 | 4 | 3 | 8 | 7 | 2 | 6 | 5 | 1 | |
| f14 | mean | 6.66 × 101 | 9.52 × 105 | 1.99 × 101 | 5.31 × 101 | 6.32 × 101 | 4.15 × 101 | 1.93 × 101 | 3.23 × 101 | 2.44 × 101 | 1.59 × 101 |
| std | 3.10 × 101 | 6.48 × 106 | 1.19 × 101 | 6.64 × 101 | 4.62 × 101 | 1.50 × 101 | 3.55 × 101 | 9.67 × 100 | 1.30 × 101 | 1.28 × 101 | |
| rank | 9 | 10 | 3 | 7 | 8 | 6 | 2 | 5 | 4 | 1 | |
| f15 | mean | 2.21 × 102 | 5.23 × 104 | 8.22 × 100 | 2.82 × 101 | 1.87 × 102 | 3.53 × 101 | 9.27 × 100 | 3.87 × 101 | 8.10 × 101 | 1.04 × 101 |
| std | 1.10 × 103 | 9.51 × 104 | 8.21 × 100 | 3.01 × 101 | 2.83 × 102 | 2.64 × 101 | 8.76 × 100 | 3.68 × 101 | 2.45 × 102 | 6.64 × 100 | |
| rank | 9 | 10 | 1 | 4 | 8 | 5 | 2 | 6 | 7 | 3 | |
| f16 | mean | 1.08 × 102 | 7.13 × 102 | 8.31 × 100 | 1.79 × 100 | 2.68 × 100 | 7.49 × 101 | 7.06 × 10−1 | 8.95 × 100 | 7.02 × 10−1 | 5.87 × 10−1 |
| std | 1.23 × 102 | 1.45 × 102 | 3.84 × 101 | 9.90 × 10−1 | 1.36 × 100 | 9.94 × 101 | 4.64 × 10−1 | 2.80 × 101 | 2.44 × 10−1 | 2.39 × 10−1 | |
| rank | 9 | 10 | 6 | 4 | 5 | 8 | 3 | 7 | 2 | 1 | |
| f17 | mean | 5.91 × 101 | 2.36 × 102 | 6.34 × 100 | 2.09 × 100 | 1.84 × 101 | 2.52 × 101 | 2.34 × 100 | 1.38 × 101 | 1.14 × 101 | 2.72 × 100 |
| std | 4.72 × 101 | 8.54 × 101 | 8.85 × 100 | 2.81 × 100 | 8.05 × 100 | 1.89 × 101 | 1.48 × 100 | 1.12 × 101 | 9.41 × 100 | 2.38 × 100 | |
| rank | 9 | 10 | 4 | 1 | 7 | 8 | 2 | 6 | 5 | 3 | |
| f18 | mean | 2.14 × 104 | 7.31 × 108 | 1.41 × 103 | 6.82 × 102 | 2.55 × 103 | 7.93 × 103 | 5.95 × 102 | 3.80 × 103 | 1.95 × 103 | 3.78 × 102 |
| std | 1.78 × 104 | 1.36 × 109 | 2.69 × 103 | 5.84 × 102 | 2.24 × 103 | 6.37 × 103 | 5.40 × 102 | 4.12 × 103 | 2.40 × 103 | 3.77 × 102 | |
| rank | 9 | 10 | 4 | 3 | 6 | 8 | 2 | 7 | 5 | 1 | |
| f19 | mean | 3.26 × 103 | 4.13 × 107 | 3.43 × 100 | 2.44 × 101 | 2.07 × 102 | 5.24 × 101 | 3.47 × 100 | 3.65 × 101 | 6.31 × 101 | 5.89 × 100 |
| std | 9.18 × 103 | 1.10 × 108 | 3.47 × 100 | 3.79 × 101 | 2.95 × 102 | 1.33 × 102 | 6.49 × 100 | 3.89 × 101 | 1.51 × 102 | 6.64 × 100 | |
| rank | 9 | 10 | 1 | 4 | 8 | 6 | 2 | 5 | 7 | 3 | |
| f20 | mean | 5.06 × 101 | 3.26 × 102 | 3.39 × 100 | 1.82 × 10−1 | 4.15 × 100 | 7.07 × 101 | 3.52 × 10−2 | 1.75 × 101 | 2.12 × 100 | 3.06 × 10−2 |
| std | 4.87 × 101 | 6.62 × 101 | 6.83 × 100 | 2.79 × 10−1 | 6.85 × 100 | 6.09 × 101 | 9.63 × 10−2 | 3.21 × 101 | 4.03 × 100 | 9.28 × 10−2 | |
| rank | 8 | 10 | 5 | 3 | 6 | 9 | 2 | 7 | 4 | 1 | |
| f21 | mean | 2.10 × 102 | 3.09 × 102 | 1.59 × 102 | 1.07 × 102 | 1.87 × 102 | 1.85 × 102 | 9.83 × 101 | 1.60 × 102 | 1.23 × 102 | 1.17 × 102 |
| std | 4.01 × 101 | 1.83 × 101 | 5.28 × 101 | 2.07 × 101 | 3.59 × 101 | 4.45 × 101 | 1.39 × 101 | 5.26 × 101 | 4.36 × 101 | 3.83 × 101 | |
| rank | 9 | 10 | 5 | 2 | 8 | 7 | 1 | 6 | 4 | 3 | |
| f22 | mean | 1.79 × 102 | 1.11 × 103 | 9.00 × 101 | 6.59 × 101 | 1.00 × 102 | 9.94 × 101 | 6.63 × 101 | 9.70 × 101 | 9.76 × 101 | 6.93 × 101 |
| std | 2.01 × 102 | 4.48 × 102 | 3.04 × 101 | 3.08 × 101 | 3.20 × 10−1 | 1.41 × 101 | 3.33 × 101 | 1.96 × 101 | 1.50 × 101 | 3.71 × 101 | |
| rank | 9 | 10 | 4 | 1 | 8 | 7 | 2 | 5 | 6 | 3 | |
| f23 | mean | 3.33 × 102 | 4.79 × 102 | 3.07 × 102 | 3.10 × 102 | 3.03 × 102 | 3.04 × 102 | 3.01 × 102 | 3.08 × 102 | 3.05 × 102 | 2.99 × 102 |
| std | 1.17 × 101 | 4.75 × 101 | 2.74 × 100 | 2.82 × 100 | 2.09 × 100 | 4.31 × 101 | 4.27 × 101 | 2.01 × 100 | 1.85 × 100 | 4.23 × 101 | |
| rank | 9 | 10 | 6 | 8 | 3 | 4 | 2 | 7 | 5 | 1 | |
| f24 | mean | 3.57 × 102 | 5.03 × 102 | 3.07 × 102 | 1.01 × 102 | 3.07 × 102 | 3.02 × 102 | 1.03 × 102 | 2.72 × 102 | 2.64 × 102 | 1.61 × 102 |
| std | 5.42 × 101 | 9.03 × 101 | 7.88 × 101 | 2.57 × 101 | 6.32 × 101 | 8.28 × 101 | 3.61 × 101 | 1.02 × 102 | 1.06 × 102 | 1.03 × 102 | |
| rank | 9 | 10 | 8 | 1 | 7 | 6 | 2 | 5 | 4 | 3 | |
| f25 | mean | 4.57 × 102 | 1.28 × 103 | 4.30 × 102 | 1.98 × 102 | 4.35 × 102 | 4.26 × 102 | 3.67 × 102 | 4.12 × 102 | 4.15 × 102 | 3.99 × 102 |
| std | 4.53 × 101 | 3.22 × 102 | 2.21 × 101 | 9.96 × 101 | 1.92 × 101 | 2.28 × 101 | 8.76 × 101 | 2.09 × 101 | 2.22 × 101 | 6.29 × 100 | |
| rank | 9 | 10 | 7 | 1 | 8 | 6 | 2 | 4 | 5 | 3 | |
| f26 | mean | 6.07 × 102 | 1.83 × 103 | 3.15 × 102 | 1.29 × 102 | 2.88 × 102 | 3.15 × 102 | 1.25 × 102 | 3.00 × 102 | 3.00 × 102 | 2.41 × 102 |
| std | 3.18 × 102 | 3.53 × 102 | 1.26 × 102 | 9.78 × 101 | 3.22 × 101 | 1.26 × 102 | 1.23 × 102 | 0.00 × 100 | 3.58 × 10−13 | 1.19 × 102 | |
| rank | 9 | 10 | 7 | 2 | 4 | 8 | 1 | 5 | 6 | 3 | |
| f27 | mean | 4.16 × 102 | 7.74 × 102 | 3.93 × 102 | 3.93 × 102 | 3.94 × 102 | 3.98 × 102 | 3.92 × 102 | 3.71 × 102 | 3.93 × 102 | 3.91 × 102 |
| std | 2.87 × 101 | 2.50 × 102 | 6.14 × 100 | 6.60 × 100 | 2.21 × 100 | 1.20 × 101 | 2.02 × 100 | 4.26 × 10−1 | 2.66 × 100 | 2.26 × 100 | |
| rank | 9 | 10 | 6 | 4 | 7 | 8 | 3 | 1 | 5 | 2 | |
| f28 | mean | 5.69 × 102 | 1.06 × 103 | 3.48 × 102 | 2.63 × 102 | 4.62 × 102 | 4.97 × 102 | 2.77 × 102 | 4.37 × 102 | 3.00 × 102 | 2.88 × 102 |
| std | 1.35 × 102 | 5.91 × 101 | 1.23 × 102 | 9.49 × 101 | 1.44 × 102 | 1.42 × 102 | 8.63 × 101 | 5.83 × 101 | 4.02 × 10−13 | 5.82 × 101 | |
| rank | 9 | 10 | 5 | 1 | 7 | 8 | 2 | 6 | 4 | 3 | |
| f29 | mean | 3.31 × 102 | 6.90 × 102 | 2.53 × 102 | 2.62 × 102 | 2.56 × 102 | 2.65 × 102 | 2.54 × 102 | 2.55 × 102 | 2.47 × 102 | 2.44 × 102 |
| std | 7.20 × 101 | 1.15 × 102 | 1.68 × 101 | 1.31 × 101 | 9.81 × 100 | 2.06 × 101 | 8.87 × 100 | 1.42 × 101 | 6.90 × 100 | 6.13 × 100 | |
| rank | 9 | 10 | 3 | 7 | 6 | 8 | 4 | 5 | 2 | 1 | |
| f30 | mean | 8.15 × 105 | 3.15 × 107 | 5.36 × 104 | 7.29 × 103 | 9.08 × 104 | 5.66 × 105 | 4.93 × 103 | 2.38 × 103 | 1.90 × 104 | 2.29 × 103 |
| std | 9.41 × 105 | 3.27 × 107 | 1.92 × 105 | 9.81 × 103 | 2.64 × 105 | 8.65 × 105 | 4.08 × 103 | 3.52 × 103 | 1.15 × 105 | 1.25 × 103 | |
| rank | 9 | 10 | 6 | 4 | 7 | 8 | 3 | 1 | 5 | 1 | |
| Ave rank | 8.62 | 8.62 | 9.93 | 4.28 | 4.14 | 5.69 | 6.72 | 3.07 | 5.12 | 4.41 | |
| Final rank | 8 | 8 | 10 | 4 | 3 | 7 | 9 | 2 | 6 | 5 | |
Appendix B
| GPSO | FIPS | CLPSO | CCPSO-ISM | XPSO | TSLPSO | DMS-PSO | PSO-DLS | HCLDMS-PSO | MLDMS-PSO | ||
|---|---|---|---|---|---|---|---|---|---|---|---|
| f1 | mean | 8.63 × 109 | 6.48 × 1010 | 1.56 × 103 | 3.12 × 101 | 4.13 × 103 | 2.33× 101 | 5.59 × 103 | 2.60 × 103 | 1.31 × 103 | 5.64 × 102 |
| std | 6.54 × 109 | 7.88 × 109 | 2.54 × 103 | 7.39 × 101 | 4.33 × 103 | 2.66 × 101 | 6.55 × 103 | 2.80 × 103 | 1.72 × 103 | 7.93 × 102 | |
| rank | 9 | 10 | 4 | 2 | 7 | 1 | 8 | 6 | 4 | 3 | |
| f3 | mean | 2.58 × 103 | 3.91 × 106 | 2.44 × 103 | 1.82 × 104 | 1.94 × 10−3 | 2.39 × 101 | 9.26 × 102 | 2.26 × 101 | 3.89 × 101 | 4.86 × 102 |
| std | 9.73 × 103 | 1.98 × 107 | 1.13 × 103 | 4.66 × 103 | 9.62 × 10−3 | 1.02 × 102 | 3.06 × 102 | 2.93 × 101 | 6.68 × 101 | 2.03 × 102 | |
| rank | 8 | 10 | 7 | 9 | 1 | 3 | 6 | 2 | 4 | 5 | |
| f4 | mean | 1.19 × 103 | 1.66 × 104 | 9.37 × 101 | 4.75 × 101 | 1.20 × 102 | 4.60 × 101 | 2.66 × 101 | 5.43 × 101 | 7.65 × 101 | 9.34 × 101 |
| std | 1.30 × 103 | 3.77 × 103 | 1.78 × 101 | 2.92 × 101 | 3.25 × 101 | 3.51 × 101 | 7.86 × 100 | 2.98 × 101 | 2.76 × 101 | 2.02 × 101 | |
| rank | 9 | 10 | 7 | 3 | 8 | 2 | 1 | 4 | 5 | 6 | |
| f5 | mean | 1.45 × 102 | 4.53 × 102 | 3.79 × 101 | 5.09 × 101 | 4.67 × 101 | 4.74 × 101 | 4.13 × 101 | 2.21 × 101 | 2.88 × 101 | 3.28 × 101 |
| std | 3.99 × 101 | 2.50 × 101 | 1.00 × 101 | 8.18 × 100 | 1.29 × 101 | 1.15 × 101 | 1.08 × 101 | 5.48 × 100 | 6.69 × 100 | 1.38 × 101 | |
| rank | 9 | 10 | 4 | 8 | 6 | 7 | 5 | 1 | 2 | 3 | |
| f6 | mean | 1.58 × 101 | 9.83 × 101 | 3.01 × 10−8 | 1.14 × 10−13 | 7.57 × 10−2 | 1.41 × 10−8 | 5.54 × 10−4 | 1.04 × 10−3 | 1.04 × 10−3 | 2.85 × 10−13 |
| std | 7.07 × 100 | 6.33 × 100 | 1.54 × 10−7 | 0.00 × 100 | 2.35 × 10−1 | 9.98 × 10−8 | 1.01 × 10−3 | 2.40 × 10−3 | 1.36 × 10−3 | 1.75 × 10−13 | |
| rank | 9 | 10 | 4 | 1 | 8 | 3 | 5 | 6 | 7 | 2 | |
| f7 | mean | 2.12 × 102 | 8.56 × 102 | 7.79 × 101 | 7.74 × 101 | 9.05 × 101 | 8.46 × 101 | 1.13 × 102 | 5.21 × 101 | 5.59 × 101 | 6.75 × 101 |
| std | 1.21 × 102 | 4.77 × 101 | 1.21 × 101 | 8.40 × 100 | 1.87 × 101 | 1.06 × 101 | 2.12 × 101 | 5.65 × 100 | 5.99 × 100 | 1.23 × 101 | |
| rank | 9 | 10 | 5 | 4 | 7 | 6 | 8 | 1 | 2 | 3 | |
| f8 | mean | 1.40 × 102 | 3.78 × 102 | 3.72 × 101 | 6.25 × 101 | 4.43 × 101 | 6.18 × 101 | 4.06 × 101 | 2.27 × 101 | 2.85 × 101 | 3.24 × 101 |
| std | 3.76 × 101 | 2.55 × 101 | 1.14 × 101 | 9.95 × 100 | 1.57 × 101 | 1.14 × 101 | 9.73 × 100 | 5.39 × 100 | 6.31 × 100 | 1.19 × 101 | |
| rank | 9 | 10 | 4 | 8 | 6 | 7 | 5 | 1 | 2 | 3 | |
| f9 | mean | 2.25 × 103 | 1.30 × 104 | 2.30 × 10−2 | 1.70 × 102 | 8.02 × 100 | 1.12 × 102 | 2.12 × 100 | 1.52 × 100 | 1.24 × 10−2 | 1.90 × 10−1 |
| std | 1.38 × 103 | 1.52 × 103 | 6.91 × 10−2 | 1.23 × 102 | 6.27 × 100 | 1.92 × 102 | 1.82 × 100 | 1.24 × 100 | 6.49 × 10−2 | 2.34 × 10−1 | |
| rank | 9 | 10 | 2 | 8 | 6 | 7 | 5 | 4 | 1 | 3 | |
| f10 | mean | 3.87 × 103 | 8.13 × 103 | 2.93 × 103 | 2.43 × 103 | 2.77 × 103 | 2.45 × 103 | 2.77 × 103 | 2.79 × 103 | 2.32 × 103 | 3.05 × 103 |
| std | 6.39 × 102 | 4.41 × 102 | 6.94 × 102 | 3.56 × 102 | 5.73 × 102 | 5.03 × 102 | 4.98 × 102 | 3.61 × 102 | 3.77 × 102 | 6.07 × 102 | |
| rank | 9 | 10 | 7 | 2 | 4 | 3 | 5 | 6 | 1 | 8 | |
| f11 | mean | 3.28 × 102 | 8.35 × 103 | 4.72 × 101 | 3.54 × 101 | 9.19 × 101 | 4.89 × 101 | 3.04 × 101 | 3.87 × 101 | 3.80 × 101 | 3.14 × 101 |
| std | 2.71 × 102 | 3.18 × 103 | 2.70 × 101 | 1.85 × 101 | 4.35 × 101 | 2.59 × 101 | 7.92 × 100 | 2.83 × 101 | 1.57 × 101 | 2.79 × 101 | |
| rank | 9 | 10 | 6 | 3 | 8 | 7 | 1 | 5 | 4 | 2 | |
| f12 | mean | 6.41 × 108 | 1.73 × 1010 | 2.07 × 105 | 2.67 × 105 | 1.07 × 105 | 2.94 × 104 | 2.30 × 105 | 2.11 × 104 | 8.62 × 104 | 3.70 × 104 |
| std | 9.68 × 108 | 3.62 × 109 | 2.09 × 105 | 1.72 × 105 | 2.49 × 105 | 1.58 × 104 | 1.89 × 105 | 1.05 × 104 | 7.00 × 104 | 1.54 × 104 | |
| rank | 9 | 10 | 6 | 8 | 5 | 2 | 7 | 1 | 4 | 3 | |
| f13 | mean | 1.44 × 108 | 1.12 × 1010 | 1.00 × 104 | 7.23 × 102 | 1.33 × 104 | 3.23 × 103 | 1.80 × 104 | 1.34 × 104 | 4.68 × 103 | 7.81 × 103 |
| std | 4.62 × 108 | 7.69 × 109 | 9.38 × 103 | 3.61 × 102 | 1.27 × 104 | 4.61 × 103 | 1.99 × 104 | 1.01 × 104 | 4.69 × 103 | 6.37 × 103 | |
| rank | 9 | 10 | 5 | 1 | 6 | 2 | 8 | 7 | 3 | 4 | |
| f14 | mean | 5.16 × 104 | 1.65 × 107 | 1.26 × 104 | 2.44 × 104 | 4.09 × 103 | 1.10 × 104 | 3.16 × 103 | 5.44 × 103 | 3.41 × 103 | 2.33 × 103 |
| std | 8.91 × 104 | 1.69 × 107 | 1.13 × 104 | 2.08 × 104 | 4.01 × 103 | 9.77 × 103 | 2.49 × 103 | 4.85 × 103 | 4.84 × 103 | 1.81 × 103 | |
| rank | 9 | 10 | 7 | 8 | 4 | 6 | 2 | 5 | 3 | 1 | |
| f15 | mean | 5.11 × 104 | 1.89 × 109 | 4.79 × 102 | 1.47 × 102 | 6.09 × 103 | 3.03 × 102 | 5.36 × 103 | 2.63 × 103 | 1.56 × 103 | 1.91 × 103 |
| std | 5.25 × 104 | 1.23 × 109 | 3.77 × 102 | 9.05 × 101 | 8.20 × 103 | 3.54 × 102 | 7.71 × 103 | 3.48 × 103 | 2.09 × 103 | 2.24 × 103 | |
| rank | 9 | 10 | 3 | 1 | 8 | 2 | 7 | 6 | 4 | 5 | |
| f16 | mean | 1.28 × 103 | 6.03 × 103 | 3.58 × 102 | 5.17 × 102 | 6.24 × 102 | 5.57 × 102 | 3.25 × 102 | 3.91 × 102 | 3.36 × 102 | 2.45 × 102 |
| std | 3.87 × 102 | 1.58 × 103 | 1.48 × 102 | 1.65 × 102 | 1.73 × 102 | 1.33 × 102 | 1.94 × 102 | 1.55 × 102 | 1.80 × 102 | 1.36 × 102 | |
| rank | 9 | 10 | 4 | 6 | 8 | 7 | 2 | 5 | 3 | 1 | |
| f17 | mean | 6.23 × 102 | 1.42 × 104 | 9.75 × 101 | 1.23 × 102 | 1.44 × 102 | 1.37 × 102 | 1.05 × 102 | 9.34 × 101 | 7.01 × 101 | 6.43 × 101 |
| std | 2.84 × 102 | 3.13 × 104 | 4.25 × 101 | 6.74 × 101 | 7.74 × 101 | 8.21 × 101 | 5.97 × 101 | 4.70 × 101 | 3.55 × 101 | 3.03 × 101 | |
| rank | 9 | 10 | 4 | 6 | 8 | 7 | 5 | 3 | 2 | 1 | |
| f18 | mean | 5.13 × 105 | 1.30 × 108 | 1.44 × 105 | 1.30 × 105 | 1.35 × 105 | 1.09 × 105 | 1.65 × 105 | 1.65 × 105 | 1.10 × 105 | 1.32 × 105 |
| std | 1.58 × 106 | 2.88 × 108 | 7.50 × 104 | 4.87 × 104 | 8.81 × 104 | 5.82 × 104 | 9.31 × 104 | 1.36 × 105 | 6.91 × 104 | 7.51 × 104 | |
| rank | 9 | 10 | 6 | 3 | 5 | 1 | 7 | 8 | 2 | 4 | |
| f19 | mean | 1.19 × 107 | 1.73 × 109 | 2.71 × 102 | 6.98 × 101 | 6.27 × 103 | 1.71 × 102 | 6.13 × 103 | 4.39 × 103 | 3.54 × 103 | 3.45 × 103 |
| std | 3.60 × 107 | 8.62 × 108 | 4.10 × 102 | 4.58 × 101 | 7.33 × 103 | 3.08 × 102 | 6.60 × 103 | 4.22 × 103 | 5.14 × 103 | 3.86 × 103 | |
| rank | 9 | 10 | 3 | 1 | 8 | 2 | 7 | 6 | 5 | 4 | |
| f20 | mean | 5.14 × 102 | 1.21 × 103 | 1.52 × 102 | 2.19 × 102 | 1.88 × 102 | 1.70 × 102 | 1.47 × 102 | 1.72 × 102 | 1.50 × 102 | 1.33 × 102 |
| std | 1.78 × 102 | 1.52 × 102 | 6.63 × 101 | 9.08 × 101 | 7.86 × 101 | 8.09 × 101 | 6.29 × 101 | 5.92 × 101 | 7.07 × 101 | 5.62 × 101 | |
| rank | 9 | 10 | 4 | 8 | 7 | 5 | 2 | 6 | 3 | 1 | |
| f21 | mean | 3.68 × 102 | 7.08 × 102 | 2.41 × 102 | 2.37 × 102 | 2.43 × 102 | 2.31 × 102 | 2.43 × 102 | 2.23 × 102 | 2.29 × 102 | 2.29 × 102 |
| std | 5.00 × 101 | 5.24 × 101 | 9.69 × 100 | 4.63 × 101 | 1.08 × 101 | 4.84 × 101 | 1.19 × 101 | 5.16 × 100 | 5.95 × 100 | 9.38 × 100 | |
| rank | 9 | 10 | 6 | 5 | 7 | 4 | 8 | 1 | 3 | 2 | |
| f22 | mean | 3.20 × 103 | 7.09 × 103 | 1.00 × 102 | 2.19 × 102 | 4.28 × 102 | 3.50 × 102 | 1.59 × 102 | 1.01 × 102 | 1.00 × 102 | 1.00 × 102 |
| std | 1.55 × 103 | 7.41 × 102 | 1.42 × 10−6 | 5.63 × 102 | 9.96 × 102 | 7.65 × 102 | 4.14 × 102 | 1.26 × 100 | 1.71 × 10−10 | 3.12 × 10−13 | |
| rank | 9 | 10 | 3 | 6 | 8 | 7 | 5 | 4 | 2 | 1 | |
| f23 | mean | 6.40 × 102 | 1.78 × 103 | 3.86 × 102 | 4.01 × 102 | 3.98 × 102 | 4.02 × 102 | 4.01 × 102 | 3.66 × 102 | 3.76 × 102 | 3.73 × 102 |
| std | 7.11 × 101 | 2.49 × 102 | 1.17 × 101 | 1.14 × 101 | 1.54 × 101 | 1.30 × 101 | 1.37 × 101 | 9.98 × 100 | 8.36 × 100 | 1.00 × 101 | |
| rank | 9 | 10 | 4 | 7 | 5 | 8 | 6 | 1 | 3 | 2 | |
| f24 | mean | 7.64 × 102 | 2.04 × 103 | 4.73 × 102 | 4.59 × 102 | 4.76 × 102 | 4.52 × 102 | 4.73 × 102 | 4.35 × 102 | 4.44 × 102 | 4.40 × 102 |
| std | 9.78 × 101 | 3.16 × 102 | 1.42 × 101 | 9.87 × 101 | 3.65 × 101 | 1.11 × 102 | 7.24 × 100 | 7.36 × 100 | 8.23 × 100 | 7.74 × 100 | |
| rank | 9 | 10 | 6 | 5 | 8 | 4 | 7 | 1 | 3 | 2 | |
| f25 | mean | 5.76 × 102 | 3.15 × 103 | 3.87 × 102 | 3.87 × 102 | 3.94 × 102 | 3.87 × 102 | 3.79 × 102 | 3.90 × 102 | 3.87 × 102 | 3.87 × 102 |
| std | 2.63 × 102 | 7.07 × 102 | 9.06 × 10−1 | 1.14 × 100 | 1.02 × 101 | 1.18 × 100 | 2.97 × 10−1 | 8.43 × 100 | 6.39 × 10−1 | 7.65 × 10−1 | |
| rank | 9 | 10 | 6 | 2 | 8 | 4 | 1 | 7 | 3 | 5 | |
| f26 | mean | 3.93 × 103 | 9.27 × 103 | 1.27 × 103 | 4.32 × 102 | 8.78 × 102 | 7.38 × 102 | 1.26 × 103 | 8.27 × 102 | 1.17 × 103 | 1.03 × 103 |
| std | 7.99 × 102 | 9.71 × 102 | 2.79 × 102 | 3.40 × 102 | 5.91 × 102 | 6.39 × 102 | 5.10 × 102 | 4.36 × 102 | 3.00 × 102 | 3.27 × 102 | |
| rank | 9 | 10 | 8 | 1 | 4 | 2 | 7 | 3 | 6 | 5 | |
| f27 | mean | 6.44 × 102 | 2.60 × 103 | 5.05 × 102 | 5.14 × 102 | 5.28 × 102 | 5.15 × 102 | 4.85 × 102 | 5.19 × 102 | 5.15 × 102 | 5.04 × 102 |
| std | 6.72 × 101 | 4.08 × 102 | 5.33 × 100 | 4.19 × 100 | 1.51 × 101 | 8.02 × 100 | 2.76 × 101 | 6.63 × 100 | 8.26 × 100 | 5.28 × 100 | |
| rank | 9 | 10 | 3 | 4 | 8 | 6 | 1 | 7 | 5 | 2 | |
| f28 | mean | 1.15 × 103 | 5.38 × 103 | 4.06 × 102 | 4.05 × 102 | 3.78 × 102 | 3.68 × 102 | 4.37 × 102 | 3.49 × 102 | 3.66 × 102 | 3.77 × 102 |
| std | 7.55 × 102 | 8.04 × 102 | 2.06 × 101 | 3.40 × 100 | 6.86 × 101 | 6.37 × 101 | 2.54 × 101 | 4.97 × 101 | 4.62 × 101 | 4.37 × 101 | |
| rank | 9 | 10 | 7 | 6 | 5 | 3 | 8 | 1 | 2 | 4 | |
| f29 | mean | 1.21 × 103 | 1.09 × 104 | 5.42 × 102 | 5.59 × 102 | 6.18 × 102 | 5.87 × 102 | 4.91 × 102 | 5.07 × 102 | 4.92 × 102 | 4.85 × 102 |
| std | 3.44 × 102 | 1.05 × 104 | 5.84 × 101 | 5.43 × 101 | 1.32 × 102 | 8.19 × 101 | 8.08 × 101 | 5.57 × 101 | 3.16 × 101 | 3.22 × 101 | |
| rank | 9 | 10 | 5 | 6 | 8 | 7 | 2 | 4 | 3 | 1 | |
| f30 | mean | 2.65 × 107 | 2.29 × 109 | 8.56 × 103 | 5.45 × 103 | 1.04 × 104 | 9.39 × 103 | 3.22 × 103 | 4.06 × 103 | 4.11 × 103 | 3.04 × 103 |
| std | 1.53 × 108 | 1.34 × 109 | 4.43 × 103 | 1.56 × 103 | 6.84 × 103 | 9.41 × 103 | 4.62 × 103 | 9.37 × 102 | 1.32 × 103 | 8.50 × 102 | |
| rank | 9 | 10 | 6 | 5 | 8 | 7 | 2 | 3 | 4 | 1 | |
| Ave rank | 8.97 | 8.97 | 10.00 | 5.03 | 4.72 | 6.52 | 4.55 | 4.93 | 3.97 | 3.28 | |
| Final rank | 9 | 9 | 10 | 7 | 5 | 8 | 4 | 6 | 3 | 2 | |
Appendix C
| GPSO | FIPS | CLPSO | CCPSO-ISM | XPSO | TSLPSO | DMS-PSO | PSO-DLS | HCLDMS-PSO | MLDMS-PSO | ||
|---|---|---|---|---|---|---|---|---|---|---|---|
| f1 | mean | 2.39 × 1010 | 1.22 × 1011 | 3.02 × 103 | 1.24E× 102 | 4.85 × 103 | 8.21 × 102 | 6.83 × 103 | 2.35 × 103 | 2.54 × 103 | 1.74 × 103 |
| std | 1.48 × 1010 | 8.22 × 109 | 3.45 × 103 | 1.70 × 102 | 6.09 × 103 | 8.66 × 102 | 9.08 × 103 | 2.39 × 103 | 3.69 × 103 | 1.82 × 103 | |
| rank | 9 | 10 | 6 | 1 | 7 | 2 | 8 | 4 | 5 | 3 | |
| f3 | mean | 2.36 × 104 | 1.96 × 105 | 1.17 × 104 | 4.99 × 104 | 1.36 × 102 | 8.22 × 103 | 6.83 × 103 | 8.35 × 103 | 5.62 × 103 | 6.22 × 103 |
| std | 3.28 × 104 | 3.50 × 104 | 2.55 × 103 | 6.55 × 103 | 1.27 × 102 | 5.71 × 103 | 1.48 × 103 | 3.09 × 103 | 2.55 × 103 | 1.34 × 103 | |
| rank | 8 | 10 | 7 | 9 | 1 | 5 | 4 | 6 | 2 | 3 | |
| f4 | mean | 2.78 × 103 | 4.42 × 104 | 1.08 × 102 | 5.75 × 101 | 2.36 × 102 | 7.33 × 101 | 4.58 × 101 | 1.07 × 102 | 9.90 × 101 | 9.80 × 101 |
| std | 1.86 × 103 | 6.77 × 103 | 4.17 × 101 | 2.84 × 101 | 4.70 × 101 | 4.72 × 101 | 1.13 × 100 | 5.01 × 101 | 4.52 × 101 | 3.97 × 101 | |
| rank | 9 | 10 | 7 | 2 | 8 | 3 | 1 | 6 | 5 | 4 | |
| f5 | mean | 3.04 × 102 | 7.56 × 102 | 9.11 × 101 | 1.12 × 102 | 8.87 × 101 | 1.28 × 102 | 1.02 × 102 | 5.84 × 101 | 5.86 × 101 | 1.06 × 102 |
| std | 8.41 × 101 | 3.99 × 101 | 1.97 × 101 | 1.82 × 101 | 2.32 × 101 | 2.81 × 101 | 1.65 × 101 | 1.19 × 101 | 9.82 × 100 | 5.37 × 101 | |
| rank | 9 | 10 | 4 | 7 | 3 | 8 | 5 | 1 | 2 | 6 | |
| f6 | mean | 3.33 × 101 | 1.07 × 102 | 2.18 × 10−8 | 9.40 × 10−10 | 1.28 × 100 | 9.79 × 10−9 | 4.33 × 10−1 | 1.51 × 10−2 | 1.00 × 10−2 | 3.36 × 10−13 |
| std | 8.69 × 100 | 4.40 × 100 | 7.56 × 10−8 | 6.65 × 10−9 | 1.35 × 100 | 6.28 × 10−8 | 4.29 × 10−1 | 1.58 × 10−2 | 5.22 × 10−3 | 1.68 × 10−13 | |
| rank | 9 | 10 | 4 | 2 | 8 | 3 | 7 | 6 | 5 | 1 | |
| f7 | mean | 6.72 × 102 | 1.48 × 103 | 1.73 × 102 | 1.53 × 102 | 1.88 × 102 | 1.82 × 102 | 2.50 × 102 | 1.15 × 102 | 1.04 × 102 | 1.46 × 102 |
| std | 2.74 × 102 | 3.08 × 101 | 2.74 × 101 | 1.80 × 101 | 2.46 × 101 | 2.26 × 101 | 5.32 × 101 | 1.30 × 101 | 9.66 × 100 | 3.37 × 101 | |
| rank | 9 | 10 | 5 | 4 | 7 | 6 | 8 | 2 | 1 | 3 | |
| f8 | mean | 3.22 × 102 | 7.55 × 102 | 8.86 × 101 | 1.11 × 102 | 9.46 × 101 | 1.34 × 102 | 9.81 × 101 | 6.47 × 101 | 6.59 × 101 | 1.07 × 102 |
| std | 6.47 × 101 | 5.41 × 101 | 1.68 × 101 | 1.96 × 101 | 2.26 × 101 | 2.53 × 101 | 1.96 × 101 | 1.14 × 101 | 1.03 × 101 | 4.40 × 101 | |
| rank | 9 | 10 | 3 | 7 | 4 | 8 | 5 | 1 | 2 | 6 | |
| f9 | mean | 8.78 × 103 | 4.40 × 104 | 2.88 × 10−1 | 1.33 × 103 | 1.43 × 102 | 1.78 × 103 | 7.91 × 101 | 2.04 × 101 | 1.53 × 10−1 | 3.08 × 100 |
| std | 2.60 × 103 | 3.75 × 103 | 2.95 × 10−1 | 9.20 × 102 | 9.22 × 101 | 1.61 × 103 | 5.01 × 101 | 1.40 × 101 | 2.52 × 10−1 | 1.80 × 100 | |
| rank | 9 | 10 | 2 | 7 | 6 | 8 | 5 | 4 | 1 | 3 | |
| f10 | mean | 7.05 × 103 | 1.44 × 104 | 5.57 × 103 | 4.91 × 103 | 5.17 × 103 | 5.00 × 103 | 5.47 × 103 | 5.29 × 103 | 4.45 × 103 | 5.47 × 103 |
| std | 9.68 × 102 | 5.41 × 102 | 9.12 × 102 | 6.76 × 102 | 9.45 × 102 | 7.87 × 102 | 6.30 × 102 | 7.48 × 102 | 6.07 × 102 | 6.69 × 102 | |
| rank | 9 | 10 | 8 | 2 | 4 | 3 | 7 | 5 | 1 | 6 | |
| f11 | mean | 1.51 × 103 | 2.43 × 104 | 8.64 × 101 | 9.82 × 101 | 2.02 × 102 | 1.33 × 102 | 1.04 × 102 | 8.52 × 101 | 1.07 × 102 | 5.44 × 101 |
| std | 3.47 × 103 | 2.41 × 103 | 2.40 × 101 | 2.05 × 101 | 4.19 × 101 | 3.85 × 101 | 2.76 × 101 | 4.32 × 101 | 3.29 × 101 | 1.50 × 101 | |
| rank | 9 | 10 | 3 | 4 | 8 | 7 | 5 | 2 | 6 | 1 | |
| f12 | mean | 8.79 × 109 | 9.58 × 1010 | 1.49 × 106 | 1.63 × 106 | 1.71 × 106 | 4.58 × 105 | 1.69 × 106 | 3.13 × 105 | 7.95 × 105 | 6.28 × 105 |
| std | 6.23 × 109 | 1.34 × 1010 | 7.80 × 105 | 6.13 × 105 | 2.53 × 106 | 3.33 × 105 | 1.08 × 106 | 1.42 × 105 | 5.44 × 105 | 2.35 × 105 | |
| rank | 9 | 10 | 5 | 6 | 8 | 2 | 7 | 1 | 4 | 3 | |
| f13 | mean | 3.23 × 109 | 5.26 × 1010 | 3.08 × 103 | 1.63 × 103 | 6.80 × 103 | 5.87 × 103 | 5.62 × 103 | 1.40 × 103 | 1.79 × 103 | 1.08 × 103 |
| std | 4.88 × 109 | 1.46 × 1010 | 3.44 × 103 | 1.21 × 103 | 6.55 × 103 | 6.50 × 103 | 8.32 × 103 | 1.29 × 103 | 2.18 × 103 | 1.19 × 103 | |
| rank | 9 | 10 | 5 | 3 | 8 | 7 | 6 | 2 | 4 | 1 | |
| f14 | mean | 1.42 × 106 | 2.18 × 108 | 1.06 × 105 | 2.22 × 105 | 3.33 × 104 | 5.52 × 104 | 6.30 × 104 | 3.05 × 104 | 2.60 × 104 | 2.44 × 104 |
| std | 2.56 × 106 | 1.81 × 108 | 7.23 × 104 | 1.02 × 105 | 3.47 × 104 | 5.21 × 104 | 3.70 × 104 | 1.84 × 104 | 1.88 × 104 | 1.60 × 104 | |
| rank | 9 | 10 | 7 | 8 | 4 | 5 | 6 | 3 | 2 | 1 | |
| f15 | mean | 4.95 × 107 | 1.27 × 1010 | 1.62 × 103 | 4.03 × 102 | 5.22 × 103 | 1.39 × 103 | 7.39 × 103 | 4.22 × 103 | 2.40 × 103 | 2.56 × 103 |
| std | 1.84 × 108 | 4.95 × 109 | 2.41 × 103 | 1.56 × 102 | 4.76 × 103 | 3.19 × 103 | 7.41 × 103 | 3.10 × 103 | 2.82 × 103 | 1.93 × 103 | |
| rank | 9 | 10 | 3 | 1 | 7 | 2 | 8 | 6 | 4 | 5 | |
| f16 | mean | 2.39 × 103 | 1.01 × 104 | 9.52 × 102 | 1.06 × 103 | 1.06 × 103 | 1.19 × 103 | 5.98 × 102 | 6.64 × 102 | 7.10 × 102 | 5.72 × 102 |
| std | 5.33 × 102 | 1.58 × 103 | 2.12 × 102 | 2.15 × 102 | 3.30 × 102 | 2.48 × 102 | 2.74 × 102 | 1.96 × 102 | 2.18 × 102 | 1.81 × 102 | |
| rank | 9 | 10 | 5 | 6 | 7 | 8 | 2 | 3 | 4 | 1 | |
| f17 | mean | 1.96 × 103 | 2.61 × 104 | 6.40 × 102 | 7.62 × 102 | 9.14 × 102 | 7.46 × 102 | 6.69 × 102 | 5.79 × 102 | 5.74 × 102 | 4.62 × 102 |
| std | 4.27 × 102 | 2.38 × 104 | 1.51 × 102 | 1.44 × 102 | 2.56 × 102 | 1.66 × 102 | 1.79 × 102 | 1.65 × 102 | 1.75 × 102 | 1.24 × 102 | |
| rank | 9 | 10 | 4 | 7 | 8 | 6 | 5 | 3 | 2 | 1 | |
| f18 | mean | 4.74 × 106 | 3.16 × 108 | 6.96 × 105 | 5.87 × 105 | 3.45 × 105 | 2.33 × 105 | 5.72 × 105 | 2.60 × 105 | 4.61 × 105 | 5.83 × 105 |
| std | 1.68 × 107 | 2.10 × 108 | 4.36 × 105 | 3.64 × 105 | 6.40 × 105 | 2.41 × 105 | 3.08 × 105 | 2.43 × 105 | 9.77 × 105 | 2.73 × 105 | |
| rank | 9 | 10 | 8 | 7 | 3 | 1 | 5 | 2 | 4 | 6 | |
| f19 | mean | 1.21 × 108 | 5.79 × 109 | 2.10 × 103 | 5.52 × 102 | 1.79 × 104 | 1.25 × 103 | 1.48 × 104 | 1.31 × 104 | 6.59 × 103 | 1.24 × 104 |
| std | 3.54 × 108 | 2.15 × 109 | 2.28 × 103 | 7.02 × 102 | 1.04 × 104 | 2.31 × 103 | 1.07 × 104 | 6.13 × 103 | 6.25 × 103 | 4.97 × 103 | |
| rank | 9 | 10 | 3 | 1 | 8 | 2 | 7 | 6 | 4 | 5 | |
| f20 | mean | 1.20 × 103 | 2.32 × 103 | 4.52 × 102 | 5.96 × 102 | 4.32 × 102 | 6.20 × 102 | 3.37 × 102 | 3.77 × 102 | 3.67 × 102 | 1.94 × 102 |
| std | 3.71 × 102 | 2.15 × 102 | 1.46 × 102 | 1.51 × 102 | 2.32 × 102 | 1.50 × 102 | 1.39 × 102 | 1.60 × 102 | 1.35 × 102 | 7.78 × 101 | |
| rank | 9 | 10 | 6 | 7 | 5 | 8 | 2 | 4 | 3 | 1 | |
| f21 | mean | 5.48 × 102 | 1.22 × 103 | 2.91 × 102 | 3.07 × 102 | 2.90 × 102 | 3.29 × 102 | 3.04 × 102 | 2.61 × 102 | 2.62 × 102 | 2.81 × 102 |
| std | 7.64 × 101 | 1.14 × 102 | 2.00 × 101 | 2.59 × 101 | 1.88 × 101 | 2.65 × 101 | 1.82 × 101 | 1.29 × 101 | 9.47 × 100 | 2.98 × 101 | |
| rank | 9 | 10 | 5 | 7 | 4 | 8 | 6 | 1 | 2 | 3 | |
| f22 | mean | 7.73 × 103 | 1.49 × 104 | 5.66 × 103 | 4.77 × 103 | 3.80 × 103 | 4.71 × 103 | 4.08 × 103 | 3.27 × 103 | 3.33 × 103 | 3.78 × 103 |
| std | 1.36 × 103 | 4.89 × 102 | 1.57 × 103 | 2.23 × 103 | 2.70 × 103 | 2.20 × 103 | 2.64 × 103 | 2.65 × 103 | 2.35 × 103 | 3.12 × 103 | |
| rank | 9 | 10 | 8 | 7 | 4 | 6 | 5 | 1 | 2 | 3 | |
| f23 | mean | 1.21 × 103 | 2.51 × 103 | 5.24 × 102 | 5.49 × 102 | 5.34 × 102 | 5.69 × 102 | 5.40 × 102 | 4.84 × 102 | 4.98 × 102 | 5.07 × 102 |
| std | 1.76 × 102 | 2.07 × 102 | 1.89 × 101 | 1.93 × 101 | 2.98 × 101 | 3.69 × 101 | 2.51 × 101 | 1.84 × 101 | 1.92 × 101 | 2.71 × 101 | |
| rank | 9 | 10 | 4 | 7 | 5 | 8 | 6 | 1 | 2 | 3 | |
| f24 | mean | 1.24 × 103 | 3.52 × 103 | 6.11 × 102 | 6.81 × 102 | 6.47 × 102 | 6.94 × 102 | 6.14 × 102 | 5.41 × 102 | 5.63 × 102 | 5.51 × 102 |
| std | 1.50 × 102 | 5.02 × 102 | 2.40 × 101 | 2.45 × 101 | 8.87 × 101 | 3.67 × 101 | 1.31 × 101 | 1.39 × 101 | 1.38 × 101 | 1.57 × 101 | |
| rank | 9 | 10 | 4 | 7 | 6 | 8 | 5 | 1 | 3 | 2 | |
| f25 | mean | 1.63 × 103 | 1.48 × 104 | 5.26 × 102 | 5.41 × 102 | 5.98 × 102 | 5.36 × 102 | 4.31 × 102 | 5.54 × 102 | 5.04 × 102 | 5.22 × 102 |
| std | 1.22 × 103 | 1.59 × 103 | 3.37 × 101 | 1.84 × 101 | 3.17 × 101 | 3.45 × 101 | 1.34 × 10−1 | 3.64 × 101 | 2.99 × 101 | 3.38 × 101 | |
| rank | 9 | 10 | 4 | 6 | 8 | 5 | 1 | 7 | 2 | 3 | |
| f26 | mean | 8.51 × 103 | 1.61 × 104 | 2.06 × 103 | 2.03 × 103 | 1.41 × 103 | 2.34 × 103 | 2.32 × 103 | 1.57 × 103 | 1.69 × 103 | 1.70 × 103 |
| std | 1.68 × 103 | 8.30 × 102 | 2.20 × 102 | 6.03 × 102 | 9.26 × 102 | 5.46 × 102 | 3.67 × 102 | 3.01 × 102 | 3.77 × 102 | 4.40 × 102 | |
| rank | 9 | 10 | 6 | 5 | 1 | 8 | 7 | 2 | 3 | 4 | |
| f27 | mean | 1.22 × 103 | 6.61 × 103 | 5.63 × 102 | 6.02 × 102 | 7.08 × 102 | 7.85 × 102 | 4.98 × 102 | 6.38 × 102 | 6.03 × 102 | 5.49 × 102 |
| std | 2.42 × 102 | 1.18 × 103 | 2.29 × 101 | 2.33 × 101 | 8.03 × 101 | 8.27 × 101 | 1.03 × 101 | 3.75 × 101 | 3.32 × 101 | 1.76 × 101 | |
| rank | 9 | 10 | 3 | 4 | 7 | 8 | 1 | 6 | 5 | 2 | |
| f28 | mean | 3.95 × 103 | 1.12 × 104 | 4.89 × 102 | 5.05 × 102 | 5.36 × 102 | 5.06 × 102 | 4.44 × 102 | 4.93 × 102 | 4.78 × 102 | 4.86 × 102 |
| std | 1.92 × 103 | 1.26 × 103 | 2.23 × 101 | 1.71 × 101 | 3.42 × 101 | 1.48 × 101 | 3.08 × 100 | 1.87 × 101 | 2.35 × 101 | 2.38 × 101 | |
| rank | 9 | 10 | 4 | 6 | 8 | 7 | 1 | 5 | 2 | 3 | |
| f29 | mean | 2.79 × 103 | 2.05 × 105 | 5.91 × 102 | 6.79 × 102 | 9.61 × 102 | 1.00 × 103 | 6.72 × 102 | 6.35 × 102 | 5.83 × 102 | 4.83 × 102 |
| std | 7.84 × 102 | 2.22 × 105 | 1.12 × 102 | 1.22 × 102 | 2.90 × 102 | 2.60 × 102 | 1.60 × 102 | 1.46 × 102 | 1.30 × 102 | 5.95 × 101 | |
| rank | 9 | 10 | 3 | 6 | 7 | 8 | 5 | 4 | 2 | 1 | |
| f30 | mean | 1.89 × 108 | 9.72 × 109 | 8.87 × 105 | 7.95 × 105 | 1.96 × 106 | 2.37 × 106 | 1.76 × 103 | 8.31 × 105 | 8.49 × 105 | 8.04 × 105 |
| std | 4.32 × 108 | 3.20 × 109 | 1.40 × 105 | 6.55 × 104 | 5.10 × 105 | 2.74 × 106 | 1.73 × 103 | 1.05 × 105 | 9.43 × 104 | 5.71 × 104 | |
| rank | 9 | 10 | 6 | 2 | 7 | 8 | 1 | 4 | 5 | 3 | |
| Ave rank | 8.97 | 8.97 | 10.00 | 4.90 | 5.10 | 5.90 | 5.79 | 4.86 | 3.41 | 3.07 | |
| Final rank | 9 | 9 | 10 | 5 | 6 | 8 | 7 | 4 | 3 | 2 | |
References
- Tanweer, M.R.; Suresh, S.; Sundararajan, N. Self regulating particle swarm optimization algorithm. Inf. Sci. 2015, 294, 182–202. [Google Scholar] [CrossRef]
- Carson, J. Genetic Algorithms: Advances in Research and Applications; Nova Science Publishers, Inc.: New York, NY, USA, 2017. [Google Scholar]
- Eberhart, R.; Kennedy, J. A new optimizer using particle swarm theory. In Proceedings of the Sixth International Symposium on Micro Machine and Human Science, Nagoya, Japan, 4–6 October 1995; pp. 39–43. [Google Scholar] [CrossRef]
- Dorigo, M.; Birattari, M.; Stutzle, T. Ant colony optimization. IEEE Comput. Intell. Mag. 2006, 1, 28–39. [Google Scholar] [CrossRef]
- Rashedi, E.; Nezamabadi-pour, H.; Saryazdi, S. GSA: A Gravitational Search Algorithm. Inf. Sci. 2009, 179, 2232–2248. [Google Scholar] [CrossRef]
- Zhao, X.; Xu, G.; Rui, L.; Liu, D.; Liu, H.; Yuan, J. A failure remember-driven self-adaptive differential evolution with top-bottom strategy. Swarm Evol. Comput. 2019, 45, 1–14. [Google Scholar] [CrossRef]
- Pedro, L.; José, A.L. Estimation of Distribution Algorithms: A New Tool for Evolutionary Computation; Springer: New York, NY, USA, 2012; Volume 2002. [Google Scholar]
- Lim, W.H.; Mat Isa, N.A. An adaptive two-layer particle swarm optimization with elitist learning strategy. Inf. Sci. 2014, 273, 49–72. [Google Scholar] [CrossRef]
- Buba, A.T.; Lee, L.S. Hybrid Differential Evolution-Particle Swarm Optimization Algorithm for Multiobjective Urban Transit Network Design Problem with Homogeneous Buses. Math. Probl. Eng. 2019, 2019, 5963240. [Google Scholar] [CrossRef]
- Qin, Z.; Pan, D. Improved Dual-Center Particle Swarm Optimization Algorithm. Mathematics 2024, 12, 1698. [Google Scholar] [CrossRef]
- Liang, J.J.; Suganthan, P.N. Dynamic multi-swarm particle swarm optimizer. In Proceedings of the 2005 IEEE Swarm Intelligence Symposium, Pasadena, CA, USA, 8–10 June 2005; pp. 124–129. [Google Scholar] [CrossRef]
- Wang, S.; Liu, G.; Gao, M.; Cao, S.; Guo, A.; Wang, J. Heterogeneous comprehensive learning and dynamic multi-swarm particle swarm optimizer with two mutation operators. Inf. Sci. 2020, 540, 175–201. [Google Scholar] [CrossRef]
- Angelini, M.; Zagaglia, L.; Marabelli, F.; Floris, F. Convergence and Performance Analysis of a Particle Swarm Optimization Algorithm for Optical Tuning of Gold Nanohole Arrays. Materials 2024, 17, 807. [Google Scholar] [CrossRef]
- Gao, W.; Peng, X.; Guo, W.; Li, D. A Dual-Competition-Based Particle Swarm Optimizer for Large-Scale Optimization. Mathematics 2024, 12, 1738. [Google Scholar] [CrossRef]
- Xia, X.; Gui, L.; Yu, F.; Wu, H.; Wei, B.; Zhang, Y.L.; Zhan, Z.H. Triple Archives Particle Swarm Optimization. IEEE Trans Cybern 2020, 50, 4862–4875. [Google Scholar] [CrossRef]
- Ye, W.; Feng, W.; Fan, S. A novel multi-swarm particle swarm optimization with dynamic learning strategy. Appl. Soft Comput. 2017, 61, 832–843. [Google Scholar] [CrossRef]
- Shi, Y.; Eberhart, R. A modified particle swarm optimizer. In Proceedings of the 1998 IEEE International Conference on Evolutionary Computation Proceedings, Anchorage, AK, USA, 4–9 May 1998; pp. 69–73. [Google Scholar] [CrossRef]
- Shi, Y.; Eberhart, R.C. Empirical study of particle swarm optimization. In Proceedings of the 1999 Congress on Evolutionary Computation-CEC99, Washington, DC, USA, 6–9 July 1999; Volume 3, p. 1945. [Google Scholar] [CrossRef]
- Zhan, Z.-H.; Zhang, J.; Li, Y.; Shi, Y.-H. Orthogonal Learning Particle Swarm Optimization. IEEE Trans. Evol. Comput. 2011, 15, 832–847. [Google Scholar] [CrossRef]
- Xu, G.; Cui, Q.; Shi, X.; Ge, H.; Zhan, Z.-H.; Lee, H.P.; Liang, Y.; Tai, R.; Wu, C. Particle swarm optimization based on dimensional learning strategy. Swarm Evol. Comput. 2019, 45, 33–51. [Google Scholar] [CrossRef]
- Liang, J.J.; Qin, A.K.; Suganthan, P.N.; Baskar, S. Comprehensive learning particle swarm optimizer for global optimization of multimodal functions. IEEE Trans. Evol. Comput. 2006, 10, 281–295. [Google Scholar] [CrossRef]
- Jiao, B.; Lian, Z.; Gu, X. A dynamic inertia weight particle swarm optimization algorithm. Chaos Solitons Fractals 2008, 37, 698–705. [Google Scholar] [CrossRef]
- Chatterjee, A.; Siarry, P. Nonlinear inertia weight variation for dynamic adaptation in particle swarm optimization. Comput. Oper. Res. 2006, 33, 859–871. [Google Scholar] [CrossRef]
- Liu, H.; Zhang, X.-W.; Tu, L.-P. A modified particle swarm optimization using adaptive strategy. Expert Syst. Appl. 2020, 152, 113353. [Google Scholar] [CrossRef]
- Nickabadi, A.; Ebadzadeh, M.M.; Safabakhsh, R. A novel particle swarm optimization algorithm with adaptive inertia weight. Appl. Soft Comput. 2011, 11, 3658–3670. [Google Scholar] [CrossRef]
- Beheshti, Z.; Shamsuddin, S.M. Non-parametric particle swarm optimization for global optimization. Appl. Soft Comput. 2015, 28, 345–359. [Google Scholar] [CrossRef]
- Zhang, X.; Liu, H.; Zhang, T.; Wang, Q.; Wang, Y.; Tu, L. Terminal crossover and steering-based particle swarm optimization algorithm with disturbance. Appl. Soft Comput. 2019, 85, 105841. [Google Scholar] [CrossRef]
- Zhan, Z.H.; Zhang, J.; Li, Y.; Chung, H.S. Adaptive particle swarm optimization. IEEE Trans Syst Man Cybern B Cybern 2009, 39, 1362–1381. [Google Scholar] [CrossRef] [PubMed]
- Zhou, H.; Zhan, Z.-H.; Yang, Z.-X.; Wei, X. AMPSO: Artificial Multi-Swarm Particle Swarm Optimization. arXiv Prepr. 2020, arXiv:2004.07561. [Google Scholar]
- Kennedy, J. Small worlds and mega-minds: Effects of neighborhood topology on particle swarm performance. In Proceedings of the 1999 Congress on Evolutionary Computation-CEC99, Washington, DC, USA, 6–9 July 1999; Volume 3, p. 1931. [Google Scholar] [CrossRef]
- Kennedy, J.; Mendes, R. Population structure and particle swarm performance. In Proceedings of the 2002 Congress on Evolutionary Computation. CEC’02, Honolulu, HI, USA, 12–17 May 2002; Volume 2, p. 1671. [Google Scholar] [CrossRef]
- Shami, T.M.; El-Saleh, A.A.; Alswaitti, M.; Al-Tashi, Q.; Summakieh, M.A.; Mirjalili, S. Particle Swarm Optimization: A Comprehensive Survey. IEEE Access 2022, 10, 10031–10061. [Google Scholar] [CrossRef]
- Suganthan, P.N. Particle swarm optimiser with neighbourhood operator. In Proceedings of the 1999 Congress on Evolutionary Computation-CEC99, Washington, DC, USA, 6–9 July 1999; Volume 3, p. 1958. [Google Scholar] [CrossRef]
- Nasir, M.; Das, S.; Maity, D.; Sengupta, S.; Halder, U.; Suganthan, P.N. A dynamic neighborhood learning based particle swarm optimizer for global numerical optimization. Inf. Sci. 2012, 209, 16–36. [Google Scholar] [CrossRef]
- Xia, X.; Tang, Y.; Wei, B.; Zhang, Y.; Gui, L.; Li, X. Dynamic multi-swarm global particle swarm optimization. Computing 2020, 102, 1587–1626. [Google Scholar] [CrossRef]
- Liu, Z.; Nishi, T.; Dabnichki, P. Multipopulation Ensemble Particle Swarm Optimizer for Engineering Design Problems. Math. Probl. Eng. 2020, 2020, 1450985. [Google Scholar] [CrossRef]
- Li, Y.; Zhan, Z.-H.; Lin, S.; Zhang, J.; Luo, X. Competitive and cooperative particle swarm optimization with information sharing mechanism for global optimization problems. Inf. Sci. 2015, 293, 370–382. [Google Scholar] [CrossRef]
- Gong, Y.J.; Li, J.J.; Zhou, Y.; Li, Y.; Chung, H.S.; Shi, Y.H.; Zhang, J. Genetic Learning Particle Swarm Optimization. IEEE Trans Cybern 2016, 46, 2277–2290. [Google Scholar] [CrossRef]
- Pant, M.; Thangaraj, R.; Grosan, C.; Abraham, A. Hybrid differential evolution—Particle Swarm Optimization algorithm for solving global optimization problems. In Proceedings of the 2008 Third International Conference on Digital Information Management, London, UK, 13–16 November 2008; pp. 18–24. [Google Scholar] [CrossRef]
- Tang, B.; Zhu, Z.; Luo, J. Hybridizing particle swarm optimization and differential evolution for the mobile robot global path planning. Int. J. Adv. Robot. Syst. 2016, 13, 86. [Google Scholar] [CrossRef]
- Jiang, S.; Ji, Z.; Shen, Y. A novel hybrid particle swarm optimization and gravitational search algorithm for solving economic emission load dispatch problems with various practical constraints. Int. J. Electr. Power Energy Syst. 2014, 55, 628–644. [Google Scholar] [CrossRef]
- Kıran, M.S.; Gündüz, M.; Baykan, Ö.K. A novel hybrid algorithm based on particle swarm and ant colony optimization for finding the global minimum. Appl. Math. Comput. 2012, 219, 1515–1521. [Google Scholar] [CrossRef]
- Raj, A.; Punia, P.; Kumar, P. A novel hybrid pelican-particle swarm optimization algorithm (HPPSO) for global optimization problem. Int. J. Syst. Assur. Eng. Manag. 2024. [Google Scholar] [CrossRef]
- Pawar, A.; Tiwari, N. A Novel Approach of DDOS Attack Classification with Optimizing the Ensemble Classifier Using A Hybrid Firefly and Particle Swarm Optimization (HFPSO). Int. J. Intell. Eng. Syst. 2023, 16, 201–214. [Google Scholar] [CrossRef]
- Zhang, M.; Long, D.; Qin, T.; Yang, J. A Chaotic Hybrid Butterfly Optimization Algorithm with Particle Swarm Optimization for High-Dimensional Optimization Problems. Symmetry 2020, 12, 1800. [Google Scholar] [CrossRef]
- Rezk, H.; Arfaoui, J.; Gomaa, M.R. Optimal Parameter Estimation of Solar PV Panel Based on Hybrid Particle Swarm and Grey Wolf Optimization Algorithms. Int. J. Interact. Multimed. Artif. Intell. 2021, 6, 145–155. [Google Scholar] [CrossRef]
- Mendes, R.; Kennedy, J.; Neves, J. The fully informed particle swarm: Simpler, maybe better. IEEE Trans. Evol. Comput. 2004, 8, 204–210. [Google Scholar] [CrossRef]
- Xia, X.; Gui, L.; He, G.; Wei, B.; Zhang, Y.; Yu, F.; Wu, H.; Zhan, Z.-H. An expanded particle swarm optimization based on multi-exemplar and forgetting ability. Inf. Sci. 2020, 508, 105–120. [Google Scholar] [CrossRef]
- Lynn, N.; Suganthan, P.N. Heterogeneous comprehensive learning particle swarm optimization with enhanced exploration and exploitation. Swarm Evol. Comput. 2015, 24, 11–24. [Google Scholar] [CrossRef]
- Derrac, J.; García, S.; Molina, D.; Herrera, F. A practical tutorial on the use of nonparametric statistical tests as a methodology for comparing evolutionary and swarm intelligence algorithms. Swarm Evol. Comput. 2011, 1, 3–18. [Google Scholar] [CrossRef]









| No. | Function | Range | Category | fopt |
|---|---|---|---|---|
| f1 | Shifted and Rotated Bent Cigar Function | [−100, 100] | UN | 100 |
| f3 | Shifted and Rotated Zakharov Function | [−100, 100] | UN | 300 |
| f4 | Shifted and Rotated Rosenbrock’s Function | [−100, 100] | MN | 400 |
| f5 | Shifted and Rotated Rastrigin’s Function | [−100, 100] | MN | 500 |
| f6 | Shifted and Rotated Expanded Scaffer’s F6 Function | [−100, 100] | MN | 600 |
| f7 | Shifted and Rotated Lunacek Bi-Rastrigin Function | [−100, 100] | MN | 700 |
| f8 | Shifted and Rotated Non-Continuous Rastrigin’s Function | [−100, 100] | MN | 800 |
| f9 | Shifted and Rotated Levy Function | [−100, 100] | MN | 900 |
| f10 | Shifted and Rotated Schwefel’s Function | [−100, 100] | MN | 1000 |
| f11 | Hybrid Function 1 (N = 3) | [−100, 100] | H | 1100 |
| f12 | Hybrid Function 2 (N = 3) | [−100, 100] | H | 1200 |
| f13 | Hybrid Function 3 (N = 3) | [−100, 100] | H | 1300 |
| f14 | Hybrid Function 4 (N = 4) | [−100, 100] | H | 1400 |
| f15 | Hybrid Function 5 (N = 4) | [−100, 100] | H | 1500 |
| f16 | Hybrid Function 6 (N = 4) | [−100, 100] | H | 1600 |
| f17 | Hybrid Function 6 (N = 5) | [−100, 100] | H | 1700 |
| f18 | Hybrid Function 6 (N = 5) | [−100, 100] | H | 1800 |
| f19 | Hybrid Function 6 (N = 5) | [−100, 100] | H | 1900 |
| f20 | Hybrid Function 6 (N = 6) | [−100, 100] | H | 2000 |
| f21 | Composition Function 1 (N = 3) | [−100, 100] | C | 2100 |
| f22 | Composition Function 2 (N = 3) | [−100, 100] | C | 2200 |
| f23 | Composition Function 3 (N = 4) | [−100, 100] | C | 2300 |
| f24 | Composition Function 4 (N = 4) | [−100, 100] | C | 2400 |
| f25 | Composition Function 5 (N = 5) | [−100, 100] | C | 2500 |
| f26 | Composition Function 6 (N = 5) | [−100, 100] | C | 2600 |
| f27 | Composition Function 7 (N = 6) | [−100, 100] | C | 2700 |
| f28 | Composition Function 8 (N = 6) | [−100, 100] | C | 2800 |
| f29 | Composition Function 9 (N = 3) | [−100, 100] | C | 2900 |
| f30 | Composition Function 10 (N = 3) | [−100, 100] | C | 3000 |
| Algorithm | Parameters Setting | Year |
|---|---|---|
| GPSO | , | 1998 |
| FIPS | , | 2004 |
| CLPSO | , | 2006 |
| CCPSO-ISM | P = 0.05, G = 5, w = 0.6, c = 2 | 2015 |
| TSLPSO | , , | 2019 |
| XPSO | , , | 2020 |
| DMS-PSO | , | 2005 |
| PSO-DLS | , | 2017 |
| HCLDMS-PSO | , , , | 2020 |
| MLDMS-PSO | , , G = 12, Rc = 0.1 | - |
| Dim | Index | GPSO | FIPS | CLPSO | CCPSO-ISM | XPSO | TSLPSO | DMS-PSO | PSO-DLS | HCLDMS-PSO | MLDMS-PSO |
|---|---|---|---|---|---|---|---|---|---|---|---|
| 10-D | Ave rank | 8.62 | 9.93 | 4.28 | 4.14 | 5.69 | 6.72 | 3.07 | 5.12 | 4.41 | 2.41 |
| 30-D | Ave rank | 8.97 | 10 | 5.03 | 4.72 | 6.52 | 4.55 | 4.93 | 3.97 | 3.28 | 3 |
| 50-D | Ave rank | 8.97 | 10 | 4.9 | 5.1 | 5.9 | 5.79 | 4.86 | 3.41 | 3.07 | 3 |
| CMean rank | 8.85 | 9.98 | 4.74 | 4.65 | 6.04 | 5.69 | 4.29 | 4.17 | 3.59 | 2.80 | |
| Crank | 9 | 10 | 6 | 5 | 8 | 7 | 4 | 3 | 2 | 1 | |
| Algorithm | Dim | N+ | N= | N− | CP | Algorithm | Dim | N+ | N= | N− | CP |
|---|---|---|---|---|---|---|---|---|---|---|---|
| MLDMS-PSO vs. GPSO | 10-D | 28 | 0 | 1 | 27 | MLDMS-PSO vs. TSLPSO | 10-D | 11 | 14 | 4 | 7 |
| 30-D | 28 | 1 | 0 | 28 | 30-D | 17 | 4 | 8 | 9 | ||
| 50-D | 27 | 2 | 0 | 27 | 50-D | 18 | 5 | 6 | 12 | ||
| MLDMS-PSO vs. FIPS | 10-D | 29 | 0 | 0 | 29 | MLDMS-PSO vs. DMS-PSO | 10-D | 22 | 3 | 4 | 18 |
| 30-D | 29 | 0 | 0 | 29 | 30-D | 20 | 4 | 5 | 15 | ||
| 50-D | 29 | 0 | 0 | 29 | 50-D | 16 | 8 | 5 | 11 | ||
| MLDMS-PSO vs. CLPSO | 10-D | 15 | 9 | 5 | 10 | MLDMS-PSO vs. PSO-DLS | 10-D | 22 | 3 | 4 | 18 |
| 30-D | 19 | 7 | 3 | 16 | 30-D | 15 | 2 | 12 | 3 | ||
| 50-D | 18 | 8 | 3 | 15 | 50-D | 15 | 5 | 9 | 6 | ||
| MLDMS-PSO vs. CCPSO-ISM | 10-D | 18 | 3 | 8 | 10 | MLDMS-PSO vs. HCLDMS-PSO | 10-D | 21 | 6 | 2 | 19 |
| 30-D | 19 | 1 | 9 | 10 | 30-D | 12 | 8 | 9 | 3 | ||
| 50-D | 18 | 6 | 5 | 13 | 50-D | 12 | 7 | 10 | 2 | ||
| MLDMS-PSO vs. XPSO | 10-D | 26 | 1 | 2 | 24 | ||||||
| 30-D | 23 | 4 | 2 | 21 | |||||||
| 50-D | 20 | 7 | 2 | 18 |
| Overall Rank | Comprehensive Rank | 10-D | 30-D | 50-D | ||||
|---|---|---|---|---|---|---|---|---|
| Algorithm | Rank | Algorithm | Rank | Algorithm | Rank | Algorithm | Rank | |
| 1 | MLDMS-PSO | 2.862 | MLDMS-PSO | 2.483 | MLDMS-PSO | 3.003 | MLDMS-PSO | 3.000 |
| 2 | HCLDMS-PSO | 3.598 | TSLPSO | 3.138 | HCLDMS-PSO | 3.281 | HCLDMS-PSO | 3.069 |
| 3 | PSO-DLS | 4.379 | CCPSO-ISM | 4.207 | PSO-DLS | 3.966 | PSO-DLS | 3.414 |
| 4 | TSLPSO | 4.494 | CLPSO | 4.328 | TSLPSO | 4.552 | DMS-PSO | 4.862 |
| 5 | CCPSO-ISM | 4.678 | HCLDMS-PSO | 4.483 | CCPSO-ISM | 4.724 | CLPSO | 4.897 |
| 6 | CLPSO | 4.753 | DMS-PSO | 5.121 | DMS-PSO | 4.897 | CCPSO-ISM | 5.103 |
| 7 | DMS-PSO | 4.960 | PSO-DLS | 5.759 | CLPSO | 5.034 | TSLPSO | 5.793 |
| 8 | XPSO | 6.402 | XPSO | 6.793 | XPSO | 6.517 | XPSO | 5.897 |
| 9 | GPSO | 8.874 | GPSO | 8.690 | GPSO | 8.966 | GPSO | 8.966 |
| 10 | FIPS | 10.000 | FIPS | 10.000 | FIPS | 10.000 | FIPS | 10.000 |
| p-value | 3.23 × 10−30 | p-value | 1.53 × 10−28 | p-value | 1.93 × 10−29 | |||
Disclaimer/Publisher’s Note: The statements, opinions and data contained in all publications are solely those of the individual author(s) and contributor(s) and not of MDPI and/or the editor(s). MDPI and/or the editor(s) disclaim responsibility for any injury to people or property resulting from any ideas, methods, instructions or products referred to in the content. |
© 2024 by the authors. Licensee MDPI, Basel, Switzerland. This article is an open access article distributed under the terms and conditions of the Creative Commons Attribution (CC BY) license (https://creativecommons.org/licenses/by/4.0/).
Share and Cite
Cheng, L.; Cao, J.; Wang, W.; Cheng, L. Multiple Learning Strategies and a Modified Dynamic Multiswarm Particle Swarm Optimization Algorithm with a Master Slave Structure. Appl. Sci. 2024, 14, 7035. https://doi.org/10.3390/app14167035
Cheng L, Cao J, Wang W, Cheng L. Multiple Learning Strategies and a Modified Dynamic Multiswarm Particle Swarm Optimization Algorithm with a Master Slave Structure. Applied Sciences. 2024; 14(16):7035. https://doi.org/10.3390/app14167035
Chicago/Turabian StyleCheng, Ligang, Jie Cao, Wenxian Wang, and Linna Cheng. 2024. "Multiple Learning Strategies and a Modified Dynamic Multiswarm Particle Swarm Optimization Algorithm with a Master Slave Structure" Applied Sciences 14, no. 16: 7035. https://doi.org/10.3390/app14167035
APA StyleCheng, L., Cao, J., Wang, W., & Cheng, L. (2024). Multiple Learning Strategies and a Modified Dynamic Multiswarm Particle Swarm Optimization Algorithm with a Master Slave Structure. Applied Sciences, 14(16), 7035. https://doi.org/10.3390/app14167035

