Study on the Effects and Mechanism of the Reinforcement of Soft Clay via Microbially Induced Carbonate Precipitation
Abstract
1. Introduction
2. MICP-Based Clay-Reinforcement Experiments
2.1. Bacteria and Cementation Liquid
2.2. Soil Samples and Sampling Method
3. Experimental Results and Analysis
3.1. Unconfined Compressive Strength Tests
3.2. Triaxial Shearing Strength Tests
3.3. Laboratory Permeability Tests
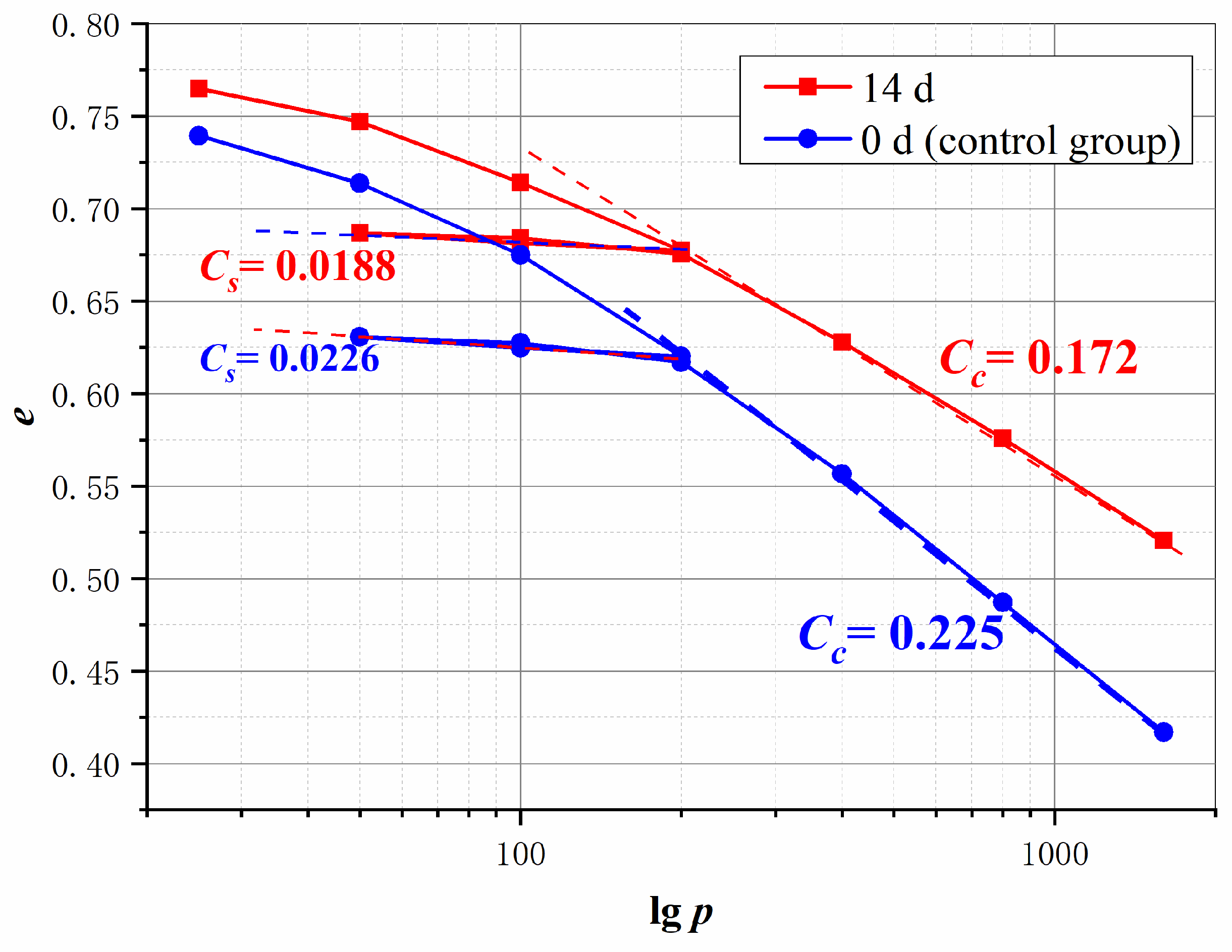
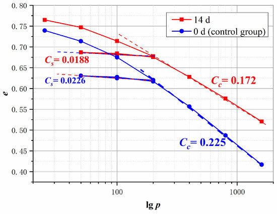
3.4. One-Dimensional Compression Tests
3.5. Microanalysis Results for the MICP-Treated Soil
3.5.1. SEM Morphology Analysis
3.5.2. XRD Analysis of the Soil Composition
- Take the sample that failed in the unconfined compressive strength test and dry it to a constant weight (recorded as M1);
- Immerse and dissolve the sample using an excess of hydrochloric acid with a concentration of 1 mol/L. Stir until no bubbles escape from the soil. Then, rinse multiple times with an excess of deionized water and dry it in an oven;
- Repeat the immersion step until no bubbles are produced, and dry it to a constant weight (recorded as M2).
4. Discussion
5. Conclusions
- (1)
- The unconfined compressive strength of the soil strengthened using MICP increased by about 25%, and the permeability coefficient decreased by 76%. The shear strength of the soil treated using MICP increased, with its internal friction angle remaining unchanged at 22°, and the cohesive force increased from 40 kPa to 60 kPa. The soil treated using MICP was less compressible, with its compression index decreasing from 0.225 to 0.172;
- (2)
- The results of the mechanical and XRD experiments show that the process of microbial-induced calcium carbonate formation, which reinforces the soil, mainly occurred in the first 14 days;
- (3)
- The calcium carbonate crystals between reinforced clay aggregates were relatively small, primarily serving a bonding role and having little effect on the internal friction angle of the soil. The XRD experiment results also show that microorganisms not only induce the Ca2+ provided in the consolidating fluid to produce calcium carbonate but also promote the production of calcium carbonate from the Ca2+ originally contained in the soil.
Author Contributions
Funding
Institutional Review Board Statement
Informed Consent Statement
Data Availability Statement
Conflicts of Interest
References
- DeJong, J.T.; Mortensen, B.M.; Martinez, B.C.; Nelson, D.C. Bio-mediated soil improvement. Ecol. Eng. 2010, 36, 197–210. [Google Scholar] [CrossRef]
- Mujah, D.; Shahin, M.A.; Cheng, L. State-of-the-art review of biocementation by microbially induced calcite precipitation (MICP) for soil stabilization. Geomicrobiol. J. 2017, 34, 524–537. [Google Scholar] [CrossRef]
- Castanier, S.; Le Métayer-Levrel, G.; Perthuisot, J.P. Ca-carbonates precipitation and limestone genesis—The microbiogeologist point of view. Sediment. Geol. 1999, 126, 9–23. [Google Scholar] [CrossRef]
- Ivanov, V.; Chu, J. Applications of microorganisms to geotechnical engineering for bioclogging and biocementation of soil in situ. Rev. Environ. Sci. Bio. 2008, 7, 139–153. [Google Scholar] [CrossRef]
- Mitchell, J.K.; Santamarina, J.C. Biological considerations in geotechnical engineering. J. Geotech. Geoenviron. 2005, 131, 1222–1233. [Google Scholar] [CrossRef]
- Chu, J.; Ivanov, V.; He, J.; Naeimi, M.; Li, B.; Stabnikov, V. Development of microbial geotechnology in Singapore. Adv. Geotech. Eng. 2011, 4070–4078. [Google Scholar] [CrossRef]
- Bu, C.; Lu, X.; Zhu, D.; Liu, L.; Sun, Y.; Wu, Q.; Zhang, W.; Wei, Q. Soil improvement by microbially induced calcite precipitation (MICP): A review about mineralization mechanism, factors, and soil properties. Arab. J. Geosci. 2022, 15, 863. [Google Scholar] [CrossRef]
- De Muynck, W.; De Belie, N.; Verstraete, W. Microbial carbonate precipitation in construction materials: A review. Ecol. Eng. 2010, 36, 118–136. [Google Scholar] [CrossRef]
- Whiffin, V.S.; Van Paassen, L.A.; Harkes, M.P. Microbial carbonate precipitation as a soil improvement technique. Geomicrobiol. J. 2007, 24, 417–423. [Google Scholar] [CrossRef]
- Stabnikov, V.; Naeimi, M.; Ivanov, V.; Chu, J. Formation of water-impermeable crust on sand surface using biocement. Cement. Concrete. Res. 2011, 41, 1143–1149. [Google Scholar] [CrossRef]
- Soon, N.W.; Lee, L.M.; Khun, T.C.; Ling, H.S. Factors affecting improvement in engineering properties of residual soil through microbial-induced calcite precipitation. J. Geotech. Geoenviron. 2014, 140, 04014006. [Google Scholar] [CrossRef]
- Oliveira, P.J.V.; Freitas, L.D.; Carmona, J.P.S.F. Effect of soil type on the enzymatic calcium carbonate precipitation process used for soil improvement. J. Mater. Civil. Eng. 2017, 29, 04016263. [Google Scholar] [CrossRef]
- Xu, Z.Y.; Zhang, L. The effect of microbes on strength of silt. Build. Sci. 2009, 25, 45–48. [Google Scholar]
- Sun, X.H.; Miao, L.C.; Chen, R.F. Effects of different clay’s percentages on improvement of sand-clay mixtures with microbially induced calcite precipitation. Geomicrobiol. J. 2019, 36, 810–818. [Google Scholar] [CrossRef]
- Peng, J.; Wen, Z.L.; Liu, Z.M.; Sun, Y.C.; Feng, Q.P.; He, J. Experimental research on MICP treated organic clay. Chin. J. Geotech. Eng. 2019, 41, 733–740. [Google Scholar]
- Canakci, H.; Sidik, W.; Kilic, I.H. Effect of bacterial calcium carbonate precipitation on compressibility and shear strength of organic soil. Soils. Found. 2015, 55, 1211–1221. [Google Scholar] [CrossRef]
- Feng, K.; Montoya, B.M. Influence of confinement and cementation level on the behavior of microbial-induced calcite precipitated sands under monotonic drained loading. J. Geotech. Geoenviron. 2016, 142, 04015057. [Google Scholar] [CrossRef]
- Wang, Y.; Tong, H.W.; Qiu, R.K.; Yuan, J. Research on mechanical properties of rubber-particle-improved soil cemented by MICP. Ind. Constr. 2020, 50, 8. [Google Scholar]
- Yang, H.; Chen, J.; Bai, W.S. Mechanical properties of microorganism solidified red clay immobilized by activated carbon in guiyang. Carsologica Sin. 2019, 38, 619–626. [Google Scholar]
- Lei, X.; Lin, S.; Meng, Q.; Liao, X.; Xu, J. Influence of different fiber types on properties of biocemented calcareous sand. Arab. J. Geosci. 2020, 13, 317. [Google Scholar] [CrossRef]
- Zhao, Y.; Xiao, Z.; Fan, C.; Shen, W.; Wang, Q.; Liu, P. Comparative mechanical behaviors of four fiber-reinforced sand cemented by microbially induced carbonate precipitation. Bull. Eng. Geol. Environ. 2020, 79, 3075–3086. [Google Scholar] [CrossRef]
- Hu, Q.; Song, W.; Hu, J. Study of the mechanical properties and water stability of microbially cured, coir-fiber-reinforced clay soil. Sustainability 2023, 15, 13261. [Google Scholar] [CrossRef]
- Cardoso, R.; Borges, I.; Vieira, J.; Duarte, S.O.; Monteiro, G.A. Interactions between clay minerals, bacteria growth and urease activity on biocementation of soils. Appl. Clay. Sci. 2023, 240, 106972. [Google Scholar] [CrossRef]
- Zhang, L.; Li, Y.; Wei, X.; Liang, X.; Zhang, J.; Li, X. Unconfined compressive strength of cement-stabilized qiantang river silty clay. Materials 2024, 17, 1082. [Google Scholar] [CrossRef] [PubMed]
- Ji, X.L.; Tang, C.S.; Pan, X.H.; Cai, Z.L.; Liu, B.; Wang, D.L. Long-term performance on drought mitigation of soil slope through bio-approach of MICP: Evidence and insight from both field and laboratory tests. Water Resour. Res. 2024, 60, e2024WR037486. [Google Scholar] [CrossRef]
- Animesh, S.; Ramkrishnan, R. Study on effect of microbial induced calcite precipitates on strength of fine grained soils. Perspect. Sci. 2016, 8, 198–202. [Google Scholar]
- Montoya, B.M.; DeJong, J.T. Stress-strain behavior of sands cemented by microbially induced calcite precipitation. J. Geotech. Geoenviron. 2015, 141, 04015019. [Google Scholar] [CrossRef]
- Wu, C.C.; Zheng, J.J.; Lai, H.J.; Cui, M.J.; Song, Y. Investigation on the shear behavior of bio-cemented sand under different influencing factors. J. Civi. Environ. Eng. 2020, 42, 31–38. [Google Scholar]
- Pakbaz, M.S.; Behzadipour, H.; Ghezelbash, G.R. Evaluation of shear strength parameters of sandy soils upon microbial treatment. Geomicrobiol. J. 2018, 35, 721–726. [Google Scholar] [CrossRef]
- Hataf, N.; Baharifard, A. Reducing soil permeability using microbial induced carbonate precipitation (MICP) method: A case study of shiraz landfill soil. Geomicrobiol. J. 2020, 37, 147–158. [Google Scholar] [CrossRef]
- Zeng, Q.L.; Zhang, H.M.; Chen, Z.W.; Yu, H.C. Discussion on computational methods for determining consolidation coefficient of soft clay. Rock. Soil. Mech. 2010, 31, 2083–2110. [Google Scholar]
- Cheng, L.; Qian, C.X.; Wang, R.X.; Wang, J.Y. Study on the mechanism of calcium carbonate formation induced by carbonatemineralization microbe. Acta. Chim. Sinica. 2007, 19, 2133–2138. [Google Scholar]









| No. | Period (Day) | Axial Stress (kPa) |
|---|---|---|
| 1 | 0 | 25→50→100→200→100→50→100→200→400→800→1600 |
| 2 | 14 | 25→50→100→200→100→50→100→200→400→800→1600 |
| Category | Chemical | 0 Days (Control Group) | 7 Days | 14 Days | 28 Days |
|---|---|---|---|---|---|
| Quartz | SiO2 | 17.3 | 15.7 | 17.2 | 17.2 |
| Anorthite | Ca (Al2Si2O8) | 0.4 | 0.5 | 0.7 | 0.6 |
| Microcline | K (AlSi3O8) | 29.6 | 33.5 | 29 | 29.1 |
| Pegmatite | KAl2 (AlSi3O10) (OH)2 | 47.3 | 43.8 | 45.6 | 46.1 |
| Dolomite | CaMg (CO3)2 | 1.6 | 1.9 | 2.3 | 1.8 |
| Calcite | Ca (CO3) | 1.7 | 2.8 | 2.9 | 3.3 |
| Others | / | 2.1 | 1.7 | 2.2 | 1.9 |
Disclaimer/Publisher’s Note: The statements, opinions and data contained in all publications are solely those of the individual author(s) and contributor(s) and not of MDPI and/or the editor(s). MDPI and/or the editor(s) disclaim responsibility for any injury to people or property resulting from any ideas, methods, instructions or products referred to in the content. |
© 2024 by the authors. Licensee MDPI, Basel, Switzerland. This article is an open access article distributed under the terms and conditions of the Creative Commons Attribution (CC BY) license (https://creativecommons.org/licenses/by/4.0/).
Share and Cite
Wu, H.; Xie, X.; Xu, C.; Liu, J.; Zheng, X.; Zheng, L. Study on the Effects and Mechanism of the Reinforcement of Soft Clay via Microbially Induced Carbonate Precipitation. Appl. Sci. 2024, 14, 7021. https://doi.org/10.3390/app14167021
Wu H, Xie X, Xu C, Liu J, Zheng X, Zheng L. Study on the Effects and Mechanism of the Reinforcement of Soft Clay via Microbially Induced Carbonate Precipitation. Applied Sciences. 2024; 14(16):7021. https://doi.org/10.3390/app14167021
Chicago/Turabian StyleWu, Huaan, Xinyu Xie, Chuntai Xu, Jianxing Liu, Xudong Zheng, and Lingwei Zheng. 2024. "Study on the Effects and Mechanism of the Reinforcement of Soft Clay via Microbially Induced Carbonate Precipitation" Applied Sciences 14, no. 16: 7021. https://doi.org/10.3390/app14167021
APA StyleWu, H., Xie, X., Xu, C., Liu, J., Zheng, X., & Zheng, L. (2024). Study on the Effects and Mechanism of the Reinforcement of Soft Clay via Microbially Induced Carbonate Precipitation. Applied Sciences, 14(16), 7021. https://doi.org/10.3390/app14167021
