Next Article in Journal
Comparative Evaluation of Temporomandibular Condylar Changes Using Texture Analysis of CT and MRI Images
Previous Article in Journal
Cloud-Enabled Deployment of 5G Core Network with Analytics Features
Previous Article in Special Issue
A Robust Generator–Harvester for Independent Sensor Systems
 
 
Font Type:
Arial Georgia Verdana
Font Size:
Aa Aa Aa
Line Spacing:
Column Width:
Background:
Article

Modeling a Wave Energy Harvester for Supplying Data Buoys

by
Alessandro Lo Schiavo
1,*,
Filippo Nicora
2 and
Corrado Boragno
2
1
Dipartimento di Ingegneria, Università degli Studi della Campania “Luigi Vanvitelli”, 81031 Aversa, Italy
2
Dipartimento di Fisica, Università degli Studi di Genova, 16146 Genova, Italy
*
Author to whom correspondence should be addressed.
Appl. Sci. 2024, 14(16), 7019; https://doi.org/10.3390/app14167019
Submission received: 18 July 2024 / Revised: 5 August 2024 / Accepted: 8 August 2024 / Published: 9 August 2024
(This article belongs to the Special Issue State-of-the-Art in Energy Harvesting for IoT and WSN)

Abstract

An energy harvester scavenging the kinetic energy of fluctuating waves for supplying small sea monitoring buoys is studied and tested. The harvester exploits a magnetic cylinder that rolls on a track due to the pitching motion of the buoy. The electromagnetic coupling between the rolling magnet and pairs of coils placed along the track generates an electromotive force used to supply a DC load through a bridge rectifier. The considered harvester is characterized by low-cost, simplicity, lightness and efficiency. An analytical model of the harvester is presented to investigate its operating conditions and to predict its nonlinear dynamic behavior. The operating mode of the energy harvester named bang-bang is studied in depth as it allows maximizing the extracted power, and analytical equations that characterize the behavior of the harvester in this operating mode are deduced. A prototype of the energy harvester was built and tested in order to identify the model parameters and to validate the theoretical results.

1. Introduction

Wireless sensor networks are becoming increasingly widespread in a variety of applications. An emerging field of application is represented by the monitoring of the marine environment aimed at weather forecasting, climate monitoring and protection of coastal area through networks of sensors positioned on floating buoys [1]. To power the electronic devices placed in these floating buoys in a reliable and maintenance-free way, the most efficient approach is represented by the use of energy harvesting systems that exploit the energy available in the surrounding environment [2,3,4,5]. The most abundant and easily exploitable source of energy is certainly solar energy. However, this source has limitations. In fact, it is not available at night, depends on atmospheric conditions and is not available for long periods of time at high geographical latitudes. Furthermore, some types of floating buoys, called lagrangian drifters, are almost totally submerged in order to easily follow sea currents and are therefore not suitable for mounting solar panels because they would often be below sea level [6].
To overcome the issue of energy insufficiency in a single energy harvesting device, hybrid harvesting devices that exploit multiple sources have been proposed in recent years. The most obvious energy source besides solar energy in a floating buoy is undoubtedly the marine energy, i.e., the energy associated with the movement of sea waves [7]. For this reason, many research efforts are underway to develop wave energy harvesters using small, lightweight and inexpensive devices that can be easily integrated into small floating data buoys.
Although the research and design of high-power large-scale wave energy converters date back to 1940 and, to date, more than 1000 designs of wave energy converters have been proposed worldwide [6], wave energy harvesters for small data buoys are much more recent [1]. The research in this field has shown that TENG and piezoelectric technologies are very promising in terms of their potential [8,9,10,11,12], but at the moment they have limitations related to the conversion efficiency and output power levels, which are lower than other technologies such as those that are electromagnetic [13].
The most widespread electromagnetic transducers for high-power wave energy converters are based on rotating or linear generators. Differently, in the case of small low-power systems for data buoys, ad hoc electromagnetic generators with different structures have been developed in order to reduce the weight and dimensions. It is worth mentioning the wave energy harvester based on a swinging structure [14], which includes the two-body self-reacting point absorber [15], the harvester exploiting a moving mass with ropes [16], the counterweight pendulum structures [17,18], the biaxial and double pendulum systems [19,20], the chaotic pendulum-based harvester [21] and the tumbler-inspired electromagnetic generator [22]. To overcome the relative complexity of the above structures due to the connection of a plurality of mechanical structures, an interesting annular electromagnetic generator was presented in [23]. It is based on a magnetic ball moving inside an annular shell, due to the pitching effect of the waves. Coils wrapped around the outside of the shell interact with the magnetic field of the moving magnetic ball, and an electromotive force is generated to supply an electric load. The simplicity and the effectiveness of this wave energy harvester are remarkable. However, to maximize the generation of the electromotive force, the plane of the coils must be perpendicular to the changing magnetic field, while in the annular harvester, the direction of the magnetic field of the rotating sphere changes continuously due to rolling. Moreover, the ball moves due to the component of the weight force tangent to the annular shell, and this force is reduced to zero in the upper and lower areas of the ring.
In order to overcome the limitations of the annular electromagnetic generator above, a wave energy harvester based on a magnetic cylinder rolling on a linear track is investigated here. The magnetic field generated by the rolling cylinder is always perpendicular to the plane of the coils placed along the track, thus maximizing the electromagnetic coupling. Moreover, the component of the weight force that causes the cylinder to move is constant along the track. Therefore, the considered energy harvester combines simplicity, lightness and efficiency for use in data buoys. In Section 2, a nonlinear analytical model of the energy harvester is presented, its operating modes are studied to maximize the extracted energy and the analytical conditions for ensuring the operation in the most favorable operating mode are deduced. In Section 3, the results of experimental tests performed on a prototype of the harvester are presented to validate the analytical findings. Conclusions end the paper.

2. Materials and Methods

In this section, after presenting the structure of the considered wave energy harvester, its describing equations are derived. It is shown that the dynamic behavior of the system is very rich and different modes of operation are possible. Finally, by exploiting the analytical model of the harvester, the bang-bang mode of operation is thoroughly studied for its importance in practical applications.

2.1. Harvester Structure

The considered energy harvester is located inside a floating buoy and moves together with the buoy due to the pitching effect of the sea waves. The harvester is based on a cylinder-shaped permanent magnet with the north–south magnetic axis coinciding with the rotation axis. As a result of the buoy’s oscillations, the cylinder rolls back and forth on a track equipped with coils on both sides, as shown in Figure 1a. As an example, only one pair of coils is shown in Figure 1a, but the track can be equipped with multiple pairs of coils. The movement of the cylinder near the coils causes a time-varying magnetic field through the coils. This variation over time generates an electromotive force that induces a current flowing through a load connected at the coil terminals. In this way, the energy of the sea waves is harvested and converted to electric energy delivered to the load. In order to ensure that the cylinder does not come off the track, the cylinder has flanges near the ends. In particular, the magnetic cylinder is composed of five elementary cylinders aligned on the same axis and glued together, as shown in Figure 1b. Two of the five cylinders have the base radius R slightly smaller than the base radius R e of the remaining cylinders in order to create the flanges. The length of the external cylinders is equal to L 1 , that of the cylinders with reduced radius is L 2 and that of the central cylinder is L 3 .
The considered energy harvester can be modeled by the system in Figure 2, where the cylinder rolls on the track of length L = x 1 x 2 , inclines with an angle α , and is subject to the force of gravity and friction. Moreover, due to the effect of the electromagnetic coupling with the coils placed on the sides of the track, the cylinder is also subject to a dissipative force. The Newton’s law for the center of mass in the x direction can be written as
m   x ¨ = m g sin α + f s μ ( x )   x ˙ θ x   i
where m is the mass of the rolling cylinder, α the tilt angle of the inclined plane, and f s the static friction force, which is sufficient to keep the cylinder moving without slipping. The single and double dots over a quantity denote the first and second time derivative, respectively. μ ( x )   x ˙ models the braking force of the track ends and is different from zero only when the cylinder reaches one of the track ends. θ x   i describes the electromagnetic force due to the interaction between the magnetic field of the cylinder and the current, i , flowing into the coils. θ x is the electromechanical coupling coefficient, which is different from zero only near the coils. Moreover, according to the Newton’s second law for rotation, it results
I c m   ϑ ¨ = f s   R
where I c m is the moment of inertia of the cylinder, R the radius of the cylinder and ϑ the rotation angle of the cylinder. By taking into account that x ¨ = R ϑ ¨ , Equation (2) leads to
f s = I c m R 2     x ¨
and thus Equation (1) reduces to
k   m   x   ¨ = m   g sin α μ ( x )   x ˙ θ x   i
with k = 1 + I c m / ( m   R 2 ) . For a cylinder with flanges for the track, whose structure is shown in Figure 1b, the moment of inertia is
I c m = 1 2 m   R e 2 1 2   L 2   π   R 2 2   L 1   π   R e 2 + 2   L 2   π   R 2 + L 3   π   R e 2 · R e 2 R 2 R e 2
In order to fully describe the harvester behavior, electrical equations should be added to Equation (4). In particular, the equation for the electromotive force, e , induced on each coil and the Kirchoff’s law can be written as
e = θ x   x ˙
e =   R c   i + L c   i ¨ + v L
where R c and L c are the resistance and the inductance of the coil, respectively, whereas v L is the load voltage. Equations (6) and (7) should be replicated for each coil present along the track. The number of coils is not fixed a priori, but it will be varied in the simulations and experiments.
Equations (4)–(7) describe the dynamics of the considered energy harvester and, despite their apparent simplicity, they lead to a very varied behavior even when the electrical load is purely resistive.

2.2. Modes of Operation

Let us consider a sinusoidal motion of the energy harvester structure and, in particular, of the height h of the end of the track in Figure 2, i.e., h = h M sin ( 2 π   t / T + ϕ 0 ) . Since sin α = h / x 1 , it results
sin α = sin α M sin 2   π T t + ϕ 0
where sin α M = h M / x 1 is the maximum value taken by sin α over time, T is the oscillation period of the track and ϕ 0 is the phase at time t = 0 . The dynamics of the cylinder can be very rich depending on three main parameters of the system, i.e., T , L and α M . The cylinder can roll back and forth non-periodically, or it can move periodically between one end of the track and the other with a period that is a multiple of T , or it can move between one end and the other with a period exactly equal to T . These three different behaviors are qualitatively shown in Figure 3, where the time evolution of the position of the center of mass is reported for three different parameter sets.
According to Equation (6), the energy of motion is converted into electrical energy only when the cylinder passes near the coils since for those values of x , the electromagnetic coupling is different from zero, θ x 0 . Thus, in order to increase the extracted power, more coils can be placed along the track. Moreover, according to Equation (6), the converted power is greater the greater the speed, x ˙ , of the cylinder near the coils.
Therefore, it is desirable that the cylinder travels the entire track from one end to the other to pass near all the coils and does so at the maximum possible speed. If the cylinder motion is irregular, as in Figure 3a, the entire track is not traveled. If the cylinder takes more periods T to go from one end to the other, its speed is relatively slow. Thus, the best operating condition is that reported in Figure 3c, where the cylinder takes only one period T to go from one end to the other and back. In the following, for the sake of simplicity, the last operating condition will be denoted as the “bang-bang” mode of operation, since the cylinder periodically hits one end and the other of the track.

2.3. Bang-Bang Mode

Since the bang-bang mode of operation is the most important from a practical point of view, attention will be focused on investigating whether this operation is stable and how it depends on the main parameters of the harvester.
In the time interval between the instant the cylinder detaches from one end of the track and the instant it reaches the other end of the track, the forces of the track ends are zero and Equations (4) and (8) reduce to
x ¨ = g k sin α M sin ω   t + ϕ 0
where ω = 2 π / T . In Equation (9), the electromagnetic force has been neglected compared to the weight force, which usually happens in practical cases and will be shown in Section 3. As shown in Figure 2, at the instant t 1 of detachment of the cylinder from the track end 1, its position is x t 1 =   x 1 , its velocity is zero, x ˙ t 1 = 0 and the instantaneous phase of the acceleration is ϕ = ω   t 1 + ϕ 0 . Note that, according to (8), ϕ represents also the actual inclination of the track at t = t 1 . ϕ = 0 means that the track is horizontal and thus the acceleration is null. For 0 < ϕ < π , the acceleration is directed toward the track end 2 and the cylinder will start to move. For ϕ = π / 2 , the track is at its maximum inclination angle, i.e., α M , and the acceleration takes its maximum absolute value. For π < ϕ < π , the acceleration is directed toward the track end 1 and the cylinder cannot move.
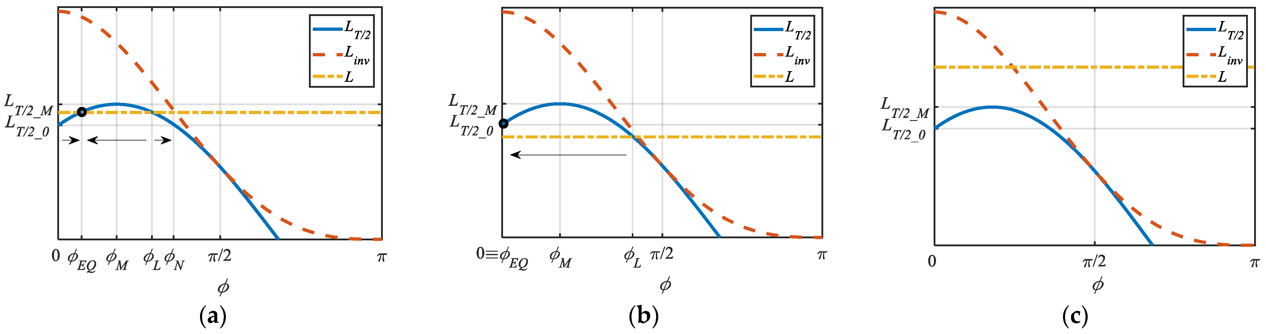
Let us now calculate two characteristic quantities, the so-called “inversion length”, i.e., the length of the track that can be traveled by the cylinder before it changes the traveling direction, and the “half-period length”, i.e., the length of the track traveled by the cylinder in a time interval equal to T / 2 .
By integrating (9), it is possible to obtain the expression of the velocity of the center of mass
x ˙ = g sin α M k   ω cos ω   t + ϕ 0 cos ϕ
and the expression of the position
x = x 1 + g sin α M k   ω 2 sin ω   t + ϕ 0 ω   t t 1 cos ϕ sin ϕ
The length of the track that can be traveled by the cylinder before it changes the traveling direction can be calculated by imposing x ˙ = 0 in (10). It results that the time instant in which the cylinder reverses direction is the following:
t i n v = t 1 + 2 π ϕ ω
and the traveled length until the inversion, i.e., the inversion length L i n v = x t i n v x 1 , is
L i n v = 2   g sin α M k   ω 2 sin ϕ + ( π ϕ ) cos ϕ
On the other hand, the length of the track traveled by the cylinder in a time interval equal to T / 2 can be determined by evaluating (11) in t = t 1 + T / 2 . The half-period length L T / 2 = x t 1 + T / 2 x 1 is thus equal to
L T / 2 = 2   g sin α M k   ω 2 sin ϕ + π 2 cos ϕ
Note that the quantities L i n v and L T / 2 are a function of the instantaneous phase at the detachment instant, ϕ = ω   t 1 + ϕ 0 , through trigonometric functions and the same multiplication coefficient. The limit value taken by L T / 2 for ϕ 0 is
L T / 2 _ 0 = 2   g sin α M k   ω 2   π 2
The value of ϕ for which L T / 2 reaches its maximum value can be calculated by deriving (14) and equating the result to zero. The result is
ϕ M = atan 2 π
and the maximum value of L T / 2 is
L T / 2 _ M = 2   g sin α M k   ω 2 sin atan 2 π + π 2 cos atan 2 π
Let us now investigate the evolution of the cylinder position x ( t ) for t > t 1 . Firstly, consider the case that L T / 2 _ 0 L L T / 2 _ M , as assumed in Figure 4a, where the functions L i n v ( ϕ ) and L T / 2 ( ϕ ) are represented together with the length of the track L . Note that the function L T / 2 ( ϕ ) intersects the horizontal line L for ϕ = ϕ E Q , where
ϕ E Q = asin L   k   ω 2 2   g sin α M 1 + π 2 / 4 atan π 2
as obtained by equating Equation (14) to L and solving for ϕ . If the phase ϕ is equal to the value ϕ = ϕ E Q for which L = L T / 2 , then according to Figure 4a, the inversion length is greater than the track length. Therefore, the cylinder is able to reach the other end of the track without changing direction. Moreover, since L =   L T / 2 , the cylinder takes a time exactly equal to T / 2 to reach the other end of the track. When the cylinder reaches the other end, its position is x =   x 2 , its velocity is x ˙ = 0 and the acceleration is
x ¨ = g k sin α M sin ω t 1 + T 2 + ϕ 0 = g k sin α M sin ϕ
which is equal to the acceleration at time t = t 1 , but directed toward the track end 1. Thus, the instantaneous phase in x 2 is equal to that in x 1 , but with opposite sign. Consequently, the motion back from track end 2 to track end 1 is equal to that from track end 1 to 2. When the cylinder comes back to x 1 , its phase returns exactly to ϕ (wrapped to the interval [ 0 ,   2 π ] ). Therefore, the phase ϕ = ϕ E Q represents an equilibrium condition that allows the cylinder to move back and forth along the track periodically over a period equal to T .
If the phase ϕ belongs to the interval 0 ϕ < ϕ E Q , the curves in Figure 4a show that the track length L is greater than the half-period length L T / 2 and less than the inversion length L i n v . Thus, the cylinder is able to reach the other end of the track without making a change in direction, but it takes more time than T / 2 , say T / 2 + d t . When the cylinder reaches the other end of the track, its position is x = x 2 , its velocity is x ˙ = 0 and the instantaneous phase of the acceleration is greater than ϕ , as it results
x ¨ = g k sin α M sin ω   t 1 + T 2 + d T + ϕ 0 = g k sin α M sin ϕ ω   d T
Thus, the instantaneous phase at x 2 is ϕ + ω   d T > ϕ and has the opposite sign. When the cylinder comes back to x 1 , its instantaneous phase is further increased compared to ϕ . Therefore, cycle after cycle, the instantaneous phase at the beginning of each cycle will be larger and larger until the instantaneous phase reaches the value ϕ E Q .
If the instantaneous phase ϕ belongs to the interval ϕ E Q < ϕ < ϕ L , the curves in Figure 4a show that the track length L is less than the half-period length L T / 2 and less than the inversion length L i n v . Thus, once again, there will be no reversal of direction, but the cylinder reaches the other end of the track in less time than T / 2 and returns to the initial position in less time than T . The instantaneous phase at the next cycle becomes less than ϕ . Therefore, cycle after cycle, the instantaneous phase of each cycle becomes less and less until the phase reaches the value ϕ E Q .
If the initial phase ϕ belongs to the interval ϕ L < ϕ < ϕ N , the curves in Figure 4a show that the track length L is greater than the half-period length L T / 2 and less than the inversion length L i n v . Thus, like in the case 0 ϕ < ϕ E Q , there is an increase of ϕ toward values greater than ϕ N .
Finally, if the initial phase ϕ is greater than ϕ N , the track length L is greater than the inversion length L i n v . Thus, before reaching the other end of the track, the cylinder changes the direction. It is not easy to predict the behavior in this case, but it is presumable that sooner or later the cylinder will end up at one end of the track with an initial phase in the interval 0 < ϕ < ϕ L . From that moment on, the phase will converge towards ϕ E Q .
From the above considerations, it is possible to deduce that ϕ E Q represents an equilibrium condition that is stable.
Let us now assume that L < L T / 2 _ 0 , as shown in Figure 4b. In this case, there is no intersection between the increasing part of the curve L T / 2 and the straight line L . Repeating considerations like those made above, it is easy to deduce that the stable equilibrium phase is ϕ E Q = 0 and the interval of the initial phase ϕ that directly takes to the equilibrium phase is 0 < ϕ < ϕ L .
On the other hand, if L > L T / 2 _ M , as shown in Figure 4c, there is no intersection between the curve L T / 2 and the straight line L . In this case, for no value of the initial phase, the cylinder is able to reach the other end of the track in T / 2 , making bang-bang operation impossible.
Concluding, only if L T / 2 _ 0 L L T / 2 _ M and if L < L T / 2 _ 0 , the system reaches a bang-bang mode of operation. Thus, a stable bang-bang mode of operation is possible only if L < L T / 2 _ M , which according to Equation (17), leads to the condition
L < 2   g sin α M k   ω 2 sin atan 2 π + π 2 cos atan 2 π
Equation (21), which is graphically shown in Figure 5, establishes a relationship between the track length L , the maximum tilt angle α M and the oscillation period T in order to ensure a bang-bang operation. Therefore, Equation (21) can be employed to design the wave energy harvester to operate in the more efficient way, which is the bang-bang mode of operation.

3. Results

The theoretical findings deduced in the previous section are here validated by simulations and experiments on a prototype of the wave energy harvester.

3.1. The Harvester Prototype

A prototype of the wave energy harvester was built and tested, as shown in Figure 6. The track, made by means of a 3D printer, has an effective length L = 200   m m . The rolling cylinder is made up of a set of five magnets having total height L t = 2 L 1 + 2 L 2 + L 3 = 32   m m with L 1 = 4   m m ,     L 2 = 2   m m , L 3 = 20   m m , radius R = 4   m m , radius R e = 5   m m and total mass m = 17.9   g . The resulting parameter k in Equation (4) takes value k = 1 / 0.569 . Each coil placed along the track has 1650 turns, internal resistance R c = 150   Ω , internal inductance L c = 10   m H , internal diameter 5   m m and external diameter 9   m m . To experimentally test the harvester, it was mounted on a plexiglass sheet hinged on two aligned pivots and controlled on one edge by a vertical linear actuator, which determines its inclination over time.
The electromechanical coupling coefficient, θ x , was determined by experimental tests. In particular, the track was placed in a fixed position with an inclination angle α = 5 ° and the magnetic cylinder was allowed to roll from the upper end of the track downwards. A single pair of series-connected coils was placed 30 mm from the bottom end and its open-circuit voltage was measured. Since, under these conditions, the current is zero, the motion of the cylinder x ( t ) and its velocity x ˙ ( t ) can be easily calculated from Equation (4). Moreover, the measured voltage is equal to the electromotive force, e t = v L ( t ) , according to Equation (7). Once x ˙ ( t ) and e ( t ) are known, the coupling coefficient can be calculated from Equation (6). The so-determined electromechanical coupling coefficient, θ x , is reported in Figure 7a.
By using the electromechanical coupling coefficient, the time evolution of the cylinder position, in the case in which the current in the coils is zero, was compared with the case in which the current flows in two pair of coils was placed 30 m m from the track ends and connected to the optimal resistive load. The comparison reported in Figure 7b shows that the time evolution is almost the same and thus the approximation of neglecting the electromagnetic force in Equation (9) is acceptable.

3.2. Harvester Dynamics

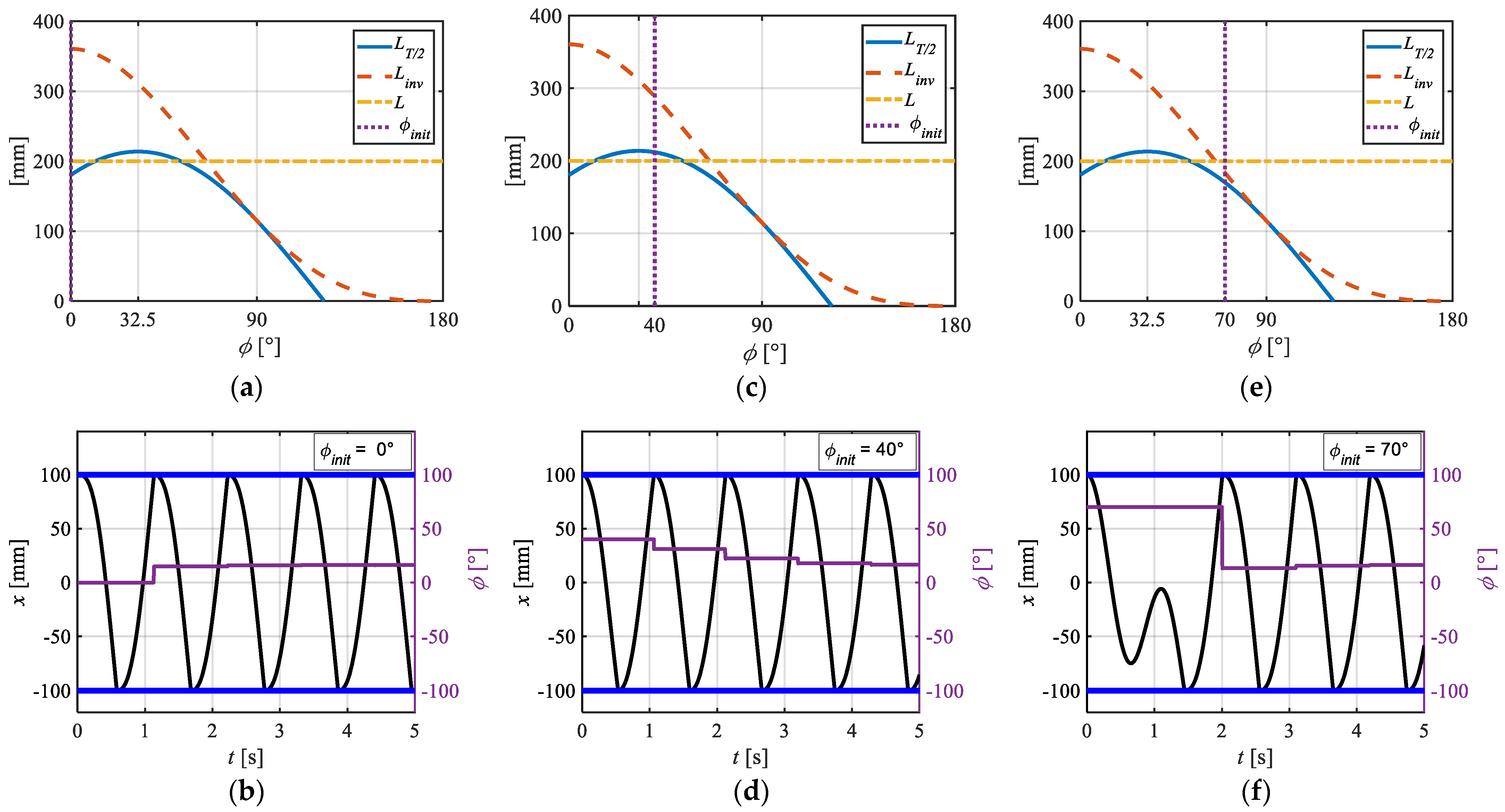
The presented model of the wave energy harvester and the identified parameters were used to validate the theoretical results on the bang-bang operation of the harvester. The results of the numerical integration of the dynamics Equations (4)–(8) are reported in Figure 8 and Figure 9. In particular, in Figure 8, it was considered the case α M = 20 ° and T = 1.09   s . These parameters led to the condition L T / 2 _ 0 L L T / 2 _ M .
Three different initial values of ϕ were considered. For each considered case, the relationship between L , L T / 2 and L i n v is reported in Figure 8a,c,e, whereas the corresponding time evolution of the cylinder position x ( t ) and the time evolution of the phase ϕ at the detachment instants from the track end x 1 are reported in Figure 8b,d,f, respectively. It should be noted that in all the three cases considered, despite the different initial conditions, the phase ϕ converges toward the stable equilibrium value ϕ E Q = 12 ° , as analytically predicted by Equation (18).
Different from the cases considered above, in Figure 9a,b, the parameters α M = 20 ° and T = 1.2   s were set, leading to L < L T / 2 _ 0 . According to the theoretical investigation, the phase ϕ converges to ϕ E Q = 0 ° . Finally, in Figure 9c,d, it was considered the case α M = 20 ° and T = 0.95   s , leading to L T / 2 _ M < L . In this case, as analytically predicted, the system is not able to reach the bang-bang operation.
Experimental tests were also carried out to validate the theoretical findings regarding the boundary of the region of bang-bang operation. A high-speed camera was used to record videos of the moving cylinder, from whose frames it was possible to trace the time evolution of the cylinder’s position. As an example, a frame acquired by the camera is shown in Figure 10. The time evolutions of the cylinder position in three cases are reported in Figure 11a,c,e. The parameters used for these tests are also reported in Figure 5 to highlight their relative position with respect to the boundary line between bang-bang and non-bang-bang regions of operation. It should be noted that the boundary line reported in Figure 5 for L = 200   m m and traced according to Equation (21) is able to correctly predict the mode of operation of the harvester.
The mode of operation can also be easily deduced by measuring the voltage generated by the coils. In fact, in bang-bang operation, the voltage has a quite periodic and regular trend, whereas in different modes of operation, the voltage is highly irregular. This is the motivation for the practical interest in the bang-bang operation. The measured voltages of two pairs of coils for three parameter sets are reported in Figure 11b,d,f. The parameters used are reported also in Figure 5. Also, in these cases, Equation (21) and the boundary line in Figure 5 for L = 200   m m are able to correctly predict the mode of operation of the considered harvester.

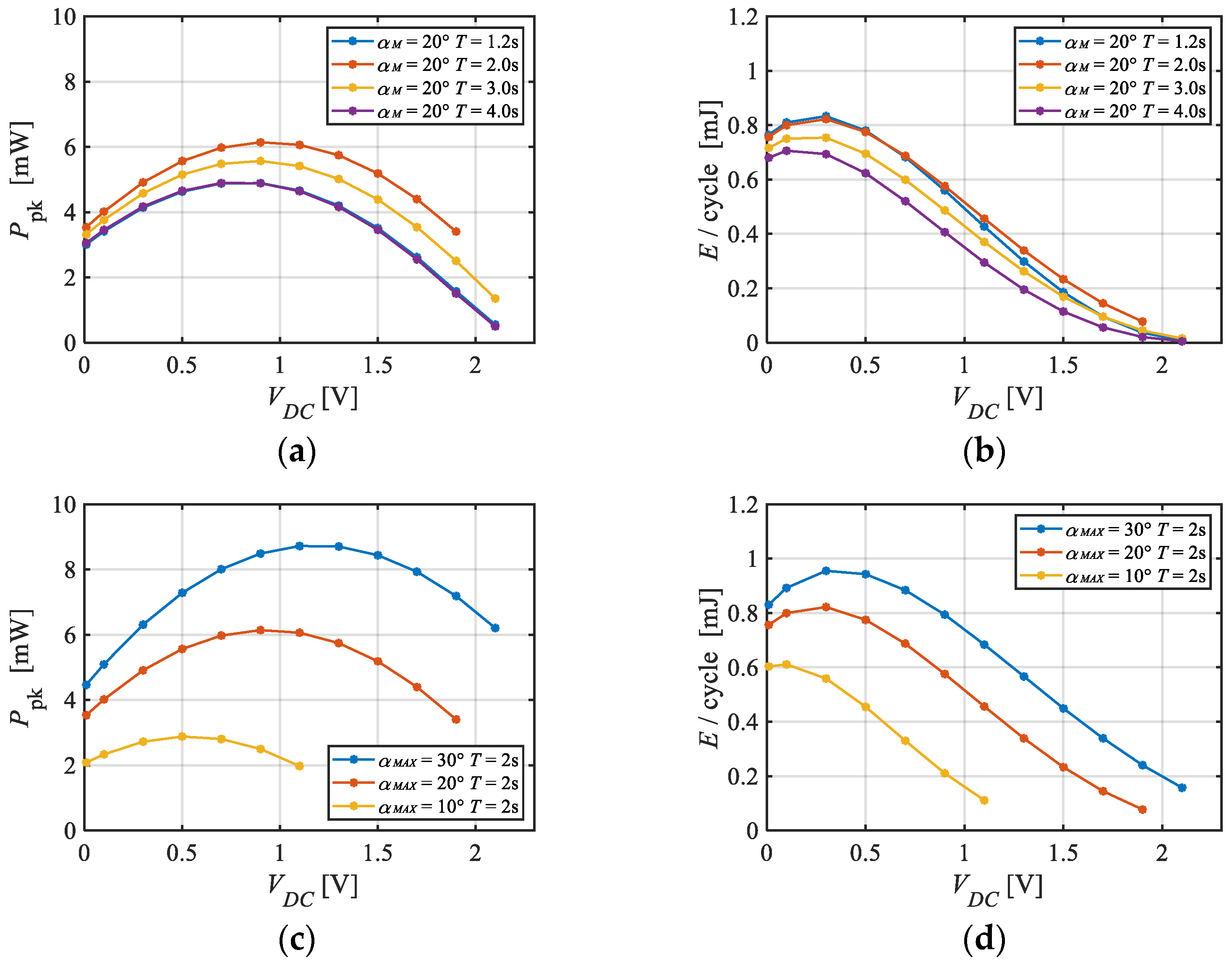
3.3. Energy Extraction in Presence of an Electronic Interface

The capabilities of energy extraction of the considered harvester were investigated by considering two parallel tracks each equipped with eight pairs of coils. The two coils of each pair, placed in front, are connected in series. The terminals of each pair of coils are connected to diode bridge rectifiers, as shown in Figure 12. The outputs of the diode bridges are connected in parallel to a single capacitance at the input of a DC/DC converter.
The peak power and the energy per each oscillation cycle are reported in Figure 13a,b for different values of the dc voltage, V D C , on the capacitance. The data are reported for different values of the oscillation period T , while the maximum inclination angle is set at α M = 20 ° . Since the track length is L = 200   m m , according to Equation (21) and Figure 5, in all the considered test cases the bang-bang operation is ensured. Moreover, in Figure 13c,d, the power and energy data are reported for different values of the maximum inclination angle, while the oscillation period is set at T = 2   s . Also, in these test cases, the harvester operates in bang-bang mode, as predicted by Equation (21). It is interesting to observe that the values of period and angle, in which the maximum peak power is reached, are different from those of the energy per cycle because the peak power depends only on the speed at which the magnet passes near a single pair of coils, while the energy also depends on the time it takes to pass through all the coils. The plotted results also show that the DC/DC converter has to set, time by time, a different V D C voltage in order to maximize the energy extraction in the considered operating conditions. To this end, a maximum power point tracking technique can be used.
Finally, the performances of the considered harvester were compared with those of the most similar wave energy harvester recently presented in the literature and based on a magnetic ball that can move inside an annular shell along which coils are placed [22]. However, for a fair comparison, instead of a magnetic ball, the same magnetic cylinder was considered, and it was assumed that the magnetic field generated by the magnet is always orthogonal to the coils. This assumption is obviously not verified in practice, but it can be assumed as the best limit condition of operation for the annular harvester. Moreover, the diameter of the annular shell was set to the same length of the linear tracks, i.e., L = 200   m m ; the coils’ characteristics are considered the same here, and the number of coils was set to sixteen (equal to those of two parallel linear tracks). The graphs of the peak power and the mean extracted energy per oscillation cycle are reported in Figure 13e and Figure 13f, respectively. The data show that the behavior of the annular shell harvester is very irregular, since it does not have the same benefit of a bang-bang operation as the linear track harvester. The resulting lack of a clear energy maximum makes the use of maximum power point tracking techniques difficult. Moreover, it can be observed that the peak power of the annular shell harvester can reach significantly high values because the magnet is never stopped, as highlighted in [22], but the weight force that generates the motion of the magnet is significantly reduced in the upper and lower region of the circle, leading to a significantly lower extracted energy per cycle compared to the linear track. Therefore, the wave energy harvester investigated here has a higher energy efficiency.

4. Conclusions

A wave energy harvester based on a magnetic cylinder rolling on a track, which oscillates due to sea waves, has been modeled and its behavior has been investigated from a theoretical, a numerical and an experimental point of view. For the first time, it has been shown that its dynamic behavior can be very rich and can be characterized by different operating modes. For the most interesting mode from a practical point of view, i.e., the so-called bang-bang mode of operation, the design constraints on the parameters of the energy harvester have been derived in analytical form. Numerical simulations and experimental results confirmed the analytical findings. The derived analytical equations allow the designer to optimize the harvester operation for supplying small sea monitoring buoys. The energetic performance of the considered harvester has been shown in the case in which full-bridge rectifiers applied to the coil terminals are connected in parallel to a single DC/DC converter. Future research is aimed at developing a prototype of the considered energy harvester that uses a 20 mm diameter magnet in order to increase the extracted energy by approximately four times.

Author Contributions

Conceptualization, A.L.S., F.N. and C.B.; methodology, A.L.S., F.N. and C.B.; software, A.L.S., F.N. and C.B.; validation, A.L.S., F.N. and C.B.; formal analysis, A.L.S., F.N. and C.B.; investigation, A.L.S., F.N. and C.B.; resources, A.L.S., F.N. and C.B.; data curation, A.L.S., F.N. and C.B.; writing—original draft preparation, A.L.S., F.N. and C.B.; writing—review and editing, A.L.S., F.N. and C.B.; visualization, A.L.S., F.N. and C.B.; supervision, A.L.S., F.N. and C.B.; project administration, A.L.S., F.N. and C.B.; funding acquisition, A.L.S., F.N. and C.B. All authors have read and agreed to the published version of the manuscript.

Funding

This research was funded in part by European Union—Next Generation EU and by the Ministry of University and Research (MUR), National Recovery and Resilience Plan (NRRP), in the framework of PRIN 2022 under grant 20222RWCJJ, project “Hybrid Energy hArVesting systEms for multiple and irregular ambieNt sources—HEAVEN”, and it was funded in part by the European Union—Next Generation EU and by the Ministry of University and Research (MUR), National Recovery and Resilience Plan (NRRP), Mission 4, Component 2, Investment 1.5, project “RAISE—Robotics and AI for Socio-economic Empowerment” (ECS00000035).

Institutional Review Board Statement

Not applicable.

Informed Consent Statement

Not applicable.

Data Availability Statement

Data is contained within the article.

Conflicts of Interest

The authors declare no conflicts of interest.

References

  1. McLeod, I.; Ringwood, J.V. Powering data buoys using wave energy: A review of possibilities. J. Ocean Eng. Mar. Energy 2022, 8, 417–432. [Google Scholar] [CrossRef]
  2. Costanzo, L.; Lo Schiavo, A.; Vitelli, M. A Self-Supplied Power Optimizer for Piezoelectric Energy Harvesters Operating under Non-Sinusoidal Vibrations. Energies 2023, 16, 4368. [Google Scholar] [CrossRef]
  3. Costanzo, L.; Schiavo, A.L.; Vitelli, M. Analytical Study of Piezoelectric Harvesters With SECE and SSHI Under Variable Excitation. IEEE Trans. Ind. Appl. 2022, 58, 2280–2290. [Google Scholar] [CrossRef]
  4. Boccalero, G.; Boragno, C.; Caviglia, D.D.; Morasso, R. FLEHAP: A Wind Powered Supply for Autonomous Sensor Nodes. J. Sens. Actuator Netw. 2016, 5, 15. [Google Scholar] [CrossRef]
  5. Costanzo, L.; Schiavo, A.L.; Vitelli, M.; Zuo, L. Optimization of AC–DC Converters for Regenerative Train Suspensions. IEEE Trans. Ind. Appl. 2022, 58, 2389–2399. [Google Scholar] [CrossRef]
  6. Maheen, M.H.; Yang, Y. Wave energy converters with rigid hull encapsulation: A review. Sustain. Energy Technol. Assess. 2023, 57, 103273. [Google Scholar] [CrossRef]
  7. Rahman, A.; Farrok, O.; Islam, M.R.; Xu, W. Recent Progress in Electrical Generators for Oceanic Wave Energy Conversion. IEEE Access 2020, 8, 138595–138615. [Google Scholar] [CrossRef]
  8. Viet, N.V.; Wang, Q. Ocean wave energy pitching harvester with a frequency tuning capability. Energy 2018, 162, 603–617. [Google Scholar] [CrossRef]
  9. Nabavi, S.F.; Farshidianfar, A.A. Novel piezoelectric-based ocean wave energy harvesting from offshore buoys. Appl. Ocean. Res. 2018, 76, 174–183. [Google Scholar] [CrossRef]
  10. Schiavo, A.L.; Costanzo, L.; Vitelli, M. A load impedance emulation active interface for piezoelectric vibration energy harvesters. Smart Mater. Struct. 2024, 33, 085025. [Google Scholar] [CrossRef]
  11. Li, Y.; Zhao, Z.; Fan, Z.; Fan, D.; Jiang, F.; Hu, X. A novel multi-degree of freedom kinetic energy harvester for self-powered low-power applications in ships. Energy Convers. Manag. 2024, 302, 118096. [Google Scholar] [CrossRef]
  12. Sun, X.; Shang, C.; Ma, H.; Li, C.; Xue, L.; Xu, Q.; Wei, Z.; Li, W.; Yalikun, Y.; Lai, Y.-C.; et al. A tube-shaped solid–liquid-interfaced triboelectric–electromagnetic hybrid nanogenerator for efficient ocean wave energy harvesting. Nano Energy 2022, 100, 107540. [Google Scholar] [CrossRef]
  13. Dip, T.M.; Arin, M.R.A.; Anik, H.R.; Uddin, M.M.; Tushar, S.I.; Sayam, A.; Sharma, S. Triboelectric Nanogenerators for Marine Applications: Recent Advances in Energy Harvesting, Monitoring, and Self-Powered Equipment. Adv. Mater. Technol. 2023, 8, 2300802. [Google Scholar] [CrossRef]
  14. Li, Y.; Guo, Q.; Huang, M.; Ma, X.; Chen, Z.; Liu, H.; Sun, L. Study of an Electromagnetic Ocean Wave Energy Harvester Driven by an Efficient Swing Body Toward the Self-Powered Ocean Buoy Application. IEEE Access 2019, 7, 129758–129769. [Google Scholar] [CrossRef]
  15. Harms, J.; Hollm, M.; Dostal, L.; Kern, T.A.; Seifried, R. Design and optimization of a wave energy converter for drifting sensor platforms in realistic ocean waves. Appl. Energy 2022, 321, 119303. [Google Scholar] [CrossRef]
  16. Wang, T.; Lv, H.; Wang, X. Development of an electromagnetic energy harvester for ultra-low frequency pitch vibration of unmanned marine devices. Appl. Energy 2024, 353, 122072. [Google Scholar] [CrossRef]
  17. Wang, Y.-J.; Lee, C.-K. Dynamics and power generation of wave energy converters mimicking biaxial hula-hoop motion for mooring-less buoys. Energy 2019, 183, 547–560. [Google Scholar] [CrossRef]
  18. Graves, J.; Kuang, Y.; Zhu, M. Counterweight-pendulum energy harvester with reduced resonance frequency for unmanned surface vehicles. Sens. Actuators A Phys. 2021, 321, 112577. [Google Scholar] [CrossRef]
  19. Lou, H.; Wang, T.; Zhu, S. Design, modeling and experiments of a novel biaxial-pendulum vibration energy harvester. Energy 2022, 254 Pt A, 124431. [Google Scholar] [CrossRef]
  20. Carandell, M.; Toma, D.M.; Carbonell, M.; del Rio, J.; Gasulla, M. Design and Testing of a Kinetic Energy Harvester Embedded Into an Oceanic Drifter. IEEE Sens. J. 2020, 20, 13930–13939. [Google Scholar] [CrossRef]
  21. Chen, X.; Gao, L.; Chen, J.; Lu, S.; Zhou, H.; Wang, T.; Wang, A.; Zhang, Z.; Guo, S.; Mu, X.; et al. A chaotic pendulum triboelectric-electromagnetic hybridized nanogenerator for wave energy scavenging and self-powered wireless sensing system. Nano Energy 2020, 69, 104440. [Google Scholar] [CrossRef]
  22. Pan, X.; Ling, P.; Bao, H.; He, W.; Li, Q.; Yan, B. Tumbler-inspired electromagnetic generator for low-frequency ocean wave energy harvesting. Energy Convers. Manag. 2023, 294, 117569. [Google Scholar] [CrossRef]
  23. Wang, C.; Guo, L.; Chen, P.; Fu, Q.; Cui, L. Annular Electromagnetic Generator for Harvesting Ocean Wave Energy. J. Mar. Sci. Eng. 2023, 11, 2266. [Google Scholar] [CrossRef]
Figure 1. Scheme of the energy harvester based on a cylinder rolling on an inclined track. (a) The magnetic cylinder rolling on a track with a pair of coils on the sides. (b) The structure of the magnetic cylinder with flanges.
Figure 1. Scheme of the energy harvester based on a cylinder rolling on an inclined track. (a) The magnetic cylinder rolling on a track with a pair of coils on the sides. (b) The structure of the magnetic cylinder with flanges.
Applsci 14 07019 g001
Figure 2. Model of the energy harvester based on a cylinder rolling on an inclined track.
Figure 2. Model of the energy harvester based on a cylinder rolling on an inclined track.
Applsci 14 07019 g002
Figure 3. Time waveforms of the position x of the center of mass of the magnetic cylinder for three different sets of the parameters T , L and α M . Blue lines at x = x 1 and x = x 2 denote the ends of the track. (a) Case of irregular behavior. (b) Case of periodic motion of the center of mass with period equal to a multiple of the period T of the track oscillation. (c) Case of periodic motion of the center of mass with period equal to the oscillation period T (“bang-bang” mode of operation).
Figure 3. Time waveforms of the position x of the center of mass of the magnetic cylinder for three different sets of the parameters T , L and α M . Blue lines at x = x 1 and x = x 2 denote the ends of the track. (a) Case of irregular behavior. (b) Case of periodic motion of the center of mass with period equal to a multiple of the period T of the track oscillation. (c) Case of periodic motion of the center of mass with period equal to the oscillation period T (“bang-bang” mode of operation).
Applsci 14 07019 g003
Figure 4. Representation of the half-period length, L T / 2 , and of the inversion length, L i n v , as a function of the instantaneous phase at the detachment instant, ϕ , in three case studies. (a) The track length is in the interval L T / 2 _ 0 L L T / 2 _ M . (b) The track length is assumed to be L < L T / 2 _ 0 . (c) The track length is assumed to be L T / 2 _ M < L .
Figure 4. Representation of the half-period length, L T / 2 , and of the inversion length, L i n v , as a function of the instantaneous phase at the detachment instant, ϕ , in three case studies. (a) The track length is in the interval L T / 2 _ 0 L L T / 2 _ M . (b) The track length is assumed to be L < L T / 2 _ 0 . (c) The track length is assumed to be L T / 2 _ M < L .
Applsci 14 07019 g004
Figure 5. Boundary line between the region of bang-bang operation and other operating conditions, as analytically predicted by Equation (21) for different values of the track length L .
Figure 5. Boundary line between the region of bang-bang operation and other operating conditions, as analytically predicted by Equation (21) for different values of the track length L .
Applsci 14 07019 g005
Figure 6. Photo of the experimental setup, made up of an oscillating plane, and of the wave energy harvester based on a magnetic cylinder rolling on a track.
Figure 6. Photo of the experimental setup, made up of an oscillating plane, and of the wave energy harvester based on a magnetic cylinder rolling on a track.
Applsci 14 07019 g006
Figure 7. (a) Electromechanical coupling coefficient determined by measurements on the prototype of the wave energy harvester. (b) Comparison of the time evolution of the cylinder position in case the current into the coils is null and in case the current is that of the optimal load.
Figure 7. (a) Electromechanical coupling coefficient determined by measurements on the prototype of the wave energy harvester. (b) Comparison of the time evolution of the cylinder position in case the current into the coils is null and in case the current is that of the optimal load.
Applsci 14 07019 g007
Figure 8. Dynamics of the wave energy harvester in case α M = 20 ° and T = 1.09   s for different values of ϕ i n i t , i.e., the initial value of the phase ϕ . (a,b) ϕ i n i t = 0 ° . (c,d) ϕ i n i t = 40 ° . (e,f) ϕ i n i t = 70 ° . Results of numerical integration of the dynamics of Equations (4)–(8).
Figure 8. Dynamics of the wave energy harvester in case α M = 20 ° and T = 1.09   s for different values of ϕ i n i t , i.e., the initial value of the phase ϕ . (a,b) ϕ i n i t = 0 ° . (c,d) ϕ i n i t = 40 ° . (e,f) ϕ i n i t = 70 ° . Results of numerical integration of the dynamics of Equations (4)–(8).
Applsci 14 07019 g008
Figure 9. (a,b) Dynamics of the wave energy harvester in case α M = 20 ° and T = 1.2   s leading to L < L T / 2 _ 0 . (c,d) Dynamics of the wave energy harvester in case α M = 20 ° and T = 0.9   s leading to L T / 2 _ M < L . Results of numerical integration of the dynamics of Equations (4)–(8).
Figure 9. (a,b) Dynamics of the wave energy harvester in case α M = 20 ° and T = 1.2   s leading to L < L T / 2 _ 0 . (c,d) Dynamics of the wave energy harvester in case α M = 20 ° and T = 0.9   s leading to L T / 2 _ M < L . Results of numerical integration of the dynamics of Equations (4)–(8).
Applsci 14 07019 g009aApplsci 14 07019 g009b
Figure 10. Image acquired by a high-speed camera for measuring the time evolution of the cylinder position.
Figure 10. Image acquired by a high-speed camera for measuring the time evolution of the cylinder position.
Applsci 14 07019 g010
Figure 11. Measurements on the wave harvester prototype. (a,c,e) Time evolution of the cylinder position as captured by the video frames recorded by a high-speed camera. (b,d,f) Voltages at the output terminals of two series-connected pairs of coils placed at 85   mm from the track ends.
Figure 11. Measurements on the wave harvester prototype. (a,c,e) Time evolution of the cylinder position as captured by the video frames recorded by a high-speed camera. (b,d,f) Voltages at the output terminals of two series-connected pairs of coils placed at 85   mm from the track ends.
Applsci 14 07019 g011
Figure 12. Schematic of the parallel connection of full-bridge rectifiers connected at the output terminals of the coil pairs.
Figure 12. Schematic of the parallel connection of full-bridge rectifiers connected at the output terminals of the coil pairs.
Applsci 14 07019 g012
Figure 13. Performance of the considered wave energy harvester when two parallel tracks are equipped with eight pairs of coils connected to a bridge rectifier as shown in Figure 12. (a) Peak power for different values of the wave oscillation period. (b) Energy extracted in a single cycle for different values of the oscillation period. (c) Peak power for different values of the inclination angle. (d) Energy extracted in a single cycle for different values of the inclination angle. (e) Comparison between the peak power extracted by the considered linear track harvester (P) and the annular shell harvester (A). (f) Comparison between the mean energy per cycle extracted by the considered linear track harvester (P) and the annular shell harvester (A).
Figure 13. Performance of the considered wave energy harvester when two parallel tracks are equipped with eight pairs of coils connected to a bridge rectifier as shown in Figure 12. (a) Peak power for different values of the wave oscillation period. (b) Energy extracted in a single cycle for different values of the oscillation period. (c) Peak power for different values of the inclination angle. (d) Energy extracted in a single cycle for different values of the inclination angle. (e) Comparison between the peak power extracted by the considered linear track harvester (P) and the annular shell harvester (A). (f) Comparison between the mean energy per cycle extracted by the considered linear track harvester (P) and the annular shell harvester (A).
Applsci 14 07019 g013aApplsci 14 07019 g013b
Disclaimer/Publisher’s Note: The statements, opinions and data contained in all publications are solely those of the individual author(s) and contributor(s) and not of MDPI and/or the editor(s). MDPI and/or the editor(s) disclaim responsibility for any injury to people or property resulting from any ideas, methods, instructions or products referred to in the content.

Share and Cite

MDPI and ACS Style

Lo Schiavo, A.; Nicora, F.; Boragno, C. Modeling a Wave Energy Harvester for Supplying Data Buoys. Appl. Sci. 2024, 14, 7019. https://doi.org/10.3390/app14167019

AMA Style

Lo Schiavo A, Nicora F, Boragno C. Modeling a Wave Energy Harvester for Supplying Data Buoys. Applied Sciences. 2024; 14(16):7019. https://doi.org/10.3390/app14167019

Chicago/Turabian Style

Lo Schiavo, Alessandro, Filippo Nicora, and Corrado Boragno. 2024. "Modeling a Wave Energy Harvester for Supplying Data Buoys" Applied Sciences 14, no. 16: 7019. https://doi.org/10.3390/app14167019

APA Style

Lo Schiavo, A., Nicora, F., & Boragno, C. (2024). Modeling a Wave Energy Harvester for Supplying Data Buoys. Applied Sciences, 14(16), 7019. https://doi.org/10.3390/app14167019

Note that from the first issue of 2016, this journal uses article numbers instead of page numbers. See further details here.

Article Metrics

Back to TopTop