Analysis of the Characteristics and Mechanism of Spatial and Temporal Changes in Net Primary Productivity (NPP) in Northwest Liaoning Province
Abstract
1. Introduction
2. Materials and Methods
2.1. Geographic and Climatic Context of the Study Region
2.2. Sources and Processing of Data
2.2.1. Data on NPP
2.2.2. Meteorological Data
2.2.3. Soil Type Data
2.2.4. Data on Land Usage
2.2.5. DEM Data
2.3. Research Methods
2.3.1. Trend Analysis and Significance
2.3.2. Correlation Analysis
Partial Correlation Analysis
Complex Correlation Analysis
NPP-Driven Partitioning
2.3.3. One-Way Linear Regression Analysis
2.3.4. Data Verification
3. Results
3.1. Characteristics of Spatial and Temporal Changes in NPP
3.1.1. General Characteristics of NPP in the Study Area
3.1.2. Characteristics of Interannual Changes in NPP Values
3.1.3. Characteristics of Spatial Change in NPP
3.2. Mecahnism of the NPP Change
3.2.1. Impact of Climate Change on NPP
Characteristics of Interannual Changes in Meteorological Factors
Complex Correlation Analysis
Spatial Division of NPP Driving Factors
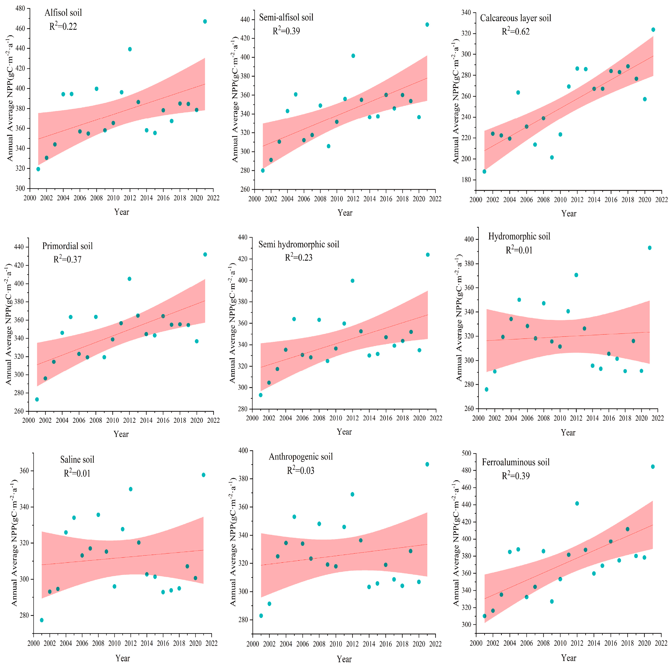
3.2.2. NPP Variation Characteristics of Different Soil Types
3.2.3. Impact of Human Activities on NPP
Characteristics of Changes in NPP of Different Land Use Types
Impact of Land Use Change on NPP
4. Discussion
5. Conclusions
Author Contributions
Funding
Institutional Review Board Statement
Informed Consent Statement
Data Availability Statement
Conflicts of Interest
References
- Chen, W.; Li, G.; Wang, D.; Yang, Z.; Wang, Z.; Zhang, X.; Peng, B.; Bi, P.; Zhang, F. Influence of the ecosystem conversion process on the carbon and water cycles in different regions of China. Ecol. Indic. 2023, 148, 110040. [Google Scholar] [CrossRef]
- Xie, L.; Bai, Z.; Yang, B.; Fu, S. Simulation Analysis of Land-Use Pattern Evolution and Valuation of Terrestrial Ecosystem Carbon Storage of Changzhi City, China. Land 2022, 11, 1270. [Google Scholar] [CrossRef]
- Liu, K.; Zhang, H.; Kong, L.; Qiao, Y.; Hu, M. An overview of terrestrial ecosystem carbon sink assessment methods towards achieving carbon neutrality in China. Acta Ecol. Sin. 2023, 43, 4294–4307. [Google Scholar]
- Duncanson, L.; Liang, M.; Leitold, V.; Armston, J.; Moorthy, S.M.K.; Dubayah, R.; Costedoat, S.; Enquist, B.J.; Fatoyinbo, L.; Goetz, S.J.; et al. The effectiveness of global protected areas for climate change mitigation. Nat. Commun. 2023, 14, 2908. [Google Scholar] [CrossRef] [PubMed]
- Liu, Q.; Yang, D.; Cao, L.; Anderson, B. Assessment and Prediction of Carbon Storage Based on Land Use/Land Cover Dynamics in the Tropics: A Case Study of Hainan Island, China. Land 2022, 11, 244. [Google Scholar] [CrossRef]
- Fan, W.; Wu, H.; Fan, F. Spatial-temporal variation of net primary productivity and its influencing factors in Tibet over past 20 years. Bull. Soil Water Conserv. 2022, 42, 378–386. [Google Scholar]
- Sun, H.; Wang, C.; Niu, Z. Analysis of the vegetation cover change and the relationship between NDVI and environmental factors by using NOAA time series data. J. Remote Sens. 1998, 2, 204–210. [Google Scholar]
- Liu, Y.; Yang, Y.; Wang, Q.; Khalifa, M.; Zhang, Z.; Tong, L.; Li, J.; Shi, A. Assessing the Dynamics of Grassland Net Primary Productivity in Response to Climate Change at the Global Scale. Chin. Geogr. Sci. 2019, 29, 725–740. [Google Scholar] [CrossRef]
- Cleveland, C.C.; Houlton, B.Z.; Smith, W.K.; Marklein, A.R.; Reed, S.C.; Parton, W.; Del Grosso, S.J.; Running, S.W. Patterns of new versus recycled primary production in the terrestrial biosphere. Proc. Natl. Acad. Sci. USA 2013, 110, 12733–12737. [Google Scholar] [CrossRef] [PubMed]
- Lieth, H. Methods of Assessing Terrestrial Productivty. In Primary Productivity of the Biosphere; Springer: New York, NY, USA, 1975. [Google Scholar]
- Fang, J.; Ke, J.; Tang, Z.; Chen, A. Implications and Estimations of four Terrestrial Productivity Parameters. Acta Phytoecol. Sin. 2001, 25, 414. [Google Scholar]
- Running, S.W.; Nemani, R.R.; Heinsch, F.A.; Zhao, M.; Reeves, M.; Hashimoto, H. A Continuous Satellite-Derived Measure of Global Terrestrial Primary Production. BioScience 2004, 54, 547. [Google Scholar] [CrossRef]
- Schoen, D. Primary productivity: The link to global health. Bioscience 1997, 47, 477–480. [Google Scholar] [CrossRef][Green Version]
- Gao, Y.; Yu, G.; Zhang, L.; Liu, M.; Huang, M.; Wang, Q. The changes of net primary productivity in Chinese terrestrial ecosystem: Based on process and parameter models. Prog. Geogr. 2012, 31, 109–117. [Google Scholar]
- Wang, Z.; Li, D. Spatial-temporal distribution of vegetation net primary productivity and its driving factors from 2000 to 2015 in Shaanxi, China. Chin. J. Appl. Ecol. 2018, 29, 1876–1884. [Google Scholar]
- Li, C.; Zhao, J. Spatiotemporal variations of vegetation NPP and related driving factors in Shiyang Riverbasin of Northwest China in 2000-2010. Chin. J. Ecol. 2013, 32, 712–718. [Google Scholar]
- Guo, Z.; Wang, Z.; Zhang, B.; Liu, D.; Yang, G.; Song, K.; Li, F. Analysis of Tempora-l Spatial Characteristics and Factors Influencing Vegetation NPP in Northeast China from2000 to 2006. Resour. Sci. 2008, 30, 1226–1235. [Google Scholar]
- Chen, Y. The Response of Forest Productivity and Carbon Storage to Landscape Pattem Change in Three Gorges Reservoir Area. Ph.D. Thesis, Chinese Academy of Forestry, Beijing, China, 2017. [Google Scholar]
- Chen, J.; Shao, Z.; Huang, X.; Zhuang, Q.; Dang, C.; Cai, B.; Zheng, X.; Ding, Q. Assessing the impact of drought-land cover change on global vegetation greenness and productivity. Sci. Total Environ. 2022, 852, 158499. [Google Scholar] [CrossRef] [PubMed]
- Liu, Z.; Zhou, D.; Lu, H.; Fan, J.; Zhang, L. Comparison of Three Remote Sensing Indices in Revealling the Vegetation Growth Dynamics in Nepal from 2000 to 2020. Environ. Sci. 2024; accepted. [Google Scholar]
- Wang, L.; Wei, W. Variation characteristics of water cycle and its effect on NPP in arid regions of China. Chin. J. Ecol. 2022, 41, 703–713. [Google Scholar]
- Gang, C.; Zhang, Y.; Wang, Z.; Chen, Y.; Yang, Y.; Li, J.; Cheng, J.; Qi, J.; Odeh, I. Modeling the dynamics of distribution, extent, and NPP of global terrestrial ecosystems in response to future climate change. Glob. Planet. Change 2017, 148, 153–165. [Google Scholar] [CrossRef]
- Alireza, K.; Mahmood, K.; Mohsen, H. Spatial-temporal analysis of net primary production (NPP) and its relationship with climatic factors in Iran. Environ. Monit. Assess. 2020, 192, 718. [Google Scholar]
- Li, H.; Ding, J.; Zhang, J.; Yang, Z.; Yang, B.; Zhu, Q.; Peng, C. Effects of Land Cover Changes on Net Primary Productivity in the Terrestrial Ecosystems of China from 2001 to 2012. Land 2020, 9, 480. [Google Scholar] [CrossRef]
- Liu, Y.; Zhou, R.; Wen, Z.; Khalifa, M.; Zheng, C.; Ren, H.; Zhang, Z.; Wang, Z. Assessing the impacts of drought on net primary productivity of global land biomes in different climate zones. Ecol. Indic. 2021, 130, 108146. [Google Scholar] [CrossRef]
- Zhao, D.; Jia, W.; Liu, J. Dynamic Changes and Driving Mechanisms of Net Primary Production (NPP) in a Semi-Arid Region of China. Sustainability 2023, 15, 11829. [Google Scholar] [CrossRef]
- Xi, Z.; Chen, G.; Xing, Y.; Xu, H.; Tian, Z.; Ma, Y.; Cui, J.; Li, D. Spatial and temporal variation of vegetation NPP and analysis of influencing factors in Heilongjiang Province, China. Ecol. Indic. 2023, 154, 110798. [Google Scholar] [CrossRef]
- Xue, M.; Chen, Y.; Yan, M.; Li, Z.; Wang, X.; Xu, H.; Zhang, Z.; Tian, X. Simulation and spatio-temporal variation analysis of net primary productivity in Northeast China. J. Fuzhou Univ. (Nat. Sci. Ed.) 2018, 46, 821–830. [Google Scholar]
- Qiu, Y.; Fan, D.; Zhao, X.; Sun, W. Spatio-temporal changes of NPP and its responses to phenology in Northeast China. Geogr. Geo-Inf. Sci. 2017, 33, 21–27. [Google Scholar]
- Liu, Z.; Yang, J.; Ma, L.; Ke, Z.; Hu, Y.; Yan, X. Spatial-temporal trend of grassland net primary production and their driving factors in the Loess Plateau, China. Chin. J. Appl. Ecol. 2021, 32, 113–122. [Google Scholar]
- Dong, X.; Yao, H.; Dai, J.; Zhu, M. Phenological changes of desert steppe vegetation and its effect on net primary productivity in Inner Mongolia from 2000 to 2017. Prog. Geogr. 2020, 39, 24–35. [Google Scholar] [CrossRef]
- Yang, D.; Wang, X. Contribution of climatic change and human activities to changes in net primary productivity in the Loess Plateau. Arid. Zone Res. 2022, 39, 584–593. [Google Scholar]
- Naeem, S.; Zhang, Y.; Tian, J.; Qamer, F.; Latif, A.; Paul, P. Quantifying the impacts of anthropogenic activities and climate variations on vegetation productivity changes in China from 1985 to 2015. Remote Sens. 2020, 12, 1113. [Google Scholar] [CrossRef]
- Zheng, S.; Li, D.; Guo, C.; Ning, R. Analysis of wind erosion in northwest area of Liaoning Province. Res. Soil Water Conserv. 2015, 22, 138–142. [Google Scholar]
- Wang, G.; Zhang, H. Spatial flow and radiation effect of sand-fixing service in Northwest Liaoning Province. J. Ecol. Rural. Environ. 2023, 39, 52–59. [Google Scholar]
- Ge, Y.; Li, Q.; Chu, L.; Sun, Y. Temporal and spatial analysis on drought events in northwest of Liaoning based on adjusted Z-Index. J. Irrig. Drain. 2013, 32, 133–136. [Google Scholar]
- Gao, Z.; Liu, J.; Cao, M. Impacts of land use and climate change on regional net primary productivity. Acta Geogr. Sin. 2004, 59, 581–591. [Google Scholar]
- GB/T 21010—2007; Classification Standards for Land Use Status in the Second National Land Survey. Standards Press of China: Beijing, China, 2007.
- Mohamed, M.; Babiker, I.; Chen, Z.; Ikeda, K.; Ohta, K.; Kato, K. The role of climate variability in the inter-annual variation of terrestrial net primary production (NPP). Sci. Total Environ. 2004, 332, 123–137. [Google Scholar] [CrossRef] [PubMed]
- Li, X.; Ji, F.; Li, X.; Wen, R.; Wang, X.; Sun, B.; Lan, H. Quantitative analysis of the influence of climate change on NDVI in the growing season from 1998 to 2020 in Northwest Liaoning. Chin. J. Ecol. 2024; accepted. [Google Scholar]
- Jia, Z.; Guo, L.; Cui, S.; Fu, Q.; Liu, D. Spatial-temporal evolution of NPP and its response to extreme climate in Songhua River basin. South-to-North Water Transf. Water Sci. Technol. 2024, 22, 131–147. [Google Scholar]
- Nemani, R.; Keeling, C.; Hashimoto, H.; Jolly, W.; Piper, S.; Tucker, C.; Myneni, R.; Running, S. Climate-driven increases in global terrestrial net primary production from 1982 to 1999. Science 2003, 300, 1560–1563. [Google Scholar] [CrossRef] [PubMed]
- Zarei, A.; Chemura, A.; Gleixner, S.; Hoff, H. Evaluating the grassland NPP dynamics in response to climate change in Tanzania. Ecol. Indic. 2001, 125, 107600. [Google Scholar] [CrossRef]
- Jia, J.; Liu, H.; Lin, Z. Multi-time scale changes of vegetation NPP in six provinces of northwest China and their responses to climate change. Acta Ecol. Sin. 2019, 39, 5058–5069. [Google Scholar]
- Zhu, B. Research on the Response of Vegetation to Climate Change and Human Activities on the Qinghai-Tibet Plateau. Master’s Thesis, Nanjing Forestry University, Nanjing, China, 2021. [Google Scholar]
- Cui, L.; Du, H.; Shi, J.; Chen, Z.; Guo, W. Spatial and temporal pattern of vegetation NPP and its relationship with climate in the Southeastern China. Sci. Geogr. Sin. 2016, 36, 787–793. [Google Scholar]
- Xu, Y.; Lu, Y.; Dai, Q.; Zhao, C.; Huang, W.; Chen, T.; Zhang, Y. Assessment of the relative contribution of climate change and land use change on net primary productivity variation in the middle and lower reaches of the Yangtze river basin. China Environ. Sci. 2023, 43, 4988–5000. [Google Scholar]
- Yang, Y. Spatio-Temporal Change of Net Primary Productivity in Guizhou and Its Correlationship with Meteorologic Factors. Master’s Thesis, Southwest University, Chongqing, China, 2009. [Google Scholar]
- Zhu, W.; Pan, Y.; Liu, X.; Wang, A. Spatio-temporal distribution of net primary productivity along the Northeast China Transect and its response to climatic change. J. For. Res. 2006, 17, 93–98. [Google Scholar] [CrossRef]












| Annual Average NPP Driving Type | T-Test (Temperature) | T-Test (Precipitation) | F-Test |
|---|---|---|---|
| Strong driving force of temperature and precipitation | |||
| Mainly driven by temperature | / | ||
| Mainly driven by precipitation | / | ||
| Weakly driven by temperature and precipitation | |||
| Non-climate-driven | / | / |
| Confidence Level | 2001 | 2002 | 2003 | 2004 | 2005 | 2006 | 2007 | 2008 | 2009 | 2010 | 2011 |
| High | 86.64 | 88.66 | 77.87 | 82.93 | 90.77 | 90.02 | 89.22 | 81.08 | 92.86 | 77.30 | 91.61 |
| Medium | 13.32 | 11.30 | 22.02 | 17.03 | 9.17 | 9.88 | 10.71 | 18.84 | 7.07 | 22.62 | 8.31 |
| Low | 0.04 | 0.04 | 0.11 | 0.04 | 0.06 | 0.10 | 0.07 | 0.08 | 0.07 | 0.08 | 0.08 |
| Confidence Level | 2012 | 2013 | 2014 | 2015 | 2016 | 2017 | 2018 | 2019 | 2020 | 2021 | |
| High | 96.14 | 85.49 | 75.70 | 76.56 | 95.50 | 92.05 | 90.71 | 95.87 | 95.66 | 78.44 | |
| Medium | 3.78 | 14.41 | 24.17 | 23.36 | 4.42 | 7.85 | 9.17 | 4.02 | 4.22 | 21.44 | |
| Low | 0.08 | 0.10 | 0.13 | 0.08 | 0.08 | 0.1 | 0.12 | 0.11 | 0.12 | 0.14 |
| Land Use Type | Annual Average NPP (gC·m−2·a−1) | Annual Total NPP (TgC) | |||||
|---|---|---|---|---|---|---|---|
| 2001 | 2011 | 2021 | Average Value | 2001 | 2011 | 2021 | |
| Cultivated land | 289.5 | 362.6 | 428.2 | 360.1 | 11.6 | 14.4 | 17.1 |
| Forest land | 328.8 | 404.5 | 505.5 | 412.9 | 3.0 | 4.2 | 5.2 |
| Grassland | 285.7 | 365.2 | 457.5 | 369.5 | 2.3 | 2.4 | 2.6 |
| Water | 241.8 | 271.1 | 300.0 | 271.0 | 0.1 | 0.1 | 0.1 |
| Built-up land | 282.7 | 346.0 | 408.7 | 345.8 | 1.3 | 1.8 | 2.4 |
| Unused land | 235.6 | 299.5 | 365.0 | 300.1 | 0 | 0 | 0 |
| Time Period | Land Use Type | Cultivated Land | Forest Land | Grassland | Water | Built-up Land | Unused Land | Total Land Changed |
|---|---|---|---|---|---|---|---|---|
| 2001–2011 | Cultivated land | 272.3 | 10.8 | 7.1 | −0.2 | 5.3 | 0 | 295.3 |
| Forest land | 1.5 | 63.3 | 1.0 | 0 | 0.1 | 0 | 65.8 | |
| Grassland | 11.3 | 11.2 | 42.9 | 0 | 1.0 | 0 | 66.4 | |
| Water | 0.6 | 0 | 0 | 0.7 | 0.5 | 0 | 1.9 | |
| Built-up land | 3.2 | 0.3 | 0.3 | −0.1 | 25.5 | 0 | 29.3 | |
| Unused land | 0.1 | 0 | 0.1 | 0 | 0.1 | 0.3 | 0.7 | |
| Total transferred | 289.0 | 85.6 | 51.4 | 0.4 | 32.6 | 0.4 | ||
| 2011–2021 | Cultivated land | 243.34 | 6.9 | 8.2 | −0.6 | 5.0 | 0 | 263.0 |
| Forest land | 2.1 | 90.8 | 1.9 | 0 | 0 | 0 | 94.8 | |
| Grassland | 8.0 | 11.9 | 40.7 | 0 | 0.5 | 0 | 61.1 | |
| Water | 0.9 | 0 | 0 | 0.8 | 0.7 | 0 | 2.5 | |
| Built-up land | 5.0 | 0.6 | 0.4 | −0.2 | 27.9 | 0 | 33.7 | |
| Unused land | 0 | 0 | 0 | 0 | 0 | 0 | 0.1 | |
| Total transferred | 259.4 | 110.2 | 51.3 | 0 | 34.2 | 0 |
Disclaimer/Publisher’s Note: The statements, opinions and data contained in all publications are solely those of the individual author(s) and contributor(s) and not of MDPI and/or the editor(s). MDPI and/or the editor(s) disclaim responsibility for any injury to people or property resulting from any ideas, methods, instructions or products referred to in the content. |
© 2024 by the authors. Licensee MDPI, Basel, Switzerland. This article is an open access article distributed under the terms and conditions of the Creative Commons Attribution (CC BY) license (https://creativecommons.org/licenses/by/4.0/).
Share and Cite
Wang, T.; Zhang, W. Analysis of the Characteristics and Mechanism of Spatial and Temporal Changes in Net Primary Productivity (NPP) in Northwest Liaoning Province. Appl. Sci. 2024, 14, 6762. https://doi.org/10.3390/app14156762
Wang T, Zhang W. Analysis of the Characteristics and Mechanism of Spatial and Temporal Changes in Net Primary Productivity (NPP) in Northwest Liaoning Province. Applied Sciences. 2024; 14(15):6762. https://doi.org/10.3390/app14156762
Chicago/Turabian StyleWang, Tianyi, and Wei Zhang. 2024. "Analysis of the Characteristics and Mechanism of Spatial and Temporal Changes in Net Primary Productivity (NPP) in Northwest Liaoning Province" Applied Sciences 14, no. 15: 6762. https://doi.org/10.3390/app14156762
APA StyleWang, T., & Zhang, W. (2024). Analysis of the Characteristics and Mechanism of Spatial and Temporal Changes in Net Primary Productivity (NPP) in Northwest Liaoning Province. Applied Sciences, 14(15), 6762. https://doi.org/10.3390/app14156762
