Next Article in Journal
Temperature Behavior in Headlights: A Comparative Analysis between Battery Electric Vehicles and Internal Combustion Engine Vehicles
Previous Article in Journal
Prediction of Network Security Situation Based on Attention Mechanism and Convolutional Neural Network–Gated Recurrent Unit
 
 
Font Type:
Arial Georgia Verdana
Font Size:
Aa Aa Aa
Line Spacing:
Column Width:
Background:
Article

Correction of Aero-Optical Effect with Blow–Suction Control for Hypersonic Vehicles

College of Aerospace Engineering, Nanjing University of Aeronautics and Astronautics, Nanjing 210016, China
*
Authors to whom correspondence should be addressed.
Appl. Sci. 2024, 14(15), 6653; https://doi.org/10.3390/app14156653
Submission received: 13 June 2024 / Revised: 25 July 2024 / Accepted: 26 July 2024 / Published: 30 July 2024
(This article belongs to the Section Aerospace Science and Engineering)

Abstract

High-speed turbulence induces significant aero-optical effects that severely disrupt the functionality of imaging systems of hypersonic vehicles. In this study, the aero-optical correction of various jet cooling modes is investigated using a Terminal High Altitude Area Defense (THAAD)-like seeker model and the imaging impact of high-speed flow field and flow control on the optical window is analyzed by the Delayed Detached Eddy Simulation (DDES) method. The findings reveal that a jet mode parallel to the window exhibits better cooling effectiveness compared to a perpendicular jet mode along the body axis; however, it introduces additional wavefront distortion, leading to degraded imaging quality. Although micro-vortex generators (MVGs) can reduce density fluctuations near the window from a refractive index perspective, they do not effectively mitigate wavefront distortion or improve window cooling efficiency. Finally, incorporating suction control, a comprehensive flow control solution, significantly improves the flow field structure near the window, resulting in a more uniform temperature distribution and reduced wavefront distortion. Applying this flow control method results in a 14.7% reduction in wavefront distortion at 3 Ma and an approximately 20% maximum value reduction at 5 Ma. This study proposes a novel and comprehensive flow control method to effectively mitigate the aero-optical effect in hypersonic flows, providing a new avenue for subsequent researchers in this field.

1. Introduction

When a missile flies at high speed in the atmosphere, the optical guidance hood of the missile interacts strongly with the surrounding gas, resulting in the formation of turbulent boundary layers, shock waves, and expansion waves around the optical hood. These complex flow structures create density gradients in the flow field outside the missile hood. When the missile-borne imaging system captures and identifies targets while tracking them, light waves passing through this non-uniform refractive index gradient in the flow field cause optical distortion, leading to the migration, blurring, jittering, and energy attenuation of the target images. This phenomenon is known as aero-optical effect [1,2]. However, during high-speed flight, aero-thermal factors cause a rapid rise in temperature on the outer surface of the optical window of an optical seeker. This leads to a gradient distribution and may cause shape change or even structural damage of the optical window [3]. Therefore, it is crucial to develop effective cooling measures for hypersonic vehicles’ optical windows to reduce aerodynamic thermal radiation effects and improve optical imaging.
In recent years, there has been increasing attention to aero-optical effects due to the development of airborne laser communication platforms, high-speed missiles with optical seekers, and laser weapon systems. The correction of aero-optical effects mainly focuses on flow control and image processing. Many scholars have made significant advancements in the correction of aero-optical effects within the mixing layer [4,5]. Xu et al. [6,7] proposed a backward ray-tracing method for the aero-optics simulation of a typical blunt-nosed vehicle, which has improved the convenience of calculation. Guo et al. [8,9,10] conducted an extensive investigation into the temporal and spatial development of the supersonic mixing layer and proposed a correction strategy through flow control by periodic pulse forcing.
In 1966, GoldStein [11,12,13] provided a definitive elucidation of jet cooling, while also investigating the empirical formulation for gas film cooling efficiency and the impact of slit shape on gas film cooling. Wyckham and Smits [14] used a two-dimensional Shack–Hartmann wavefront sensor to study aero-optical distortion in turbulent boundary layers at transonic and hypersonic speeds, with and without gas injection. Banakh et al. [15] analyzed the characteristics of optical beams propagating through a shock wave resulting from supersonic motion of a conical body in a turbulent atmosphere. It was shown that the aero-optical effects caused by a shock wave are suppressed with an increase in optical turbulence. Guo et al. [16] used the ray tracing method to study the effects of different altitudes, attack angles, beam incidence angles, and Mach numbers on beam propagation in the study of aero-optics effects caused by the flow field around hypersonic vehicles in near-space. It was found that the aero-optical effects become more serious in the presence of jet compared to the absence of jet. Later, Fan et al. [17] investigated the influence of altitude on aero-optic imaging quality degradation of the hemispherical optical dome. The results showed that under the same flight conditions, with the increase in altitude, the peak signal-to-noise ratio (PSNR) of the distorted image and the SR result increased, and the radiuses of dispersion spots, including 80% energy, decreased. Lee et al. [18,19] investigated the aero-optics of the external jet cooling and shock wave in a shock-wave wind tunnel. Moreover, Xing [20] employed the DSMC method to investigate the impact of different jet modes on aero-optics-induced image migration, and the results demonstrated that the horizontal jet mode yields superior results in terms of window cooling. Experimental research conducted by Ding et al. [21] revealed that the utilization of micro-vortex generators has significantly contributed to enhancing wavefront stability.
To summarize, it is evident that previous studies have employed a relatively simplistic experimental method, with limited involvement of hypersonic speeds in numerical simulations of Mach numbers. In the context of aero-optical effects at higher Mach numbers, there is a dearth of numerical simulations with enhanced precision and more efficient jet cooling strategies. Furthermore, there is a lack of an effective measure to mitigate the additional wavefront distortion introduced by jet injection. To address this research gap, the present study employs the DDES method to accurately simulate the flow field. Additionally, a comprehensive blowing–suction flow control approach with MVGs is proposed for correcting aero-optical distortions, thereby effectively mitigating wavefront aberration. The proposed method improves the uniformity of temperature distribution across the optical window, effectively mitigating the impact of aerothermal effects and offering a novel solution for aero-optical correction.
The remainder of this paper is organized as follows: In Section 2.1, a seeker model similar to THAAD (Terminal High Altitude Area Defense) is proposed as the basis for all subsequent studies. In Section 2.2, a series of correction methods for aero-optical effects are presented. In Section 3, the evaluation parameters for aero-optical effects are introduced, followed by a presentation of the governing equations of the numerical method. In Section 3.3 and Section 3.4, the numerical method validation and grid-independent analysis are carried out. Section 4 compares the influence of different jet modes on both window cooling and the formation of flow field structures near the window. The impact on aero-optical effect correction is then examined through comparison after incorporating MVGs. Furthermore, Section 4.3 investigates changes in refractive index within the flow field and explores improvements in imaging effects resulting from blow–suction control. Finally, the conclusions drawn from this paper are summarized in Section 5.

2. Physical Model and Correction Method

2.1. THAAD-like Seeker Model

As the aircraft’s speed increases, the aerodynamic heat of the optical window also in-creases. Elevated temperatures can lead to two issues: firstly, they can result in significant thermal radiation noise, which affects the normal functioning of the detection system; secondly, they may cause cracks in the optical window due to thermal stress. Therefore, when designing a hypersonic infrared imaging seeker, it is essential to consider various design factors, such as the imaging guidance system, aero-optical effects, head-heat protection, infrared window and aerodynamic resistance. These design requirements should be combined effectively. To mitigate the pneumatic heating’s impact on the optical window and reduce challenges in refrigeration system design, a cooling method utilizing side recess windows is employed to lower the temperature of the optical window.
The seeker’s optical window retains a concave structure, similar to that of the THAAD model, as shown in Figure 1a, with a recessed height of δ = 4 mm, due to airflow passage, and a slope length of 5.7 mm connecting its outer surface to the seeker wall. The dimensions for the optical window itself are 200 mm in length and 60 mm in width. Additional dimensions for other parts of the window model are illustrated in Figure 1b below. Positioned on top of the missile body, this optical window is located on its leeward side when flying at an angle of direct attack. Sapphire is selected as the optical window material, and its physical properties are shown in Table 1 below.

2.2. Correction Method

In order to cool the optical seeker’s window, two different jet cooling methods are employed. The low temperature jet separates the optical window from the high-temperature incoming flow, effectively cooling it. The cooling nozzle is positioned upstream of the window, at a slope angle of 15° with respect to the projectile body axis, as depicted in Figure 2 below.
The direction of the cooling jet is indicated by the red arrow. For selecting an appropriate jet medium, low-temperature nitrogen is chosen due to its easy availability and relatively low cost, with a jet temperature set to 77 K. The incoming flow conditions consist of air at Mach numbers of 3 and 5, a specific heat ratio of 1.4, and the wall temperature maintained at 300 K. Other detailed parameters, such as static pressure and static temperature can be found in Table 2.
As previously mentioned, the key aspect in suppressing the aero-optical effect lies in mitigating density pulsations. Currently, there are two primary approaches: one involves reducing the intensity of density pulsations through cooling; and the other aims to disintegrate large-scale vortex structures into smaller ones via flow control, thereby diminishing the intensity of density pulsations [21]. In this study, we will investigate the corrective impact of the latter method on aero-optical effects. The model employed remains based on the THAAD-like seeker model described above, with a series of MVGs positioned 4 mm upstream from the window, as depicted in Figure 3. The dimensions of the MVGs are indicated in Figure 3, with a spacing of 1 mm between adjacent MVGs, as denoted in the lower right corner.
In order to further optimize the flow field structure near the optical window, a suction device is introduced at the compression corner adjacent to the window end, aiming to investigate whether it can enhance the light transmission performance of the flow field. The blow–suction control diagram is depicted in Figure 4 below.
According to relevant references [23], the upper limit of the total mass of the cooling gas is 1 kg, and the time interval from the beginning of pneumatic heating to hitting the target is 10~20 s when the hood is removed. Therefore, in this section, where jet cooling research is conducted, a maximum jet flow rate of 0.05 kg/s should be used. Among other parameters, Ma represents the incoming Mach number, P0 represents the incoming pressure at this height, T0 represents the local static temperature, Pj represents the cooling jet pressure, and mj represents the jet flow of a specific jet mode. An insufficient coverage of concave windows by low-pressure jets may occur when using small nozzle flow rates. Additionally, if there is too much difference between the internal and external pressures, causing low jet pressure values, reflux can occur at the nozzles, preventing proper expulsion of gas. Conversely, high-pressure jets may not effectively cover entire surfaces of optical windows, with low-temperature gases resulting in localized high-temperature areas near the cavities above the windows. This occurs because, after passing through concave windows, high-speed and intense friction generate these hotspots, as they meet incoming gases. The higher gas pressure within the jets leads to larger temperature values for those hotspots closer to optical windows. Furthermore, increasing jet pressure results in greater heat flux values on optical windows, along with increased air-medium-wall friction, leading to elevated temperatures on optical window surfaces. Therefore, it is important to set appropriate parameters for jets, based on the pressure matching method found in the literature [21], in order to achieve optimal cooling effects. The flow field parameters presented in Table 2 demonstrate a comparative analysis of various methods for correcting the aero-optical effects in this paper.

3. Methods and Validation

The optical transmission performance in this study is primarily assessed based on the flowchart depicted in Figure 5 below. Initially, a model similar to THAAD is created and meshed, followed by precise calculation of its flow field. Once the fine outflow field is obtained, the aero-optical program accesses the grid refractive index matrix of the study area. By inputting the coordinates of the initial incident point and incident angle, the principal program of geometric optics determines whether or not the incident point falls within the calculation area and calculates its corresponding grid number based on its coordinates. Interpolation is then used to calculate refractive indices (n0 and n1) at both incident light and refracted light locations within their respective grids, while applying refraction law to determine if light reaches the surface of an optical window by crossing into another grid boundary. If it fails to reach said surface, the tracing process for the aforementioned light will be repeated accordingly. Finally, once it does reach said surface, the tracing process concludes with outputting the evaluation parameters pertaining to aero-optical effects. A detailed introduction to the evaluation parameters for aero-optical effect assessment, as well as the flow field calculation method are provided below.

3.1. Evaluation Parameters for Aero-Optical Effect

From a physical point of view, the aero-optical effect is essentially a phenomenon of fluid–optical interaction occurring in an optically turbulent flow such as a mixing layer over an optical window, as shown in Figure 6 (Schematic diagram of aero-optical effects).
The distance a beam travels in a flow field is usually expressed as an optical path length (OPL). The OPL is calculated based on geometric optics theory and can be obtained using the ray-tracing method, which mainly assumes that the rays composing the beam propagate through a grid, and that a single grid is taken to be a cell with an isotropic homogeneous fluid inside. For an arbitrary ray, its OPL can be expressed as the following equation [24]:
O P L = n i L i
where ni is refractive index of the fluid in the i-th grid on the ray transmission path, Li is the ray transmission distance in the i-th grid, and the refractive index of the fluid can be converted from its density by the Gladstone–Dale relation, as follows:
n = 1 + ρ K G D
K G D = 2.2244 × 10 4 1 + 4.51 × 10 3 λ 2
where n is the refractive index, ρ the density, and KGD represents the Gladstone–Dale coefficient that weakly depends on λ. With density expressed in m3/kg and wavelength expressed in μm, KGD can be approximately acquired by λ. In this study, the infrared image sensor is sensitive to wavelengths ranging from 3 to 5 μm, so a 4 μm wavelength was computed.
In practical applications, the optical path difference (OPD) is a quantity of more interest than the OPL, and moreover, it is easier to obtain, which is defined as follows:
O P D x , y , z , t = O P L x , y , z , t O P L x , y , z , t
where the angle brackets denote the spatial average of the OPLs of all rays, where OPDrms is the root mean square of the OPDs for all rays. From the equations listed above, it can be seen that the image deviation, BSE, and OPD are three key metrics to evaluate the aero-optical transmission effects, so all of them are used as evaluation parameters in this work. Figure 7 shows the distorted wavefronts, the <OPL>, and the OPD formed by the rays passing through the inhomogeneous flow field.
The difference in OPL directly indicates the extent of wavefront distortion. A larger OPD corresponds to a greater degree of wavefront distortion. By multiplying the wave number with the optical path difference, we can obtain a measure of the phase difference, which consequently reflects the degree of wavefront phase distortion, or simply put, the wavefront distortion itself. The formula below can be employed for quantifying wavefront distortion.
w x , y , z , t = 2 π λ O P D x , y , z , t

3.2. Numerical Simulation Method

The RANS method exhibits high computational efficiency but low-fidelity for turbulence simulation in practical engineering, while the LES method offers high-fidelity at the expense of computational efficiency. In order to accurately capture the flow structure of the outflow field of the optical window in the proposed seeker model with appropriate computational efficiency, the high-fidelity Detached Eddy Simulation (DES) method is used to numerically simulate the flow field around the optical window.
The SST-DES method is a DES hybrid method proposed by Strelets [25] in 2001 on the basis of the two-equation SST model, and its governing equations are as follows:
k t + U j k x j = 1 ρ P k β k ω F DES + 1 ρ x j μ + μ t σ k k x j
ω t + U j ω x j = 1 ρ P ω β ω 2 + 1 ρ x j μ + μ t σ ω x j + 2 1 F 1 1 σ ω 2 1 ω k x j ω x j
S D , k = β k ω F DES
where k and ω are the turbulent kinetic energy and specific dissipation rate; μt is the dynamic turbulent eddy viscosity coefficient. Pk and Pω are the generated terms of Equations (4) and (5), respectively. β*, σk, σω, σ ω 2 are the SST model’s constants. ρ is the density; FDES is the switching function of the SST-DES method, and its expression is as follows:
F DES = max L RANS C DES Δ , 1
The length scale of the RANS model, LRANS, is defined as LRANS = / (β*ω). The value of FDES is 1 in proximity to the wall and exceeds 1 further away from it. For additional details regarding other parameters and expressions in Equations (4)–(6), please refer to [26].
The SST-DDES method was proposed by Menter et al. [27]. The switching function of the SST-DES method was modified to reduce the dependence of the method on the grid. The switch function expression after its change is as follows:
F DDES = max 1 F SST L RANS C DES Δ , 1
In the formula, FSST is equal to F1 or F2, and F1 and F2 are the boundary layer identification functions inherent to the SST model, whose value range is similar to rd, and are the delay factors of the SST-DDES method.
r d = v t + v U i , j U i , j κ 2 d w 2
where vt is the moving eddy viscosity coefficient; v is the viscosity coefficient of moving molecules; κ is the Karman constant, with a value of 0.41. rd is approximately equal to 1 in the logarithmic layer, and then gradually decreases to 0 in the viscous top layer. This simulation employs the Roe scheme for spatial dispersion and the LU-SGS scheme for time advancement. The initial flow field is obtained through steady calculations, followed by unsteady calculations consisting of 20,000 steps, with a physical time step of 10−7 s.

3.3. Validation of Numerical Method

Although the geometric model of the step compression corner after supersonic flow is straightforward, the flow structure of separation and reattachment exhibits significant similarities with the flow field structure outside the window of future hypersonic seekers. As a numerical example, Settles’s [28] cavity compression corner model is selected as an experimental reference to verify the accuracy of the turbulence model and align with the flow problem studied in this paper. The step height h = 2.54 cm, the rear wall length l = 6.19 cm, and the compression corner angle θ = 20°. The mesh generated by the pointwise and geometric parameters is illustrated in Figure 8 below.
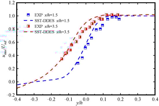
FLUENT (2023 R1) is a popular computational fluid dynamics (CFD) software, which has advanced numerical calculation methods. In this paper, FLUENT was used to calculate the temperature, velocity, and pressure distribution of the flow field. Under the working conditions of the wind tunnel test, the incoming Mach number is 2.92, the incoming flow temperature is 95.37 K, and the incoming pressure is 21.24 kPa. Initially, a steady flow field structure is obtained through steady calculation; subsequently, an unsteady flow field structure is acquired using the DDES method, with CDES = 0.78 and β* = 0.09, while employing the Roe format for the spatial discretization technique. LU-SGS performs time propulsion with physical time steps set at 3 × 10−7 s. The contour diagram of the time-averaged Mach number and eddy viscosity of the flow field is depicted in Figure 9, while Figure 10 illustrates the root-mean-square distribution of the flow velocity at stations x/h = 1.5 and x/h = 3.5.
It can be observed that at the x/h = 1.5 station, the position is situated within the cavity of the specimen, resulting in a complex flow structure. The velocity results obtained from the numerical simulation exhibit excellent agreement with the experimental values. At the x/h = 3.5 location, it is positioned on the wall of the compression corner, behind the cavity. In comparison to the flow inside the cavity, the flow structure here appears relatively simpler; however, the calculated values slightly exceed the test values at y/h = 0~0.5 range. To summarize, employing the SST-DDES method yields satisfactory RMS speed outcomes, and thus this this method can be used to study the problem in this paper.

3.4. Grid Independence Study

For complex flow phenomena, the selection of grid scale generally relies on the experience of basic flow models; however, more reliable results can be obtained through grid convergence analysis. The DDES method imposes high requirements on the mesh size, thus this section enhances the encryption of the flow field area near the window. The mesh density along the wall of the back step is increased, with a mesh scale close to the wall set at 50 μm. After encryption, there are approximately 700,000, 1 million, and 1.3 million grids near the window, respectively.
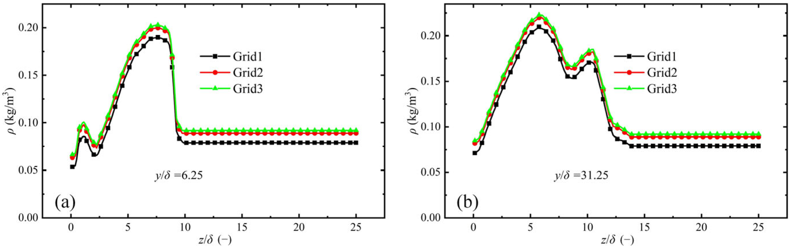
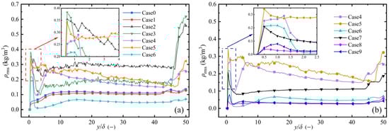
Firstly, three types of meshes with varying levels of encryption were utilized to compute the characteristics of the window flow field without jet flow, specifically referred to as the Case1 (Ma = 5, without jet) example. The grid independence was evaluated by analyzing the longitudinal density fluctuation in the flow field as an indicator. As illustrated in Figure 11, no significant disparity is observed in the pulsation trend among the three sets of numerically simulated grid results. From a magnification perspective, it can be noted that the sparse mesh fails to adequately capture detailed variations occurring at locations where the density changes more abruptly. Conversely, medium and refined meshes demonstrate superior capability in capturing and yielding similar outcomes for fluid dynamics.
The spanwise distribution of flow velocity in the shear layer formed by a cooling jet and distant incoming flow under the Case3 (Ma = 5, jet flow = 0.05 kg/s, θ = 15°) working condition is depicted in Figure 12. It can be observed that there is a significant variation in velocity along the spreading direction, with slightly lower speeds at the center compared to both ends of the window. Based on the calculation results obtained from three different density grids, it is found that the results obtained using medium-density and encrypted grids exhibit similarity, with a maximum error of 3 m/s, accounting for less than 1%. Therefore, for flow simulation near the optical window, employing medium and encrypted meshes is deemed feasible. In order to ensure accuracy while reducing computational efforts, this paper adopts a medium grid for subsequent calculations.

4. Results and Discussion

The main focus of this section is to investigate the temperature distribution of the optical window and analyze the impact of flow field on optical transport phenomena in the presence of jet flow, MVGs, and suction. Additionally, it discusses measures for correcting aero-optical effects through integrated flow control.

4.1. Aero-Optical Effect Correction with Jet Flow

This section focuses on investigating the impact of different jet modes on the aerodynamic heating effect of the seeker’s optical window and analyzing the disparities in aero-optical effects caused by two nozzle modes with varying orientations.
The thermal radiation of the infrared window is a crucial factor that limits infrared imaging. Therefore, the primary issue addressed by the cooling jet is the degradation of imaging quality caused by aerodynamic heat, resulting in a decrease in window temperature. Figure 13 illustrates the distribution of window temperature under four different operating conditions. Figure 13a represents the temperature distribution without jet cooling. As velocity increases, the flow field experiences stronger compression, leading to higher peak pressure and density on the optical window. Simultaneously, the shock layer at the front end of the hood becomes thinner, with a smaller shock angle. Due to this compression effect, as well as an increased flow-field temperature and heat flux on the optical window, the friction between the air medium and the wall intensifies, while imposing higher material requirements for optical windows with elevated wall temperatures. Consequently, higher speeds necessitate greater reliance on jet cooling to mitigate aerodynamic effects and safeguard optical windows from damage. It can be observed that at 5 Ma, aerodynamic heating causes an increase in window temperature up to 900 K. When the airflow encounters a step in its direction of flow, its velocity decreases, causing the conversion of kinetic energy into internal energy and a subsequent rise in temperature occurs. Upon leaving the optical window surface, encountering a compression corner further reduces the airflow speed while generating additional heat energy. Henceforth, this results in a high-low-high trend within the surface temperature distribution; however, these variations are minimal, with an approximate difference of only 30 K.
The temperature distribution of the window during jet cooling parallel to the window at a speed of 5 Ma is illustrated in Figure 13b. It is evident that an effective reduction in window temperature can be achieved when the jet flow rate is 0.05 kg/s, resulting in an average temperature decrease to 150 K. However, as the cooling gas gradually dissipates along the direction of flow due to its parallel nature with respect to the window, the cooling effect diminishes and consequently leads to a gradual increase in window temperature.
In Figure 13c, we observe the window temperature distribution when employing a perpendicular jet relative to the seeker axis under identical flight Mach number conditions. It becomes apparent that direct exposure of the cooling gas on the window surface is absent compared to the Case3 (θ = 15°) mode, resulting in a weaker reduction in window temperature. This discrepancy primarily arises from significant changes in incoming flow velocity, caused by expansion waves formed upon encountering vertical jets, leading to substantial reflux near the nozzle and dissipation of gas kinetic energy. Consequently, this results in inferior temperature drop effects compared to those observed with parallel jets. Figure 13d primarily investigates whether reducing jet flow has a notable impact on window cooling performance. As depicted in this figure, even when utilizing a reduced jet flow rate of 0.01 kg/s, there remains some degree of reduction in window temperature; however, due to limited amounts of cooling gas available at such low rates, rapid consumption occurs, along with diminishing effectiveness along the direction of flow.
Subsequently, the impact of different jet angles and flow rates on the reduction of window temperature is compared under decreased inlet pressure conditions, as depicted in Figure 14 below. Figure 14a illustrates the temperature distribution across the window when a jet flow rate of 0.05 kg/s is employed at Mach 5 flight speed and an altitude of 30 km. The figure clearly demonstrates a significant cooling effect on the window, with minimal temperature fluctuations, which can be attributed to reduced total pressure resulting in diminished external interference from cooling gas and facilitating efficient heat absorption near the window surface. In Figure 14b, where a perpendicular jet mode is utilized, it becomes evident that temperatures near the rear step are higher, due to vertical jets disrupting the normal free flow and causing increased separation zones, along with larger return regions at the back step, consequently leading to elevated temperatures. Excessive cooling gas carried downstream by free flow enhances cooling effectiveness for downstream windows compared to upstream positions. The temperature distribution of the window gradually increases in Figure 14c,d as the jet flows decrease, while still maintaining directionality towards flow progression. In summary, both jet modes improve the wall temperatures of windows compared to back-step flow fields without jets. Among them, tangentially parallel window jet cooling exhibits superior performance over vertical axis jet cooling.
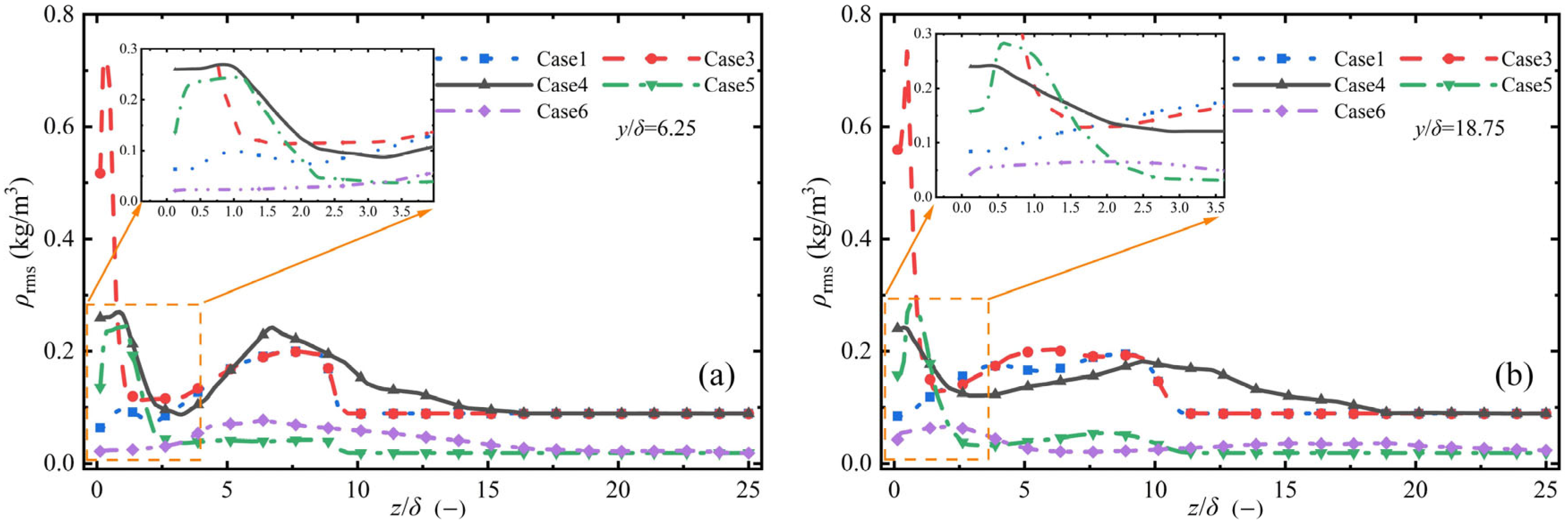
The objective of this section is to investigate the correction method for mitigating the aero-optical effect, which arises from the combined influence of temperature variations in the optical window wall and flow field development. Essentially, the aero-optical-induced optical transport effect is caused by density fluctuations in the flow field. In theory, suppressing density fluctuations in the flow field can effectively suppress the aero-optical effect. Figure 15 presents density pulsation information along the symmetric surface of the optical hood for different flow conditions. Based on our analysis, jet cooling proves effective in reducing aerodynamic heat radiation through windows. However, as shown in Figure 15a, under the Case0 and the Case1(without jet) conditions, there is minimal density pulsation, along with negligible additional disturbance effects. Conversely, after introducing jet flow (Case2 and Case3), due to disturbances induced by jet flow, density pulsations increase noticeably upstream within the flow mixing zone but rapidly decrease downstream, along with fluid motion directionality. Comparing Case4 (P = 5529) and Case6 (P = 1197) reveals that increasing flight altitude significantly reduces density fluctuation at identical Mach numbers. Figure 15b compares how decreasing jet flow affects density pulsation levels; it becomes evident that only reducing jet flow leads to significant reductions in density pulsation under similar jet patterns—thus indicating an expected weakening of aero-optical transmission effects as well. Further comparison between Case8 (θ = 15°) and Case9 (θ = 90°) demonstrates that changes in jet angle also result in reduced impact on fluid field densities owing to the cooling gas reduction.
The density pulsation information in the flow field is directly associated with the aero-optical effect problem. Figure 16 illustrates the RMS density distribution in the lateral direction of the optical window at y/δ = 6.25. Based on the aforementioned analysis, jet cooling proves effective in mitigating the aerodynamic heat radiation phenomena on the window surface. However, as depicted in Figure 16a, under the Case0 and Case1 (without jet) conditions, there is relatively uniform ρrms distribution in the lateral direction, with minimal influence from additional disturbances. Nevertheless, upon introducing jet flow (Case2 condition), significant density fluctuations are observed upstream of the flow mixing zone due to the disturbance caused by jet flow interaction. Figure 16b compares how reduced jet flow impacts density pulsation.
It can be observed that when comparing Case5 (jet flow = 0.05 kg/s) with Case8 (jet flow = 0.01 kg/s) under similar jet modes, reduced jet flow significantly diminishes density pulsation while also weakening aero-optical transmission effects accordingly. Furthermore, compared to Case8 (θ = 15°) and Case9 (θ = 15°), decreased gas injection leads to a reduction in ρrms, influenced by different jet modes.
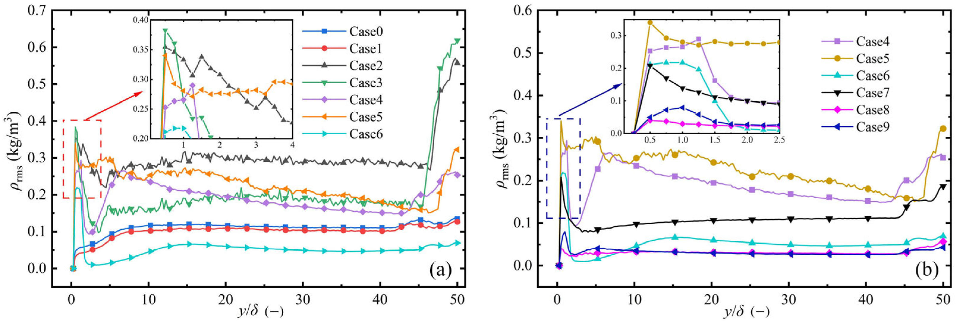
It can be seen from Figure 17 that the RMS of optical window density varies greatly along the longitudinal direction, mainly in the vicinity of the near-wall turbulent boundary layer and shock wave in the flow field. The parameters of the flow field in the turbulent boundary layer near the wall of the (high) supersonic flow field have a large gradient due to the influence of turbulence, so there will be a large deflection phenomenon when the ray passes through the flow field of the turbulent boundary layer. Since the density field of the (hypersonic) supersonic flow field has a great gradient when passing through the shock wave, the refractive index field determined by the density field will naturally have a large gradient near the shock wave, so the ray will also have a large deflection when passing through the shock wave.
The comparison of Case1 (without jet) and Case3 (jet flow = 0.05 kg/s) in Figure 17a shows that, due to the difference between the two conditions, only with or without jet flow, it can be seen that when the jet flow is tangent parallel to the window, a great gradient value appears near the window wall, and the root mean square of density rises sharply, reaching a maximum value of ρrms(max) = 0.7 kg/m3. It can be concluded that the light will have a large deflection here. However, after z/δ = 5, the ρrms values under the two conditions tend to be consistent due to the weakening of the near-wall flow field interference. Case4 (jet flow = 0.05 kg/s, θ = 90°) is the case of jet flow perpendicular to the axis, and the root mean square of density near the wall also has an extreme value of ρrms ≈ 0.27, but because it is upstream of the window, it is close to the shock wave. In Figure 17a, the dimensionless distance along the longitudinal direction is denoted as z/δ. Here, z/δ = 0 corresponds to the window surface, while z/δ ≈ 7 is in close proximity to the shock layer of the seeker’s outflow field. It can be observed that ρrms exhibits an extreme state under all working conditions at this location. Due to the perpendicular orientation of Case4 jet with respect to the seeker axis, the emitted cooling gas encounters and interacts with the shock layer of the seeker’s flow field, resulting in the formation of an interference structure. Consequently, the ρrms near the shock wave tends to be slightly larger compared to its state without jet.

4.2. Aero-Optical Effect Correction with Micro Vortex Generators (MVGs)

The temperature distribution of the optical window under Ma = 3 without jet cooling is compared in Figure 18 below. It can be observed that the temperature at the upstream position of the optical window is slightly higher with MVGs than without MVGs.
Overall, there is little difference in the surface temperature between the two windows, which also indicates that MVGs will not play a role in cooling the windows without jet cooling measures.
In order to directly compare the flow field with and without MVGs, Figure 19 illustrates the refractive index distribution near the optical window at Ma = 3 without jet cooling. Similarly, Figure 20 depicts the refractive index distribution near the optical window at Ma = 5 without jet flow. During high-speed flight, the flow field near the seeker undergoes compression into layers, resulting in air flow adherence to the seeker wall and the formation of a shock layer. The flow in the shock layer exhibits a narrow front and wide rear distribution. Considering the overall shape depicted in Figure 1a and the installation position shown in Figure 3 for MVGs, it can be concluded that their presence does not affect the bow shock wave present on the outer layer of the seeker. Additionally, due to turbulent boundary layer effects and associated low density, there is also a decrease in the refractive index near walls. However, regardless of whether Ma = 3 or Ma = 5, both cases exhibit similar distribution patterns for refractive indices without significant gradients.
The temperature distribution in the optical window with jet cooling (Ma = 3, flow jet = 0.05 kg/s) is compared in Figure 21, where (a) is without MVGs and (b) is with MVGs.
Due to the concave structure of the optical window, resistance is encountered when high-speed air flows through the vortex generator, resulting in a reduction in air velocity and transfer of heat from “extra” kinetic energy into the turbulent boundary layer, leading to a diminished cooling effect. The average surface temperature of the window with MVGs is approximately 30 K higher compared to that without MVGs, yet it generally satisfies the requirement for window cooling. However, the addition of MVGs results in a gradual increase in the window temperature distribution along the flow direction (Y-axis).
The introduction of the cooling jet leads to a highly non-uniform refractive index distribution within the investigate area, primarily characterized by slight variations along the flow direction parallel to the wall (y-axis). Along the direction perpendicular to the window surface (z-axis), there is an initial increase, followed by a decrease in refractive index distribution, as illustrated in Figure 22. The addition of jet gas significantly enhances the complexity of flow field structure, resulting in distinct shear layer, mixing layer, and turbulent boundary layer structures near the window. Furthermore, both density and density gradient experience substantial increments within the flow field. A comparison between Figure 22a,b reveals that after incorporating micro-vortex generators, the pulsations in proximity to the window are considerably reduced, as indicated by the red dashed circle in the figure below.
The comparison of temperature distribution in the optical window at Ma = 5 for jet cooling is illustrated in Figure 23 below. It can be observed that the addition of MVGs leads to a more uniform temperature distribution across the entire window, reducing the temperature difference between the highest and lowest points to only 4.5 K. In contrast, without MVGs, temperatures gradually increase along the flow direction, resulting in a significant difference of 42.8 K. This non-uniform temperature distribution induces stress-induced deformation in the window material, exacerbating both the elastic and aero-optical effects. Thus, it can be concluded that micro-vortex generators effectively enhance temperature uniformity within cooled jets.
The turbulent boundary layer plays a crucial role in generating the aero-optics effect. In flow fields with higher Mach numbers, the stratification of the flow field becomes more pronounced due to increased compressibility. As shown in Figure 24, the addition of MVGs can still inhibit the formation of large-scale vortex structures.
The comparison of wavefront aberration with and without MVGs is depicted in Figure 25 below. It can be observed from Case10 (Ma = 3, without jet, with MVGs) that MVGs do not modify the amplitude of wavefront distortion. This can be attributed to the fact that the overall density gradient in the shock layer remains unchanged during downstream airflow development, transitioning solely from a large-scale vortex structure to a small-scale one. Moreover, it demonstrates that passive flow control fails to effectively mitigate aero-optical-induced wavefront aberration.
After cooling with jet flow, it is evident that wavefront aberration increases uniformly along the flow direction, as depicted in Case2 (without MVGs). However, when MVGs are added, a series of “gullies” appear on the distorted surface due to their arrangement upstream of the window, as an array. The small vortices generated after airflow passes through MVGs affect optical transmission in the downstream flow field, leading to this phenomenon observed in Case11 (Ma = 3, jet flow = 0.05 kg/s, with MVGs). It is noteworthy that comparing Case0 (Ma = 3, without jet) and Case2 (Ma = 3, jet flow = 0.05 kg/s) reveals an overall improvement in wavefront distortion values after incorporating the jet flow. This finding further supports the notion that a significant portion of imaging distortion arises from contributions by mixed layers and turbulent boundary layers.
When investigating higher Mach numbers’ impact on wavefront distortion with added MVGs, it was found that the aforementioned “gully” phenomenon occurs due to their inclusion—resulting in waveform distortions seen under Case12 (Ma = 5, without jet, with MVGs) conditions. As Ma increases, relative to the results obtained under Case1 (Ma = 5, without jet, without MVGs) conditions, there is approximately a 21.7% decrease observed at peak distortions.

4.3. With Suction-Controlled Aero-Optical Effect Correction

According to the prediction, the implementation of inspiratory control will further suppress the development of large-scale vortex structures, resulting in a more flattened disturbed flow field near the window. The stratification along the z-axis will become more pronounced, and density fluctuations will be further reduced. In high Mach number flight, one of the primary challenges for optical detection is mitigating aerodynamic thermal radiation effects on optical windows. Figure 26 illustrates the temperature distribution across the window, with suction control applied. It can be observed that with or without MVGs, adding suction control to the compression corner downstream effectively maintains a low window temperature gradient. Compared to Figure 21b, there is an enhanced uniformity in the window temperature distribution achieved through this approach.
The spatial distribution of the density field in the vicinity of the hypersonic/supersonic optical window directly influences its optical detection performance. However, when employing jet cooling and inspiratory rectification in the optical window, it not only introduces complex flow field structures such as shock waves and expansion waves but also experiences influences from mixed layers and turbulent boundary layers, resulting in a more pronounced spatial non-uniformity in the density field. Therefore, studying the refractive index field derived from the density field becomes crucial. Figure 27 illustrates the distribution of refractive index near the optical window under blowing–suction refrigeration control. In this figure, due to inspiratory control at the downstream compression corner of the window, there is an absence of observed complex flow field structures. Comparing with Figure 22a and Figure 24a, the fluctuations in refractive index within the flow field are reduced while exhibiting a more distinct longitudinal distribution.
The disturbance of the flow field at the compression corner downstream of the window is clearly evident in Figure 28 below. However, it can be observed that the inspiratory control in other regions of the window at Ma = 3 does not significantly enhance the refractive index fluctuation results of the flow field.
The flow results at higher Mach numbers reveal the significant impact of the inspiratory disturbance downstream of the window on the density distribution throughout the boundary layer. Figure 29b demonstrates a high-density region extending from upstream to the tail of the window near its wall, providing evidence for how this inspiratory disturbance contributes to stratification within the flow field and facilitates a reduction in phase inequality during ray transmission.
The following three comparison diagrams depict the wavefront distortion results under three conditions: only the jet without any inspiratory disturbance at 3 Ma, the addition of inspiratory disturbance, and the inclusion of MVGs and inspiratory disturbance, as illustrated in Figure 30. It is observed that incorporating an inspiratory disturbance can effectively reduce both the average and maximum values of wavefront distortion by 14.7%. A careful analysis reveals that although the mean value of wavefront distortion can be reduced, there remains an increasing trend in distortion along the flow direction. This phenomenon arises due to a larger distance between the shock layer and downstream window caused by outer shock waves. Consequently, this issue cannot be resolved solely through wall-based flow control measures; alternative flow strategies need to be explored to mitigate aero-optical interference resulting from this problem.
The following three comparison figures depict the wavefront distortion results after introducing inspiratory disturbance and with MVGs at 5 Ma, as illustrated in Figure 31. Incorporating inspiratory disturbance at high Mach numbers still effectively reduces the average wavefront distortion value. Furthermore, it can be observed from the comparative analysis that the inclusion of MVGs does not significantly mitigate aero-optics effects in the presence of inspiratory disturbance.

5. Conclusions

A comprehensive correction method is proposed for mitigating hypersonic aero-optical effects by adding MVGs and using blowing and suction flow control. Summarizing this work, the significant conclusions are drawn and listed as follows:
(1) This approach not only reduces the temperature of the window but also achieves a more uniform temperature distribution compared to the single jet cooling method, thereby minimizing aerodynamic thermal radiation effects.
(2) The temperature at the upstream position of the optical window is slightly higher with MVGs than without MVGs. The comparison of temperature distribution in the optical window at 5 Ma for jet cooling reveals that the inclusion of MVGs results in a more uniform temperature distribution across the entire window. This leads to a reduction in the temperature difference between the highest and lowest points, with only a 4.5 K variation observed. In contrast, when MVGs are not present, temperatures gradually increase along the flow direction, resulting in a significant temperature difference of 42.8 K.
(3) The inclusion of MVGs effectively mitigates large-scale structures generated by airflow passing through the rear step. As the Mach number increases, the wavefront distortion at 5 Ma can be reduced by 21.7%. Thus, increasing the Mach number enhances the contribution of MVGs in minimizing wavefront distortion.
(4) By implementing suction control at the lower step of the optical window, the refractive index fluctuations near the window are significantly reduced, leading to a more uniform surface temperature distribution. The application of this flow control technique results in a notable 14.7% reduction in wavefront distortion at 3 Ma and an approximate maximum value reduction of 20% at 5 Ma.
It can be concluded that combining MVGs with spray and suction controls ensures consistent side window temperatures, while maintaining flow field uniformity near the window during cooling processes, thus achieving the effective correction of hypersonic aero-optical effects.

Author Contributions

Y.L. completed the numerical simulation, processed the data, and wrote the article. T.X. and S.D. conducted the numerical simulation, processed the data, and revised the article. C.X. helped complete the numerical simulation and revised the article. All authors have read and agreed to the published version of the manuscript.

Funding

This research was funded by Aeronautical Science Foundation of China, Grant/Award Number: F2021110; the National Natural Science Foundation of China, Grant/Award Numbers: 11672133, 12002161; the National Science Foundation of Shaanxi Province, Grant/Award Number: 2021JQ-078 and Open Foundations of EDL Laboratory, Grant/Award Number: EDL19092111.

Institutional Review Board Statement

Not applicable.

Informed Consent Statement

Not applicable.

Data Availability Statement

The data underlying this article will be shared on reasonable request to the corresponding author.

Conflicts of Interest

The authors declare no conflicts of interest.

Nomenclature

DESDetached Eddy Simulation
DDESDelayed Detached Eddy Simulation
KGDGladstone–Dale coefficient
kturbulent kinetic energy
Liray transmission distance in the i-th grid
Maincoming Mach number
MVGsmicro-vortex generators
mjcooling gas jet rate
nrefractive index
nirefractive index of the fluid in the i-th grid
OPLoptical path length
OPDoptical path difference
<OPL>spatial average of the OPLs of all rays
OPDrmsroot mean square of the OPDs for all rays
P0incoming pressure
Pjcooling jet pressure
T0static temperature
THAADTerminal High Altitude Area Defense
vtmoving eddy viscosity coefficient
w(x, y, z)wavefront aberration at (x, y, z)
θangle between jet direction and seeker axis
ρdensity
ρrmsroot mean square of the density
λwavelength of light
ωspecific dissipation rate
μtdynamic turbulent eddy viscosity coefficient
vviscosity coefficient of moving molecules
κKarman constant
δrecessed window depth
φangle of incidence of light

References

  1. Jumper, E.J.; Gordeyev, S. Physics and Measurement of Aero-Optical Effects: Past and Present. Annu. Rev. Fluid Mech. 2017, 49, 419–441. [Google Scholar] [CrossRef]
  2. Wang, M.; Mani, A.; Gordeyev, S. Physics and Computation of Aero-Optics. Annu. Rev. Fluid Mech. 2012, 44, 299–321. [Google Scholar] [CrossRef]
  3. Gordeyev, S.; Smith, A.E.; Cress, J.A.; Jumper, E.J. Experimental studies of aero-optical properties of subsonic turbulent boundary layers. J. Fluid Mech. 2014, 740, 214–253. [Google Scholar] [CrossRef]
  4. Knutson, A.; Thome, J.; Candler, G. Numerical simulation of instabilities in the boundary-layer transition experiment flow field. J. Spacecr. Rocket. 2021, 58, 90–99. [Google Scholar] [CrossRef]
  5. Hopkins, K.J.; Porat, H.; McIntyre, T.J.; Wheatley, V.; Veeraragavan, A. Measurements and analysis of hypersonic tripped boundary layer turbulence. Exp. Fluids 2021, 62, 164. [Google Scholar] [CrossRef]
  6. Xu, L.; Xue, D.; Lv, X. Computation and Analysis of Backward Ray-Tracing in Aero-Optics Flow Fields. Opt. Express 2018, 26, 567–576. [Google Scholar] [CrossRef]
  7. Xu, L.; Zhou, L.; Wang, L.; Zhao, S.; Wang, T. Analysis of light propagation characteristic in the aero-optic flow field of cone-headed vehicle with side window. Optoelectron. Lett. 2023, 20, 58–64. [Google Scholar] [CrossRef]
  8. Guo, G.; Liu, H.; Zhang, B. Development of a temporal evolution model for aero-optical effects caused by vortices in the supersonic mixing layer. Appl. Opt. 2016, 55, 2708–2717. [Google Scholar] [CrossRef]
  9. Guo, G.; Liu, H. Modeling spatial evolution of aero-optical wave front aberration caused by a supersonic mixing layer. Opt. Eng. 2017, 56, 35102. [Google Scholar] [CrossRef]
  10. Guo, G.; Liu, H. Correcting aero-optical wavefront aberration of the supersonic mixing layer based on periodic pulse forcing. Appl. Opt. 2017, 56, 4613–4621. [Google Scholar] [CrossRef]
  11. Goldstein, R.; Eckert, E.; Tsou, F. Film cooling with air and helium injection through a rearward-facing slot into a supersonic air flow. AIAA J. 1966, 4, 981–985. [Google Scholar] [CrossRef]
  12. Goldstein, R. Film cooling. In Advances in Heat Transfer; Elsevier: Amsterdam, The Netherlands, 1971; pp. 321–379. [Google Scholar]
  13. Goldstein, R.; Eckert, E.; Burggraf, F. Effects of hole geometry and density on three-dimensional film cooling. Int. J. Heat Mass Transf. 1974, 17, 595–607. [Google Scholar] [CrossRef]
  14. Wyckham, C.M.; Smits, A.J. Aero-optic distortion in transonic and hypersonic turbulent boundary layers. AIAA J. 2009, 47, 2158–2168. [Google Scholar] [CrossRef]
  15. Banakh, V.A.; Sukharev, A.A.; Falits, A.V. Manifestation of aero-optical effects in a turbulent atmosphere in supersonic motion of a conical body. Atmos. Ocean. Opt. 2015, 28, 24–33. [Google Scholar] [CrossRef]
  16. Guo, G.; Liu, H.; Zhang, B. Aero-optical effects of an optical seeker with a supersonic jet for hypersonic vehicles in near space. Appl. Opt. 2016, 55, 4741–4751. [Google Scholar] [CrossRef]
  17. Wang, H.; Chen, S.; Du, H.; Dang, F.; Ju, L.; Ming, Y.; Zhang, R.; Shi, X.; Yu, J.; Fan, Z. Influence of altitude on aero-optic imaging quality degradation of the hemispherical optical dome. Appl. Opt. 2019, 58, 274–282. [Google Scholar] [CrossRef]
  18. Lee, S.; Yoon, H.; Jeung, I.; Lee, H.; Lee, J. Super-/Hypersonic Aero-Optical Effects Induced by External Jet Cooling. In Proceedings of the 30th International Symposium on Shock Waves, Tel-Aviv, Israel, 19–24 July 2015; Springer: Cham, Switzerland, 2017; Volume 1, pp. 233–238. [Google Scholar]
  19. Lee, S.; Jeong, M.C.; Jeung, I.; Hyoung, J.L.; Lee, J.K. Aero-Optical Measurement in Shock Wave of Hypersonic Flow Field. In Proceedings of the 30th International Symposium on Shock Waves, Tel-Aviv, Israel, 19–24 July 2015; Ben-Dor, G., Sadot, O., Igra, O., Eds.; Springer: Cham, Switzerland, 2017; Volume 1, pp. 229–232. [Google Scholar]
  20. Xing, B.; Yang, J.; Yu, Y. Aero-optical effects of hypersonic backward facing step with film cooling. Flight Control. Detect. 2020, 3, 57–65. [Google Scholar]
  21. Ding, H.L.; Yi, S.H.; Zhao, X.H.; Xiong, H.X.; Ouyang, T.C. Experimental Investigation on Aero-Optical Mitigation of Hypersonic Optical Dome Using Micro Vortex Generators. AIAA J. 2019, 57, 1–6. [Google Scholar] [CrossRef]
  22. Wakaki, M.; Shibuya, T.; Kudo, K. Physical Properties and Data of Optical Materials; CRC Press: Boca Raton, FL, USA, 2018; pp. 383–585. [Google Scholar]
  23. Yin, X.L. Principle of Aero-Optical; China Astronautics Press: Beijing, China, 2003; pp. 206–207. [Google Scholar]
  24. Xiao, H.; Wang, Z.; Fan, Z. Optical distortion evaluation of an aerodynamically heated window using the interfacial fluid thickness concept. Appl. Opt. 2011, 50, 3135–3144. [Google Scholar] [CrossRef]
  25. Strelets, M. Detached eddy simulation of massively separated flows. In Proceedings of the 39th Aerospace Sciences Meeting and Exhibit, Reno, NV, USA, 8–11 January 2001; p. 879. [Google Scholar]
  26. Menter, F.R. Two-equation eddy-viscosity turbulence models for engineering applications. AIAA J. 1994, 32, 1598–1605. [Google Scholar] [CrossRef]
  27. Menter, F.R.; Kuntz, M.; Langtry, R. Ten years of industrial experience with the SST turbulence model. Heat Mass Transf. 2003, 4, 625–632. [Google Scholar]
  28. Settles, G.; Williams, D.; Baca, B.; Bogdonoff, S. Reattachment of a compressible turbulent free shear layer. AIAA J. 1982, 20, 60–67. [Google Scholar] [CrossRef]
Figure 1. (a) THAAD-like seeker geometry parameters. (b) Geometric parameters near the optical window.
Figure 1. (a) THAAD-like seeker geometry parameters. (b) Geometric parameters near the optical window.
Applsci 14 06653 g001
Figure 2. Schematic diagram of two jet-cooling modes: (a) θ = 15° and (b) θ = 90°.
Figure 2. Schematic diagram of two jet-cooling modes: (a) θ = 15° and (b) θ = 90°.
Applsci 14 06653 g002
Figure 3. Schematic diagram of MVGs.
Figure 3. Schematic diagram of MVGs.
Applsci 14 06653 g003
Figure 4. Schematic diagram of blow and suction control near optical window.
Figure 4. Schematic diagram of blow and suction control near optical window.
Applsci 14 06653 g004
Figure 5. Flowchart of ray tracing for aero-optical effects.
Figure 5. Flowchart of ray tracing for aero-optical effects.
Applsci 14 06653 g005
Figure 6. Schematic diagram of aero-optical effects.
Figure 6. Schematic diagram of aero-optical effects.
Applsci 14 06653 g006
Figure 7. The ray passing through the nonuniform flow field forms the distorted wavefront, <OPL>, and OPD.
Figure 7. The ray passing through the nonuniform flow field forms the distorted wavefront, <OPL>, and OPD.
Applsci 14 06653 g007
Figure 8. Mesh generation for supersonic cavity-compression corner and geometric parameters.
Figure 8. Mesh generation for supersonic cavity-compression corner and geometric parameters.
Applsci 14 06653 g008
Figure 9. (a) Iso-contours of time averaged Ma and (b) time averaged eddy viscosity.
Figure 9. (a) Iso-contours of time averaged Ma and (b) time averaged eddy viscosity.
Applsci 14 06653 g009
Figure 10. Root-mean-square distribution of flow velocity at different stations.
Figure 10. Root-mean-square distribution of flow velocity at different stations.
Applsci 14 06653 g010
Figure 11. The longitudinal density pulsations of three different grids are compared at (a) y/δ = 6.25 and (b) y/δ = 31.25.
Figure 11. The longitudinal density pulsations of three different grids are compared at (a) y/δ = 6.25 and (b) y/δ = 31.25.
Applsci 14 06653 g011
Figure 12. The flow velocity profiles of three meshes were compared at (a) y/δ = 18.75 and (b) y/δ = 43.75.
Figure 12. The flow velocity profiles of three meshes were compared at (a) y/δ = 18.75 and (b) y/δ = 43.75.
Applsci 14 06653 g012
Figure 13. Comparison of optical window temperature distribution under 5 Ma, P = 5529 Pa conditions: (a) without jet; (b) jet flow = 0.05 kg/s, θ = 15°; (c) jet flow = 0.05 kg/s, θ = 90°; (d) jet flow = 0.01 kg/s, θ = 15°.
Figure 13. Comparison of optical window temperature distribution under 5 Ma, P = 5529 Pa conditions: (a) without jet; (b) jet flow = 0.05 kg/s, θ = 15°; (c) jet flow = 0.05 kg/s, θ = 90°; (d) jet flow = 0.01 kg/s, θ = 15°.
Applsci 14 06653 g013
Figure 14. Comparison of optical window temperature distribution under Ma = 5, P = 1197 Pa conditions: (a) jet flow = 0.05 kg/s, θ = 15°; (b) jet flow = 0.05 kg/s, θ = 90°; (c) jet flow = 0.01 kg/s, θ = 15°; (d) jet flow = 0.01 kg/s, θ = 90°.
Figure 14. Comparison of optical window temperature distribution under Ma = 5, P = 1197 Pa conditions: (a) jet flow = 0.05 kg/s, θ = 15°; (b) jet flow = 0.05 kg/s, θ = 90°; (c) jet flow = 0.01 kg/s, θ = 15°; (d) jet flow = 0.01 kg/s, θ = 90°.
Applsci 14 06653 g014
Figure 15. ρrms distribution in flow direction under different flow field conditions: (a) Case0 to Case6; (b) Case4 to Case9.
Figure 15. ρrms distribution in flow direction under different flow field conditions: (a) Case0 to Case6; (b) Case4 to Case9.
Applsci 14 06653 g015
Figure 16. ρrms distribution in spanwise direction under different flow field conditions: (a) Case0 to Case6; (b) Case4 to Case9.
Figure 16. ρrms distribution in spanwise direction under different flow field conditions: (a) Case0 to Case6; (b) Case4 to Case9.
Applsci 14 06653 g016
Figure 17. ρrms distribution in longitudinal direction under different flow field conditions: (a) y/δ = 6.25; (b) y/δ = 18.75.
Figure 17. ρrms distribution in longitudinal direction under different flow field conditions: (a) y/δ = 6.25; (b) y/δ = 18.75.
Applsci 14 06653 g017
Figure 18. Comparison of optical window temperature distribution under Ma = 3 without jet cooling: (a) without MVGs, (b) with MVGs.
Figure 18. Comparison of optical window temperature distribution under Ma = 3 without jet cooling: (a) without MVGs, (b) with MVGs.
Applsci 14 06653 g018
Figure 19. Comparison of refractive index distribution near the optical window at Ma = 3 without jet cooling.
Figure 19. Comparison of refractive index distribution near the optical window at Ma = 3 without jet cooling.
Applsci 14 06653 g019
Figure 20. Comparison of refractive index distribution near the optical window at Ma = 5 without jet cooling.
Figure 20. Comparison of refractive index distribution near the optical window at Ma = 5 without jet cooling.
Applsci 14 06653 g020
Figure 21. Comparison of optical window temperature distribution under Ma = 3 with jet cooling: (a) without MVGs, (b) with MVGs.
Figure 21. Comparison of optical window temperature distribution under Ma = 3 with jet cooling: (a) without MVGs, (b) with MVGs.
Applsci 14 06653 g021
Figure 22. Comparison of refractive index distribution near the optical window at Ma = 3 with jet cooling.
Figure 22. Comparison of refractive index distribution near the optical window at Ma = 3 with jet cooling.
Applsci 14 06653 g022
Figure 23. Comparison of optical window temperature distribution under Ma = 5 with jet cooling: (a) without MVGs, (b) with MVGs.
Figure 23. Comparison of optical window temperature distribution under Ma = 5 with jet cooling: (a) without MVGs, (b) with MVGs.
Applsci 14 06653 g023
Figure 24. Comparison of refractive index distribution near the optical window at Ma = 5 with jet cooling.
Figure 24. Comparison of refractive index distribution near the optical window at Ma = 5 with jet cooling.
Applsci 14 06653 g024
Figure 25. Comparison of optical wavefront aberration under different flow field conditions (Case0~Case2 conditions without MVGs, Case10~Case12 conditions with MVGs).
Figure 25. Comparison of optical wavefront aberration under different flow field conditions (Case0~Case2 conditions without MVGs, Case10~Case12 conditions with MVGs).
Applsci 14 06653 g025
Figure 26. Comparison of optical window temperature distribution (a) without MVGs and (b) with MVGs under blow–suction cooling control at Ma = 3.
Figure 26. Comparison of optical window temperature distribution (a) without MVGs and (b) with MVGs under blow–suction cooling control at Ma = 3.
Applsci 14 06653 g026
Figure 27. Comparison of refractive index distribution near the optical window: (a) Ma = 3, (b) Ma = 5.
Figure 27. Comparison of refractive index distribution near the optical window: (a) Ma = 3, (b) Ma = 5.
Applsci 14 06653 g027
Figure 28. Comparison of refractive index distribution near the optical window under Ma = 3: (a) without suction, (b) with suction.
Figure 28. Comparison of refractive index distribution near the optical window under Ma = 3: (a) without suction, (b) with suction.
Applsci 14 06653 g028
Figure 29. Comparison of refractive index distribution near the optical window under Ma = 5: (a) without suction, (b) with suction.
Figure 29. Comparison of refractive index distribution near the optical window under Ma = 5: (a) without suction, (b) with suction.
Applsci 14 06653 g029
Figure 30. Comparison of optical wavefront aberration at Ma = 3, flow jet = 0.05 kg/s, θ = 15°: (a) without MVGs, without suction; (b) without MVGs, with suction; (c) with MVGs, with suction.
Figure 30. Comparison of optical wavefront aberration at Ma = 3, flow jet = 0.05 kg/s, θ = 15°: (a) without MVGs, without suction; (b) without MVGs, with suction; (c) with MVGs, with suction.
Applsci 14 06653 g030
Figure 31. Comparison of optical wavefront aberration at Ma = 5, flow jet = 0.05 kg/s, θ = 15°: (a) without MVGs, without suction; (b) without MVGs, with suction; (c) with MVGs, with suction.
Figure 31. Comparison of optical wavefront aberration at Ma = 5, flow jet = 0.05 kg/s, θ = 15°: (a) without MVGs, without suction; (b) without MVGs, with suction; (c) with MVGs, with suction.
Applsci 14 06653 g031
Table 1. Physical properties of optical window [22].
Table 1. Physical properties of optical window [22].
DensityFusing PointElastic ModulusSpecific Heat CapacityThermal ConductivityYield StrengthPoisson’s Ratio
3980 kg/m32050 K344 GPa750 J/(kg·K)36 W(m·K)300 MPa0.27
Table 2. Incoming flow parameters and cooling jet parameters.
Table 2. Incoming flow parameters and cooling jet parameters.
CaseFlow Field ParameterBlowingMVGsSuction
MaP (Pa)T (K)Pj (kPa)m0 (kg/s)θ
035529216-0-withoutwithout
155529216-0-withoutwithout
235529216110.0515°withoutwithout
355529216190.0515°withoutwithout
455529216190.0590°withoutwithout
5511972274.10.0515°withoutwithout
6511972274.10.0590°withoutwithout
755529216190.0115°withoutwithout
8511972274.10.0115°withoutwithout
9511972274.10.0190°withoutwithout
1035529216-0-withwithout
1135529216110.0515°withwithout
1255529216-0-withwithout
1355529216190.0515°withwithout
1435529216110.0515°withoutwith
1535529216110.0515°withwith
1655529216190.0515°withoutwith
1755529216190.0515°withwith
Disclaimer/Publisher’s Note: The statements, opinions and data contained in all publications are solely those of the individual author(s) and contributor(s) and not of MDPI and/or the editor(s). MDPI and/or the editor(s) disclaim responsibility for any injury to people or property resulting from any ideas, methods, instructions or products referred to in the content.

Share and Cite

MDPI and ACS Style

Li, Y.; Deng, S.; Xue, C.; Xiao, T. Correction of Aero-Optical Effect with Blow–Suction Control for Hypersonic Vehicles. Appl. Sci. 2024, 14, 6653. https://doi.org/10.3390/app14156653

AMA Style

Li Y, Deng S, Xue C, Xiao T. Correction of Aero-Optical Effect with Blow–Suction Control for Hypersonic Vehicles. Applied Sciences. 2024; 14(15):6653. https://doi.org/10.3390/app14156653

Chicago/Turabian Style

Li, Yubo, Shuanghou Deng, Caijun Xue, and Tianhang Xiao. 2024. "Correction of Aero-Optical Effect with Blow–Suction Control for Hypersonic Vehicles" Applied Sciences 14, no. 15: 6653. https://doi.org/10.3390/app14156653

APA Style

Li, Y., Deng, S., Xue, C., & Xiao, T. (2024). Correction of Aero-Optical Effect with Blow–Suction Control for Hypersonic Vehicles. Applied Sciences, 14(15), 6653. https://doi.org/10.3390/app14156653

Note that from the first issue of 2016, this journal uses article numbers instead of page numbers. See further details here.

Article Metrics

Back to TopTop