Reducing the Cooling Energy Demand by Optimizing the Airflow Distribution in a Ventilated Roof: Numerical Study for an Existing Residential Building and Applicability Map
Abstract
1. Introduction
2. Materials and Methods
2.1. Case Definition
2.2. Parameters of Interest
2.2.1. Thermal Effectiveness of Ventilated Roof ()
2.2.2. Thermo-Hydraulic Performance Factor of Ventilated Roof (THPF)
2.3. Computational Model
2.4. Proposed Designs of the Airflow Distribution
3. Results and Discussion
3.1. Level of Homogeneity of the Surface Temperature
3.2. THPF and Effectiveness Analysis: Best Performance Case
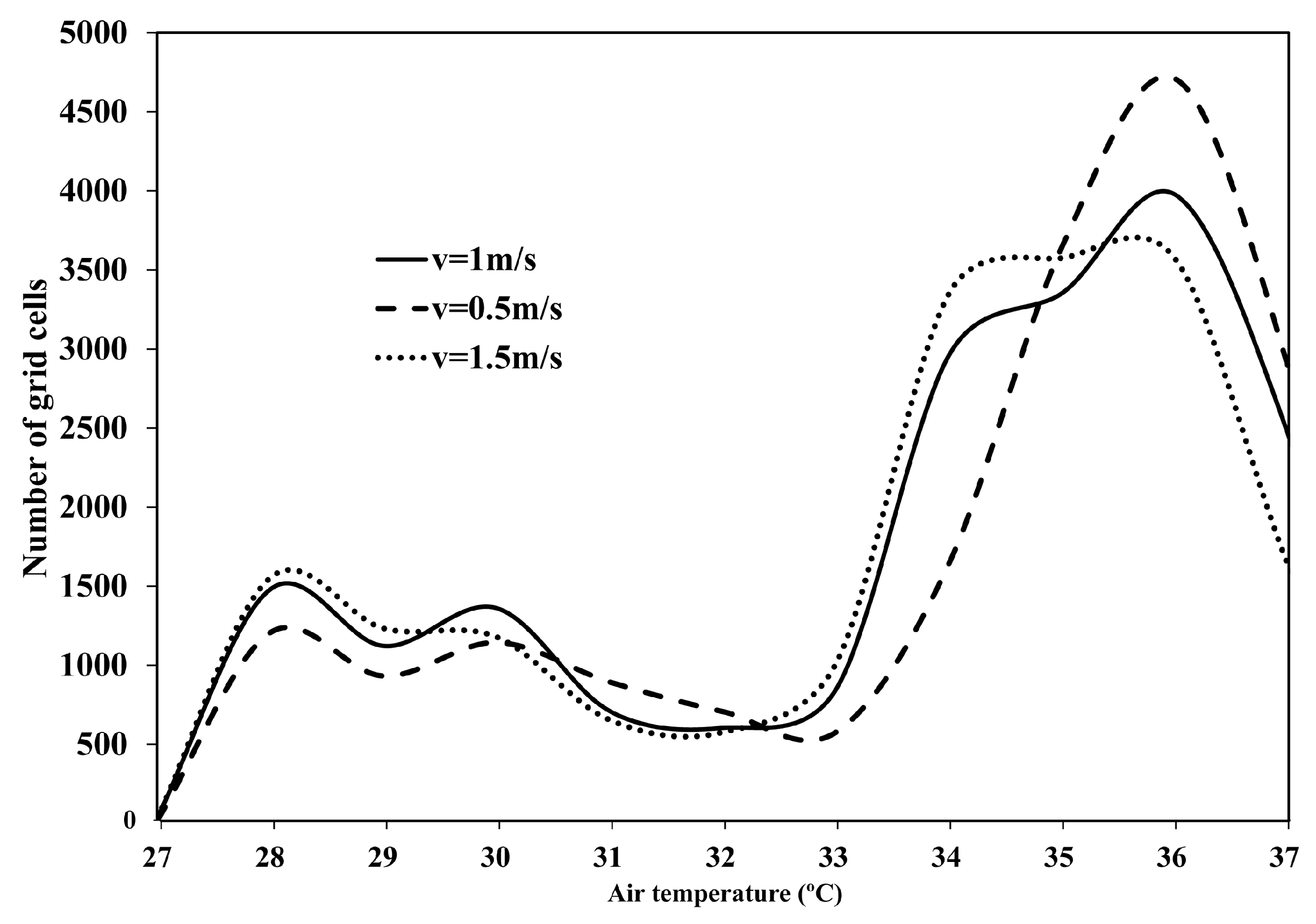
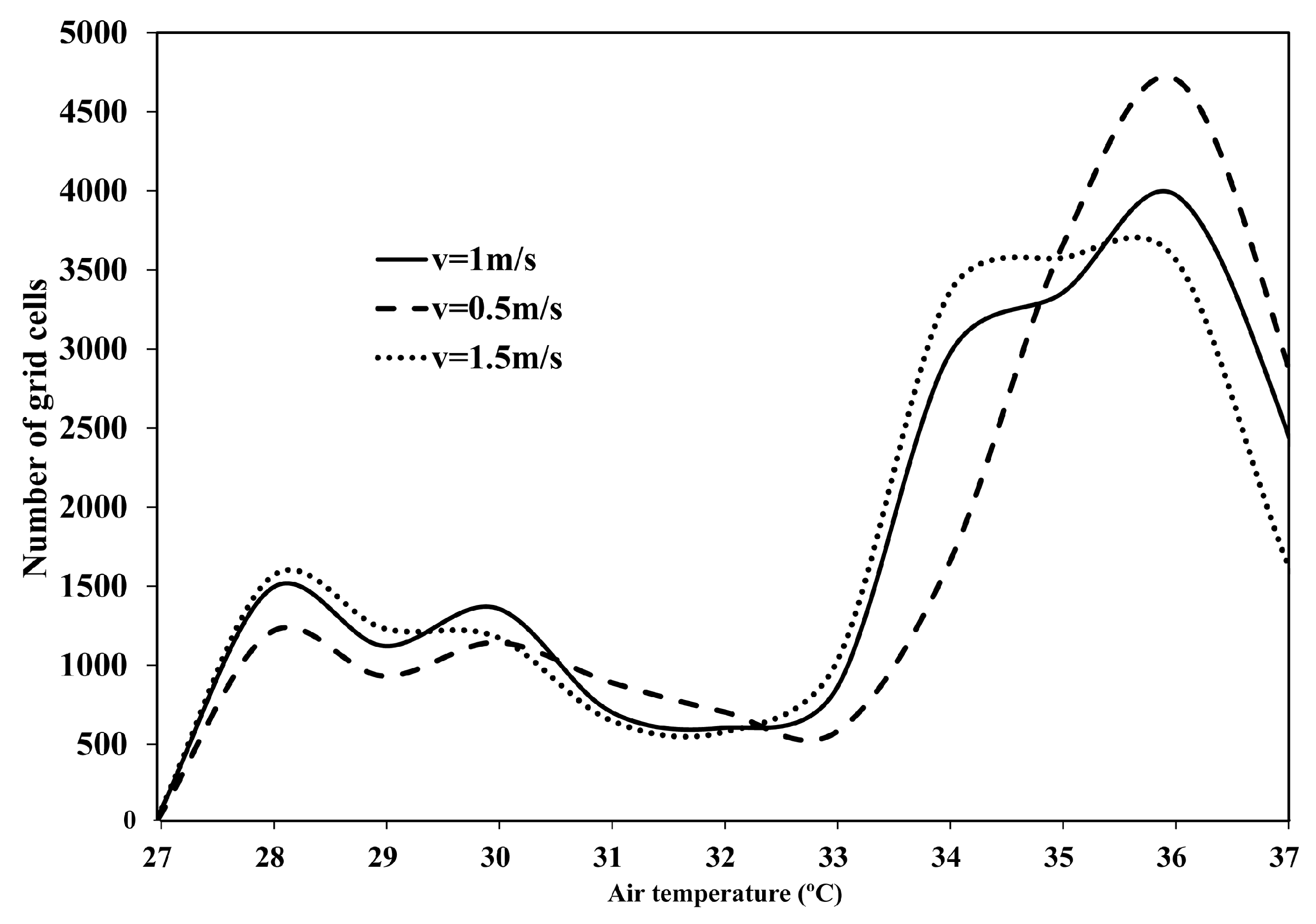
3.3. Analysis of the Influence of Velocity for the Best Performance Case
3.4. System Operating Map
4. Conclusions
Author Contributions
Funding
Institutional Review Board Statement
Informed Consent Statement
Data Availability Statement
Acknowledgments
Conflicts of Interest
Nomenclature
| Symbols | |
| A | surface area (m2) |
| C | thermal capacity (W/K) |
| specific heat capacity (J/kg K) | |
| D | diameter (m) |
| f | friction factor |
| h | convective heat transfer coefficient (W/m2 K) |
| mass flow rate (kg/s) | |
| number of transfer units | |
| Nusselt number | |
| P | pressure (Pa) |
| Prandtl number | |
| heat transfer rate (W) | |
| Reynolds number | |
| Stanton number | |
| T | temperature (K) |
| thermo-hydraulic performance factor | |
| u | air velocity (m/s) |
| U | global heat transfer coefficient (W/m2 K) |
| W | friction power (W) |
| Greek Symbols | |
| effectiveness | |
| variation of following quantity | |
| density (kg/m3) | |
| Subscripts | |
| air | |
| h | hydraulic |
| maximum | |
| minimum | |
| outlet | |
| r | rough surface |
| s | smooth surface |
| slab |
References
- Christopher, R.; Umberto, B. Ventilated hollow core slab cooling load reduction under the operative temperature metric. IOP Conf. Ser. Mater. Sci. Eng. 2019, 609, 042082. [Google Scholar] [CrossRef]
- Olesen, B.W. Thermo Active Building Systems—Using Building Mass to Heat and Cool. ASHRAE Trans. 2012, 54, 44–52. [Google Scholar]
- Meierhans, R. Slab cooling and earth coupling. ASHRAE Trans. 1993, 99, 511–518. [Google Scholar]
- Park, B. Thermal Analysis of Hollow Core Ventilated Slab Systems. Master’s Thesis, University of Colorado, Boulder, CO, USA, 2016. [Google Scholar]
- Wetter, M. Generic Optimization Program(GenOpt). 2016. Available online: https://simulationresearch.lbl.gov/GO (accessed on 20 July 2024).
- Park, B.; Krarti, M. Optimal control strategies for hollow core ventilated slab systems. J. Build. Eng. 2019, 24, 100762. [Google Scholar] [CrossRef]
- Chae, Y.T.; Strand, R.K. Modeling ventilated slab systems using a hollow core slab: Implementation in a whole building energy simulation program. Energy Build. 2013, 57, 165–175. [Google Scholar] [CrossRef]
- Corgnati, S.P.; Kindinis, A. Thermal mass activation by hollow core slab coupled with night ventilation to reduce summer cooling loads. Build. Environ. 2007, 42, 3285–3297. [Google Scholar] [CrossRef]
- Rinaldi, N. Thermal Mass, Night Cooling and Hollow Core Ventilation System as Energy Saving Strategies in Buildings. Ph.D. Thesis, KTH, Stockholm, Sweden, 2009. [Google Scholar]
- Álvarez, S.; Cabeza, L.F.; Ruiz-Pardo, A.; Castell, A.; Tenorio, J.A. Building integration of PCM for natural cooling of buildings. Appl. Energy 2013, 109, 514–522. [Google Scholar] [CrossRef]
- Koenders, S.; Loonen, R.; Hensen, J. Investigating the potential of a closed-loop dynamic insulation system for opaque building elements. Energy Build. 2018, 173, 409–427. [Google Scholar] [CrossRef]
- Dehwah, A.H.; Krarti, M. Impact of switchable roof insulation on energy performance of US residential buildings. Build. Environ. 2020, 177, 106882. [Google Scholar] [CrossRef]
- Leccese, F.; Salvadori, G.; Barlit, M. Ventilated flat roofs: A simplified model to assess their hygrothermal behaviour. J. Build. Eng. 2019, 22, 12–21. [Google Scholar] [CrossRef]
- Cabeza, L.F.; Chàfer, M. Technological options and strategies towards zero energy buildings contributing to climate change mitigation: A systematic review. Energy Build. 2020, 219, 110009. [Google Scholar] [CrossRef]
- Guerrero Delgado, M.d.C.; Sánchez Ramos, J.; Palomo Amores, T.R.; Castro Medina, D.; Álvarez Domínguez, S. Improving habitability in social housing through passive cooling: A case study in Mengibar (Jaen, Spain). Sustain. Cities Soc. 2022, 78, 1–18. [Google Scholar] [CrossRef]
- Kadri, M.; Bouchair, A.L.A. The contribution of double skin roof coupled with thermo reflective paint to improve thermal and energy performance for the ‘Mozabit’ houses: Case of Beni Isguen’s Ksar in southern Algeria. Energy Build. 2022, 256, 1–20. [Google Scholar] [CrossRef]
- Ho, M.L.; Yew, M.C.; Yew, M.K.; Saw, L.H.; Tan, W.C.; Yuen, R.K.K. Novel cool roofing technology system with sustainable design for attic temperature reduction. Ain Shams Eng. J. 2024, 15, 102706. [Google Scholar]
- Park, B.; Krarti, M. Development of a simulation analysis environment for ventilated slab systems. Appl. Therm. Eng. 2015, 87, 66–78. [Google Scholar] [CrossRef]
- Yu, J.; Huang, J.; Xu, X.; Ye, H.; Xiong, C.; Wang, J.; Tian, L. A semi-dynamic heat transfer model of hollow block ventilated wall for thermal performance prediction. Energy Build. 2017, 134, 285–294. [Google Scholar] [CrossRef]
- Huang, J.; Yu, J.; Yang, H. Effects of key factors on the heat insulation performance of a hollow block ventilated wall. Appl. Energy 2018, 232, 409–423. [Google Scholar] [CrossRef]
- Ren, M.; Wright, J. A ventilated slab thermal storage system model. Build. Environ. 1998, 33, 43–52. [Google Scholar] [CrossRef]
- Bergman, T.L.; Incropera, F.P.; Lavine, A.S.; Dewitt, D.P. Introduction to Heat Transfer; John Wiley & Sons: Hoboken, NJ, USA, 2011. [Google Scholar]
- Sheriff, N.; Gumley, P. Heat-transfer and friction properties of surfaces with discrete roughnesses. Int. J. Heat Mass Transf. 1966, 9, 1297–1320. [Google Scholar] [CrossRef]
- Webb, R.; Eckert, E. Application of rough surfaces to heat exchanger design. Int. J. Heat Mass Transf. 1972, 15, 1647–1658. [Google Scholar] [CrossRef]
- Lewis, M. Optimising the thermohydraulic performance of rough surfaces. Int. J. Heat Mass Transf. 1975, 18, 1243–1248. [Google Scholar] [CrossRef]
- Piriyarungrod, N.; Kumar, M.; Thianpong, C.; Pimsarn, M.; Chuwattanakul, V.; Eiamsa-ard, S. Intensification of thermo-hydraulic performance in heat exchanger tube inserted with multiple twisted-tapes. Appl. Therm. Eng. 2018, 136, 516–530. [Google Scholar] [CrossRef]
- Arunkumar, H.; Vasudeva Karanth, K.; Kumar, S. Review on the design modifications of a solar air heater for improvement in the thermal performance. Sustain. Energy Technol. Assess. 2020, 39, 100685. [Google Scholar] [CrossRef]
- Yadav, S.; Saini, R. Numerical investigation on the performance of a solar air heater using jet impingement with absorber plate. Sol. Energy 2020, 208, 236–248. [Google Scholar] [CrossRef]
- Bensaci, C.E.; Moummi, A.; Sanchez de la Flor, F.J.; Rodriguez Jara, E.A.; Rincon-Casado, A.; Ruiz-Pardo, A. Numerical and experimental study of the heat transfer and hydraulic performance of solar air heaters with different baffle positions. Renew. Energy 2020, 155, 1231–1244. [Google Scholar] [CrossRef]
- Korpale, V.; Deshmukh, S.; Mathpati, C.; Dalvi, V. Numerical simulations and optimization of solar air heaters. Appl. Therm. Eng. 2020, 180, 115744. [Google Scholar] [CrossRef]
- Kumar, A.; Saini, R.; Saini, J. A review of thermohydraulic performance of artificially roughened solar air heaters. Renew. Sustain. Energy Rev. 2014, 37, 100–122. [Google Scholar] [CrossRef]
- ANSYS, Inc. ANSYS FLUENT, Release 2021. 2021. Available online: https://www.ansys.com (accessed on 20 July 2024).
- Celik, I.; Ghia, U.; Roache, P.J.; Freitas, C.J. Procedure for Estimation and Reporting of Uncertainty Due to Discretization in CFD Applications. J. Fluids Eng. 2008, 130, 078001. [Google Scholar] [CrossRef]
- Patankar, S.; Spalding, D. A calculation procedure for heat, mass and momentum transfer in three-dimensional parabolic flows. Int. J. Heat Mass Transf. 1972, 15, 1787–1806. [Google Scholar] [CrossRef]
- CIBSE. Ministry of Public Works. Secretariat of State for Infrastructure, Transport and Housing. 2013. Available online: https://www.transportes.gob.es (accessed on 20 July 2024).














| Case | Q (W) | P (Pa) |
|---|---|---|
| 0 | 1243.90 | 9.43 |
| 1.1 | 1324.38 | 9.70 |
| 1.2 | 1457.00 | 10.28 |
| 1.3 | 2490.23 | 195.06 |
| 1.4 | 2493.91 | 147.55 |
| 2.1 | 1590.19 | 20.93 |
| 2.2 | 1621.60 | 21.32 |
| 2.3 | 2013.85 | 59.42 |
| 3.1 | 2510.08 | 145.19 |
| 3.2 | 2467.03 | 171.66 |
| Case | Q (W) | (°C) | (Pa) | NTU | h (W/m2 K) | f | THPF | |
|---|---|---|---|---|---|---|---|---|
| 0 | 1244 | 31.1 | 9.4 | 0.426 | 0.556 | 3.3 | 0.458 | 1.00 |
| 1.1 | 1324 | 31.4 | 9.7 | 0.454 | 0.605 | 3.6 | 0.471 | 1.08 |
| 1.2 | 1457 | 31.8 | 10.3 | 0.499 | 0.692 | 4.1 | 0.499 | 1.21 |
| 1.3 | 2490 | 35.4 | 195.1 | 0.854 | 1.922 | 11.4 | 9.465 | 1.26 |
| 1.4 | 2494 | 35.4 | 147.6 | 0.855 | 1.931 | 11.5 | 7.160 | 1.39 |
| 2.1 | 1590 | 32.3 | 20.9 | 0.545 | 0.788 | 4.7 | 1.016 | 1.09 |
| 2.2 | 1622 | 32.4 | 21.3 | 0.556 | 0.812 | 4.8 | 1.035 | 1.11 |
| 2.3 | 2014 | 33.8 | 59.4 | 0.690 | 1.172 | 7.0 | 2.883 | 1.14 |
| 3.1 | 2510 | 35.5 | 145.2 | 0.860 | 1.970 | 11.7 | 7.045 | 1.42 |
| 3.2 | 2467 | 35.3 | 171.7 | 0.846 | 1.869 | 11.1 | 8.330 | 1.28 |
Disclaimer/Publisher’s Note: The statements, opinions and data contained in all publications are solely those of the individual author(s) and contributor(s) and not of MDPI and/or the editor(s). MDPI and/or the editor(s) disclaim responsibility for any injury to people or property resulting from any ideas, methods, instructions or products referred to in the content. |
© 2024 by the authors. Licensee MDPI, Basel, Switzerland. This article is an open access article distributed under the terms and conditions of the Creative Commons Attribution (CC BY) license (https://creativecommons.org/licenses/by/4.0/).
Share and Cite
Rincón-Casado, A.; Rodríguez Jara, E.Á.; Ruiz Pardo, A.; Salmerón Lissén, J.M.; Sánchez de la Flor, F.J. Reducing the Cooling Energy Demand by Optimizing the Airflow Distribution in a Ventilated Roof: Numerical Study for an Existing Residential Building and Applicability Map. Appl. Sci. 2024, 14, 6596. https://doi.org/10.3390/app14156596
Rincón-Casado A, Rodríguez Jara EÁ, Ruiz Pardo A, Salmerón Lissén JM, Sánchez de la Flor FJ. Reducing the Cooling Energy Demand by Optimizing the Airflow Distribution in a Ventilated Roof: Numerical Study for an Existing Residential Building and Applicability Map. Applied Sciences. 2024; 14(15):6596. https://doi.org/10.3390/app14156596
Chicago/Turabian StyleRincón-Casado, Alejandro, Enrique Ángel Rodríguez Jara, Alvaro Ruiz Pardo, José Manuel Salmerón Lissén, and Francisco José Sánchez de la Flor. 2024. "Reducing the Cooling Energy Demand by Optimizing the Airflow Distribution in a Ventilated Roof: Numerical Study for an Existing Residential Building and Applicability Map" Applied Sciences 14, no. 15: 6596. https://doi.org/10.3390/app14156596
APA StyleRincón-Casado, A., Rodríguez Jara, E. Á., Ruiz Pardo, A., Salmerón Lissén, J. M., & Sánchez de la Flor, F. J. (2024). Reducing the Cooling Energy Demand by Optimizing the Airflow Distribution in a Ventilated Roof: Numerical Study for an Existing Residential Building and Applicability Map. Applied Sciences, 14(15), 6596. https://doi.org/10.3390/app14156596

