Abstract
The fundamental idea behind few-shot learning is to employ sparse labeled data to effectively handle novel tasks, whereas most existing mainstream approaches mostly rely on prior experience gained from previous situations. Nonetheless, effective knowledge transfer is sometimes hampered by constraints on new samples and barriers between classes. To address these issues, this research presents a novel background-filtering feature-enhanced graph network (BFFE-GNN) that attempts to generate relationships between graphs in order to explicitly describe and transmit inter-class relationships. To specifically address the issue of inadequate information utilization brought on by sample background interference, which is frequent in classification tasks, we employ a novel background-filtering feature-enhanced graph network. Effective data information extraction from complicated datasets is challenging due to the original module’s relatively simple network structure during the feature extraction stage and the interference of the image background. The background-filtering module was specifically introduced, which enhances spatial attention. This not only improves the quality of feature extraction but also effectively lessens the influence of picture background on classification results. In addition, we have improved the background-filtering-based feature gap calculation by implementing a feature-enhanced module. To demonstrate the adaptability of the BFFE-GNN model, we not only ran experiments on two publicly available datasets, MiniImagenet and TiredImagenet, but we also created our own Tool dataset. The method’s exceptional performance and universal applicability in the field of few-shot picture classification are clearly demonstrated by the experimental findings, which indicate that it greatly outperforms the majority of existing similar methods. This discovery establishes a strong basis for further research in the field of few-shot learning in addition to offering fresh insights into the subject.
1. Introduction
Deep learning has faced difficulties recently because of its strong reliance on data. Due to professional hurdles and information confidentiality, labeled data collection is typically challenging [1,2,3]. In addition, this phenomena shows that few-shot learning with limited training data is feasible given that people can pick up new information fast from a small number of examples. Due to the restricted labeling, there was few-shot learning [4]. Samples are used to forecast unlabeled data, a technique that has gained significant attention because it reduces deep learning’s reliance on massive volumes of supervised data.
Early on, the main strategy behind few-shot learning was figuring out how to address the overfitting issue brought on by sparse training data [5]. Researchers have used a variety of approaches to address the aforementioned issues. During model training, several of them employ reference regularization to keep the model from depending too much on training data. Yet, data augmentation technology is also extensively employed. By applying several random changes to the initial training data, data enhanced efficiently increases the limited sample dataset, which enhances the model’s capacity for generalization [6] and increases the accuracy of the model’s categorization.
Recently, meta-learning has been the main focus of few-shot learning research. The model can learn to learn and pick up content in diverse subjects quickly thanks to meta-learning, which often uses situational training methodologies to learn general knowledge in several fields from a variety of simulated activities. Deep meta-learning is starting to gain more attention and research as deep learning gains popularity. In order to create a mathematical model for learning tasks, deep meta-learning [7] leverages a deep neural network as the backbone network. It then optimizes model parameters using meta-learning techniques to provide a target model that can be used in numerous situations [8]. Novel concepts and approaches for resolving few-shot learning issues are offered by the advancement of deep meta-learning.
In addition, due to its propensity for managing intricate relationships, graph neural networks (GNNs) have garnered significant interest in the field of deep learning [9]. Through an iterative process of aggregating the complicated connections between neighbor nodes, graph neural networks use a message propagation mechanism to efficiently collect instances. Considering that the relationship between the support set and the query set is highly significant in few-shot learning, GNNs offers a fresh viewpoint and potential solution to this problem. Researchers have proposed many techniques to employ GNNs for few-shot learning [10,11,12,13]. Garcia et al. [10], for instance, showed a creative method of creating a network structure that is strongly connected by support set and query set samples when confronted with a novel assignment involving support sets and query sets. These embedded features and label information reflect each input node in this graph. Iteratively updating these nodes’ features through the GNN’s neighborhood aggregation method allows for the classification of query samples that are not tagged.
In a similar vein, Liu et al. [11] introduced the transductive propagation network (TPN), which operates by using node properties that deep neural networks collect. TPN leverages the GNN’s aggregation method to increase the few-shot learning’s application breadth. Using an edge labeling framework, EGNN [12] explicitly models intra-cluster similarity and inter-cluster dissimilarity, while CML-BGNN [13] builds a memory-augmented network to facilitate continuous learning. The fundamental concept of the GNN-based few-shot learning approach is to identify the label information of unlabeled samples by identifying and exploiting sample similarities. Convolutional neural networks (CNNs) are frequently employed as feature extractors in current solutions in order to automatically detect and encode similarities between samples. However, as GNNs continue to advance, the science of few-shot learning has new opportunities thanks to its advantages in digesting intricate relationship structures and capturing deep relationships between data.
A current bright star in the machine-learning and artificial-intelligence fields, few-shot learning (FSL) is progressively driving a new wave of advancements in computer vision tasks. Few-shot learning’s remarkable capacity to learn and generalize from a tiny quantity of data has attracted considerable attention and applications in important domains like picture classification [14], target detection [15], and image segmentation [16]. While there has been significant progress in building complex association networks and optimizing the use of limited data resources in small-sample learning, there are still significant practical obstacles to be addressed. Specifically, most current methods have not completely improved their performance when handling small-sample learning situations. There is a significant amount of space for improvement to satisfy real demands.
Therefore, the secret to continuing advancement in this subject is understanding how to effectively encourage the efficient transfer of knowledge and in-depth relationship exploration in few-shot learning. The implications of this are enormous for both the advancement and enrichment of few-shot learning theory as well as for the realization of its broad applicability in intricate real-world situations.
We provide a unique method, termed background-filtering feature-enhanced graph network (BFFE-GNN), to achieve this goal. As Figure 1 shows, the network design’s unique fusion mechanism—which deftly combines label information with sample distribution characteristics—is what makes the system work. Then, feature gaps between samples are highlighted using the feature-enhanced module. During the feature update process, the network offers richer and more precise reference data. Deep associations between samples can be uncovered under restricted data settings thanks to this architecture, which overcomes the limitation of limited label information in conventional approaches. Furthermore, a background-filtering module is introduced by BFFE-GNN. In order to successfully extract important information from complicated and variable backgrounds and create the groundwork for later relationship modeling and information transmission, this creative maneuver is optimized during the feature extraction stage. We can increase the purity and efficacy of features, decrease noise interference while maintaining essential features, and enhance the overall accuracy and efficiency of the learning process by using a background-filtering module. The model’s two previously mentioned modules support one another, enabling the model to produce optimal outcomes.
Figure 1.
The main architecture of the BFFE-GNN model under the 2-way–2-shot setting. In this architecture, each node represents the feature extraction of a sample. Nodes of the same color belong to the same class, with red and blue nodes originating from the support set, whose classes are known, and green nodes from the query set, whose classes are unknown. In the constructed graph, each pair of nodes is connected by an edge, with the value on the edge representing the similarity between the two images, depicted as a grayscale square; the darker the color, the higher the similarity. During the feature extraction stage, images are processed through the BF-CNN network to obtain features, as shown in (a), where the input in (a) is the initially preprocessed image. The feature gap enhanced training phase enhances the network’s discriminative ability, using only samples from the support set for training, as shown in (b). The main training phase utilizes the same network update module as the feature gap reinforcement phase to train the classification of the query set, as shown in (c). After training, the final GNN graph is used to predict the classes of the query set nodes and participate in loss calculation, as shown in (d), where the output in (d) is the predicted result used to calculate classification accuracy.
Refined and condensed, our principal contributions are as follows:
- Introduction of background-filtering module: During the feature extraction stage, we created a background-filtering module that greatly minimizes the impact of intricate backgrounds on the primary target’s classification in photos. This module increases the model’s robustness in challenging situations and improves the model’s recognition accuracy of target items.
- Our idea is for a feature-enhanced training module: We built a feature-enhanced module to boost the reflection of these disparities in feature representation and to better explore the subtle distinctions between images. Prior to formal training, this module performs a feature gap augmentation training with the goal of teaching it to distinguish between different images. It then strengthens these differences throughout the formal training phase to maximize feature representation and achieve more accurate feature extraction and classification.
- Building and validating the Tool dataset: We meticulously built the Tool dataset, which includes everyday hardware instruments like hammers and scissors, for model testing, in order to thoroughly assess the generalization capacity of our approach. We further validated the usefulness and efficacy of the BFFE-GNN by conducting comparative studies on the Tool dataset in addition to comprehensive testing on several public datasets.
We have shown that the BFFE-GNN algorithm has significant advantages and improvements over current methods, demonstrating its huge potential for few-shot learning in the field through extensive experimental evaluations on both self-built Tool datasets and standard datasets like MiniImagenet and TieredImagenet.
2. Related Work
The main objective of this study is to accomplish the following by enhancing the edge annotation graph neural network with a feature-enhanced module and the feature extraction network with a background-filtering module. Initially, the picture background pair model was created by incorporating a background-filtering module into the feature extraction network. To improve the model’s comprehension of the overall structure of the graph structure data, issues like interference and inadequate information utilization are first identified. Then, the feature-enhanced module is added to the edge update module in the edge annotation graph to resolve the model’s initial feature gap calculation, which is not a particularly pressing problem. Even with low data, this model may still demonstrate high generalization performance, which helps to solve issues in the field of few-shot image categorization. Our ultimate goal is to greatly increase the model’s accuracy in the picture classification task, which will result in a considerable improvement to the image classification problem. To bolster our suggested approach, this section offers a succinct summary of relevant studies on metric learning, few-shot learning, and graph neural networks.
The main objective of this work is to enhance the effectiveness of the main training by introducing a background-filtering module to lessen the influence of complex backgrounds on the actual objects to be classified. Additionally, additional feature gap reinforcement training will be added during training to generate feature similarity supervision for edge updates in the main training. We also evaluated the model with a dataset we produced ourselves, and the results were satisfactory.
Compared to EGNN, we compressed the GNN part of EGNN from a two-layer graph to a single-layer graph and adjusted the dimensions of the network. This reduced the number of model parameters and improved efficiency while only slightly decreasing accuracy, making the model more suitable for the newly added modules. Additionally, we introduced two new modules: the background-filtering module and the feature gap enhanced module. The background-filtering module reduces background interference before the feature extraction stage, resulting in cleaner image samples. The feature gap enhanced module enhances the differences between features during feature gap calculation, enabling the model to better learn the distinctions between image samples. We also introduced a dedicated feature-reinforcement training stage to enhance the reliability of the feature gap enhanced module. Our results indicate that our model has achieved significant improvements over the EGNN.
2.1. Graph Neural Network
A significant amount of data are produced as a result of the quick advancement of information technology, and this data is primarily classified as non-Euclidean and Euclidean [17]. Graph neural networks have been developed to handle non-Euclidean structured data by repeatedly aggregating and transforming important nodes. One breakthrough in this area was made by Gori et al. [10], who enhanced the model by unweighting the recurrent layers and sugesting a number of strategies for nonlinear aggregation via the gate-stopping mechanism. Transformation settings are integrated into different graph-based learning models by TPN [11]. By explicitly utilizing edge label information, EGNN [12] and its related variations [18] improve the performance of graph neural networks in a limited number of learning circumstances. CML-BGNN [13] constructs a memory enhanced network to accomplish continuous learning by making the most of the association between samples. The fundamental concept of the GNN-based few-shot learning approach is to identify the label information of unlabeled samples by identifying and exploiting sample similarities.
GNNs usually support three types of tasks: graph classification, node classification, and link prediction.
Node classification is a crucial task in graph neural networks (GNNs), aiming to predict the labels of each node in a graph. This task has been widely studied and applied in various fields, such as user interest classification in social networks and protein function prediction in biological networks. For instance, Kipf and Welling (2017) [19] effectively implemented node classification through graph convolutional networks (GCNs). The model discussed in this paper falls under node classification, where each sample image is represented as a node in the GNN, and the ultimate goal is to predict the class of each node.
Link prediction is another key task, aiming to predict whether there is an edge or a relationship between nodes in a graph. This is particularly important in recommendation systems, social network analysis, and knowledge graph completion. Zhang and Chen (2018) [20] demonstrated how to utilize graph convolutional networks for link prediction, improving prediction accuracy by capturing higher-order adjacency relationships between nodes.
Graph classification tasks aim to predict the label of an entire graph and are widely applied in fields such as chemical molecule classification and social network community detection. The study by Xu et al. (2019) [21] showcased the application of graph neural networks (GNNs) in graph classification tasks, proposing the graph isomorphism network (GIN) and demonstrating its advantages in handling complex graph structures and global feature extraction.
2.2. Few-Shot Learning
Few-shot learning aims to classify samples from unknown classes using a small number of labeled training samples. Few-shot learning techniques fall into a flexible category because some of them incorporate many mechanisms simultaneously. We shall concentrate on the approaches that are most pertinent to us, classifying them into two branches based on the nature of their respective research.
Metric learning forms the basis of the first area of research. These techniques undoubtedly investigate similarity metrics, which are comparable in terms of learning. The Siamese network [22] constructed a parallel network under supervision in 2015, and for few-shot learning, they compared how similar their extracted features were. The episodic training process was initially included into few-shot learning a year later by the memory- and attention-based matching network [5], but it was limited to one-shot tasks. In order to address this issue, the prototypical network [23] views few-shot learning as one-shot learning and uses the mean of each class in scenario training as its associated prototype representation. Sung et al. [24] suggested using a relational network to develop a deep nonlinear measure in order to investigate the link between the query image and the support image.
Meta-learning is the foundation of the second area of research. Decades ago, the idea of meta-learning was put forth [11]. These meta-learning techniques aim to train meta-learners to perform numerous few-shot tasks (i.e., categorizing samples from unseen classes) when only a small number of labeled samples are available. An LSTM-based meta-learner that learned weight initialization and model weight optimization, for instance, was trained by Ravi et al. [7]. Memory slots are used by MM-Net [25] to construct context learners that forecast embedding network parameters for images without labels. However, the majority of meta-learning techniques always suffer from overfitting and typically rely on shallow neural networks, which restricts their efficacy. Meta-transfer learning (MTL) is a technique introduced by Sun et al. [26] that trains deep CNNs to adapt to a limited number of learning tasks. MTL reduces the likelihood of overfitting by designing two neuron operations and utilizing a deep neural network to enhance performance. However, learning the link between samples is challenging since MTL and other meta-learning techniques treat samples in the same task as independent individuals. As a result, a number of GNN techniques have been put forth to investigate the training set’s intra- and inter-class similarity.
2.3. Edge-Labeling Graph
The basic principle of edge-labeled graph correlation clustering, which is recognized as a graph partitioning method [27], is to determine the graph’s edge labels by optimizing the similarity within and dissimilarity between clusters. Furthermore, a structured support vector machine architecture based on association clustering was presented by Finley and Joachims [28] for the clustering of news articles and noun phrases. The maxmargin algorithm was proposed by Taskar [29] to learn edge scores and produce distinct segmentation outcomes from a single image.
In order to meet the demands of certain tasks, Kim et al. [30] investigated high-order correlation clustering techniques based on hypergraphs in the field of picture segmentation. Real-valued edge properties have also recently been added to graph attention networks, allowing them to mimic citation networks at both the local content and global levels [31]. An approach for inferring the relationship structure while learning a dynamic model of the interactive system was proposed by Kipf et al. [32]. This method can perform interpretable edge type inference.
3. Method
This study aimed to provide a more robust theoretical foundation and useful tools for few-shot classification challenges by carefully reconstructing the model architecture and referring to the advanced EGNN model framework. We were acutely aware of the two main constraints that the original model encountered when processing few-shot data throughout the exploration phase: First, there is a risk that the main target of the model recognition will be seriously interfered with by the complex and variable visual background, which will reduce the classification accuracy; second, the model’s inadequacies in capturing and augmenting small feature differences amongst photos impact the classification performance and feature representation accuracy.
We have creatively suggested two key strategic modules—the background-filtering module and the feature-enhanced module—to address the aforementioned issues in an effective manner. With the use of carefully crafted algorithms, the background-desalination module successfully lessens the detrimental effects of image background on target recognition, freeing up the model to concentrate more on the feature extraction of target items and increasing classification accuracy. The mining and augmentation of minute variations between images is the main emphasis of the feature-enhanced module. The model is better able to express and capture these distinctions by dual optimization in pre-training and formal training, which further enriches the feature representation and improves the model’s capacity to discriminate.
In addition to offering a significant upgrade over the current graph neural network model, this study delves deeply into the topic of few-shot categorization. With these creative endeavors, we intend to pave new ground for the use of graph neural networks in few-shot classification problems and stimulate more thought on how to best make use of scarce data and precisely capture variations in image attributes. We hope that this section will serve as a useful resource and source of inspiration for researchers in related fields as we go into greater detail to outline the research challenge and explain our optimized model architecture and its operation.
3.1. Problem Definition: Few-Shot Classification
After employing external node references in the graph convolution layer, the input layer consists of the process of inputting the multi-source heterogeneous graph structure. The graph structure information, which consists of node data and connections between nodes, is converted into an adjacency matrix and fed to the convolution layer for the initial convolution operation. Figure 2 depicts the operation diagram of external node reference.
Figure 2.
The background module processed the image. This picture is from the dataset Tool. We employed the original image that created the dataset to obtain a higher resolution in order to more clearly illustrate the module’s impact. The image above has a resolution of 840 by 840 pixels.
3.1.1. Few-Shot Classification
Few-shot classification aims to categorize unlabeled samples by training on multiple labeled samples per class. Formally, there are two datasets in every classification task: a query set, Q, and a support set, S, both of which share the same label space. The labeled set of input label pairs is known as the support set, S, while the unlabeled set that has to be predicted is known as the query set, Q. A K-shot N-way classification issue has N classes with K labeled samples in the support set for each class.
3.1.2. Meta-Learning
Few-shot learning is a problem that meta-learning has been shown to effectively address. Base learners and meta-learners are taught by meta-learning models so they can swiftly adjust to new tasks. In meta-training, a training subset of the task optimizes the base learner’s parameters, and a testing subset optimizes the meta-learner’s parameters. In this work, episodic training is used. The goal behind episodic training is to sample training tasks (episodes) that resemble a limited number of learning settings for the test task, given a relatively large labeled training dataset. Here, developing a model to handle the training task well can increase the test task’s performance since it is anticipated that the training task’s distribution will resemble the test task’s distribution.
To be more precise, in scenario training, the N-way K-shot problem’s training task and test task are structured as follows: , where and . Among them, is the total number of query samples, and are the input data and its label, respectively, and is the set of all classes of the training or test dataset. Although both training and test tasks are drawn from a common task distribution, the label spaces are mutually exclusive, , i.e., the support set, , in each set serves as the labeled training set on which the model is trained to minimize its effect on the query set, , predicted loss. The training process proceeds iteratively, episode by episode, until convergence.
3.2. Feature Extraction
In order to create feature vectors, which serve as a strong basis for subsequently made classification choices, the feature extraction network must first process the original image data in the classification task. In particular, a background-filtering module is introduced by the BFCNN (background-filtering convolutional neural network) used in this article. This novel extension of the CNN architecture is intended to improve the CNN’s performance during the feature extraction process and successfully weaken the complex background in the original image against the target.
The architecture of the BFCNN’s feature extraction model illustrates its novel design concepts, as seen in Figure 2. The background dilution module in this procedure is the initial step in processing the input image. It cleverly employs algorithm strategies to dilute the image background, enhancing the visibility of the target object’s features and establishing ideal conditions for the feature extraction that follows. The CNN feature extraction layer next receives the optimized picture input. After a sequence of convolution, pooling, and other processes, a highly summarized and highly distinct feature vector is produced, providing a strong basis for further classification tasks.
The above formula can be split into the following two modules:
Figure 2 is a preview of the image effect obtained by passing the background-filtering module alone.
The background in the original image on the left was obviously complex, with a variety of colors and textures. This presented obvious hurdles for the feature extraction and classification processes that followed (see the comparative image above, Figure 2). Following processing by the well-thought-out background-filtering module, the image on the right demonstrates a noteworthy optimization effect: the various colors in the background are deftly unified, minimizing the interference of redundant information, while the primary object that needs to be distinguished is still fairly visible, thus providing exceptional clarity and identification with little interference. The image content is significantly simplified by this processing effect, which also highlights the major object’s features and produces more precise and lucid input data for the feature extraction processes that follow. This allows the feature extraction network to produce more precise and useful feature vectors by concentrating more on obtaining the salient characteristics of the primary object. In the end, this modification not only makes the classification process more efficient overall but also greatly increases the classification’s accuracy and resilience, greatly improving the image classification tasks’ performance.
3.3. Initialization of Figure in FEGNN (Feature-Enhanced GNN)
The FEGNN used in the image classification stage is different from the ordinary GNN. It is divided into two stages: the feature-enhanced training stage and the main training stage, as shown in Figure 1b,c. The image initialization of the two different stages is now described.
As seen in Figure 1b, this section explains the few-shot categorization classification network portion. Feature representations of all samples of a specified target task were extracted from BFCNN. Initially, two fully connected graphs are built. Each node in the graph represents the features of a single image sample generated during the feature extraction stage. One is the fully connected graph that was employed throughout the training stage of feature gap improvement. In this graph, only the segments that reinforce the concentration are nodes. The fully connected graph utilized for the primary training is the other. Parts of the inquiry set and the support set are represented as nodes in this network. Every node in the chosen set is a sample, and the similarity between any two connected nodes is indicated by the weight of each edge. Let be a graph constructed with samples of tasks, where and represent the node set and edge set of the graph, respectively. Let be the node feature of , and be the edge feature of . is the total number of samples in the task, . Each similar label is defined by the initial single image label and indicate whether the two connected images belong to the same category. If and belong to the same category, that is, = , then use = 1 to represent that they belong to the same category, otherwise use = 0 to represent that they belong to different categories:
This gives us a relationship diagram showing whether or not all of the images are in the same category. The loss of the final image can be computed using this relationship diagram in order to optimize the model.
Next, we define the graph that will participate in the training, where represents the edge between the sample and the sample . The weight of the edge represents the similarity of the two feature vectors. The range of values is [0, 1], where 0 denotes two. One indicates that the two feature vectors are entirely identical and have a high probability of belonging to the same category; the other two samples are completely different and are unlikely to belong to the same group. Since 0.5 is the same distance from 0 and 1, we presume that it is an unknown value at the graph’s initialization stage so that the model may change more easily.
The initialization of the graph during the feature improvement training phase is the first:
The edge weight of the first layer is represented by the number in the upper right corner of . The original similarity, even for support set samples, is set to unknown since feature-reinforcement training necessitates further learning of the sample similarity between support set samples. It is recommended to set the feature similarity to 1 at first.
Then comes the graph initialization for the main training phase:
The support set’s data is provided at this point. Since we are aware of whether or not two images in the support set are identical, the real labels are used to determine the initial similarity between them. On the other hand, the query set samples’ similarity is initialized to 0.5 because we are unsure of the category relationship between them and the other samples.
3.4. Node Update Module
The features can be updated once we have the prior layer’s features and edge weights. Traversing each feature and compiling the data from neighboring features and their connected edges constitutes the primary task of this operation. Once the data are combined, they are added together with the current values of the primary features, totaled, and then forwarded to the node update network for further processing in order to extract additional features. Following is the precise formula:
The l-th layer’s node update transformation network is represented by , the update network’s parameter is , and the learnable constant parameter is . To introduce information about neighboring pictures in the node, we multiply the characteristics of nearby pictures by the weights of related edges. As seen in Figure 3 (top right), the network is utilized to modify the intermediate features of the l − 1 layer to create the features of the l layer. The identical node update mode used in the main training phase is also used in the feature gap training phase.
Figure 3.
Modular architectural diagram updated under the 2-way–1-shot setting. Nodes of the same color belong to the same class, with red and blue nodes originating from the support set, whose classes are known, and green nodes from the query set, whose classes are unknown. In the constructed connection graph, each pair of nodes is connected by an edge, with the value on the edge representing the similarity between the two images, depicted as a grayscale square; the darker the color, the higher the similarity. The grayscale circle represents the difference between the corresponding image feature vectors. Please note that this grayscale circle is also a feature vector, not a single value. The update module consists of two submodules: the point update module (a) and the edge update module (b). In the update module, the graph is updated by edges after being updated by points, thus accomplishing a full graph update. Depending on the network’s depth, these updates need to be completed a total of L times. The three dashed lines in the figure serve as auxiliary lines for phase or data division.
3.5. Edge Update Module
After completing the point update, we continue to update the edge weights. We traverse each edge. First, we need to find the feature gap between each adjacent feature, which is represented by the absolute value of the feature difference. After obtaining the preliminary feature gap, we need to send the gap to the feature-enhanced module to strengthen and reduce the dimensionality of the features. Then, the enhanced feature gap is aggregated with the current edge information, and finally the aggregated information is sent to the fine-tuning network to obtain new edge weights; the formula is as follows:
The result’s absolute value is indicated by the symbol . is the similarity-enhanced network of the l-th layer and is the parameter of the similarity-enhanced network. is the edge-updating network of the l-th layer and is the parameter of the edge-updating network. The structure is shown in Figure 3 (lower left). The feature-enhanced training phase and the main training phase use the same edge update method.
The feature-enhanced module, or , is a crucial component of the edge update module. To aid the model in more accurately analyzing the sample’s properties, this module has the ability to bolster the initial feature gap. Nevertheless, we discovered that the model could not converge at a perfect location when this module was used alone, which slowed down the rate of model training. As a result, the feature-enhanced training phase is presented, which primarily supports the feature-enhanced module. The ensuing phases will clarify another advantage of implementing this level. Figure 4 illustrates the primary network architecture used in the edge update process of the model.
Figure 4.
The network architecture used for edge updates in BFFE-GNN. The figure omits weight operations and primarily showcases the network structure. The feature-reinforcement module in the model corresponds to the multi-head self-attention depicted in the figure. In this model, we mainly use the multi-head self-attention mechanism to enhance the differences between features. Here, H corresponds to the number of attention heads in the multi-head self-attention mechanism, and in this paper, H = 4.
3.6. Prediction Results Calculations as Well as LOSS Calculations
The ability of a feature-enhanced training stage to facilitate better training of later model stages is another advantage, since focusing too much on the model query set’s accuracy might occasionally result in inaccurate estimates of sample similarity between support sets. Even if we set the edge weights between support sets to 0 or 1 during the primary training, they can change to an inaccurate value after training, which would impact the model’s evaluation of the query set. In conclusion, we think it is essential to incorporate the feature-enhanced training step in the loss computation and to introduce it.
After completing the alternating point update operation and changed the update operation of the L layer model, we have obtained an ideal graph that can be used to predict the category of the query set, .
Since the prediction of samples in the feature training stage is meaningless, the graphs in this stage do not take part in actual prediction. However, projections must be performed in order to compute LOSS.
It is clear from the definition above that the edge weight indicates how similar two samples are to one another. Then, all that has to be done is to combine the similarity weights of the support set images that are associated with the image based on the category. It is possible to determine how similar this sample is to all other samples. We acquire the final probability distribution of the sample across all categories by applying Softmax processing to the similarity. For the classification result, we choose the category in the probability distribution that has the highest likelihood according to Figure 1d. The following is the formula:
is a function that generates 1 at the corresponding label position and 0 at other positions. For example, in way = 5, = [0, 0, 1, 0, 0]. Softmax gives larger values a greater probability. is the index to find the maximum value in the given array. First, the possibility distribution of image i in each category is calculated through Softmax. Then, the value of is found.
Given the L-layer structure of the network, we must compute Loss for every network layer. Loss is computed using the gap. It is recommended that edge weights nearing 1 contribute less to the loss for targets exhibiting accurate forecast results. It is recommended that edge weights near 0 contribute to a reduced loss for targets exhibiting inaccurate forecast results. The loss of each edge in each layer is here measured using the cross-entropy loss function, where represents the prediction result, whether picture i and picture j are in the same category or not. is the binary cross-entropy loss function.
represents the average of all elements and returns it. It should be noted that i must come from the query set, j must come from the support set, and l is the number of layers in the network.
The primary training phase and the feature-enhanced training phase both employ the same loss calculation technique. The loss in the primary training stage and the loss in the similarity enhanced training stage can then be separated from the total training loss. As a result, the whole loss can be written as follows:
where is the loss in the feature gap enhanced training stage and is the loss in the formal training stage. is a constant parameter that adjusts the loss in the two stages and is taken to be 0.2 in this model. Algorithm 1 summarizes the entire process of the BFFE-GNN operation.
| Algorithm 1: The process of BFFE-GNN for inference |
| Input: , Paremeters: Output: Initialize: |
| 1: for prase in [FE,MA] do 2: for l = 1, …, L do 3: #Node feature update 4: for i = 1, …, |V| do 5: ← NodeUpdate({}, {}; ) 6: end 7: #Edge feature update 8: for (i,j) = 1, …, |V| do 9: ← EdgeUpdate({}, {}, {}; ) 10: end 11: end 12: end 13: #Query node label prediction 14: ← Pred() |
4. Experiments
4.1. Datasets
MiniImageNetis a widely used few-shot learning benchmark dataset, proposed in the literature [33] and derived from a subset of the ILSVRC-12 [34] (ImageNet Large Scale Visual Recognition Challenge 2012) dataset. MiniImageNet is designed for few-shot learning tasks and aims to evaluate the model’s ability to recognize new categories given only a small number of training samples. This dataset contains 100 images of different categories; each category has 600 RGB color images, with a uniform size of 84 × 84 pixels. For experimental needs, these data are usually divided into 64 categories for training, 16 categories for validation, and 20 categories for testing. This partitioning helps evaluate the performance of different few-shot learning methods under standard experimental settings.
TieredImageNet is another dataset designed for few-shot learning tasks. It is similar to MiniImageNet but provides a larger number of categories and images, as well as a hierarchical category structure. TieredImageNet [35] is also derived from the ILSVRC-12 dataset [34] but contains 608 categories. The number of images in each category far exceeds MiniImageNet, with a total of more than 700,000 images. These categories are organized into a hierarchical structure, in which the 608 categories are divided into 34 higher-level categories (or “supercategories”). Each superclass contains 10 to 20 subcategories, which are further divided into a training set (20 categories, a total of 351 subcategories), a validation set (6 categories, a total of 97 subcategories), and a test set (8 categories, 160 subcategories in total). This hierarchical structure not only increases the diversity of data but also requires the model to understand the complex relationships between categories when learning. On average, each subdivision category contains approximately 1281 images, which provides more abundant and challenging training and testing resources for few-shot learning.
The Tool dataset is a self-built dataset, covering hardware tools commonly used in life, such as hammers, screwdrivers, etc. The sources of the pictures are search engines such as Google and Bing. The image is in RGB color, and the size has been corrected to 84 × 84 pixels. The dataset has a total of 60 different categories, and each category has 1000 images. The format of the dataset is divided into 36, 10, and 14, which correspond to the training set, verification set, and test set, respectively.
4.2. Experimental Setup
Network Architecture: Our BFCNN utilizes Resnet12 as its feature extraction network. With three convolutional layers in each, the network has four residual blocks in total. Three convolution layers with a convolution kernel size of three, padding of one, and stride of one are the three convolution layer structures found in every residual block. Both the batchnorm and leakyrelu layers are used in each convolution layer. The leakyrelu layer, however, is absent from the third convolutional layer. Every convolution layer is further passed via a downsampling layer, which consists of a batchnorm layer, a convolutional layer with a convolution kernel size of 1, a stride of 1, and a padding of 0. Finally, the 2 × 2 maximum pooling layer goes through the leakyRelu layer after the completion of the four residual blocks. FEGNN’s graph update module has a depth, L, of 3.
Evaluation: We performed 5-way–1-shot and 5-way–5-shot experiments on each of the three aforementioned datasets. In other words, a random sample of one or more samples is chosen from each of the five categories to create a support set. Each task creates a query set by randomly selecting five samples, excluding the support set, from each class in the support set.
Training: For the training phase, the model’s running environment is Pytorch, and the Adam optimizer is used to train the model. The initial learning rate , decay rate , and batchsize of the training task, verification task, and test task are set to 60, 20, and 20, respectively. For the mini and tool datasets, the number of times we train is 100,000 times, and for the tiered dataset, because of its large amount of data, the number of times we train is 200,000 times. After every 5000 instances of training, a validation set test is performed, and the number of rounds for each test is 10,000.
4.3. Experiment and Result Analysis
We evaluated the suggested model BFFE-GNN against standard models in 5-way–1-shot and 5-way–5-shot environments using mini-ImageNet, tiered-ImageNet, and Tool datasets. All models produced satisfactory outcomes.
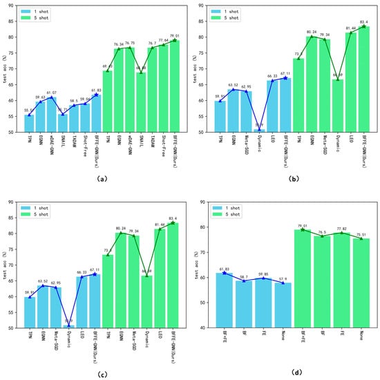
Table 1 and Figure 5a illustrates how our model outperformed EGNN in 1 s and 5 s, with improvements of 2.2% and 2.67%, respectively, on the mini-ImageNet dataset. When the sample background’s interference with judgment is reduced and the feature gap is strengthened, as can be seen by comparing the key differences between the two models, our model performs consistently and significantly better in both 1 s and 5 s on the mini-ImageNet dataset.
Table 1.
1-shot and 5-shot classification results on the mini-ImageNet dataset under 5-way setting. Top results are highlighted.
Figure 5.
The performance of different models on various datasets. (a) Performance of different models on the mini-ImageNet dataset under the 5-way–1-shot and 5-shot settings. (b) Performance of different models on the tiered-ImageNet dataset under the 5-way–1-shot and 5-shot settings. (c) Performance of different models on the Tool dataset under the 5-way–1-shot and 5-shot settings. (d) Performance of the BFFE-GNN model on the mini-ImageNet dataset under the 5-way–1-shot and 5-way–5-shot settings with different modules ablated.
Table 2 and Figure 5b illustrates how, in comparison to EGNN, our model performed better in 1s and 5s by 3.59% and 3.16%, respectively, using the tiered-ImageNet dataset. The improvement on the tiered-ImageNet dataset is more substantial than the improvement on the mini-ImageNet dataset, suggesting that our model can perform better than average with a larger dataset and more training rounds. This demonstrates how the model’s performance has significantly increased in comparison to 1s with the improvement of the support set data.
Table 2.
1-shot and 5-shot classification results on the tiered-ImageNet dataset under the 5-way setting. Top results are highlighted.
Table 3 and Figure 5c illustrates that, in comparison to EGNN, our model performed better in 1s and 5s by 0.94% and 5.03%, respectively, under the tool dataset. The aforesaid notion is further confirmed by the fact that our model’s improvement in 1 s is very minimal in the tool dataset setting. The model may not be able to learn more categories of information gaps during the feature-enhanced training stage, unlike on the mini-ImageNet dataset, due to the small amount of categories in the tool dataset. This would result in a worse generalization ability for the model. Another scenario is that the feature-enhanced training phase contributes to the loss calculation in some way, which results in less loss contribution to the query set data in the main training at 1 s. In this case, the model’s optimization is constrained, but it also offers a good chance for the model to accept. Future advancements offer fresh perspectives. The model’s accuracy in the 5s environment has significantly increased, suggesting the model’s capacity to return to a more normal level more quickly than in the 1s environment due to the larger number of samples in the support set.
Table 3.
1-shot and 5-shot classification results on the Tool dataset under 5-way setting. Top results are highlighted.
The three datasets mentioned above demonstrate the BFFE-GNN model’s significant advantage over EGNN as well as its strong generalization capabilities. Nevertheless, the model’s 1s advantage in the Tool dataset is not as great as it is in other datasets, suggesting that there are two potential reasons why the BFFE-GNN model is limited in the presence of monotonous backdrop images and a dearth of known samples. The model’s performance is firstly affected by the monotonous background image, which causes the background-filtering module to perform poorly and even slightly affect the target that has to be judged; secondly, fewer image samples cause the feature-enhanced training phase to provide less information, which in turn causes the model loss calculation phase to provide less information and worsen the model’s performance. The more repetitive picture background, however, might be the main cause of the poorer model performance when comparing the same test setting on different datasets. On the other hand, when the model was tested in the 5s test environment, its performance increased significantly as more known examples were used.
4.4. Ablation Experiment
Table 4 and Figure 5d presents a study that demonstrates the significant influence of the feature-enhanced module (FE module) and background-filtering module (BF module) on model performance. In the 1-shot context, the model’s classification effect falls well short of EGNN, an advanced technique that uses a dual-graph structure, when no additional modules are used. This discrepancy is quite noticeable. This is mostly because, due to its novel dual-graph structure approach, EGNN is able to gather and incorporate a greater amount of sample side data, producing more thorough sample feature updates.
Table 4.
1-shot and 5-shot classification results on mini-ImageNet dataset under 5-way setting. Top results are highlighted.
The BFFE-GNN model performs somewhat worse than EGNN in the 1-shot scenario when the background-filtering module (BF module) is introduced alone, but it catches up to EGNN in the 5-shot situation. This finding demonstrates that background dilution successfully lessens complicated background interference on classification tasks; nonetheless, its benefits under conditions of extremely low sample size have to be completely explored.
Regarding the independent function of the feature-enhanced module (FE module), in both 1-shot and 5-shot scenarios, the BFFE-GNN model outperforms EGNN by a considerable margin. This demonstrates beyond a doubt how important the FE module is to the edge update procedure. It significantly raises the model’s capacity for feature expression and classification accuracy by enhancing the recognition and application of feature gaps.
Remarkably, the BFFE-GNN model outperforms EGNN in both 1-shot and 5-shot scenarios when the background-filtering module and the feature-enhanced module cooperate. This exceptional result achieves the extraordinary effect of “1 + 1 > 2” and confirms the beneficial role of background desalination in feature improvement. It also shows the strong complementarity and synergy between the two modules.
5. Conclusions
In order to address the issues with small-sample picture classification, this work presents the BFFE-GNN model, which deftly combines a background-filtering module with a feature-enhanced module. By finely diluting the image background, the background-filtering module significantly lowers the interference of complicated backgrounds on classification tasks, hence facilitating the extraction of important target features in a clearer context. By virtue of its distinct edge update process, the feature-enhanced model greatly improves the recognition and application of feature gaps, allowing nodes and graph structures to collect more detailed and distinct image data. The fact that the background-filtering and feature-enhanced modules work well together to further enhance the impact of feature enhancement and provide a strong basis for enhancing model performance is very noteworthy. We used three typical datasets for our thorough and rigorous studies, and the outcomes completely confirmed the BFFE-GNN model’s exceptional performance and efficacy in handling few-sample picture classification issues. These findings serve as an invaluable resource and source of inspiration for future research, in addition to showcasing the creativity and usefulness of the model design.
6. Innovation and Outlook
We intend to move beyond the conventional graph convolutional network (GCN) framework and provide new state-of-the-art graph approaches to address challenging problems in few-shot learning (FSL) based on graph neural networks (GNNs). Specifically, we intend to leverage the distinct hyperedge structure of hypergraph convolution technology to describe more intricate and varied interactions between nodes. Hypergraph convolution has the potential to be more effective, particularly when handling multi-modal data. We also intend to efficiently investigate the innate connections between modes, thus greatly enhancing FSL performance. Furthermore, new graph models like Graph Transformer are anticipated to address the over-fitting and over-smoothing issues that may arise in conventional graph models and enhance the performance of graph structures in FSL tasks thanks to their strong attention mechanism and global information integration capabilities. Simultaneously, we will concentrate on state-of-the-art areas like graph reinforcement learning, investigate its possible applications in FSL, and enhance the FSL model’s adaptive capabilities and generalization performance further by means of intelligent dynamic adjustment and graph structure optimization. In summary, we hope that the use of these cutting-edge graph approaches will result in fresh discoveries and advancements in the field of FSL.
Author Contributions
Conceptualization, B.W. and Y.W.; methodology, B.W. and Y.W.; software, B.W.; validation, B.W., Y.W. and Y.X.; writing—review and editing, B.W. and Y.W.; supervision, Y.X. and Y.W.; project administration, Y.X.; funding acquisition, Y.X. All authors have read and agreed to the published version of the manuscript.
Funding
The Nature Science Foundation of Heilongjiang Province provided funding for this study under grant number LH2021F035.
Institutional Review Board Statement
Not applicable.
Informed Consent Statement
Not applicable.
Data Availability Statement
The original contributions presented in the study are included in the article, further inquiries can be directed to the corresponding author. As the code will be used in subsequent studies, the data cannot be made publicly available.
Acknowledgments
We thank the authors for their contributions and The Nature Science Foundation of Heilongjiang Province for their support.
Conflicts of Interest
The authors declare no conflicts of interest.
References
- Wang, L.; Qian, X.; Zhang, Y.; Shen, J.; Cao, X. Enhancing sketch based image retrieval by CNN semantic re-ranking. IEEE Trans. Cybern. 2020, 50, 3330–3342. [Google Scholar] [CrossRef] [PubMed]
- Shi, Y.; Wei, Z.; Ling, H.; Wang, Z.; Zhu, P.; Shen, J.; Li, P. Adaptive and robust partition learning for person retrieval with policy gradient. IEEE Trans. Multimed. 2020, 23, 3264–3277. [Google Scholar] [CrossRef]
- Shi, Y.; Ling, H.; Wu, L.; Shen, J.; Li, P. Learning refined attribute-aligned network with attribute selection for person re-identification. Neurocomputing 2020, 402, 124–133. [Google Scholar] [CrossRef]
- Hu, Z.; Li, Z.; Wang, X.; Zheng, S. Unsupervised descriptor selection based meta-learning networks for few-shot classification. Pattern Recognit. 2022, 122, 108304. [Google Scholar] [CrossRef]
- Gidaris, S.; Komodakis, N. Dynamic few-shot visual learning without forgetting. In Proceedings of the IEEE Conference on Computer Vision and Pattern Recognition, Salt Lake City, UT, USA, 18–23 June 2018; pp. 4367–4375. [Google Scholar]
- Hariharan, B.; Girshick, R. Low-shot visual recognition by shrinking and hallucinating features. In Proceedings of the IEEE International Conference on Computer Vision, Venice, Italy, 22–29 October 2017; pp. 3018–3027. [Google Scholar]
- Vilalta, R.; Drissi, Y. A perspective view and survey of meta-learning. Artif. Intell. Rev. 2002, 18, 77–95. [Google Scholar] [CrossRef]
- Mike, H.; Jan, N.R.; Aske, P. A survey of deep meta-learning. Artif. Intell. Rev. 2021, 54, 4483–4541. [Google Scholar]
- Cheng, D.; Yang, F.; Xiang, S.; Liu, J. Financial time series forecasting with multi-modality graph neural network. Pattern Recognit. 2022, 121, 108218. [Google Scholar] [CrossRef]
- Garcia, V.; Bruna, J. Few-shot learning with graph neural networks. In Proceedings of the 6th International Conference on Learning Representations, ICLR 2018, Vancouver, BC, Canada, 30 April–3 May 2018. [Google Scholar]
- Liu, Y.; Lee, J.; Park, M.; Kim, S.; Yang, E.; Hwang, S.J.; Yang, Y. Learning to propagate labels: Transductive propagation network for few-shot learning. In Proceedings of the 7th International Conference on Learning Representations, (ICLR Poster), New Orleans, LA, USA, 6–9 May 2019. [Google Scholar]
- Kim, J.; Kim, T.; Kim, S.; Yoo, C.D. Edge-labeling graph neural network for few-shot learning. In Proceedings of the IEEE Conference on Computer Vision and Pattern Recognition (CVPR), Long Beach, CA, USA, 15–20 June 2019; pp. 11–20. [Google Scholar]
- Luo, Y.; Huang, Z.; Zhang, Z.; Wang, Z.; Baktashmotlagh, M.; Yang, Y. Learning from the past: Continual meta-learning with Bayesian graph neural networks. In Proceedings of the 34th AAAI Conference on Artificial Intelligence, New York, NY, USA, 7–12 February 2020; pp. 5021–5028. [Google Scholar]
- Zhou, B.; Zhao, J.; Yan, C.; Zhang, X.; Gu, J. Global and local knowledge distillation method for few-shot classification of electrical equipment. Appl. Sci. 2023, 13, 7016. [Google Scholar] [CrossRef]
- Liu, C.; Chen, T.; Wang, C.; Jiang, S.; Chen, D. Survey of few-shot object detection. J. Front. Comput. Sci. Technol. 2023, 17, 53–73. [Google Scholar]
- Hutter, F.; Kotthoff, L.; Vanschoren, J. Automated Machine Learning: Methods, Systems, Challenges; Springer Publishing Company, Incorporated: Cham, Switzerland, 2019. [Google Scholar]
- Bronstein, M.M.; Bruna, J.; LeCun, Y.; Szlam, A.; Vandergheynst, P. Geometric deep learning: Going beyond Euclidean data. IEEE Signal Process. Mag. 2017, 34, 18–42. [Google Scholar] [CrossRef]
- Xu, Y.; Wang, Y. Fused Node-Level Residual Structure Edge Graph Neural Network for Few-Shot Image Classification. Appl. Sci. 2023, 13, 10996. [Google Scholar] [CrossRef]
- Kipf, T.N.; Welling, M. Semi-Supervised Classification with Graph Convolutional Networks. arXiv 2017, arXiv:1609.02907. [Google Scholar]
- Zhang, M.; Chen, Y. Link Prediction Based on Graph Neural Networks. In Advances in Neural Information Processing Systems (NeurIPS); Curran Associates, Inc.: Red Hook, NY, USA, 2018. [Google Scholar]
- Xu, K.; Hu, W.; Leskovec, J.; Jegelka, S. How Powerful are Graph Neural Networks? In Proceedings of the International Conference on Learning Representations (ICLR), New Orleans, LA, USA, 6–9 May 2019. [Google Scholar]
- Koch, G.; Zemel, R.; Salakhutdinov, R. Siamese neural networks for one-shot image recognition. In Proceedings of the ICML Deep Learning Workshop, Lille, France, 6–11 July 2015; Volume 2. [Google Scholar]
- Snell, J.; Swersky, K.; Zemel, R. Prototypical networks for few-shot learning. In Advances in Neural Information Processing Systems; Curran Associates, Inc.: Red Hook, NY, USA, 2017; pp. 4080–4090. [Google Scholar]
- Sung, F.; Yang, Y.; Zhang, L.; Xiang, T.; Torr, P.H.; Hospedales, T.M. Learning to compare: Relation network for few-shot learning. In Proceedings of the IEEE Conference on Computer Vision and Pattern Recognition, Salt Lake City, UT, USA, 18–23 June 2018; pp. 1199–1208. [Google Scholar]
- Cai, Q.; Pan, Y.; Yao, T.; Yan, C.; Mei, T. Memory matching networks for one-shot image recognition. In Proceedings of the IEEE Conference on Computer Vision and Pattern Recognition, Salt Lake City, UT, USA, 18–23 June 2018; pp. 4080–4088. [Google Scholar]
- Zhang, R.; Che, T.; Ghahramani, Z.; Bengio, Y.; Song, Y. Metagan: An adversarial approach to few-shot learning. In Advances in Neural Information Processing Systems; Curran Associates, Inc.: Red Hook, NY, USA, 2018; pp. 2365–2374. [Google Scholar]
- Bansal, N.; Blum, A.; Chawla, S. Correlation clustering. Mach. Learn. 2004, 56, 89–113. [Google Scholar] [CrossRef]
- Finley, T.; Joachims, T. Supervised clustering with support vector machines. In Proceedings of the 22nd International Conference on Machine Learning (ICML 2005), Bonn, Germany, 7–11 August 2005. [Google Scholar]
- Taskar, B. Learning Structured Prediction Models: A Large Margin Approach. Ph.D. Thesis, Stanford University, Stanford, CA, USA, 2004. [Google Scholar]
- Kim, S.; Nowozin, S.; Kohli, P.; Yoo, C.D. Higher-order correlation clustering for image segmentation. In Advances in Neural Information Processing Systems; Curran Associates, Inc.: Red Hook, NY, USA, 2011; pp. 1530–1538. [Google Scholar]
- Gong, L.; Cheng, Q. Adaptive edge features guided graph attention networks. arXiv 2018, arXiv:1809.02709. [Google Scholar]
- Johnson, D.D. Learning graphical state transitions. In Proceedings of the 4th International Conference on Learning Representations, ICLR 2016, San Juan, Puerto Rico, 2–4 May 2016. [Google Scholar]
- Vinyals, O.; Blundell, C.; Lillicrap, T.; Kavukcuoglu, K.; Wierstra, D. Matching networks for one shot learning. In Advances in Neural Information Processing Systems; Curran Associates, Inc.: Red Hook, NY, USA, 2016; pp. 3630–3638. [Google Scholar]
- Russakovsky, O.; Deng, J.; Su, H.; Krause, J.; Satheesh, S.; Ma, S.; Huang, Z.; Karpathy, A.; Khosla, A.; Bernstein, M.; et al. Imagenet large scale visual recognition challenge. Int. J. Comput. Vis. 2015, 115, 211–252. [Google Scholar] [CrossRef]
- Ren, M.; Triantafillou, E.; Ravi, S.; Snell, J.; Swersky, K.; Tenenbaum, J.B.; Larochelle, H.; Zemel, R.S. Meta-learning for semi-supervised fewshot classification. arXiv 2018, arXiv:1803.00676. [Google Scholar]
- Gidaris, S.; Komodakis, N. Generating classification weights with GNN denoising autoencoders for few-shot learning. arXiv 2019, arXiv:1905.01102. [Google Scholar]
- Mishra, N.; Rohaninejad, M.; Chen, X.; Abbeel, P. A simple neural attentive meta-learner. In Proceedings of the 7th International Conference on Learning Representations, (ICLR Poster), New Orleans, LA, USA, 6–9 May 2019. [Google Scholar]
- Oreshkin, B.N.; López, P.R.; Lacoste, A. TADAM: Task dependent adaptive metric for improved few-shot learning. In Advances in Neural Information Processing Systems; Curran Associates, Inc.: Red Hook, NY, USA, 2018; pp. 719–729. [Google Scholar]
- Ravichandran, A.; Bhotika, R.; Soatto, S. Few-shot learning with embedded class models and shot-free meta training. In Proceedings of the IEEE International Conference on Computer Vision (ICCV), Seoul, Republic of Korea, 27 October–2 November 2019; pp. 331–339. [Google Scholar]
- Li, Z.; Zhou, F.; Chen, F.; Li, H. Meta-sgd: Learning to learn quickly for few-shot learning. arXiv 2017, arXiv:1707.09835. [Google Scholar]
- Rusu, A.A.; Rao, D.; Sygnowski, J.; Vinyals, O.; Pascanu, R.; Osindero, S.; Hadsell, R. Meta-learning with latent embedding optimization. arXiv 2018, arXiv:1807.05960. [Google Scholar]
Disclaimer/Publisher’s Note: The statements, opinions and data contained in all publications are solely those of the individual author(s) and contributor(s) and not of MDPI and/or the editor(s). MDPI and/or the editor(s) disclaim responsibility for any injury to people or property resulting from any ideas, methods, instructions or products referred to in the content. |
© 2024 by the authors. Licensee MDPI, Basel, Switzerland. This article is an open access article distributed under the terms and conditions of the Creative Commons Attribution (CC BY) license (https://creativecommons.org/licenses/by/4.0/).