Parameter Optimization Method for Metal Surface pBRDF Model Based on Improved Strawberry Algorithm
Abstract
1. Introduction
2. Polarization Bidirectional Reflection Distribution Function Model
3. Improved Strawberry Optimization Algorithm
3.1. Strawberry Optimization
- (1)
- Each strawberry plant performs local searches through roots and global searches through runners randomly to find life resources [22].
- (2)
- The runners generate new roots through global search and produce child plants, as shown in Figure 2.
- (3)
- Strawberry child plants grow faster and generate more roots and runners when they approach more affluent resources, and on the other hand, strawberry child plants are more likely to die in the case of inadequate resources.

- (1)
- Initialization
- (2)
- Calculation of fitness value
- (3)
- Update of optimal solutions
- (4)
- Iteration
3.2. Improved Algorithm
3.2.1. Chaotic Mapping to Initialize the Mother Population
3.2.2. Update with Levy Flight
3.2.3. Optimization of Metal Surface pBRDF Model Parameters
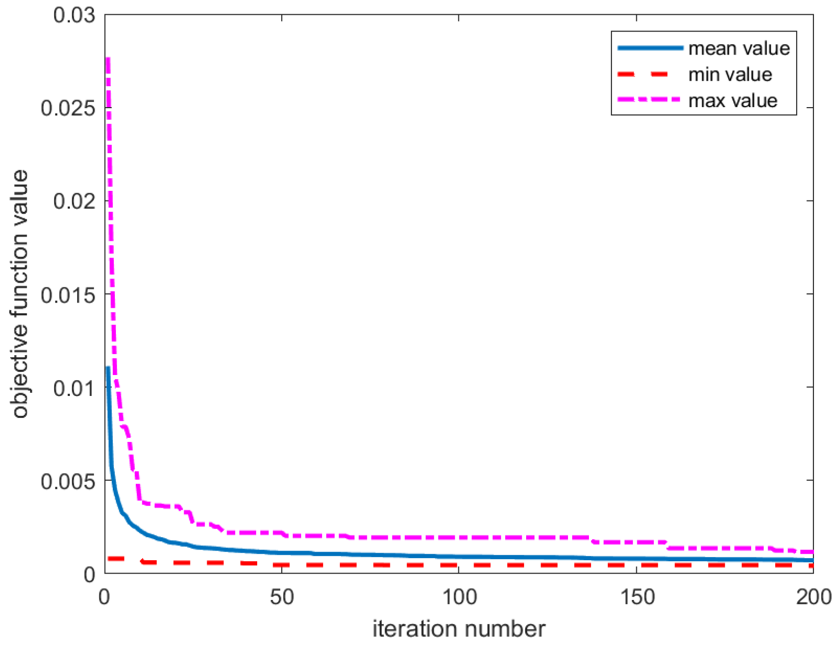
4. Simulation and Experiment
4.1. Simulation
4.2. Experimental Verification
5. Conclusions
Author Contributions
Funding
Institutional Review Board Statement
Informed Consent Statement
Data Availability Statement
Acknowledgments
Conflicts of Interest
References
- Thilak, V.; Voelz, D.G.; Creusere, C.D. Polarization-based index of refraction and reflection angle estimation for remote sensing applications. Appl. Opt. 2007, 46, 7527–7536. [Google Scholar] [CrossRef] [PubMed]
- Zhu, J.P.; Liu, H.; Wang, K.; Hou, X. Modeling and Analyzing Polarimetric Reflection Properties of Target Materials: Metals and Coatings; Science Press: Beijing, China, 2020. [Google Scholar]
- Thilak, V.; Voelz, D.G.; Creusere, C.D. Development status and prospects of polarization imaging technology. Infrared Laser Eng. 2022, 51, 20210987. [Google Scholar]
- Fontanot, T.; Audenaert, J.; Hanselaer, P.; Pecorari, I.; Lughi, V.; Vesselli, E.; Paroni, S.; Leloup, F.B. BRDF characterization of Al-coated thermoplastic polymer surfaces. J. Coat. Technol. Res. 2020, 17, 1195–1205. [Google Scholar] [CrossRef]
- Shen, Y.X.; Yao, Y.; He, H.H.; Liu, S.; Ma, H. Mueller matrix polarimetry: A labelfree quantitative optical method for clinical diagnosis. Chin. J. Lasers 2020, 47, 0207001. [Google Scholar] [CrossRef]
- Torrance, K.E.; Sparrow, E.M. Theory for off-specular reflection from roughened surfaces. J. Opt. Soc. Am. 1967, 57, 1105–1114. [Google Scholar] [CrossRef]
- Phong, B.T. Illumination for computer generated pictures. Commun. ACM 1973, 18, 311–317. [Google Scholar] [CrossRef]
- Maxwell, J.R.; Beard, J.; Weiner, S.; Ladd, S.; Ladd, D. Bidirectional Reflectance Model Validation and Utilization; Environmental Research Institute of Michigan: Ann Arbor, MI, USA, 1973; pp. 10–35. [Google Scholar]
- Cook, R.L.; Torrance, K.E. A reflectance model for computer graphics. ACM Siggraph Comput. Graph. 1981, 15, 307–316. [Google Scholar] [CrossRef]
- Priest, R.G.; Meier, S.R. Polarimetric microfacet scattering theory with applications to absorptive and reflective surfaces. Opt. Eng. 2002, 41, 988–993. [Google Scholar] [CrossRef]
- Zhan, H.; Voelz, D.G. Modified polarimetric bidirectional reflectance distribution function with diffuse scattering: Surface parameter estimation. Opt. Eng. 2016, 55, 123103. [Google Scholar] [CrossRef]
- Zhu, D.R.; Feng, K.K.; Wang, F.; Liu, T.; Sun, F.; Wang, X. Six-parameter polarized bidirectional reflectance distribution function model for rough surfaces. Laser Optoelectron. Prog. 2020, 57, 092901. [Google Scholar]
- Ingmar, G.E.; Hallberg, T.; Bergstrom, D.; Boreman, G.D. Four-parameter model for polarization-resolved rough-surface BRDF. Opt. Express 2011, 19, 1027–1036. [Google Scholar]
- Pan, J.H.; Qian, C.; Qian, W.; Geng, L. Results of a new polarimetric BRDF simulation of metallic surfaces. Infrared Phys. Technol. 2015, 72, 58–67. [Google Scholar] [CrossRef]
- Feng, W.W.; Wei, Q.N.; Wang, S.-M.; Liu, S.-S.; Wu, D.-X.; Liu, Z.-D.; Wang, D.-F. A hybrid model of polarized BRDF for painted surfaces. Acta Photon. Sin. 2009, 38, 962–966. [Google Scholar]
- Liu, Y.Y.; Dai, J.J.; Zhao, S.; Zhang, J. Optimization of five-parameter BRDF model based on hybrid GA-PSO algorithm. Opt.-Int. J. Light Electron Opt. 2020, 219, 164978. [Google Scholar] [CrossRef]
- Nicodemus, F.E.; Richmond, J.C.; Hsia, J.J.; Ginsberg, I.W.; Limperis, T. Geometrical Considerations and Nomenclature for Feflectance, Final Report; Institute for Basic Standards, National Bureau of Standards: Washington, DC, USA, 1977.
- Wang, F.B.; Yi, L.; Xu, L. Polarization bidirectional reflection distribution function of metal surfaces based on diffuse reflection optimization. Acta Opt. Sin. 2021, 41, 1129002. [Google Scholar]
- Wang, K.; Zhu, J.P.; Liu, H. Degree of polarization based on the three-component pBRDF model for metallic materials. Chin. Phys. B 2017, 26, 258263. [Google Scholar] [CrossRef]
- Yang, M.; Fang, Y.H.; Wu, J.; Cui, F.; Li, D.; Wu, Y.; Tao, W. Multiple-component polarized bidirectional reflectance distribution function model for painted surfaces based on Kubelka-Munk theory. Acta Opt. Sin. 2018, 38, 0126002. [Google Scholar] [CrossRef]
- Merrikh-Bayat, F. A Numerical Optimization Algorithm Inspired by the Strawberry Plan; University of Zanjan: Zanjan, Iran, 2014. [Google Scholar]
- Abd, U.; Ishtiag, A.; Wali, K.M.; Asim, M.; Jan, M.A.; Asad, M. Modified strawberry algorithms for global optimization problems. In Proceedings of the 3rd Conference on Sustainability in Process Industry, 19–20 October 2016; pp. 104–111. [Google Scholar]
- Yong, X.; Gao, Y.L.; Zhao, X.; Xu, L. Improved firefly optimization algorithm based on multistrategy fusion. J. Comput. Appl. 2022, 1–10. [Google Scholar]
- Mantegna, R.N. Fast, accurate algorithm for numerical simulation of Levy stable stochastic processes. Phys. Rev. E Stat. Phys. Plasmas Fluids Relat. Interdiscip. Top. 1994, 49, 4677–4683. [Google Scholar] [CrossRef] [PubMed]










| Sample | Truth Value | Reference Value | Estimated Value | |||
|---|---|---|---|---|---|---|
| n | k | n | k | n | k | |
| Copper | 0.40 | 2.95 | 0.54 | 3.19 | 0.51 | 2.90 |
| Black Paint | 1.40 | 0.22 | 1.46 | 1.32 | 1.26 | 0.27 |
| Green Paint | 1.39 | 0.34 | 1.47 | 0.47 | 1.37 | 0.34 |
| Incident Angle | LM | PSO | SBA | ISBA |
|---|---|---|---|---|
| 30° | 0.86% | 0.16% | 0.23% | 0.09% |
| 40° | 0.70% | 0.39% | 0.21% | 0.02% |
| 50° | 0.26% | 0.40% | 0.23% | 0.14% |
Disclaimer/Publisher’s Note: The statements, opinions and data contained in all publications are solely those of the individual author(s) and contributor(s) and not of MDPI and/or the editor(s). MDPI and/or the editor(s) disclaim responsibility for any injury to people or property resulting from any ideas, methods, instructions or products referred to in the content. |
© 2024 by the authors. Licensee MDPI, Basel, Switzerland. This article is an open access article distributed under the terms and conditions of the Creative Commons Attribution (CC BY) license (https://creativecommons.org/licenses/by/4.0/).
Share and Cite
Gong, X.; Wang, F.; Zhu, D.; Wang, F.; Zhao, W.; Chen, S.; Wang, P.; Zhang, S. Parameter Optimization Method for Metal Surface pBRDF Model Based on Improved Strawberry Algorithm. Appl. Sci. 2024, 14, 6022. https://doi.org/10.3390/app14146022
Gong X, Wang F, Zhu D, Wang F, Zhao W, Chen S, Wang P, Zhang S. Parameter Optimization Method for Metal Surface pBRDF Model Based on Improved Strawberry Algorithm. Applied Sciences. 2024; 14(14):6022. https://doi.org/10.3390/app14146022
Chicago/Turabian StyleGong, Xue, Fangbin Wang, Darong Zhu, Feng Wang, Weisong Zhao, Song Chen, Ping Wang, and Shu Zhang. 2024. "Parameter Optimization Method for Metal Surface pBRDF Model Based on Improved Strawberry Algorithm" Applied Sciences 14, no. 14: 6022. https://doi.org/10.3390/app14146022
APA StyleGong, X., Wang, F., Zhu, D., Wang, F., Zhao, W., Chen, S., Wang, P., & Zhang, S. (2024). Parameter Optimization Method for Metal Surface pBRDF Model Based on Improved Strawberry Algorithm. Applied Sciences, 14(14), 6022. https://doi.org/10.3390/app14146022
