Abstract
This paper endeavors to investigate the characteristics of the transient dynamic response of a generally shaped arch when influenced by uncertain parameters while being subjected to specific external excitation. The equations of motion of the generally shaped arches are derived by the differential quadrature (DQ) method, and the deterministic dynamic responses are calculated using the Newmark-β method. By employing the Chebyshev inclusive function, an interval method based on a non-intrusive polynomial surrogate model is developed, and the uncertain dynamic responses are reckoned by enabling numerical simulations. The results of the proposed interval method are compared with those obtained from the scanning method for validation. The effects of various shapes and rise span ratios on the dynamic responses are investigated through a parametric study. The results suggest that the degree of fluctuation in the uncertain dynamic behavior is influenced by the type of parameter. Additionally, the responses of each shaped arch decrease with the increase in the rise span ratios, and with the same rise span ratio, the deterministic responses and corresponding uncertain responses are also affected by the shape of the arch, and they are considered to be at a minimum when the arch shape is parabolic. This study will enhance understanding of the dynamic properties of arches with uncertainties and provide some basis for the assessment and health monitoring of arch structures.
1. Introduction
The arch structure is a kind of load-bearing structure primarily designed to withstand pressure and commonly utilized in the construction of middle- and long-span civil engineering applications like bridges, trusses and vaults. The strength and lightweight nature of steel make it particularly suitable for most of those structural types, outperforming masonry materials in these aspects. Thus, the utilization of steel arches is intended to be illustrated in this paper. Numerous works focus on the theoretical and practical investigation of the vibration problems of arches, all of which are based on the deterministic method [1,2,3,4,5,6,7]. Uncertainties exist throughout the entire structural life cycle, encompassing design errors, construction deviations, inevitable geometrical changes, inherent dispersion in materials, variable working environments, and stochastic external excitation. Sometimes, the dynamic behavior of arches with a large slenderness ratio is highly sensitive to these uncertainties; therefore, it would be advantageous for dynamic assessment to take the uncertainties into consideration. However, up to now, there is limited literature regarding the dynamic properties of arches with uncertainty. V. Gusella [8] proposed an approach to model curve beams by considering geometrical uncertainty, and the randomness of the curvature and torsion was modeled using weakly homogeneous random functions with the discrete spectrum and analyzed via the Serret–Frenet formulas, with the result being described by Riccati’s random differential operator in the complex domain. Wu et al. [9] presented a novel hybrid probabilistic and interval computational method to analyze the uncertain time-dependent structural responses of concrete-filled steel tubular composite curved structures. Wu et al. [10] presented a new unified Chebyshev surrogate model-based hybrid random and interval uncertainty analysis method for assessing the geometrically nonlinear responses of structures, and the statistical features were provided by the generalized unified interval stochastic sampling framework.
Some beneficial approaches are offered by the above works for analyzing the dynamic responses of arches or curve beams with uncertainties. Generally, the structural uncertainties are typically modeled as random variables, with the probability distribution function (PDF) being used to characterize the distribution of the uncertainties. In these probabilistic methodologies, the means of deriving the PDF is the key point. There must be a large number of samples for their definition, and sometimes it is impossible due to the insufficient prior data. Sometimes, an assumption is made to obtain the PDF, but the result may also be unreliable. Some typical methodologies, such as Monte Carlo simulation (MCS) and scanning methods, are commonly used as references for other uncertain quantification algorithms in the probabilistic domain [11,12]. The major drawback of this method is that the amount of sample must be sufficiently large to obtain an accurate result, which often implies that the computational cost is substantial, and it may perhaps be unachievable in some circumstances. As an optimization method, the genetic algorithm is simple and comprehensible, with strong robustness [13]. It can serve as an excellent supplement to traditional probabilistic methods in uncertain optimization; however, a sufficient number of samples is also indispensable. The non-probabilistic interval method is more suitable than the probabilistic one when the samples are scarce. Only the upper and lower bounds define the extreme values of the uncertainties required rather than the precise distribution in this approach, and these bounds are typically easy to estimate. The interval Taylor method (ITM), interval perturbation method (IPM), and Chebyshev inclusion function (CIF) are the classic interval approaches commonly used to conduct uncertainty analysis. The ITM is an intrusive and derivative-based method, which finds it difficult to extend to high orders due to the difficulty in deriving the derivatives [14]. The IPM possesses high accuracy but is merely suitable for uncertainties with minor fluctuations [15]. Correspondingly, the CIF proposed by Wu et al. is a non-intrusive method based on the Chebyshev polynomial approximation theory, whereby the bounds of the real dynamic response can be defined via the extreme values of the approximation formulas [16,17]. In the CIF, only the deterministic responses at the given sample points are required within the Chebyshev polynomial function, rather than any modification to the deterministic solution procedure. It not only boasts ease of implementation but also exhibits remarkable efficiency. Some literature exists regarding the applications of the CIF in engineering structural dynamic characteristics. Wei et al. present an univariate Chebyshev polynomial method (UCM) for the interval bounds estimation of structures with bounded yet uncertain parameters, and a surrogate model composed of explicit univariate Chebyshev functions is established through the UCM [18]. Yan et al. establish a nonlinear mathematical model of a rotor-shaft-bearing system of a hydroelectric generating unit under the action of interval uncertain parameters based on the Chebyshev polynomial and interval analysis theory, and they analyze the uncertain response characteristics of the system under single parameters, multiple parameters, and shock excitation [19]. Jia et al. propose the Chebyshev convex method (CCM) to calculate the dynamic response of the Jeffcott rotor system with multiple uncertain parameters [20]. Currently, the research on the dynamic responses of arches with uncertain parameters in the literature is largely focused on the circular arch, meaning that the curvatures of the arches being analyzed are constant. The analysis of the dynamic response of variable curvature arch structures with uncertain parameters is scarce in the literature. Generally, the variable curvature arches predominate in practical engineering, thus it is necessary to identify a convenient and efficient model to obtain the dynamic responses of generally shaped arches with uncertain parameters.
In this paper, a non-invasive polynomial surrogate model based on the Chebyshev approximation theory is employed to handle the interval dynamic response of constant and variable curvature arches with uncertain parameters under external excitation. First, the motion equations of the generally shaped arch are constructed, and the differential quadrature (DQ) method is employed to simplify these equations. Secondly, the deterministic dynamic response is computed via the Newmark-β method. On this basis, the uncertain dynamic response is derived using the polynomial surrogate method, and the discrepancies of the response interval among different rise span ratios are compared. This approach is straightforward and convenient, without any complicating theory or learning mechanism.
The remainder of this paper is organized as follows. The model of the variable curvature arch is described, the equations of motion are established, the DQ method is introduced to simplify the equations and the Newmark-β method is employed to obtain the deterministic dynamic responses in Section 2. Based on the previous derivations, the Chebyshev orthogonal polynomial approximation is used to obtain the interval solution of free vibration characteristics in Section 3. Some numerical examples are presented and several discussions are raised in Section 4. In Section 5, the conclusions are summarized.
2. Generally Shaped Arch Model and Equations of Motion
Figure 1 illustrates a generally shaped arch with the span L and mid-span rise H (vertical height from the abutments to the top), referred to an orthogonal local system o’x’y’, and a global polar system defined using a central angle θ regarding the vertical Y axis and a radius of curvature R = R(θ) (R(θ) is constant for the circular arch and can be expressed as R), and θ is positive if it is clockwise, θ∈[−θ0, θ0]. It is assumed that the arch is linear elastic and symmetric, with its transverse section remaining constant along the principal axis. The arch is composed of elastic, homogeneous, and uniform isotropic materials, u(θ,t), v(θ,t) and φ(θ,t) are the tangential displacement, radial displacement, and bending slope of the centroid of transverse section corresponding the angle θ at an arbitrary time t, respectively. These displacements consistently align with the positive direction of the corresponding local system. The strain-displacement relations of the arch are determined through the utilization of the definitions for the strain displacements in the polar system and are presented as follows
in which ε(θ,t), γ(θ,t) and χ(θ,t) are the normal strain, the shear strain and the curvature components, respectively.
Figure 1.
Generally shaped arch with (a) the global and local reference configurations; (b) the displacement and internal force components; and (c) the calculation diagram with the span L and mid-span rise H.
Generally, the equations of motion of a generally shaped arch can be deduced by the Hamilton principle. The principle provides the actual boundary conditions of the problem and stipulates that among the set of all the admissible configurations of a system, its actual motion renders the potential Π stationary once the configuration of the system is defined at the limits t = t1 and t = t2, which implies:
where δΩ, δT, and δW refer to the variation of the strain energy, kinetic energy and work of the external excitation forces, respectively. The strain energy can be expressed as
where E is Young’s modulus, G is the shear modulus, and , in which ν represents the Poisson ratio. A is the area of the transverse section, I is the moment of inertia, κ0 is the shear factor, and ε = [ε(θ,t), γ(θ,t), χ(θ,t)]T is the generalized strain vector. Accordingly, the kinetic energy can be expressed as
where ρ is the mass density for the unit volume, u = [u(θ,t), v(θ,t), φ(θ,t)]T is the generalized displacement vector, and is the generalized velocity vector. The work of the external force can be expressed as
where q = [p(θ,t), q(θ,t), m(θ,t)] is the vector of the external excitation force, with the components p(θ,t), q(θ,t) in the tangential and normal direction, and m(θ,t) the flexural moments per unit of length. Substituting Equations (3)–(5) into Equation (2), the equations of motion can be expressed as follows [5]:
The boundaries at both ends of the arch studied in this paper are fixed, which can be described as , at .
The differential quadrature (DQ) method is introduced to eliminate the differential terms concerning θ as follows [3]. According to the DQ method, the derivative of the smooth function concerning the independent variable can be substituted by a weighted summation of the function values at multiple sample points, which is obtained by dividing the domain of the independent variable according to specific rules. This means that the nth ordered derivative of a smooth function f(θ) with respect to θ at the ith sample point θi can be replaced as follows
where represents the nth order derivative weighting coefficient of θ at the ith sample point calculated for the jth sample point in the domain, f(θj) is the value of the function f(θ) at the jth sample point, and N is the total number of sample points. can be expressed as follows:
first order: , ,
where
higher order: , ,,
The selection of sample points is an essential step in the DQ method. The Chebyshev–Gauss–Lobatto (C-G-L) sampling rule is employed here. According to the rule, the sample point ai in the standard interval [0,1] is expressed as
The sample point θi in the real domain can be obtained by mapping to ai
Then, Equation (6) can be rewritten as:
Equation (12) can be simplified as:
where M and K are the global mass and stiffness matrices, respectively. F = [p1,q1,m1,…,pN,qN,mN]T is the external distributed loading, U = [u1,v1,φ1,…uN,vN,φN]T is the generalized displacement vector, and is the generalized acceleration vector. Equation (13) is a set of ordinary differential equations, and the boundary condition can be transformed into , i = 1, N.
The curvature radius term Ri, which is contained within K in Equation (13), remains constant in the case of a circular arch; however, for a variable curvature arch, it is necessary to derive the analytical expression of Ri to determine its value at each sample point. According to Riemannian geometry, while the analytical expression of a curve is expressed as or , which has the second derivative, the corresponding curvature radius R can be derived as , or . The curvature radii R concerning θ of some common shapes for arch structure applications are listed in Table 1. It should be noted that there is a parametric transformation between the global polar system and the orthogonal system.
Table 1.
Analytical expression of the curvature radius of arches.
Then, the structural damping is assumed by using Rayleigh damping theory as
where α and β are the parameters of Rayleigh damping, which can be obtained from
where ω1 and ω2 are the first and second natural frequencies, respectively, which are obtained from the eigenvalue decomposition of the free vibration equations. ξ1 = 0.05 and ξ2 = 0.07 are the first- and second-order damping ratios, respectively. The dynamic equations at any time under the external excitation can be expressed as:
where is the generalized velocity vector. Generally, Equation (16) can be solved by any regular numerical method. In this paper, the Newmark-β integration method is employed to solve the dynamic equation. Based on this method, the total time T is equally discretized in n time steps Δt, and the iteration form between kth and (k + 1)th time integration step is expressed as follows:
where δ and β are the integral parameters on which the stability of the algorithm relies. It can be proved that the integration process will be unconditionally stable when δ = 1/2 and β = (1/2 + δ)2/4. Regardless of the time step and initial states, the solution will remain bounded.
3. Chebyshev Polynomial Approximation Method for Dynamic Responses
As previously stated, the presence of uncertainties plays a crucial role in the dynamic responses of the arches. Here, the interval analysis is employed, and the uncertain parameters are defined as interval parameters. In consideration of the uncertainties involved in the arches, Equation (16) ought be rewritten in the interval form
where XI is an interval parameter vector encompassing all the uncertain parameters of an arch. The superscript I denotes an interval variable. XI can be expressed as
in which XL, XU and XC are the lower bound, upper bound and nominal value of the interval vector XI, respectively. β denotes the deviation vector, which signifies the variation coefficients corresponding to the uncertain parameters. The bounds of the uncertain transient dynamic responses essentially represent the extremum values of the deterministic arch structure system subject to the constraints expressed as Equation (18). A multitude of methodologies can be utilized to probe the solution of Equation (18). To guarantee the computational procedure’s efficiency and the accuracy of the results, the Chebyshev inclusion function (CIF) is utilized in this study [11,16,17,18,19,21,22,23,24,25,26,27,28]. It is assumed that there are n uncertain parameters in the arch, and an n-dimensional surrogate model of transient dynamic responses at an arbitrary time up to order p, which is established via the CIF, is given as
where λ represents the total number of zeros occurring in the subscripts , is the expansion coefficient to be estimated, and is the n-dimensional Chebyshev polynomials, which can be expressed as
with ,. is the kth member of the interval vector XI. The expansion coefficient can be expressed as
It is difficult to directly derive the integral result of Equation (22), so a numerical integration formulation with an interpolation technique named Gauss–Chebyshev quadrature will be employed for the integral formulas. It can be expressed as
where is the weight function and is the interpolation number. Then, Equation (22) can be numerically computed by multi-dimensional Gauss–Chebyshev quadrature formulas as
where q is the interpolation number for each dimensional in the numerical integration, which should be satisfied so that for sufficient integral accuracy. can be calculated as
The interpolation points xji for the uncertain parameters are given as
Substituting Equations (21) and (24) into Equation (20), the n-dimensional surrogate model of dynamic responses can be expressed as follows:
It can be noted that the surrogate model is defined by the expansion coefficients , which are determined by the deterministic solutions of the structure at the interpolation points. The surrogate model will be constructed when all the Chebyshev coefficients are obtained. The uncertain dynamic response range under specific external excitation at any given time can be derived by assessing the bounds of the surrogate model in the standard interval, meaning that the bounds of the interval solutions are essentially the extreme values of the model in the standard interval. Hence, the uncertain problem is transformed into a series of deterministic problems, and the interval solution of dynamic responses with uncertainties can be obtained conveniently. For the one-dimensional model, only the responses at q interpolation points are needed, and for the n-dimensional model, the number of calculations becomes qn. For reader comprehension, the whole computational flowchart of the uncertain transient response obtained by the Chebyshev interval method is illustrated in Figure 2.
Figure 2.
Computational flowchart of the uncertain transient dynamic response via the Chebyshev interval method.
4. Numerical Results and Discussion
The present section centers on the numerical simulation of generally shaped arches with uncertain parameters. In the preliminary section, a circular arch is regarded as an exemplary case, in which external forces varying with time are chosen as the external excitation to acquire the deterministic dynamic responses. Owing to the arch structure possessing a considerable span and primarily undergoing compressive loads, the radial displacement at the top of the arch is of particular concern; thus, as shown in Figure 3, the vertical excitation is selected and the radial displacement at the top is chosen as the transient response hereafter. The cross-section is regarded as a hollow circular, and r1 and r2 are, respectively, the outer and inner radii of the cross-section. Then, the Chebyshev interval method mentioned beforehand is utilized to probe the bounds of these responses, and the accuracy of the proposed approach is validated via comparison with the scanning method. In the second section, the interval method is further extended to encompass variable curvature arches, enabling a more comprehensive conclusion. For the purpose of comparison, all the arches maintain the same span and mid-span rise as the circular arch in the previous section. In the third section, the response ranges of identical arches with a constant span and different mid-span rises are presented.
Figure 3.
(a) The radial displacement of the selected point, and (b) the cross-section of the arch.
4.1. Comparison of the Chebyshev Interval Method with the Scanning Method in Transient Responses Calculation
In this subsection, the transient response of the circular arch under various types of external excitation is initially computed. The physical and geometric parameters of the arch are presented in Table 2. The span is taken as 10 m and the mid-span rise is taken as 3 m, respectively. The curvature radius and central angle of the arch can be readily determined through straightforward calculations (R = 17/3 m, −θ0 = −arcsin(15/17), θ0 = arcsin(15/17)), respectively. The specific types of external excitation are detailed in Table 3, with a duration time of t = 2 s and a time step of 0.02 s.
Table 2.
Physical and geometric parameters of the arch.
Table 3.
Types of external excitation force.
Subsequently, in order to take into account uncertain parameters, the Chebyshev interval method is utilized to obtain the uncertain response ranges. To assess the accuracy of the interval procedure in predicting the response ranges of the arch, it is essential to employ certain traditional methods for quantifying uncertainty as a benchmark. The scanning method, similar to the Monte Carlo method, is frequently used as an accuracy validation for another uncertainty quantification method. The principle of the scanning method is that the uncertain interval xI can be divided into equal-stepped samples expressed as
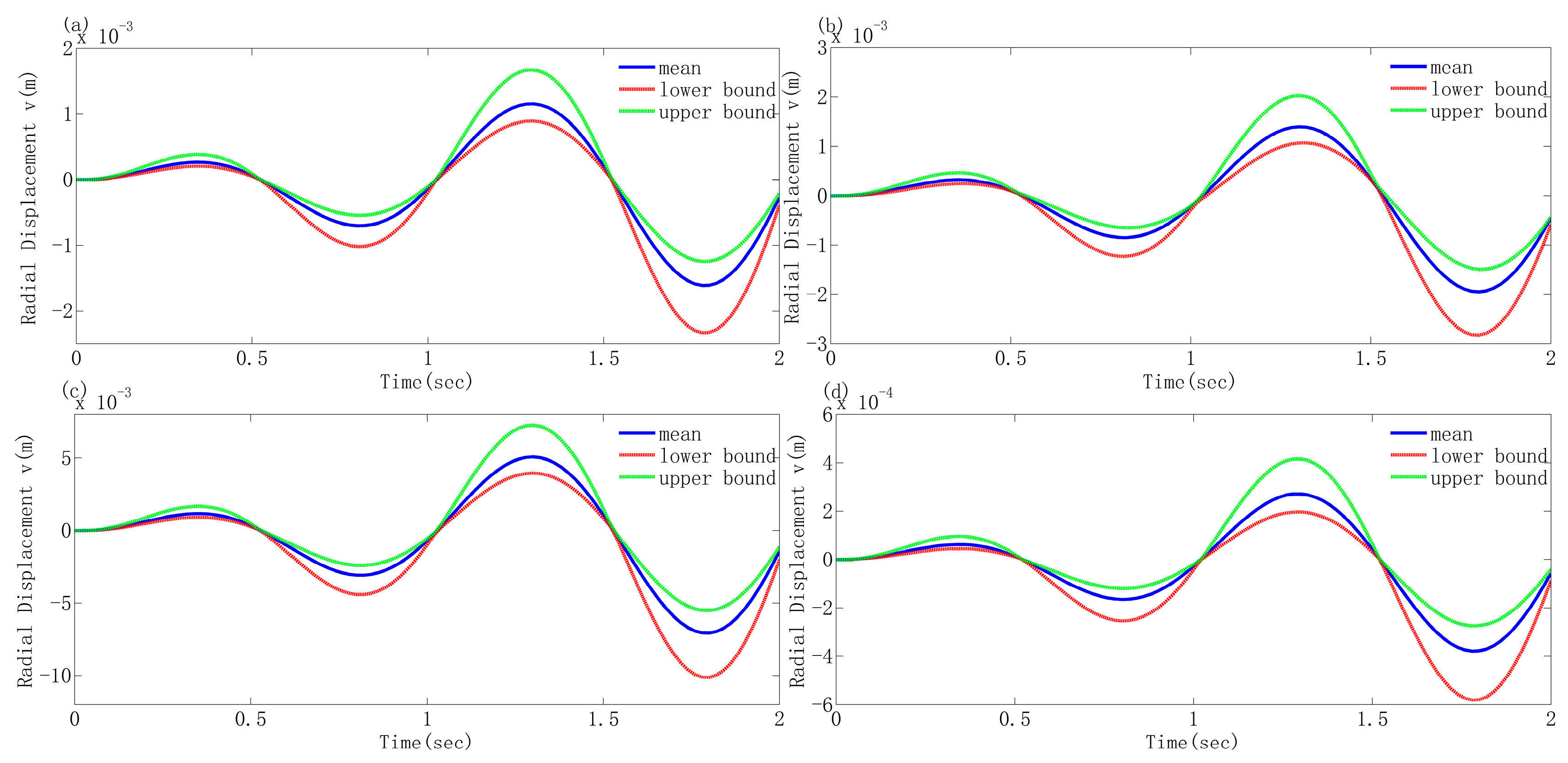
where represents the sampling number within the interval . Both accuracy and convergence can be achieved through proper sampling, and it has been demonstrated that the objective can be fulfilled with more than 500 samples [22]; thus, the method sets the value of to 500. To consider the potential geometric errors that might occur due to the design, fabrication, and machining processes, the inner radius of the cross-section is regarded as an uncertain parameter with a deviation degree of 5%. The comparison of the results between the interval method and the scanning method is presented in Figure 4. In the interval method, the Chebyshev surrogate model has an expansion order of 10 and an interpolation number of 11.
Figure 4.
The uncertain transient dynamic response of a circular arch with 5% deviation in the inner radius of cross-section under external excitation: (a) case 1, (b) case 2, (c) case 3, and (d) case 4.
Firstly, it is noticeable from Figure 4 that the deterministic responses in cases 1 to 4 are all encompassed by the upper and lower bounds of the uncertain responses. Secondly, the upper and lower bounds of the uncertain response obtained through the proposed interval method and the scanning method are nearly identical. To further validate the accuracy of the proposed interval method, the notion of relative error is put forward. Supposing that the upper and lower bounds of the response interval obtained by the scanning method are the exact values, the relative error is expressed as:
where d and d′ are the response bounds obtained by the scanning method and the interval method, respectively. The results are presented in Figure 5.
Figure 5.
The relative error of the scanning method and the interval method in Figure 4: (a) case 1, (b) case 2, (c) case 3, and (d) case 4.
The maximum error range depicted in Figure 5 is within 7%, which demonstrates the suitability of the proposed interval method for computing the response interval of the arch and the excellent accuracy of the calculation results. It is worth noting that under the same external excitation, as the absolute value of the determined response increases or as time elapses, the error of the interval method becomes smaller and the results become more accurate. Meanwhile, under the harmonic load in cases 2 to 4, most of the peak errors occur at the minimum absolute value of their respective responses. Due to the small response, their impact on the structure can be disregarded. Hence, the interval method with an expansion order of 10 is accurate enough to fulfill the research objective.
In addition, it is observed from Figure 4 that, although only a small uncertainty is considered here, the uncertain effects are significant. Meanwhile, the upper and lower bounds of the uncertain response increase along with the increase in the absolute value of the deterministic response. Moreover, under the harmonic load in cases 2 to 4, this phenomenon is particularly evident at the peaks and troughs of the response, signifying that the larger the absolute value of the vibration response, the more pronounced the influence of uncertain parameters.
4.2. Transient Dynamic Behavior Investigation of the Generally Shaped Arches Considering Different Uncertain Parameters
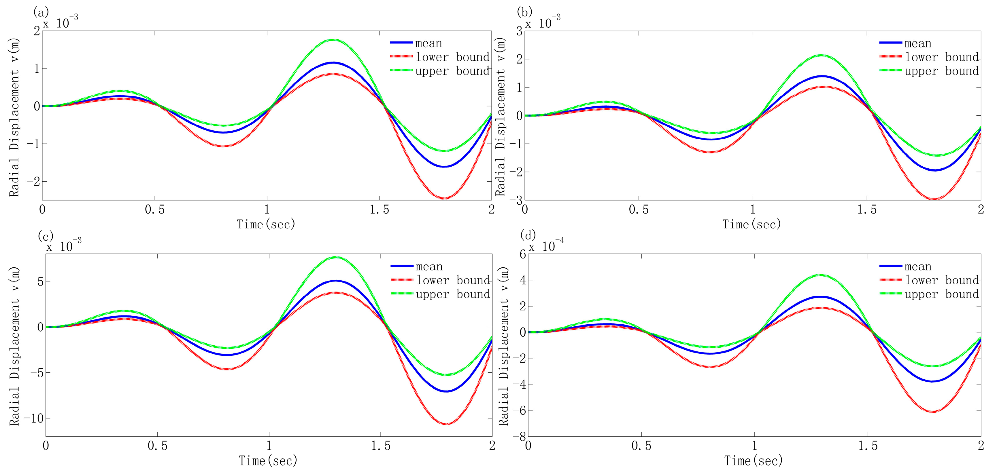
In this subsection, the uncertain transient dynamic responses of the generally shaped arches as proposed in Table 1 are presented. To facilitate comparison, the total length, mid-span height, cross-section size, and physical parameters are kept constant, while variations only occur in the curvature radius and the central angle. Regarding a specific arch shape, information has previously been provided for the circular arch in terms of its curvature radius and central angle, and others can easily be obtained through simple calculations. For the cycloidal arch, a = 1.6 m, −θ0 = −5π/12 and θ0 = 5π/12; for the elliptical arch, a = 3 m, b = 5 m, −θ0 = −π/2 and θ0 = π/2; for the parabolic arch, a = 3 m, xp = 5 m, yp = 0, −θ0 ≈ −0.21π and θ0 ≈ 0.21π. For the sake of brevity and without sacrificing representativeness and distinctness, the harmonic distributed load of case 3 is selected as the external excitation. The inner radius of the cross-section is still regarded as an uncertain parameter, with a deviation degree of 5% considered. Some of these simulation results have been illustrated in the previous comparative analysis. Additionally, considering the inevitable inherent dispersion in the materials, the uncertain Young’s modulus with a deviation degree of 5% is also employed, and the transient response solutions are plotted in Figure 6 and Figure 7, respectively.
Figure 6.
The uncertain transient dynamic response of the general shaped arch with a 5% deviation degree in the inner radius of cross section: (a) circumference, (b) cycloid, (c) ellipse, and (d) parabola.
Figure 7.
The uncertain transient dynamic response of the generally shaped arch with a 5% deviation degree in Young’s modulus: (a) circumference, (b) cycloid, (c) ellipse, and (d) parabola.
By comparing the results in Figure 6 and Figure 7 with those in Figure 4, it can be found that the various shaped arches listed in Table 1 allow the same conclusion as for the previous circular arch—that is, the greater the absolute value of the response, the more obvious the influence of uncertainty. In addition, for different shaped arches with a span of 10 m and a mid-span rise of 3 m, the deterministic and uncertain responses are not exactly the same, which is not only related to the shape type of the arch but also to its central angle 2θ0. Arranged in descending order of the central angles of the arch, they are the elliptical arch, cycloid arch, circular arch and parabolic arch. The deterministic response and uncertain response ranges are also positively correlated with the size of the central angle, and they are in the order of the elliptical arch, cycloid arch, circular arch and parabolic arch from large to small, and the greater the absolute value of the response, the more obvious this feature is. In addition, it can also be observed that for the same shaped arch, different uncertain parameters have different influences on the boundaries of the uncertain response, and the influence of the cross-sectional size is much greater than that of Young’s modulus.
Due to the intricacy of practical engineering problems, the occurrence of multiple uncertain parameters is often inevitable. Considering the scenario where both uncertainties occur simultaneously and the deviation degree is the same, which is 5%, the uncertain response of the arch is further calculated. At this juncture, if the scanning method is employed, it is necessary to perform operations on the deterministic finite element model at each sample point due to the geometric increase in the required number of sample points (if the number of sample points for a single uncertain parameter is still set at 500, then the number of sample points for double uncertain parameters becomes 5002), thereby resulting in an unacceptable computing cost. In contrast, the Chebyshev interval method adopted in this paper can conveniently extend to higher-dimensional approximations, significantly reducing the total number of interpolation points and keeping it within an acceptable range. The uncertain dynamic response of the generally shaped arch when considering two uncertainties simultaneously calculated by the surrogate model is illustrated in Figure 8.
Figure 8.
The uncertain transient dynamic response of the general shaped arch with a 5% deviation degree in the inner radius of cross section and a 5% deviation degree in the Young’s modulus: (a) circumference, (b) cycloid, (c) ellipse, and (d) parabola.
Upon comparing the results in Figure 8 with those in Figure 6, it is observable that the upper and lower bounds of the uncertain response are very close to the bounds of the uncertain response when only the inner radius of the cross-section is regarded as an uncertainty. This implies that even when taking into account the uncertainty of both parameters, the impact of uncertainty in Young’s modulus on the response is much less than that of the cross-section size. It can be deduced that, irrespective of whether it is a single uncertainty or multiple uncertainties, the influence of the cross-section size on the uncertain response is significantly greater than that of the material properties.
4.3. Transient Dynamic Responses Comparison of General Shaped Arches with the Same Total Length and Different Mid-Span Height
The span of a particular arch bridge remains invariably constant, yet the mid-span rise may differ due to diverse usage requirements. Hence, we are highly intrigued by comparing the uncertain dynamic response ranges of arches with the same span but varying rise span ratios, taking into account the impact of uncertain parameters. Similar to the previous subsection, when the two uncertainties occur simultaneously, with the span remaining unchanged and the mid-span rise being 4 m, the interval responses are obtained through the Chebyshev interval method, as depicted in Figure 9. The parameters that curvature radius needed and the central angle for each shape of arch are as follows: for the circular arch, R = 41/8 m, −θ0 = −arcsin(40/41) and θ0 = arcsin(40/41); for the cycloidal arch, a = 2 m, −θ0 ≈ −0.24π and θ0 ≈ 0.24π; for the elliptical arch, a = 4 m, b = 5 m, −θ0 = −π/2 and θ0 = π/2; for the parabolic arch, a = 4 m, xp = 5 m, yp = 0, and −θ0 ≈ −0.23π and θ0 ≈ 0.23π.
Figure 9.
The uncertain transient dynamic response of the general shaped arch with a higher rise span ratio, 5% deviation degree in the inner radius of cross section and 5% deviation degree in the Young’s modulus: (a) circumference, (b) cycloid, (c) ellipse, and (d) parabola.
Firstly, as depicted in Figure 9, when the span remains unchanged and the mid-span rise increases—that is, when the rise span ratio increases—the uncertain effects brought about by uncertain parameters still remain significant. The absolute value of the response at the mid-span and the upper and lower bounds of the uncertain response at any given time are all reduced compared to the arch before the change in the rise span ratio. Secondly, it can also be observed that the degree of reduction in the response varies with the shape of the arch, and the response is no longer positively correlated with the central angle. Under the new rise span ratio, the response is still ranked from largest to smallest as the elliptical arch, cycloid arch, circular arch, and parabolic arch, while the central angle is ranked from largest to smallest as the elliptical arch, circular arch, cycloid arch, and parabolic arch. Among them, the central angle of the elliptical arch remains unchanged, the central angle of the circular arch increases by approximately one-quarter, the central angle of the parabolic arch increases slightly, and the central angle of the cycloid arch decreases by about 40%. This indicates that for arches of different shapes with different rise span ratios, the positive relationship between the central angle and the response seems not to hold. It can only be confirmed that the rise span ratio indeed has an impact on the size of the response. From a mathematical perspective, the change in the rise span ratio causes a change in the expression of the curvature radius, thereby resulting in a change in the response. From an engineering viewpoint, for this type of curved beam structure, such as an arch, with the same span, the increase in the rise implies an increase in the arch height, which can offset part of the mid-span response generated by vertical external excitations. Finally, it is discovered that regardless of how the rise span ratio changes, among the arches of the same rise span ratio and different types, the absolute value of the deterministic response and the absolute value of the upper and lower bounds of the uncertain response of the parabolic arch are the smallest, which indicates that under the same conditions, whether uncertain parameters are considered or not, the parabolic arch is the best choice from the perspective of safety and comfort.
For intuitive understanding, the maximum absolute values of both the positive and negative responses, and the corresponding upper and lower bounds of the uncertain responses presented in Figure 6, Figure 7, Figure 8 and Figure 9, are enumerated in the following Table 4 and Table 5.
Table 4.
The maximum positive responses and corresponding uncertain responses (×10−3 m).
Table 5.
The maximum negative responses and corresponding uncertain responses (×10−3 m).
5. Conclusions
This paper investigates the characteristics of the transient uncertain response of a generally shaped arch with uncertain interval parameters under vertical external excitation. The transient dynamic response of the generally shaped arch is obtained using the DQ method and the Newmark-β method, and the uncertain dynamic response is determined by employing an interval method based on the Chebyshev polynomials surrogate model. Through comparison with the scanning method, the accuracy of the proposed method in calculating the uncertain responses is demonstrated. Notably, under multiple uncertainties, the interval method requires less sample points and exhibits higher computational efficiency compared to the scanning method. Based on the numerical simulation results of several examples in the previous sections, the following conclusions can be drawn:
- Different uncertain parameters exert varying influences on the responses. The cross-sectional geometric parameters (the inner radius of the circular tube cross-section) have a more significant influence on the uncertain responses than Young’s modulus. Moreover, the greater the absolute value of the deterministic response, the more pronounced this influence becomes. When considering these two uncertain parameters concurrently, the influence of the cross-sectional geometric parameter is predominant.
- Arches of different shapes with the same rise span ratio exhibit distinct deterministic responses and corresponding uncertain responses under the same external excitation. Through comparison, it is observed that the response of the elliptical arch is the greatest and that of the parabolic arch is the smallest. When the rise span ratio is increased while maintaining the span constant, the responses of each arch decrease, and the above conclusion still holds, indicating that the shape and rise span ratio of the arch are the primary factors influencing the dynamic response.
Based on the above conclusions, it is revealed that the parabolic arch with a larger rise span ratio is safer when subjected to dynamic loads. Additionally, considering that the parametric uncertainty is inevitable in order to avoid excessive response fluctuations of the arch, the error of the cross-sectional size should be strictly controlled. Although the research in this paper is solely restricted to the linear dynamic behavior of generally shaped arches, the proposed interval method exhibits the advantages of being non-intrusive and convenient, and it can be extended to more nonlinear problems of arches in the future.
Author Contributions
Methodology, Z.N., C.F. and Y.Y.; validation and formal analysis, Z.N. and J.Z.; supervision, C.F. and Y.Y.; writing—original draft, Z.N.; writing—review and editing, Z.N. and C.F. All authors have read and agreed to the published version of the manuscript.
Funding
This research was funded by the National Natural Science Foundation of China (11972295).
Institutional Review Board Statement
Not applicable.
Informed Consent Statement
Not applicable.
Data Availability Statement
The original contributions presented in the study are included in the article, further inquiries can be directed to the corresponding authors.
Conflicts of Interest
The authors declare no conflicts of interest.
References
- Caliò, I.; D’Urso, D.; Greco, A. The Influence of Damage on the Eigen-Properties of Timoshenko Spatial Arches. Comput. Struct. 2017, 190, 13–24. [Google Scholar] [CrossRef]
- Caliò, I.; Greco, A.; D’Urso, D. Free Vibrations of Spatial Timoshenko Arches. J. Sound Vib. 2014, 333, 4543–4561. [Google Scholar] [CrossRef]
- Eftekhari, S.A. Differential Quadrature Procedure for in-Plane Vibration Analysis of Variable Thickness Circular Arches Traversed by a Moving Point Load. Appl. Math. Model. 2016, 40, 4640–4663. [Google Scholar] [CrossRef]
- Eroglu, U.; Ekrem, T. Crack Modeling and Identification in Curved Beams Using Differential Evolution. Int. J. Mech. Sci. 2017, 131–132, 435–450. [Google Scholar] [CrossRef]
- Tornabene, F.; Dimitri, R.; Viola, E. Transient Dynamic Response of Generally-Shaped Arches Based on a Gdq-Time-Stepping Method. Int. J. Mech. Sci. 2016, 114, 277–314. [Google Scholar] [CrossRef]
- Zhong, Z.; Liu, A.; Fu, J.; Pi, Y.-L.; Deng, J.; Xie, Z. Analytical and Experimental Studies on out-of-Plane Dynamic Parametric Instability of a Circular Arch under a Vertical Harmonic Base Excitation. J. Sound Vib. 2021, 500, 116011. [Google Scholar] [CrossRef]
- Zhong, Z.; Liu, A.; Pi, Y.-L.; Deng, J.; Fu, J.; Gao, W. In-Plane Dynamic Instability of a Shallow Circular Arch under a Vertical-Periodic Uniformly Distributed Load Along the Arch Axis. Int. J. Mech. Sci. 2021, 189, 105973. [Google Scholar] [CrossRef]
- Gusella, V. Geometrical Uncertainty in Mechanics and Random Curves in Space. Probab. Eng. Mech. 2020, 62, 103102. [Google Scholar] [CrossRef]
- Wu, B.; Wu, D.; Gao, W.; Song, C. Time-Variant Random Interval Response of Concrete-Filled Steel Tubular Composite Curved Structures. Compos. Part B Eng. 2016, 94, 122–138. [Google Scholar] [CrossRef]
- Wu, B.; Gao, W.; Wu, D.; Song, C. Probabilistic Interval Geometrically Nonlinear Analysis for Structures. Struct. Saf. 2017, 65, 100–112. [Google Scholar] [CrossRef]
- Hacıefendioğlu, K.; Başağa, H.B.; Banerjee, S. Probabilistic Analysis of Historic Masonry Bridges to Random Ground Motion by Monte Carlo Simulation Using Response Surface Method. Constr. Build. Mater. 2017, 134, 199–209. [Google Scholar] [CrossRef]
- Hong, G.; Deng, Z. Dynamic Response Analysis of Nonlinear Structures with Hybrid Uncertainties. Appl. Math. Model. 2023, 119, 174–195. [Google Scholar] [CrossRef]
- Tsoulos, I.G.; Stavrou, V.; Mastorakis, N.E.; Tsalikakis, D. Genconstraint: A Programming Tool for Constraint Optimization Problems. SoftwareX 2019, 10, 100355. [Google Scholar] [CrossRef]
- Meng, D.; Hu, Z.; Guo, J.; Lv, Z.; Xie, T.; Wang, Z. An Uncertainty-Based Structural Design and Optimization Method with Interval Taylor Expansion. Structures 2021, 33, 4492–4500. [Google Scholar] [CrossRef]
- Qiu, Z.; Zhang, Z. Crack Propagation in Structures with Uncertain-but-Bounded Parameters Via Interval Perturbation Method. Theor. Appl. Fract. Mech. 2018, 98, 95–103. [Google Scholar] [CrossRef]
- Wu, J.; Luo, Z.; Zhang, N.; Zhang, Y. A New Interval Uncertain Optimization Method for Structures Using Chebyshev Surrogate Models. Comput. Struct. 2015, 146, 185–196. [Google Scholar] [CrossRef]
- Wu, J.; Zhang, Y.; Chen, L.; Luo, Z. A Chebyshev Interval Method for Nonlinear Dynamic Systems under Uncertainty. Appl. Math. Model. 2013, 37, 4578–4591. [Google Scholar] [CrossRef]
- Wei, T.; Li, F.; Meng, G.; Li, H. A Univariate Chebyshev Polynomials Method for Structural Systems with Interval Uncertainty. Probab. Eng. Mech. 2021, 66, 103172. [Google Scholar] [CrossRef]
- Yan, D.; Zheng, Y.; Liu, W.; Chen, T.; Chen, Q. Interval Uncertainty Analysis of Vibration Response of Hydroelectric Generating Unit Based on Chebyshev Polynomial. Chaos Solitons Fractals 2022, 155, 111712. [Google Scholar] [CrossRef]
- Jia, Z.; Yang, Y.; Zheng, Q.; Deng, W. Dynamic Analysis of Jeffcott Rotor under Uncertainty Based on Chebyshev Convex Method. Mech. Syst. Signal Process. 2022, 167, 108603. [Google Scholar] [CrossRef]
- Fu, C.; Sinou, J.-J.; Zhu, W.; Lu, K.; Yang, Y. A State-of-the-Art Review on Uncertainty Analysis of Rotor Systems. Mech. Syst. Signal Process. 2023, 183, 109619. [Google Scholar] [CrossRef]
- Fu, C.; Zhu, W.; Zheng, Z.; Sun, C.; Yang, Y.; Lu, K. Nonlinear Responses of a Dual-Rotor System with Rub-Impact Fault Subject to Interval Uncertain Parameters. Mech. Syst. Signal Process. 2022, 170, 108827. [Google Scholar] [CrossRef]
- Li, F.; Li, H.; Zhao, H.; Zhou, Y. A Dimension-Reduction Based Chebyshev Polynomial Method for Uncertainty Analysis in Composite Corrugated Sandwich Structures. J. Compos. Mater. 2022, 56, 1891–1900. [Google Scholar] [CrossRef]
- Mercier, A.; Jézéquel, L. Nonlinear and Stochastic Analysis of Dynamical Instabilities Based on Chebyshev Polynomial Properties and Applied to a Mechanical System with Friction. Mech. Syst. Signal Process. 2023, 189, 110051. [Google Scholar] [CrossRef]
- Mo, J.; Yan, W.-J.; Yuen, K.V.; Beer, M. Efficient Inner-Outer Decoupling Scheme for Non-Probabilistic Model Updating with High Dimensional Model Representation and Chebyshev Approximation. Mech. Syst. Signal Process. 2023, 188, 110040. [Google Scholar] [CrossRef]
- Xiang, W.; Yan, S.; Wu, J.; Niu, W. Dynamic Response and Sensitivity Analysis for Mechanical Systems with Clearance Joints and Parameter Uncertainties Using Chebyshev Polynomials Method. Mech. Syst. Signal Process. 2020, 138, 106596. [Google Scholar] [CrossRef]
- Zhao, H.; Fu, C.; Zhang, Y.; Zhu, W.; Lu, K.; Francis, E.M. Dimensional Decomposition-Aided Metamodels for Uncertainty Quantification and Optimization in Engineering: A Review. Comput. Methods Appl. Mech. Eng. 2024, 428, 117098. [Google Scholar] [CrossRef]
- Zhao, S.; Ren, X.; Zheng, Q.; Lu, K.; Fu, C.; Yang, Y. Transient Dynamic Balancing of the Rotor System with Uncertainty. Mech. Syst. Signal Process. 2022, 171, 108894. [Google Scholar] [CrossRef]
Disclaimer/Publisher’s Note: The statements, opinions and data contained in all publications are solely those of the individual author(s) and contributor(s) and not of MDPI and/or the editor(s). MDPI and/or the editor(s) disclaim responsibility for any injury to people or property resulting from any ideas, methods, instructions or products referred to in the content. |
© 2024 by the authors. Licensee MDPI, Basel, Switzerland. This article is an open access article distributed under the terms and conditions of the Creative Commons Attribution (CC BY) license (https://creativecommons.org/licenses/by/4.0/).
















