Optimizing Mobile Vision Transformers for Land Cover Classification
Abstract
1. Introduction
- Model variants reduce the original MViT’s training parameters by replacing expensive CNN modules with a combination of average pooling, depthwise separable convolution, and ShuffleNet blocks. Our models retain the benefits of CNN and transformers and use them to boost performance on geospatial datasets without some of the other unnecessary costs.
- The usage of convolution layers combined with the self-attention layers of transformers inside the MViT variants provides better performance across all geospatial datasets when compared with the standalone ViT model, which uses 95% more parameters than the MViT variants.
- We test our proposed architectures on four geospatial datasets; we generate several models and conform to testing standards as presented in the literature. The trained models are also made available on GitHub (https://github.com/rahulgomes19/gis-transformer (accessed on 23 September 2023)) for benchmarking and research purposes.
2. Previous Work
| Paper | Datasets | Model | Parameter Size | Paper | Datasets | Model | Parameter Size |
|---|---|---|---|---|---|---|---|
| [34] | AID, UC-Merced, EuroSAT and WHURS19 | MobileNetV2 | 2.5 m | [32] | UC-Merced, AID, and NWPU- RESISC45 | LGDL | 2.107 m |
| DenseNet201 | 18.7 m | RSNet | 2.997 m | ||||
| Xception | 21.8 m | MobileNet-V2 | 3.5 m | ||||
| InceptionResNetV2 | 54.8 m | LGRIN | 4.63 m | ||||
| ResNet152V2 | 58.8 m | SE-MDPMNet | 5.17 m | ||||
| NASNetLarge | 87.3 m | GoogLeNet | 7 m | ||||
| [29] | AID, UC-Merced | ShuffleNet v2 | 1.3 m | ResNet50 | 25.61 m | ||
| SqueezeNet | 1.3 m | Inception V3 | 45.37 m | ||||
| MobileNet v2 | 2.3 m | CaffeNet | 60.97 m | ||||
| DenseNet-121 | 7 m | SPG-GAN | 87.36 m | ||||
| ResNet-50 | 25.6 m | VGG-VD-16 | 138.36 m | ||||
| VGG-16 | 102 m | TSAN | 381.67 m | ||||
| [33] | UC-Merced, WHU-RS19, and AID | VGG16 Lightly Fine-tuned | 9.47 m | [12] | EuroSAT, UC-Merced, WHU-RS19 | EfficientNetBO | 5.2 m |
| VGG16 Heavily Fine-tuned | 14.7 m | ResNet50 | 23.5 m | ||||
| ResNet152V2 Lightly Fine-tuned | 53.97 m | DenseNet161 | 26.4 m | ||||
| ResNet152V2 Heavily Fine-tuned | 58.32 m | ConvNeXt | 28 m | ||||
| [31] | UC-Merced, AID30 and NWPU45 | AMB-CNN | 5.6 m | SwinT | 49.7 m | ||
| HABFNet | 6.2 m | AlexNet | 57 m | ||||
| LCNN-BFF method | 6.2 m | ResNet152 | 58.1 m | ||||
| Inceptionv3 + CapsNet | 22 m | MLPMixer | 59.8 m | ||||
| ResNet+WSPM-CRC | 23 m | ViT | 86.5 m | ||||
| Proposed method | 28 m | VGG16 | 134.2 m | ||||
| [26] | EuroSAT, AID, WHU-RS19 | ResNet-50 | 38 m | [27] | NWPU, AID and UC-Merced | MBV3_SE_G | 5.66 m |
| Vit-Base-32 | 87 m | MBV3_G | 7.65 m | ||||
| Vit-Large-14 | 304 m | ShuffleNet | 8.69 m | ||||
| [30] | AID-10, UC-Merced | Slim Network | 2.5 m | MobilenetV2 | 13.37 m | ||
| Slim Network (BPKM) | 2.5 m | MBV3_SE | 15.15 m | ||||
| SqueezeNet | 4.8 m | MobilenetV3 | 20.92 m | ||||
| Plump Network | 9 m | ResNet | 83.15 m | ||||
| AlexNet | 60 m | [28] | EuroSAT, UC-Merced, AID | EfficientNet | 11 m | ||
| VGG-VD-16 | 140 m | Xception | 20 m | ||||
| ResNet-50 | 23 m |
3. Materials and Methods
3.1. Vision Transformers
3.2. Proposed Lightweight Transformer Modifications
3.3. Datasets
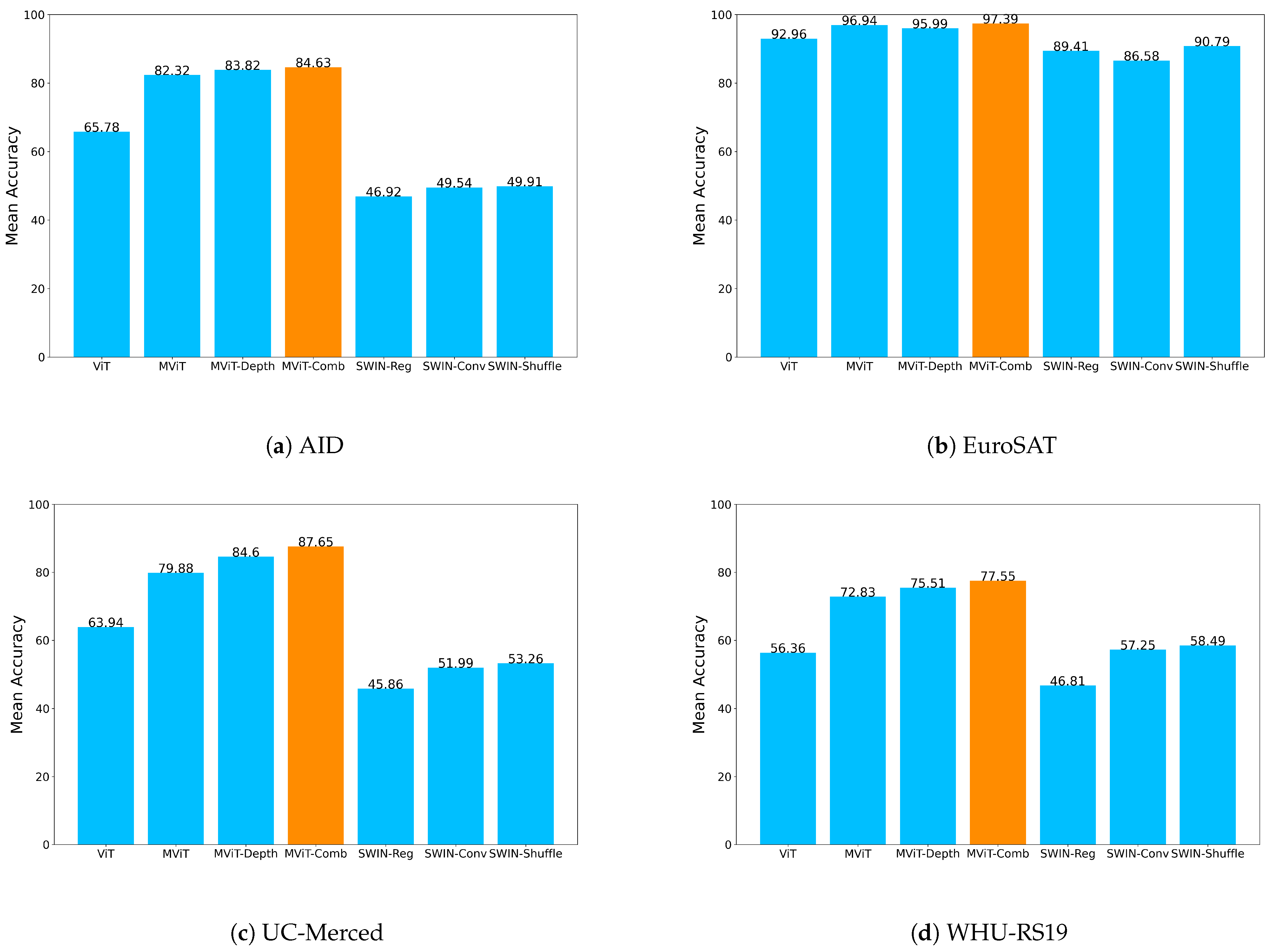
4. Results
5. Discussion
Overfitting and Model Complexity
6. Conclusions
Author Contributions
Funding
Institutional Review Board Statement
Informed Consent Statement
Data Availability Statement
Conflicts of Interest
Abbreviations
| CNN | Convolutional Neural Network |
| ViT | Vision Transformer |
| MViT | Mobile Vision Transformer |
| GIS | Geographic Information Systems |
| ResNet | Residual Network |
| AID | Aerial Image Dataset |
| NWPU45 | Northwestern Polytechnical University Remote Sensing Image Scene Classification |
| RSSCN7 | Remote Sensing Scene Classification Network |
| ReLU | Rectified Linear Unit |
| SWIN | Shifted Windows |
| MHSA | Multi-Head Self-Attention |
Appendix A. Training and Testing Accuracy Values
| Dataset | Model | Split Category | Dataset | Split Category | |||||||
|---|---|---|---|---|---|---|---|---|---|---|---|
| 20–80 | 40–60 | 50–50 | 60–40 | 20–80 | 40–60 | 50–50 | 60–40 | ||||
| Train Acc | AID | ViT | 99.25 | 99.1 | 99.14 | 98.82 | UC-Merced | 99.52 | 99.76 | 98.86 | 99.76 |
| MViT | 99.05 | 99.4 | 99.46 | 99.28 | 98.57 | 98.69 | 99.76 | 98.95 | |||
| MViT-Depth | 99.45 | 99.62 | 99.46 | 99.9 | 100 | 99.64 | 100 | 99.84 | |||
| MViT-Combined | 100 | 99.5 | 99.96 | 99.93 | 100 | 100 | 100 | 100 | |||
| SWIN-Reg | 97.1 | 97.12 | 97.34 | 97.18 | 75.71 | 90.48 | 92.38 | 98.25 | |||
| SWIN-Conv Block | 99.95 | 99.73 | 99.62 | 99.45 | 100 | 99.88 | 100 | 99.92 | |||
| SWIN-ShuffleNet | 99.95 | 99.67 | 99.36 | 99.47 | 100 | 100 | 99.9 | 99.84 | |||
| EuroSat | ViT | 99.8 | 99.5 | 99.6 | 99.44 | WHU-RS19 | 100 | 99.25 | 99.8 | 99 | |
| MViT | 99.8 | 99.8 | 99.84 | 99.85 | 98.51 | 99.25 | 99.8 | 96.35 | |||
| MViT-Depth | 99.78 | 99.87 | 99.75 | 99.63 | 99 | 98.51 | 99.6 | 99.67 | |||
| MViT-Combined | 99.96 | 99.67 | 99.88 | 99.83 | 99 | 100 | 100 | 100 | |||
| SWIN-Reg | 98.41 | 98.5 | 98.56 | 97.89 | 88.06 | 95.27 | 94.82 | 96.02 | |||
| SWIN-Conv Block | 99.8 | 99.65 | 99.62 | 99.77 | 100 | 100 | 100 | 100 | |||
| SWIN-ShuffleNet | 99.55 | 99.68 | 99.52 | 99.61 | 100 | 100 | 99.8 | 100 | |||
| Test Acc | AID | ViT | 56.71 | 66.22 | 68.7 | 71.5 | UC-Merced | 50.77 | 62.22 | 67.05 | 75.71 |
| MViT | 73.96 | 82.9 | 85.82 | 86.58 | 63.39 | 81.35 | 87.14 | 87.62 | |||
| MViT-Depth | 75.29 | 84.28 | 87.44 | 88.25 | 76.9 | 83.25 | 91.71 | 86.55 | |||
| MViT-Combined | 76.89 | 85.67 | 86.52 | 89.42 | 80.48 | 88.02 | 92.1 | 90 | |||
| SWIN-Reg | 39.47 | 49.47 | 45.08 | 53.65 | 35.06 | 42.7 | 50.57 | 55.12 | |||
| SWIN-Conv Block | 41.96 | 45.7 | 53.74 | 56.77 | 41.37 | 48.41 | 60.1 | 58.1 | |||
| SWIN-ShuffleNet | 40.89 | 50.87 | 55.12 | 52.75 | 44.4 | 54.76 | 57.43 | 56.43 | |||
| EuroSat | ViT | 91.78 | 92.65 | 92.97 | 94.43 | WHU-RS19 | 46.77 | 57.38 | 60.83 | 60.45 | |
| MViT | 95.71 | 96.36 | 97.98 | 97.69 | 66.04 | 79.77 | 81.31 | 64.18 | |||
| MViT-Depth | 92.08 | 97.71 | 97.67 | 96.49 | 63.81 | 79.77 | 81.11 | 77.36 | |||
| MViT-Combined | 97.35 | 97.8 | 97.32 | 97.08 | 61.32 | 80.43 | 82.11 | 86.32 | |||
| SWIN-Reg | 86.48 | 89.6 | 90.8 | 90.77 | 34.08 | 49.92 | 52.49 | 50.75 | |||
| SWIN-Conv Block | 86.03 | 85.61 | 89.65 | 85.04 | 54.73 | 53.57 | 60.24 | 60.45 | |||
| SWIN-ShuffleNet | 87.23 | 92.07 | 91.92 | 91.94 | 52.61 | 59.54 | 59.64 | 62.19 | |||
References
- Chowdhary, K.; Chowdhary, K. Natural language processing. In Fundamentals of Artificial Intelligence; Springer: New Delhi, India, 2020; pp. 603–649. [Google Scholar]
- Krizhevsky, A.; Sutskever, I.; Hinton, G.E. Imagenet classification with deep convolutional neural networks. In Proceedings of the Advances in Neural Information Processing Systems, Lake Tahoe, NV, USA, 3–6 December 2012; Volume 25. [Google Scholar]
- Madurapperuma, B.; Rozario, P.; Oduor, P.; Kotchman, L. Land use and land cover change detection in Pipestem Creek watershed, North Dakota. Int. J. Geomat. Geosci. 2015, 5, 416–426. [Google Scholar]
- Haffner, M.; DeWitte, M.; Rozario, P.F.; Ovando-Montejo, G.A. A Neural-Network-Based Landscape Search Engine: LSE Wisconsin. Appl. Sci. 2023, 13, 9264. [Google Scholar] [CrossRef]
- Rozario, P.F.; Oduor, P.; Kotchman, L.; Kangas, M. Quantifying spatiotemporal change in landuse and land cover and accessing water quality: A case study of Missouri watershed james sub-region, north Dakota. J. Geogr. Inf. Syst. 2016, 8, 663. [Google Scholar] [CrossRef][Green Version]
- Kussul, N.; Lavreniuk, M.; Skakun, S.; Shelestov, A. Deep learning classification of land cover and crop types using remote sensing data. IEEE Geosci. Remote Sens. Lett. 2017, 14, 778–782. [Google Scholar] [CrossRef]
- Ma, L.; Liu, Y.; Zhang, X.; Ye, Y.; Yin, G.; Johnson, B.A. Deep learning in remote sensing applications: A meta-analysis and review. ISPRS J. Photogramm. Remote Sens. 2019, 152, 166–177. [Google Scholar] [CrossRef]
- Hong, D.; Gao, L.; Yokoya, N.; Yao, J.; Chanussot, J.; Du, Q.; Zhang, B. More diverse means better: Multimodal deep learning meets remote-sensing imagery classification. IEEE Trans. Geosci. Remote Sens. 2020, 59, 4340–4354. [Google Scholar] [CrossRef]
- Lin, T.; Wang, Y.; Liu, X.; Qiu, X. A survey of transformers. AI Open 2022, 3, 111–132. [Google Scholar] [CrossRef]
- Carion, N.; Massa, F.; Synnaeve, G.; Usunier, N.; Kirillov, A.; Zagoruyko, S. End-to-end object detection with transformers. In Proceedings of the European Conference on Computer Vision, Glasgow, UK, 23–28 August 2020; Springer: Berlin/Heidelberg, Germany, 2020; pp. 213–229. [Google Scholar]
- Dosovitskiy, A.; Beyer, L.; Kolesnikov, A.; Weissenborn, D.; Zhai, X.; Unterthiner, T.; Dehghani, M.; Minderer, M.; Heigold, G.; Gelly, S.; et al. An image is worth 16x16 words: Transformers for image recognition at scale. arXiv 2020, arXiv:2010.11929. [Google Scholar]
- Dimitrovski, I.; Kitanovski, I.; Kocev, D.; Simidjievski, N. Current trends in deep learning for Earth Observation: An open-source benchmark arena for image classification. ISPRS J. Photogramm. Remote Sens. 2023, 197, 18–35. [Google Scholar] [CrossRef]
- Deng, J.; Dong, W.; Socher, R.; Li, L.; Li, K.; Fei-Fei, L. Imagenet: A large-scale hierarchical image database. In Proceedings of the 2009 IEEE Conference On Computer Vision And Pattern Recognition, Miami, FL, USA, 20–25 June 2009; pp. 248–255. [Google Scholar]
- Reedha, R.; Dericquebourg, E.; Canals, R.; Hafiane, A. Transformer neural network for weed and crop classification of high resolution UAV images. Remote Sens. 2022, 14, 592. [Google Scholar] [CrossRef]
- Mehta, S.; Rastegari, M. Mobilevit: Light-weight, general-purpose, and mobile-friendly vision transformer. arXiv 2021, arXiv:2110.02178. [Google Scholar]
- Gomes, R.; Rozario, P.; Adhikari, N. Deep learning optimization in remote sensing image segmentation using dilated convolutions and ShuffleNet. In Proceedings of the 2021 IEEE International Conference on Electro Information Technology (EIT), Mt. Pleasant, MI, USA, 14–15 May 2021; IEEE: Piscataway, NJ, USA, 2021; pp. 244–249. [Google Scholar]
- Cheng, Q.; Li, X.; Zhu, B.; Shi, Y.; Xie, B. Drone detection method based on MobileViT and CA-PANet. Electronics 2023, 12, 223. [Google Scholar] [CrossRef]
- Wan, Z.; Wan, J.; Cheng, W.; Yu, J.; Yan, Y.; Tan, H.; Wu, J. A Wireless Sensor System for Diabetic Retinopathy Grading Using MobileViT-Plus and ResNet-Based Hybrid Deep Learning Framework. Appl. Sci. 2023, 13, 6569. [Google Scholar] [CrossRef]
- Xie, S.; Girshick, R.; Dollár, P.; Tu, Z.; He, K. Aggregated residual transformations for deep neural networks. In Proceedings of the IEEE Conference on Computer Vision and Pattern Recognition, Honolulu, HI, USA, 21–26 July 2017; pp. 1492–1500. [Google Scholar]
- Hu, J.; Shen, L.; Sun, G. Squeeze-and-excitation networks. In Proceedings of the IEEE Conference on Computer Vision and Pattern Recognition, Salt Lake City, UT, USA, 18–23 June 2018; pp. 7132–7141. [Google Scholar]
- Howard, A.G.; Zhu, M.; Chen, B.; Kalenichenko, D.; Wang, W.; Weyand, T.; Andreetto, M.; Adam, H. Mobilenets: Efficient convolutional neural networks for mobile vision applications. arXiv 2017, arXiv:1704.04861. [Google Scholar]
- Zhang, X.; Zhou, X.; Lin, M.; Sun, J. Shufflenet: An extremely efficient convolutional neural network for mobile devices. In Proceedings of the IEEE Conference on Computer Vision and Pattern Recognition, Salt Lake City, UT, USA, 18–23 June 2018; pp. 6848–6856. [Google Scholar]
- Huang, X.; Liu, F.; Cui, Y.; Chen, P.; Li, L.; Li, P. Faster and better: A lightweight transformer network for remote sensing scene classification. Remote Sens. 2023, 15, 3645. [Google Scholar] [CrossRef]
- Zhang, X.; Yu, W.; Pun, M.O. Multilevel deformable attention-aggregated networks for change detection in bitemporal remote sensing imagery. IEEE Trans. Geosci. Remote Sens. 2022, 60, 5621518. [Google Scholar] [CrossRef]
- Lv, P.; Wu, W.; Zhong, Y.; Du, F.; Zhang, L. SCViT: A spatial-channel feature preserving vision transformer for remote sensing image scene classification. IEEE Trans. Geosci. Remote Sens. 2022, 60, 4409512. [Google Scholar] [CrossRef]
- Liu, F.; Chen, D.; Guan, Z.; Zhou, X.; Zhu, J.; Zhou, J. RemoteCLIP: A Vision Language Foundation Model for Remote Sensing. arXiv 2023, arXiv:2306.11029. [Google Scholar] [CrossRef]
- Yuan, Z.; Liu, X. Research on Remote Sensing Image Classification Based on Lightweight Convolutional Neural Network. In Proceedings of the 2022 International Conference on Artificial Intelligence, Internet and Digital Economy (ICAID 2022), Shenzhen, China, 15–17 April 2022; Atlantis Press: Amsterdam, The Netherlands, 2022; pp. 127–138. [Google Scholar]
- Balarabe, A.T.; Jordanov, I. Interpolation and Context Magnification Framework for Classification of Scene Images. In Proceedings of the International Conferences Computer Graphics, Visualization, Computer Vision and Image Processing (CGVCVIP), Warsaw, Poland, 19–21 September 2022; pp. 93–100. [Google Scholar]
- Chen, Z.; Yang, J.; Feng, Z.; Chen, L. RSCNet: An Efficient Remote Sensing Scene Classification Model Based on Lightweight Convolution Neural Networks. Electronics 2022, 11, 3727. [Google Scholar] [CrossRef]
- He, C.; He, B.; Yin, X.; Wang, W.; Liao, M. Relationship prior and adaptive knowledge mimic based compressed deep network for aerial scene classification. IEEE Access 2019, 7, 137080–137089. [Google Scholar] [CrossRef]
- Shi, C.; Zhao, X.; Wang, L. A multi-branch feature fusion strategy based on an attention mechanism for remote sensing image scene classification. Remote Sens. 2021, 13, 1950. [Google Scholar] [CrossRef]
- Xu, C.; Shu, J.; Zhu, G. Scene Classification Based on Heterogeneous Features of Multi-Source Data. Remote Sens. 2023, 15, 325. [Google Scholar] [CrossRef]
- Lakshmi, T.V.; Reddy, C.V.K.; Kora, P.; Swaraja, K.; Meenakshi, K.; Kumari, C.U.; Reddy, L.P. Classification of multi-spectral data with fine-tuning variants of representative models. Multimed. Tools Appl. 2024, 83, 23465–23487. [Google Scholar] [CrossRef]
- Noppitak, S.; Surinta, O. Deep Learning for Land Use and Land Cover in Aerial Images. Ph.D. Thesis, Mahasarakham University, Kham Riang, Thailand, 2022. [Google Scholar]
- Wadekar, S.N.; Chaurasia, A. Mobilevitv3: Mobile-friendly vision transformer with simple and effective fusion of local, global and input features. arXiv 2022, arXiv:2209.15159. [Google Scholar]
- Mehta, S.; Rastegari, M. Separable self-attention for mobile vision transformers. arXiv 2022, arXiv:2206.02680. [Google Scholar]
- Liu, Z.; Lin, Y.; Cao, Y.; Hu, H.; Wei, Y.; Zhang, Z.; Lin, S.; Guo, B. Swin transformer: Hierarchical vision transformer using shifted windows. In Proceedings of the IEEE/CVF International Conference on Computer Vision, Montreal, BC, Canada, 11–17 October 2021; pp. 10012–10022. [Google Scholar]
- Xia, G.S.; Hu, J.; Hu, F.; Shi, B.; Bai, X.; Zhong, Y.; Zhang, L.; Lu, X. AID: A benchmark data set for performance evaluation of aerial scene classification. IEEE Trans. Geosci. Remote Sens. 2017, 55, 3965–3981. [Google Scholar] [CrossRef]
- Helber, P.; Bischke, B.; Dengel, A.; Borth, D. Introducing EuroSAT: A Novel Dataset and Deep Learning Benchmark for Land Use and Land Cover Classification. In Proceedings of the IGARSS 2018—2018 IEEE International Geoscience and Remote Sensing Symposium, Valencia, Spain, 22–27 July 2018; IEEE: Piscataway, NJ, USA, 2018; pp. 204–207. [Google Scholar]
- Helber, P.; Bischke, B.; Dengel, A.; Borth, D. Eurosat: A novel dataset and deep learning benchmark for land use and land cover classification. IEEE J. Sel. Top. Appl. Earth Obs. Remote Sens. 2019, 12, 2217–2226. [Google Scholar] [CrossRef]
- Yang, Y.; Newsam, S. Bag-of-visual-words and spatial extensions for land-use classification. In Proceedings of the 18th SIGSPATIAL International Conference on Advances in Geographic Information Systems, San Jose, CA, USA, 2–5 November 2010; pp. 270–279. [Google Scholar]
- Xia, G.S.; Yang, W.; Delon, J.; Gousseau, Y.; Sun, H.; MaÎtre, H. Structural high-resolution satellite image indexing. In Proceedings of the SPRS TC VII Symposium-100 Years ISPRS 2010, Vienna, Austria, 5–7 July 2010. [Google Scholar]
- Dai, D.; Yang, W. Satellite Image Classification via Two-Layer Sparse Coding With Biased Image Representation. IEEE Trans. Geosci. Remote Sens. 2011, 8, 173–176. [Google Scholar] [CrossRef]
- Gascon, F.; Cadau, E.; Colin, O.; Hoersch, B.; Isola, C.; Fernández, B.L.; Martimort, P. Copernicus Sentinel-2 mission: Products, algorithms and Cal/Val. In Proceedings of the Earth Observing Systems XIX, San Diego, CA, USA, 17–21 August 2014; SPIE: Bellingham, WA, USA, 2014; Volume 9218, pp. 455–463. [Google Scholar]
- Kingma, D.P.; Ba, J. Adam: A method for stochastic optimization. arXiv 2014, arXiv:1412.6980. [Google Scholar]











| Dataset | AID Parameters | EuroSAT Parameters | UC-Merced Parameters | WHU-RS19 Parameters |
|---|---|---|---|---|
| ViT | 21,687,269 | 21,665,744 | 21,678,044 | 21,675,994 |
| MViT | 1,315,646 | 1,308,905 | 1,312,757 | 1,312,115 |
| MViT-DepthConv | 1,170,446 | 1,163,705 | 1,167,557 | 1,166,915 |
| MViT-Combined | 1,016,846 | 1,010,105 | 1,013,957 | 1,013,315 |
| SWIN-Reg | 155,022 | 152,313 | 153,861 | 153,603 |
| SWIN-ConvBlock | 172,846 | 170,137 | 171,685 | 171,427 |
| SWIN-Shuffle | 164,073 | 161,364 | 162,912 | 162,654 |
| Name | # of Images | Image Size | Spatial Resolution | Image Type | Image Format | # of Labels |
|---|---|---|---|---|---|---|
| AID | 10,000 | 600 × 600 | 0.5–8 m | Aerial RGB | JPG | 30 |
| EuroSAT | 24,500 | 64 × 64 | 10 m | Multispectral | JPG | 9 |
| UC-Merced | 2100 | 256 × 256 | 0.3 m | Aerial RGB | TIF | 21 |
| WHU-RS19 | 1005 | 600 × 600 | ≤0.5 m | Aerial RGB | JPG | 19 |
| Class # | Labels | |||
|---|---|---|---|---|
| AID | EuroSAT | UC-Merced | WHU RS-19 | |
| 0 | Airport | Annual Crop | Agricultural | Airport |
| 1 | Bare Land | Forest | Airplane | Beach |
| 2 | Baseball Field | Herbaceous Vegetation | Baseball Diamond | Bridge |
| 3 | Beach | Highway | Beach | Commercial |
| 4 | Bridge | Industrial | Buildings | Desert |
| 5 | Center | Pasture | Chaparral | Farmland |
| 6 | Church | Residential | Dense Residential | Forest |
| 7 | Commercial | River | Forest | Industrial |
| 8 | Dense Residential | Sea Lake | Freeway | Meadow |
| 9 | Desert | Golf Course | Mountain | |
| 10 | Farmland | Harbor | Park | |
| 11 | Forest | Intersection | Parking | |
| 12 | Industrial | Medium Residential | Pond | |
| 13 | Meadow | Mobile Home Park | Port | |
| 14 | Medium Residential | Overpass | Residential | |
| 15 | Mountain | Parking Lot | River | |
| 16 | Park | River | Viaduct | |
| 17 | Parking | Runway | Football Field | |
| 18 | Playground | Sparse Residential | Railway Station | |
| 19 | Pond | Storage Tanks | ||
| 20 | Port | Tennis Court | ||
| 21 | Railway Station | |||
| 22 | Resort | |||
| 23 | River | |||
| 24 | School | |||
| 25 | Sparse Residential | |||
| 26 | Square | |||
| 27 | Stadium | |||
| 28 | Storage Tanks | |||
| 29 | Viaduct | |||
| Class Number | ViT | MViT | MViT- Depth | MViT- Combined | SWIN- Reg | SWIN-Conv Block | SWIN- ShuffleNet |
|---|---|---|---|---|---|---|---|
| 0 | 40.00% | 85.56% | 87.22% | 86.81% | 41.67% | 47.92% | 37.50% |
| 1 | 84.52% | 87.74% | 73.55% | 84.68% | 90.32% | 74.19% | 67.74% |
| 2 | 76.37% | 92.72% | 94.55% | 95.45% | 67.05% | 81.82% | 64.77% |
| 3 | 87.50% | 95.00% | 97.00% | 95.00% | 72.50% | 85.63% | 90.63% |
| 4 | 70.00% | 89.44% | 85.56% | 88.89% | 61.81% | 63.19% | 63.89% |
| 5 | 71.54% | 80.00% | 69.23% | 89.42% | 42.31% | 44.23% | 38.46% |
| 6 | 60.83% | 95.00% | 93.33% | 93.75% | 39.58% | 47.92% | 34.38% |
| 7 | 86.86% | 72.57% | 89.71% | 77.86% | 65.00% | 75.00% | 31.43% |
| 8 | 80.98% | 95.12% | 81.46% | 88.41% | 61.59% | 76.83% | 54.88% |
| 9 | 84.67% | 82.00% | 96.00% | 87.50% | 72.50% | 80.00% | 89.17% |
| 10 | 64.86% | 89.73% | 89.73% | 92.57% | 35.14% | 45.27% | 43.92% |
| 11 | 76.00% | 97.60% | 97.60% | 99.00% | 76.00% | 85.00% | 85.00% |
| 12 | 65.64% | 78.46% | 86.15% | 91.67% | 30.77% | 32.69% | 39.10% |
| 13 | 80.71% | 95.71% | 95.00% | 98.21% | 88.39% | 97.32% | 83.93% |
| 14 | 76.55% | 91.72% | 92.41% | 93.10% | 40.52% | 37.07% | 26.72% |
| 15 | 54.12% | 85.29% | 97.65% | 94.12% | 57.35% | 44.12% | 41.18% |
| 16 | 62.86% | 77.71% | 82.86% | 79.29% | 36.43% | 51.43% | 52.86% |
| 17 | 81.54% | 98.46% | 96.41% | 97.44% | 80.77% | 72.44% | 62.18% |
| 18 | 81.62% | 92.43% | 88.11% | 89.19% | 72.30% | 76.35% | 66.89% |
| 19 | 83.33% | 79.05% | 87.62% | 94.05% | 73.81% | 77.38% | 73.81% |
| 20 | 75.79% | 97.37% | 95.79% | 95.39% | 80.26% | 74.34% | 74.34% |
| 21 | 36.92% | 94.62% | 74.62% | 87.50% | 47.12% | 30.77% | 39.42% |
| 22 | 62.07% | 68.97% | 68.97% | 77.59% | 31.03% | 27.59% | 25.00% |
| 23 | 45.37% | 87.80% | 90.73% | 92.07% | 34.76% | 32.93% | 45.12% |
| 24 | 42.00% | 57.33% | 78.00% | 70.83% | 14.17% | 20.83% | 11.67% |
| 25 | 84.67% | 96.67% | 96.00% | 98.33% | 59.17% | 76.67% | 70.83% |
| 26 | 38.79% | 44.24% | 63.64% | 66.67% | 18.18% | 12.12% | 18.94% |
| 27 | 86.21% | 86.90% | 95.17% | 93.97% | 62.93% | 72.41% | 65.52% |
| 28 | 63.89% | 84.44% | 82.22% | 90.97% | 39.58% | 36.11% | 42.36% |
| 29 | 53.81% | 93.81% | 91.90% | 92.26% | 22.02% | 18.45% | 21.43% |
| Mean Acc | 68.61% | 85.93% | 87.31% | 89.40% | 53.83% | 56.60% | 52.10% |
| Overall Acc | 68.62% | 85.97% | 87.50% | 89.42% | 53.70% | 56.35% | 52.15% |
| Kappa | 0.6750 | 0.8548 | 0.8705 | 0.8905 | 0.5206 | 0.5479 | 0.5044 |
| Class Number | ViT | MViT | MViT- Depth | MViT- Combined | SWIN- Reg | SWIN-Conv Block | SWIN- ShuffleNet |
|---|---|---|---|---|---|---|---|
| 0 | 90.78% | 92.78% | 97.83% | 97.06% | 92.11% | 89.11% | 92.72% |
| 1 | 98.00% | 99.17% | 99.56% | 99.33% | 94.28% | 80.61% | 98.00% |
| 2 | 92.06% | 98.33% | 96.28% | 97.50% | 92.17% | 77.33% | 90.39% |
| 3 | 82.40% | 96.13% | 97.33% | 95.67% | 74.40% | 72.27% | 83.27% |
| 4 | 93.27% | 89.40% | 96.33% | 95.73% | 92.60% | 88.93% | 94.93% |
| 5 | 91.83% | 92.83% | 95.42% | 98.17% | 90.75% | 89.67% | 90.50% |
| 6 | 98.94% | 100.00% | 99.94% | 99.89% | 94.28% | 99.06% | 97.72% |
| 7 | 88.27% | 96.80% | 96.47% | 97.07% | 73.60% | 79.93% | 78.87% |
| 8 | 95.67% | 99.50% | 98.94% | 99.11% | 98.89% | 92.72% | 98.50% |
| Mean Acc | 92.36% | 96.10% | 97.57% | 97.72% | 89.23% | 85.51% | 91.66% |
| Overall Acc | 92.65% | 96.36% | 97.71% | 97.80% | 89.72% | 85.66% | 92.07% |
| Kappa | 0.9171 | 0.959 | 0.9742 | 0.9752 | 0.8841 | 0.8383 | 0.9106 |
| Class Number | ViT | MViT | MViT- Depth | MViT- Combined | SWIN- Reg | SWIN-Conv Block | SWIN- ShuffleNet |
|---|---|---|---|---|---|---|---|
| 0 | 90.00% | 98.00% | 98.00% | 98.00% | 76.00% | 84.00% | 78.00% |
| 1 | 68.00% | 92.00% | 92.00% | 96.00% | 54.00% | 50.00% | 78.00% |
| 2 | 84.00% | 88.00% | 92.00% | 96.00% | 66.00% | 82.00% | 68.00% |
| 3 | 100.00% | 94.00% | 98.00% | 98.00% | 90.00% | 100.00% | 98.00% |
| 4 | 56.00% | 72.00% | 72.00% | 86.00% | 24.00% | 38.00% | 32.00% |
| 5 | 100.00% | 100.00% | 100.00% | 100.00% | 92.00% | 98.00% | 100.00% |
| 6 | 38.00% | 92.00% | 84.00% | 80.00% | 50.00% | 54.00% | 40.00% |
| 7 | 80.00% | 100.00% | 92.00% | 92.00% | 56.00% | 82.00% | 82.00% |
| 8 | 74.00% | 88.00% | 94.00% | 96.00% | 32.00% | 52.00% | 48.00% |
| 9 | 50.00% | 80.00% | 92.00% | 100.00% | 60.00% | 86.00% | 66.00% |
| 10 | 94.00% | 100.00% | 98.00% | 100.00% | 90.00% | 96.00% | 98.00% |
| 11 | 74.00% | 88.00% | 86.00% | 86.00% | 20.00% | 26.00% | 24.00% |
| 12 | 56.00% | 48.00% | 84.00% | 74.00% | 10.00% | 24.00% | 12.00% |
| 13 | 80.00% | 92.00% | 98.00% | 96.00% | 76.00% | 86.00% | 74.00% |
| 14 | 48.00% | 90.00% | 90.00% | 96.00% | 40.00% | 16.00% | 20.00% |
| 15 | 74.00% | 98.00% | 100.00% | 100.00% | 44.00% | 70.00% | 50.00% |
| 16 | 80.00% | 94.00% | 98.00% | 94.00% | 52.00% | 44.00% | 60.00% |
| 17 | 78.00% | 100.00% | 100.00% | 100.00% | 38.00% | 92.00% | 88.00% |
| 18 | 22.00% | 92.00% | 94.00% | 94.00% | 16.00% | 22.00% | 56.00% |
| 19 | 26.00% | 50.00% | 78.00% | 70.00% | 40.00% | 20.00% | 22.00% |
| 20 | 36.00% | 74.00% | 86.00% | 82.00% | 30.00% | 38.00% | 24.00% |
| Mean Acc | 67.05% | 87.14% | 91.71% | 92.10% | 50.29% | 60.00% | 58.00% |
| Overall Acc | 67.05% | 87.14% | 91.71% | 92.10% | 50.29% | 60.00% | 58.00% |
| Kappa | 0.6540 | 0.8650 | 0.913 | 0.917 | 0.4780 | 0.5800 | 0.5590 |
| Class Number | ViT | MViT | MViT- Depth | MViT- Combined | SWIN- Reg | SWIN-Conv Block | SWIN- ShuffleNet |
|---|---|---|---|---|---|---|---|
| 0 | 28.57% | 67.86% | 60.71% | 72.73% | 40.91% | 45.45% | 59.09% |
| 1 | 100.00% | 96.00% | 96.00% | 95.00% | 85.00% | 95.00% | 95.00% |
| 2 | 65.38% | 80.77% | 80.77% | 90.48% | 52.38% | 66.67% | 90.48% |
| 3 | 32.14% | 85.71% | 60.71% | 86.96% | 34.78% | 47.83% | 30.43% |
| 4 | 100.00% | 100.00% | 100.00% | 100.00% | 100.00% | 100.00% | 100.00% |
| 5 | 60.00% | 72.00% | 84.00% | 85.00% | 80.00% | 70.00% | 65.00% |
| 6 | 88.46% | 100.00% | 88.46% | 90.48% | 76.19% | 95.24% | 80.95% |
| 7 | 50.00% | 80.77% | 92.31% | 76.19% | 23.81% | 33.33% | 33.33% |
| 8 | 93.55% | 77.42% | 77.42% | 79.17% | 75.00% | 100.00% | 91.67% |
| 9 | 44.00% | 56.00% | 96.00% | 90.00% | 30.00% | 25.00% | 45.00% |
| 10 | 68.00% | 52.00% | 88.00% | 75.00% | 55.00% | 75.00% | 60.00% |
| 11 | 28.00% | 92.00% | 96.00% | 100.00% | 35.00% | 40.00% | 45.00% |
| 12 | 66.67% | 92.59% | 100.00% | 95.45% | 54.55% | 59.09% | 63.64% |
| 13 | 37.04% | 88.89% | 77.78% | 76.19% | 28.57% | 57.14% | 42.86% |
| 14 | 70.37% | 74.07% | 25.93% | 86.36% | 31.82% | 27.27% | 40.91% |
| 15 | 64.29% | 71.43% | 82.14% | 81.82% | 72.73% | 59.09% | 50.00% |
| 16 | 24.14% | 79.31% | 62.07% | 69.57% | 17.39% | 34.78% | 39.13% |
| 17 | 92.00% | 88.00% | 92.00% | 100.00% | 40.00% | 80.00% | 95.00% |
| 18 | 48.00% | 92.00% | 92.00% | 95.00% | 40.00% | 30.00% | 40.00% |
| Mean Acc | 61.08% | 81.41% | 80.71% | 86.60% | 51.22% | 60.05% | 61.45% |
| Overall Acc | 60.83% | 81.31% | 79.53% | 86.32% | 51.00% | 59.95% | 61.19% |
| Kappa | 0.5865 | 0.8027 | 0.7840 | 0.8556 | 0.4825 | 0.5769 | 0.5904 |
Disclaimer/Publisher’s Note: The statements, opinions and data contained in all publications are solely those of the individual author(s) and contributor(s) and not of MDPI and/or the editor(s). MDPI and/or the editor(s) disclaim responsibility for any injury to people or property resulting from any ideas, methods, instructions or products referred to in the content. |
© 2024 by the authors. Licensee MDPI, Basel, Switzerland. This article is an open access article distributed under the terms and conditions of the Creative Commons Attribution (CC BY) license (https://creativecommons.org/licenses/by/4.0/).
Share and Cite
Rozario, P.F.; Gadgil, R.; Lee, J.; Gomes, R.; Keller, P.; Liu, Y.; Sipos, G.; McDonnell, G.; Impola, W.; Rudolph, J. Optimizing Mobile Vision Transformers for Land Cover Classification. Appl. Sci. 2024, 14, 5920. https://doi.org/10.3390/app14135920
Rozario PF, Gadgil R, Lee J, Gomes R, Keller P, Liu Y, Sipos G, McDonnell G, Impola W, Rudolph J. Optimizing Mobile Vision Transformers for Land Cover Classification. Applied Sciences. 2024; 14(13):5920. https://doi.org/10.3390/app14135920
Chicago/Turabian StyleRozario, Papia F., Ravi Gadgil, Junsu Lee, Rahul Gomes, Paige Keller, Yiheng Liu, Gabriel Sipos, Grace McDonnell, Westin Impola, and Joseph Rudolph. 2024. "Optimizing Mobile Vision Transformers for Land Cover Classification" Applied Sciences 14, no. 13: 5920. https://doi.org/10.3390/app14135920
APA StyleRozario, P. F., Gadgil, R., Lee, J., Gomes, R., Keller, P., Liu, Y., Sipos, G., McDonnell, G., Impola, W., & Rudolph, J. (2024). Optimizing Mobile Vision Transformers for Land Cover Classification. Applied Sciences, 14(13), 5920. https://doi.org/10.3390/app14135920

