Abstract
The semi-trailer ECPBS is adopted to achieve coordinated braking between tractor and trailer. Its control strategies are mainly verified through MIL and HIL tests. The correctness of the test results relies on the precision of the models. The dependence on the vehicle simulation models can be greatly reduced through an in-loop testing system, which combines the ECPB hardware test bench with the semi-trailer twin test vehicle. However, due to the long spatial distance between the two, higher requirements are placed on the real-time performance of the testing system. The communication interconnection mode, distributed network architecture, data coupling method and data coupling method of the in-loop testing system were investigated. Moreover, a delay compensation controller based on model prediction was designed and was applied to the motion control of the twin test vehicle. The simulation results have shown that the compensation controller can ensure the stability of vehicle motion with a goodness-of-fit of 0.826 under a delay of 0.7 s. Further experimental verification shows that the instructions issued by the ECPB hardware test bench controller can reach the semi-trailer twin test vehicle within 0.6 s, indicating that the communication interconnection method is feasible and can meet the real-time requirements of the in-loop testing system.
1. Introduction
The active safety of the semi-trailer is significantly affected by the reliability of the vehicle’s electronically controlled pneumatic braking system (ECPBS). To realize coordination between the two braking units of the tractor and trailer in ECPBS, lots of preliminary testing should be carried out to verify control strategies [1]. Currently, the braking performance verification of ECPBS [2] is mostly implemented through Model-In-Loop (MIL), Hardware-In-Loop (HIL) and Vehicle-In-Loop (VIL) testing methods. Although MIL and HIL have the virtues of universality and expandability, the confidence of testing results depends on the accuracy of the simulation model [3]. Moreover, the adoption of the vehicle model cannot truly reflect the dynamic characteristics of the actual vehicle. The problem can be better solved by VIL, but it requires specialized testing sites and has a high risk factor. It has been proven to be unsuitable for a large number of concept validation tests where the technology is not yet mature. Therefore, it has become a trend to adopt scaled-down test vehicles with similar dynamic characteristics to replace the actual vehicles in the concept validation stage [4]. Xu et al. [5] built a scaled-down testing platform to solve the problem that autonomous self-driving vehicles are difficult to test under harsh conditions and verified the effectiveness of the platform through a simplified vehicle dynamics model and trajectory tracking algorithm. Verma et al. [6] verified lane keeping and static obstacle avoidance algorithms using a proportional scaling model vehicle based on Ackermann steering. The results showed that the proportional scaling model vehicle could effectively verify the autonomous driving algorithm, and it could overcome the problems of high experimental costs and insufficient simulation confidence. Parczewski et al. [7] analyzed the feasibility of using scaled vehicle models to measure the characteristics and dynamics of actual vehicles and verified the effectiveness of using proportional model vehicles in boundary conditions that cannot be achieved in actual vehicle testing, such as vehicle instability or overturning. Sebastian Jeschke et al. [8] used the Hardware-In-Loop (HIL) model of electric vehicle traction systems to simulate electric vehicles and analyzed the impact of different scaling ratios of electric drive models on vehicle energy consumption using Buckingham’s π theorem. They proposed a method for simulating different electric traction systems and efficiency without changing the HIL setting. A scaled-down semi-trailer twin test vehicle based on Buckingham’s π theorem was adopted in the experiment to reduce the dependence of the simulation process on the vehicle simulation model.
Due to the long distance between the ECPB hardware test bench of the semi-trailer vehicle and the twin test vehicle, a real-time and reliable communication architecture should be adopted. Regarding the communication interconnection between different simulation systems, Alfonso Jesus et al. [9] adopted a distributed real-time simulation method to connect an automotive suspension HIL in Spain and the complete vehicle model in Germany in real time and verified the feasibility of the simulation method through experiments. Yi Zhang et al. [10] coupled the HIL simulation platform of electric vehicles, engines and batteries through cloud servers, enabling electric vehicles without hybrid power to simulate the output of hybrid power systems. The feasibility and reliability of the system were verified through urban road tests. Changwoo Park et al. [11] developed a method to simulate ADAS vehicles, introduced virtual environments in real-world testing and successfully verified the control strategy of the ADAS controller. Tian Bin et al. [12] proposed a communication delay compensation method based on a long short-term memory network and model predictive control and verified that this method can reduce the impact of delay on system stability in the presence of communication delay.
According to the data flow of the in-loop testing system, based on the Internet distributed architecture [13,14], we designed a delay compensation controller based on model predictive control and realized the communication interconnection between the semi-trailer ECPB hardware test bench and twin test vehicle.
2. Semi-Trailer ECPB In-Loop Testing System
The ECPB semi-trailer in-loop testing system is composed of an ECPB hardware test bench for the semi-trailer and twin test vehicle. This combination reduces the reliance of the testing system on the vehicle model, allowing for simulation tests.
2.1. Hardware Test Bench for the Semi-Trailer ECPB
The hardware test bench for the semi-trailer ECPB is composed of a tractor brake unit, a trailer brake unit and a dSPACE rapid prototyping controller, as shown in Figure 1. The functions of the ECPB hardware test bench include the following: pneumatic control driving brake for trailer coordination, electric control driving brake for trailer coordination, independent parking brake for tractor and trailer and emergency driving brake for trailer detachment. The signals from the pressure sensors, chambers and valves in the ECPB hardware test bench can be acquired by dSPACE. Through importing the control strategy into dSPACE, the pressure signals could be processed. Simultaneously, in order to control the breaking of the twin test vehicle, dSPACE transmits a pressure signal to the twin test vehicle. Signals, including velocity, acceleration and yaw angular velocity from the twin test vehicle, are imported into the control strategy for further processing of the pressure signals.
Figure 1.
ECPB hardware test bench for semi-trailer.
The ECPB hardware test bench enables verification of the braking control strategy to ensure that the vehicle can brake in time during emergencies and provide stable braking performance under various road and driving conditions. The test bench is mainly used to verify the effectiveness, compatibility and reliability of the braking control strategy in the braking system of the semi-trailer.
2.2. Twin Test Vehicle
The twin test vehicle is articulated by a tractor and a semi-trailer through a hinge mechanism. The tractor has two axles and four wheels, while the semi-trailer has one axle and two wheels. The vehicle controller employs a 16-bit embedded processor that integrates a WIFI wireless communication module and a remote control module. The vehicle is equipped with six wheels, each of which has a current-controlled torque hub motor with a wheel speed feedback function for driving and braking. The steering system employs the servo-controlled Ackerman steering system, while the motor controlling the servo provides real-time feedback on the steering angle. Additionally, the vehicle is equipped with a compiler, a wheel motor control module, on-board GPS sensors and six-axis acceleration sensors.
When the external dimensions of the twin vehicle and the actual vehicle are set at a ratio of 1:4, and the test time ratio is set at 1:1, the other dimensions of the twin vehicle and the actual vehicle can be obtained through the π-group equivalence, as well as a 1:4 ratio. To ensure the equivalent density of the two vehicles is the same, their mass ratio is 1:64, speed ratio is 1:4, inertia ratio of the vehicle rotating around the Z-axis is 1:1024 and side deflection stiffness of the wheel ratio is 1:256. The various forces generated by the vehicle’s movement have a ratio of 1:256 [15]. The structure of the twin vehicle is depicted in Figure 2.
Figure 2.
Framework of twin test vehicle. 1—wireless communication module; 2—GPS; 3—Ackermann steering mechanism; 4—servo; 5—servo driver; 6—hub motor; 7—hub motor driver; 8—MCU; 9—battery; 10—IMU; 11—articulating mechanism; 12—pressure sensor; 13—pressure sensor data acquisition module.
The embedded system controls the in-hub motors on the six wheels of the twin vehicle to drive and brake. The twin test vehicle has built-in pressure, wheel speed, GPS and six-axis acceleration sensors to acquire the vehicle’s load, hub motor current, absolute position and six-axis acceleration. The data are transmitted to the ECPB hardware test bench via the wireless communication module, and the pressure signals output by the test bench are received to guide the braking of the twin vehicle. During the testing process, the twin vehicle should respond to the drive-braking commands from the ECPB hardware test bench within 1 s and maintain stable and continuous driving at the target speed.
Applying the pressure signal from the test bench to the twin vehicle avoids the need for dSPACE to process the air chamber pressure solely through the vehicle dynamics model in the braking strategy during the simulation. It increases the confidence level of the simulation test.
3. The Communication Program for the Semi-Trailer ECPB In-Loop Testing System
Due to the distance between the twin test vehicle and the ECPB hardware test bench, which is over 500 m and obstructed by buildings, traditional wired or wireless connection cannot meet the driving conditions required for the twin test vehicle. Therefore, an effective communication channel cannot be established. For this reason, an Internet distributed architecture is established to connect the twin test vehicle and the ECPB hardware test bench through data transmission and processing of cloud servers.
3.1. Data Flow of the ECPB Semi-Trailer In-Loop Testing System
The cloud server is utilized to construct the Internet distributed architecture, as shown in Figure 3. During the simulation of the semi-trailer transporter braking process, the ECPB hardware test bench transmits the pressure signal to the cloud server. Then, the cloud server calculates the required braking torque for the hub motor based on the air pressure-braking torque conversion model and sends it to the twin test vehicle to execute the braking operation. The twin test vehicle releases driving information in real-time to the cloud. After receiving the information, the cloud server feeds the vehicle dynamics parameters back to the test bench according to the vehicle dynamics model. The test bench generates new braking signals based on the latest vehicle motion characteristics. This process is repeated cyclically until the twin test vehicle completes braking.
Figure 3.
Data flow of the ECPB semi-trailer in-loop testing system.
3.2. Data Flow Implementation
The ECPB hardware test bench for semi-trailer transport is located in a WIFI-covered site. The pressure sensors collect the brake valve pressure, which can be uploaded to the cloud server. The in-loop testing system imports the driving information of the twin test vehicle into the upper controller through the wireless network and sends it to the lower controller after processing. The driving information of the twin test vehicle is monitored by various sensors, including a pressure sensor, GPS, six-axis sensor and wheel speed sensor. These sensors communicate through different protocols, such as RS232, TTL and CAN. The wireless network module facilitates data interaction between the twin test vehicle and the cloud server through a 5G network.
To guarantee the stability of the data flow between the ECPB hardware test bench and the twin test vehicle, MQTT is implemented for data interaction. Figure 4 shows the specific implementation process. Emqx serves as the MQTT server, while the hardware test bench and the twin test vehicle act as clients to publish and subscribe to the service. Assuming the client and the messaging server establish a connection via the subscription function, when a client publishes real-time data on a topic, another client that subscribes to the same topic can obtain the corresponding data through its load information. When the data change, the control status of the bench or test vehicle should be updated, and the updated status should be sent to the MQTT server, so as to update the status repeatedly. This mechanism enables the interaction of real-time data between the hardware test bench and the twin test vehicle, providing stable and reliable data transmission for real-time data interaction. The transmission mechanism is highly stable and meets the requirements for real-time data interaction.
Figure 4.
Communication flow based on MQTT.
4. Delay Compensation Controller Based on Model Prediction
During the in-loop testing, due to network latency and hardware execution delay, the frequency of data received by the actuators in the twin test vehicle and ECPB hardware test bench is lower than its processing frequency, resulting in data discontinuity during the test process and affecting the simulation test effect. During the in-loop testing, due to network latency and hardware execution delay, the frequency of data received by the actuators in the twin test vehicle and ECPB hardware test bench is lower than its processing frequency, resulting in data discontinuity during the test process and affecting the simulation test effect.
4.1. Test System Clock Synchronization
Clock synchronization is important for correcting clock errors between different hosts in the system and is the basis for designing the delay compensation controller in this paper. To synchronize the system clock, a time node in the system must be selected as the reference time node for the entire test system. Before transmitting data at other time nodes, the reference clock information from the reference time node needs to be obtained as the current clock information of that node.
During the test, the test cycle consists of three phases with four time nodes, as shown in Figure 5. Time node t1 represents the release time of twin test vehicle data; time node t2 represents the receipt time of data by the ECPB hardware test bench; time node t3 represents the release time of data to the cloud server by the ECPB hardware test system; time node t4 represents the receipt time of data by the twin test vehicle from the ECPB hardware test system. We define time node t1 as the base time node. Time nodes t2, t3, and t4 must obtain base clock information from time node t1 to ensure consistency in clock sampling during the test process and complete clock synchronization.
Figure 5.
Test cycle timeline.
4.2. Test System Delay Compensator Design
Considering the overall real-time problem of the system, the model of vehicle dynamics should not be too complex. Therefore, a simplified tractor monorail dynamics model was selected to be the dynamics model of the delay compensation controller. During the test, side deflection and understeer were not considered. The dynamic equation in Equation (1) is used in the test process.
Equation (1) defines the position of the tractor’s center of mass in geodetic coordinates. It includes variables x1 and y1 for the position in the x and y directions, respectively. δ is the tractor front wheel angle of rotation; is the driving speed of the vehicle in the X direction. φ1 is the tractor traverse angle; L1 is the distance between the center of the front and rear axles.
Figure 6 shows the modeling of tractor monorail dynamics. Assumptions for applying this dynamical model to the delay compensator are as follows:
Figure 6.
Modeling of tractor monorail dynamics.
- (1)
- The vertical motion of the vehicle is not considered.
- (2)
- The motions of the left- and right-side wheels are combined and described as a wheel.
- (3)
- The transfer of the front- and rear-axle loads is ignored.
Equations (2) and (3) can be used to determine the state quantity Z and control quantity u for the twin test vehicle, where is the yaw angle of the tractor, and a is the vehicle acceleration.
Considering the delay, the objective function J(t) is designed to minimize the difference between the current and reference position, velocity and acceleration of the vehicle, where Zr is the current state quantity. Additionally, the control volume output is minimized to ensure vehicle stability, as shown in Equation (4).
where Q and R are the weights of the state and control quantities, respectively. The parameter ρε2 is the relaxation factor.
Since the hub motor current of the twin test vehicle has an operating range limit with Ackermann steering, it is necessary to constrain the amount of control, as shown in Equation (5).
Combining the objective function with constraints, control quantities are solved for each control cycle and time domain. The first control quantity is then used as the output to the system. Continuous control of the twin test vehicle is achieved by iterating through the above steps in a cyclic manner using rolling optimization. If the data from the ECPB hardware test bench is not transmitted to the controller of the twin test vehicle in time for each test cycle, the current control quantity is solved as the driving brake signal by the model predictive control method to guarantee the continuous movement of the twin test vehicle. Figure 7 shows the delay compensation for the twin test vehicle.
Figure 7.
Delay compensation for twin test vehicle.
4.3. Simulation Test of Delay Compensation Controller under Sinusoidal Motion Condition
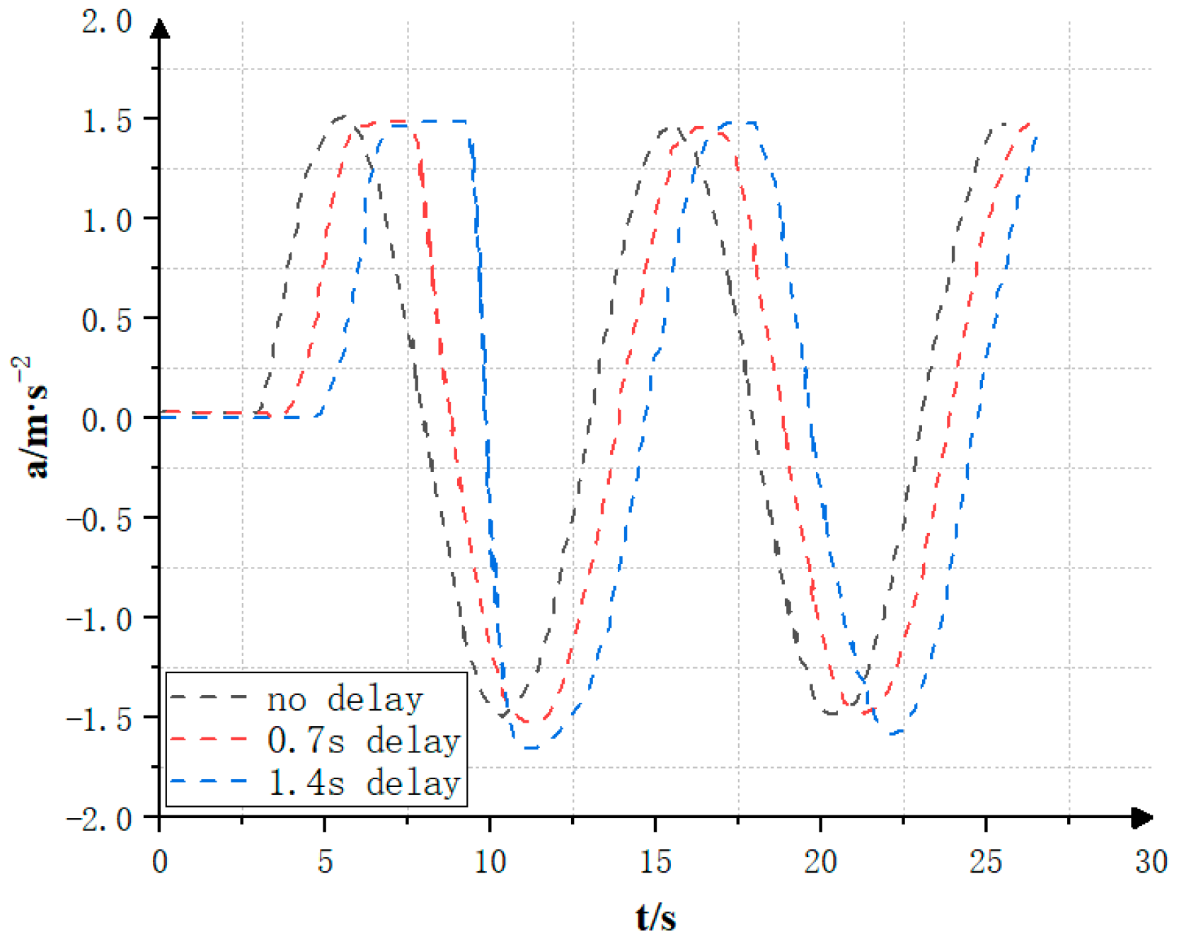
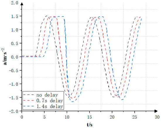
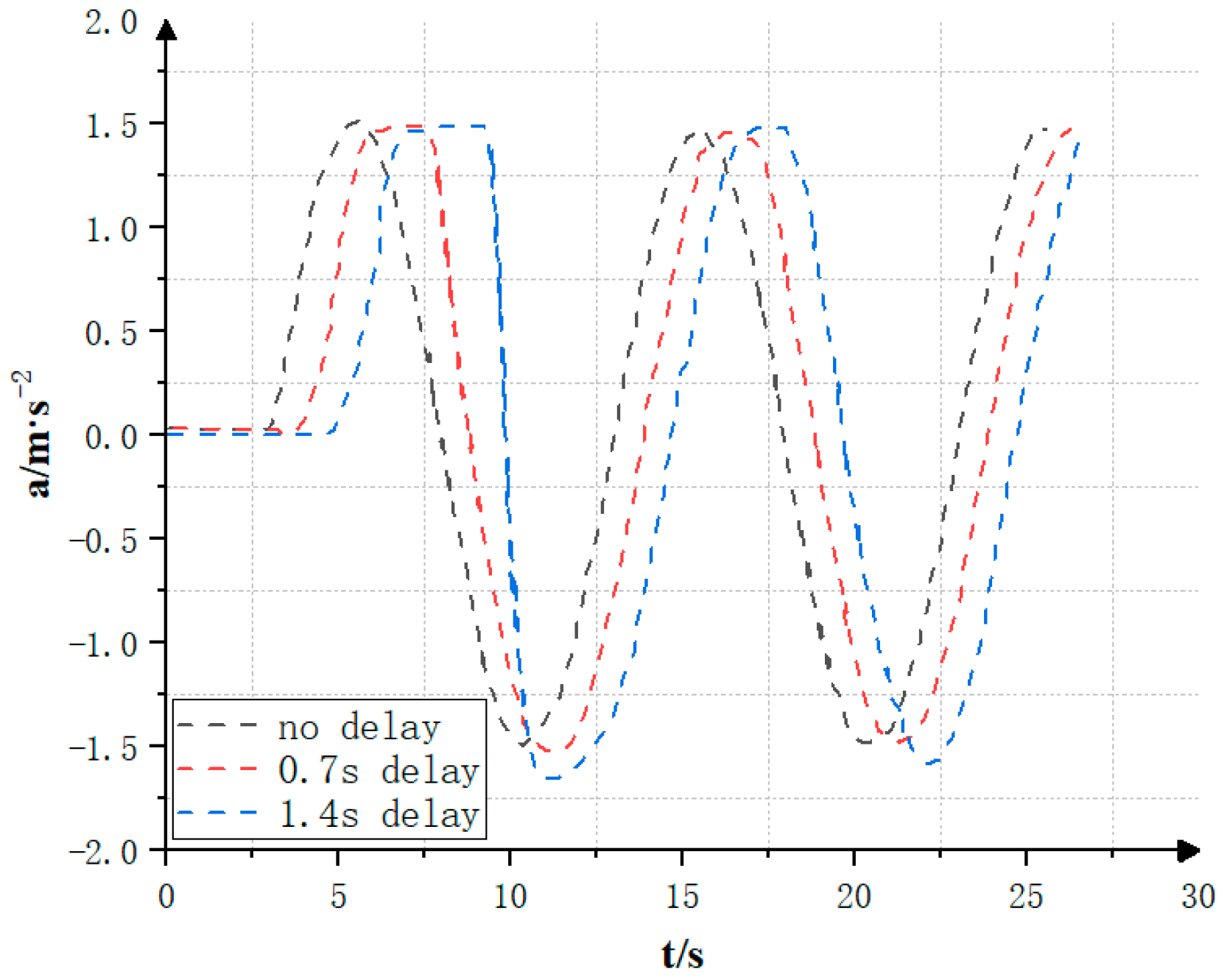
During the simulation test, the acceleration of the vehicle followed a sinusoidal function with an amplitude of 1.5 m/s2 in real time. Figure 8 shows the acceleration simulation under different delays. Initially, the vehicle travelled at a constant speed of 10 m/s before transitioning to sinusoidal acceleration after 3 s. The performance of the delay compensation controller was then tested under three different conditions: no delay, a delay of 0.7 s and a delay of 1.4 s.
Figure 8.
Acceleration simulation under different delays.
Under a delay of 0.7 s, the acceleration curve lags without delay but still maintains a sinusoidal function form. The result meets the requirements of the twin test vehicle. Under a delay of 1.4 s, the acceleration curve significantly lags without delay. Furthermore, there is significant distortion when reaching the first wave peak and trough. In order to evaluate the performance of the delay compensation controller, the goodness-of-fit (R2) needs to be calculated. Under a delay of 0.7 s, R2 is 0.826, which is a significant improvement compared to an R2 of 0.636 under a 1.4 s delay. The result shows that the compensation effect is better under a 0.7 s delay.
5. Experimental Verification
The driving and braking signals of the ECPB hardware test bench can control the driving state of the twin test vehicle with the help of the cloud server. This is the key to the ECPB in-loop testing system for the semi-trailer. Using the example of a semi-trailer braking in a low-speed straight-line driving condition, the drive signal was set in the ECPB hardware test bench. The target driving speed of the twin test vehicle was set to 5 m/s, which corresponds to an actual vehicle speed of 28.8 km/h. After driving for 4 s, the vehicle braked. Figure 9 shows the wheel speed of the twin test vehicle.
Figure 9.
Comparison of input and output speeds.
After setting the drive signal of the ECPB hardware test bench, accounting for network and execution delays, the twin test vehicle reached the target speed after approximately 0.5 s and maintained a smooth operation at the target speed. This indicates a successful mapping of the drive signal to the twin test vehicle. After 4 s, the braking signal enabled the ECPB hardware test bench to break after 0.2 s. Furthermore, the twin test vehicle began braking and finished braking after approximately 0.6 s, which was 0.4 s later than the target braking time. This result indicates that the braking signal set by the bench could also be accurately applied to the twin test vehicle.
6. Conclusions
According to the communication requirements of the semi-trailer ECPB in-loop testing system, the data flow of the system was designed and a reliable and effective communication interaction method was proposed, and the correspondence between the hub motor and break pressure of the air chamber in ECPBS was realized. A compensation controller was designed to mitigate data discontinuity caused by a communication delay during data interconnection and interaction between the twin test vehicle and the ECPB hardware test bench. The simulation results showed that the controller can ensure the stability of the data interaction with a goodness-of-fit of 0.826 under a communication delay of 0.7 s. In the data interaction of the in-loop test, the twin test vehicle responded to the input signals within 0.6 s, which meets the testing requirements. The feasibility of the interconnection method was verified through a series of low-speed straight-line driving tests, and it has proven to be feasible in the concept validation stage of semi-trailer vehicles’ ECPB development. The above work has prepared and improved the test site for the ECPBS and provided a better test method and tool for the further study of the dynamics of articulated vehicles.
Author Contributions
Conceptualization, J.X.; methodology, H.W. and R.Z.; software, H.W. and R.Z.; data curation, G.L. and R.Z.; writing—original draft preparation, H.W.; writing—review and editing, J.X. and G.L.; visualization, J.X. and H.W.; project administration, G.L.; funding acquisition, J.X. and G.L. All authors have read and agreed to the published version of the manuscript.
Funding
This research was funded by the Key Research and Development Program of Hubei Province of China, grant numbers YFXM2022000405 and 2022BEC014.
Institutional Review Board Statement
Not applicable.
Informed Consent Statement
Not applicable.
Data Availability Statement
The original contributions presented in the study are included in the article, further inquiries can be directed to the corresponding author.
Conflicts of Interest
The authors declare no conflicts of interest.
References
- Zhao, Z.; Feng, M.; Peng, G.; Liu, J.; Tao, Y. Simulation and analysis on rollover stability of heavy semi-trailer train based on Trucksim. In Proceedings of the 2018 3rd International Conference on Intelligent Green Building and Smart Grid (IGBSG), Yilan, Taiwan, 22–25 April 2018; pp. 1–4. [Google Scholar]
- Yang, Y.; Xiong, L.; Huang, Z.; Lin, K.-C. An energy-based nonlinear pressure observer for electronically controlled pneumatic brake fault diagnosis. In Proceedings of the 2017 29th Chinese Control and Decision Conference (CCDC), Chongqing, China, 28–30 May 2017; pp. 3005–3010. [Google Scholar]
- Zhang, H.; Zhang, Y.; Yin, C. Hardware-in-the-loop simulation of robust mode transition control for a series–parallel hybrid electric vehicle. IEEE Trans. Veh. Technol. 2015, 65, 1059–1069. [Google Scholar] [CrossRef]
- Rother, C.; Zhou, Z.; Chen, J. Development of a Four-Wheel Steering Scale Vehicle for Research and Education on Autonomous Vehicle Motion Control. IEEE Robot. Autom. Lett. 2023, 8, 5015–5022. [Google Scholar] [CrossRef]
- Xu, Z.; Wang, M.; Zhang, F.; Jin, S.; Zhang, J.; Zhao, X. PaTAVTT: A hardware-in-the-loop scaled platform for testing autonomous vehicle trajectory tracking. J. Adv. Transp. 2017, 2017, 9203251. [Google Scholar] [CrossRef]
- Verma, A.; Bagkar, S.; Allam, N.V.; Raman, A.; Schmid, M.; Krovi, V.N. Implementation and Validation of Behavior Cloning Using Scaled Vehicles, SAE WCX Digital Summit; SAE International: Warrendale, PA, USA, 2021; Volume 1. [Google Scholar]
- Parczewski, K.; Romaniszyn, K.M. Modelling of the influence of tire characteristics on stability of motion with using vehicle at a scale. J. KONES 2017, 24, 227–237. [Google Scholar]
- Jeschke, S.; Hirsch, H. Analysing the Impact of Different Electric Traction Drives on the Vehicle’s Energy Consumption Using HiL Simulation. In Proceedings of the 2014 IEEE Vehicle Power and Propulsion Conference (VPPC), Coimbra, Portugal, 27–30 October 2014; pp. 1–6. [Google Scholar]
- Alfonso, J.; Rodriguez, J.M.; Bernad, C.; Beliautsou, V.; Ivanov, V.; Castellanos, J.A. Geographically distributed real-time co-simulation of electric vehicle. In Proceedings of the 2022 8th International Conference on Control, Decision and Information Technologies (CoDIT), Istanbul, Turkey, 17–20 May 2022; pp. 1002–1007. [Google Scholar]
- Zhang, Y.; Lu, S.; Yang, Y.; Guo, Q. Internet-distributed vehicle-in-the-loop simulation for HEVs. IEEE Trans. Veh. Technol. 2018, 67, 3729–3739. [Google Scholar] [CrossRef]
- Park, C.; Chung, S.; Lee, H. Vehicle-in-the-loop in global coordinates for advanced driver assistance system. Applied Sciences 2020, 10, 2645. [Google Scholar] [CrossRef]
- Tian, B.; Yao, K.; Wang, Z.-J.; Gu, G.; Xu, Z.-G.; Zhao, X.-M.; Jing, J. Communication delay compensation method of CACC platooning system based on model predictive control. J. Traffic Transp. Eng. 2022, 22, 361–381. [Google Scholar]
- Ersal, T.; Brudnak, M.; Salvi, A.; Stein, J.L.; Filipi, Z.; Fathy, H.K. Development and model-based transparency analysis of an Internet-distributed hardware-in-the-loop simulation platform. Mechatronics 2011, 21, 22–29. [Google Scholar] [CrossRef]
- Ersal, T.; Brudnak, M.; Stein, J.L.; Fathy, H.K. Statistical transparency analysis in internet-distributed hardware-in-the-loop simulation. IEEE/ASME Trans. Mechatron. 2010, 17, 228–238. [Google Scholar] [CrossRef]
- Zhang, H. Vehicle States and Parameters Estimation Methods and Scaled Vehicle Test Verification. Master’s Thesis, Nanjing University of Aeronautics and Astronautics, Nanjing, China, 2020. [Google Scholar]
Disclaimer/Publisher’s Note: The statements, opinions and data contained in all publications are solely those of the individual author(s) and contributor(s) and not of MDPI and/or the editor(s). MDPI and/or the editor(s) disclaim responsibility for any injury to people or property resulting from any ideas, methods, instructions or products referred to in the content. |
© 2024 by the authors. Licensee MDPI, Basel, Switzerland. This article is an open access article distributed under the terms and conditions of the Creative Commons Attribution (CC BY) license (https://creativecommons.org/licenses/by/4.0/).








