Featured Application
The materials studied may be used in the radioactive waste vitrification process. Additionally, the proposed simulation method may be useful in optimizing glass composition and predicting the glass elements migration.
Abstract
Among the many possible applications of iron phosphate glasses, one of them is that they are promising materials in waste vitrification, particularly for radioactive waste. In vitrified form, waste elements should be permanently immobilized in a glass network as they are susceptible to harsh environmental conditions. The self-diffusion of the vitrified material species may limit the potential usefulness of the glasses. This paper presents the possibility of using molecular dynamics simulations to study this process and the substitution of SrO into an iron phosphate glass network. It was evidenced that the self-diffusion mechanism differed significantly depending on whether the glass was in a solid or liquid state. The proposed method also offered a relatively easy prediction of glass characteristic temperatures, such as transformation and flow. We also observed, and here describe, an aggregation process of the glass elements that may drive their crystallization. The obtained results are discussed in light of the experimental and theoretical structural feature literature data.
1. Introduction
Phosphate glasses are a group of materials that possess many applications. Their properties change in a very broad range and are strongly dependent on the structural features of glass networks and chemical composition. The addition of rare earth oxides makes them a good candidate for applications in optoelectronic devices [1,2,3,4]. Phosphate glasses containing calcium and/or strontium are biocompatible and may be used as dental or bone implants [5,6,7]. Glasses with a high P2O5 content have low water resistance [8]. The introduction of iron or aluminum strongly increases durability, and hence, glasses of excellent chemical resistance can be produced [9]. Thus, by changing the iron content, materials of controlled dissolution in water can be obtained.
One of the possible applications of phosphate glasses is their use as a matrix for the immobilization of waste. Binary iron phosphate glasses containing c.a. 30–40 mol% of Fe2O3 (IPG) are characterized by excellent chemical durability and lower melting temperatures compared to conventional silicate. This predisposes them to the process of waste vitrification, and they are now considered for the immobilization of radioactive waste. The IPG can be used to vitrify so-called “difficult waste” that cannot be immobilized in conventional borosilicate glasses. Such waste has a high concentration of elements whose solubility in silicate glasses is strongly limited. The species may be sulfur and salty waste containing a high concentration of sulfates that cannot be utilized in conventional waste glasses. The solubility of salts is much higher in phosphate glasses [10,11,12,13].
In IPG glasses, the main pure network former oxide is P2O5. The phosphorus cations are placed in the middle of the oxygen tetrahedron. Due to the pentavalency of P, one of four oxygen atoms forms a double bond to fulfill the charge neutrality of [PO4] tetrahedrons. The tetrahedrons join each other by common vertices, creating P-O-P bridges. Thus, a continuous phosphate network is achieved [14,15,16,17,18]. The role of iron is more difficult. Fe2O3 is an intermediate oxide. Thus, depending on the chemical environment of the network, it may occupy network or modifier positions. In the network, the positions form [FeIIIO4]− tetrahedrons that are negatively charged. To compensate for the charge, the tetrahedrons join the positively charged modifiers, which change their role from modifier to charge compensator. During glass synthesis, part of FeIII is frequently reduced to FeII. FeII is commonly considered a pure modifier of the glass network [19,20,21,22,23,24].
Strontium oxide in glasses is a typical divalent glass network modifier. It plays a crucial role in new bone formation by increasing osteoblast proliferation and inhibitory effects on osteoclasts. As such, bioactive glasses can induce the healing of osteoporotic tissues and promote bone densification. On the other hand, the 90Sr isotope is one of the major sources of nuclear waste activity and β radiation. Due to its high solubility, it can enter groundwater from waste, and the radionuclide can be incorporated into bones and thus remain in the body [11,13].
Computer simulations have become a very important and accurate method that offers the possibility to predict the properties of new materials. This gives the possibility to check at relatively low costs the potential application possibilities of different materials in specific conditions or processes. In the case of waste vitrification, the final waste form should be very stable and prone to different environmental conditions for a very long time. One of the parameters that may limit the potential usefulness of specific materials in waste immobilization is the migration of elements in the structure. Thus, a description of the self-diffusion mechanism could be an important factor in glass composition optimization for waste immobilization. Self-diffusion measurements are challenging tasks and frequently need long measurements. To solve this problem, classical molecular dynamics simulations may be very useful and are relatively easily achievable.
The subject of this study was an IPG glass network with the composition 70P2O5-30Fe2O3, to which SrO was gradually introduced. The base glass was investigated for its suitability for radioactive waste vitrification processes. This study aimed to describe the process of self-diffusion of the glass elements and the influence of SrO substitution on it using classical molecular dynamics simulations.
2. Materials and Methods
Polyphosphate glasses of the general formula (100 − x)(0.7P2O5-0.3Fe2O3) − xSrO (mol%) were subjected to molecular dynamics simulations. In the studied system, SrO was gradually added to the 70P2O5-30Fe2O3 base glass in quantities of x = 0, 10, 20, 30, 40, and 50 mol%. The simulations were carried out with the application of classical molecular dynamics using LAMMPS 2Aug2023 software [25]. Two-body interactions were described using the Buckingham formula, with parameterization according to [20,26,27,28]. Due to the directional covalent character of the P-O-P and O-P-O bonds, the three-body term was applied with the form and parametrization proposed by Stillinger and Weber [29]. As a starting point for the simulation, we used the final glass structures obtained by us according to the protocol described in detail in [20]. The simulated systems were composed of about 50,000 atoms, and their numbers were set according to the stoichiometry of the considered systems. Because about 30% of FeIII was reduced to FeII in the simulations during synthesis, the corresponding number of FeIII was replaced by FeII. Some of the oxygen atoms were removed to ensure the charge neutrality of the system. During the simulations, a 1-femtosecond time step was used and kept constant. The final glass network models of [20] were first subjected to an NPT run at 300 K and atmospheric pressure with 100,000 time steps. Next, average and specific values for the studied atoms’ mean square displacement (MSD) as a function of simulation time were determined. The MSD was calculated by applying the NVE ensemble in 500,000 time steps. Furthermore, the temperature was increased by 100 K during 10,000 in the NPT scheme and then was kept at the temperature for 90,000 steps. The MSD was calculated in the NVE scheme during 500,000 steps. In this way, the MSD was obtained for 300 K, 400 K, …, 1300 K, 1500 K, 1700 K, …, 2500K, 3000 K, …, 4000 K.
The MSD was calculated for each atomic constituent and for all the atoms according to the following equation:
where ri(t) and ri(0) are the positions of the atom at time t and 0, respectively.
The self-diffusion constant was calculated by applying the Einstein equation:
The self-diffusion constant (D) is obtained from the slope of the linear part of MSD in the long time limit.
To describe the clustering of the atoms, the Agglomerative Clustering algorithm, as implemented in the Python 3.10.12 sci-kit-learn 1.4 library, was applied with the distance threshold parameter set to the first minimum of the corresponding element–element pair distribution function that represents the radius of the corresponding coordination sphere. The threshold parameters were set to 3.3 Å, 4.0 Å, 4.3 Å, 2.7 Å, and 5.5 Å for P, FeIII, FeII, O, Sr, respectively [20]. This approach treats the areas that are enriched with the specific atoms that stoichiometry indicates as clusters. As such, the number, maximum, and mean size of the clusters of the elements were determined.
3. Results
3.1. Mean Square Displacement
The mean square displacement was obtained for all elements and glass compositions. The average MSD for the selected glass composition and temperatures is presented in Figure 1. The curves exhibit similar behavior for all specific elements and compositions. Initially, there is a nonlinear rapid increase in the MSD. However, after a sufficiently long time (above, e.g., 200 ps), the trend becomes linear. For the linear part of the curve, the straight line was fitted as shown in Figure 1. The fitted slope of this line was used to evaluate a self-diffusion constant (D) based on Equation (1).
Figure 1.
Exemplary average MSD as a function of time at the selected temperatures for x = 30 glass.
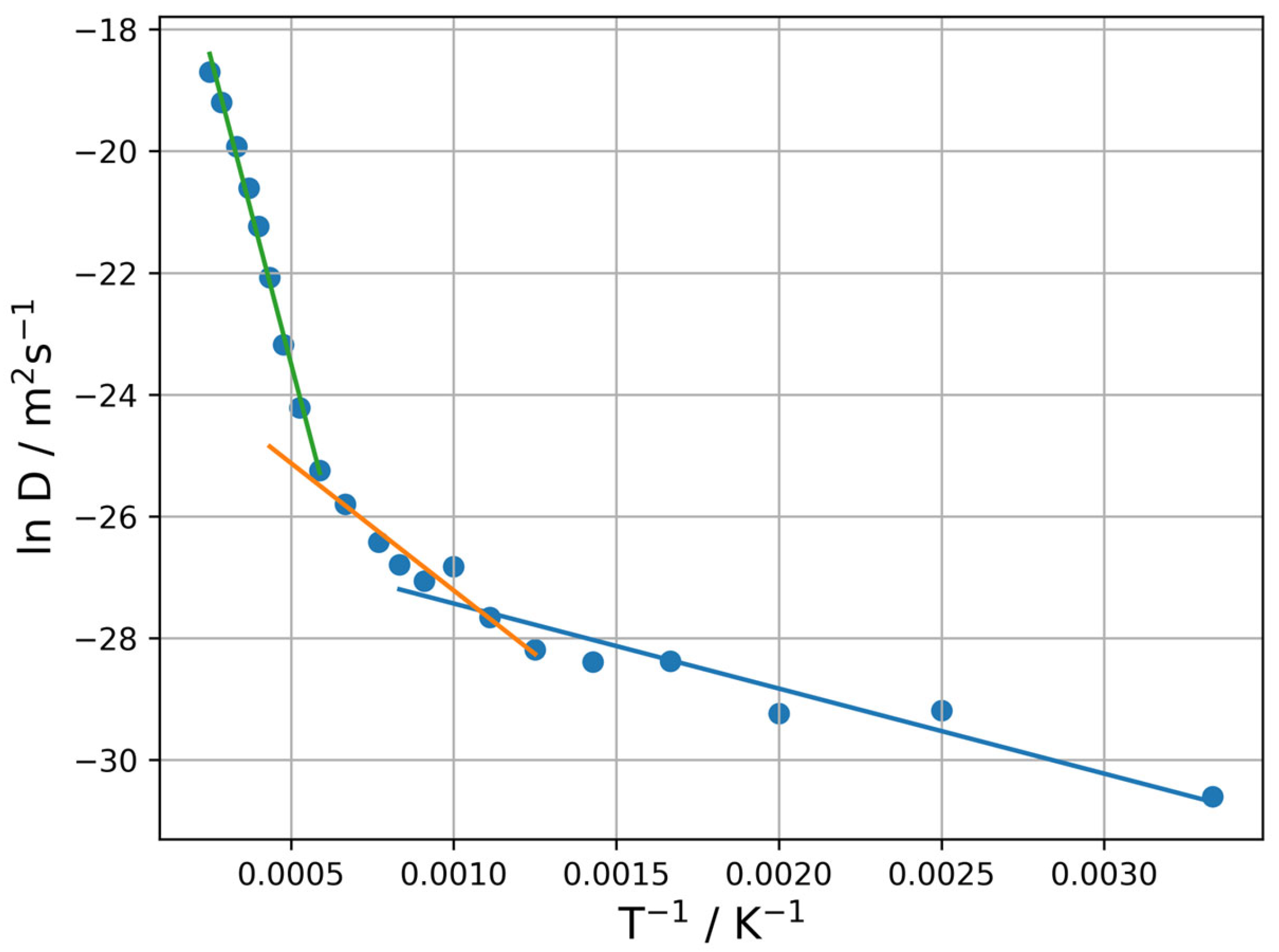
The D parameters as a function of the inverse temperature for the specific elements of x = 30 glass are given in Figure 2.
Figure 2.
Calculated self-diffusion coefficients as a function of the reciprocal temperature for x = 30 glass.
It can be seen that the self-diffusion parameters increase rapidly with rising temperature. The lowest values are evidenced for the P atoms in the glass network sites and the intermediate FeIII, which may occupy network or modifier positions in the glass. In contrast, the highest D values are associated with pure modifiers Sr and FeII.
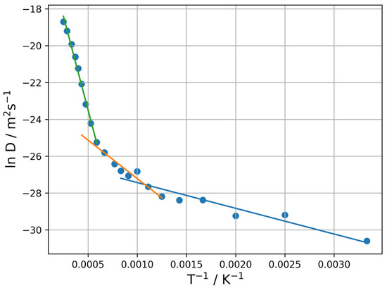
As an example, the average MSD for the exemplary x = 30 glass composition in the Arrhenius plot is shown in Figure 3. Similar curves are evidenced for all species and compositions. It can be noticed that there are three distinct regions of parameter slope change: the low-temperature region (1, represented by the blue line), the mid-temperature region (2, represented by the orange line), and the high-temperature region (3, represented by the green line) in Figure 3. In each of these regions, different self-diffusion activation energies (E) and pre-exponential factors (Di) can be obtained using the following Arrhenius equation:
where kB is the Boltzmann constant.
Figure 3.
Arrhenius plot of the average self-diffusion coefficient for x = 30 glass (blue line—low-temperature region, orange line—mid-temperature region, green line—high-temperature).
To the points in the regions, the lines were fitted and the fitted parameters were applied to determine the E and Di parameters in each region. The lines intersect at low-temperature point T1 and high-temperature point T2, dividing the regions. The resulting parameter values for all species and glass compositions are summarized in Table 1.
Table 1.
The self-diffusion activation energy (E), pre-exponential parameters Di, and T1 and T2 temperatures.
The parameters summarized in Table 1 can be used to estimate self-diffusion coefficients at any desired temperature. The self-diffusion coefficients corresponding to the intermediate temperatures within the three regions are presented in Figure 4.
Figure 4.
Calculated self-diffusion coefficients (D) as a function of glass composition at the specific temperatures in the three regions.
3.2. Molar Volume
The self-diffusion process may be related to the size of the voids in the glass network, which can be described by the change in molar volume (VM). For all the simulated glasses, the temperature dependence of VM was calculated based on the volume of the specific glass simulation box obtained after the NPT run at the given temperature. The temperature dependencies are shown in Figure 5.
Figure 5.
Dependence of molar volume (VM) on the temperature of the simulated glasses.
According to the data presented in Figure 5, it can be seen that with increasing SrO content, the molar volume decreases. To better show and describe the change in VM with temperature, the normalized molar volume, defined as the ratio of the VM to the molar volume at 300 K, was calculated and is presented in Figure 6.
Figure 6.
Dependence of relative molar volume on temperature for the simulated glasses.
The normalized VM change with temperature may also be divided into three regions. The first one is a low temperature to about 1200 K. In this region, for low SrO content (x = 0 and 10), a slight increase in volume is observed initially up to 500 K, followed by a decrease up to 1200 K. For the middle SrO content (20, 30 mol%), the decrease is replaced by a plateau, whereas for the high strontium content (x = 40, 50), a linear increase in the temperature range is observed. For higher temperatures between c.a. 1200 and 2700 K, an almost linear increase is observed for all the considered glass compositions, with a steeper slope than in the low-temperature region. At the highest temperatures above 2700 K, the increase continues but with a smaller slope compared to the middle region.
3.3. Cluster Statistics
We previously observed that similar iron phosphate glasses containing SrO [20], CaO [30], and Na2O [31] are inhomogeneous, with the formation of modifier-rich regions. This effect is especially well observed with an increase in the SrO and CaO content in the glass. To describe the effect, we check the possibility of the specific element cluster formations and the changes in cluster statistics due to temperature change. Figure 7 and Figure 8 summarize the number of clusters, as well as maximum and mean cluster size, as a function of temperature for x = 20 and 40 glass compositions, respectively. The maximum size refers to the largest cluster of, for example, O atoms in the oxygen-enriched regions. This includes the number of oxygen atoms involved in the region formation. There can be, e.g., one very large cluster and many small ones in the system. In all cases, there is evidence of cluster formation.
Figure 7.
Dependence of (a,d,g,j,m)—number of clusters; (b,e,h,k,n)—maximal; and (c,f,i,l,o)—mean cluster size for the specific elements in glass x = 20.
Figure 8.
Dependence of (a,d,g,j,m)—number of clusters; (b,e,h,k,n)—maximal; and (c,f,i,l,o) mean cluster size for the specific elements in glass x = 40.
In the case of the glass with low SrO content, the largest number of clusters is associated with the P atoms. In this case, the number, maximum, and average sizes remain constant up to about 1000–1100 K. At higher temperatures, there is evidence of an increase in the number of clusters, accompanied by a decrease in their maximum and mean size. Thus, the phosphate clusters grow smaller and the trend is fast and continuous to about 3000 K, where the parameters stabilize. A similar trend is also observed for glass with high SrO content (x = 40) as shown in Figure 8.
In the case of the intermediate FeIII that is similar to P at low temperatures, no significant changes in cluster statistics are observed for both glasses up to 1000 K. Nevertheless, above 1000 K, an increase in the mean cluster size is noted, with a maximum in the range 1500–2000 K. Beyond this range, a decomposition of rapid clusters is detected that stabilize at above 3000 K.
The largest clusters are formed by oxygen. The size of these clusters increases with temperatures up to 1500–2000 K. This is evidenced by the increase in cluster size and the decrease in their number. Above this point, the decomposition occurs. The trend and position of the maximum are similar to those observed for FeIII.
In the case of both modifiers (FeII and Sr) of the network for x = 20, a linear decrease in the number of the modifier clusters is observed. However, it is difficult to see any temperature relation in their size. For x = 40, the number of clusters remains relatively stable up to about 2500–3000 K, after which only the size decreases and the clusters begin to decompose.
4. Discussion
The base glass network (70P2O5-30Fe2O3), according to experimental and theoretical data in the literature [19,32], is made up of long phosphate chains connected via [FeIIIO4]− tetrahedra. These tetrahedra have a negative charge that needs to be compensated for. In pure iron phosphate glasses, the charge compensator may be FeIII or FeII cations, which are placed in the modifier glass network positions. In the positions, the cations are placed in the open spaces within the network. However, they are introduced into the glass as oxides, and the associated oxygen atoms contribute to the glass network depolymerization by disrupting the P-O-P bridges. This leads to an increase in the glass network voids’ formation. The modifiers placed in these spaces transform not fully saturated P=O bonds into, e.g., joined P-O-FeII [33]. A similar compensating role may be fulfilled by Sr [20,34]. It was confirmed experimentally and theoretically that the introduction of SrO into the base glass network initially leads to its gradual depolymerization. Sr cations occupy the open voids of the network, which may be observed as the decrease in molar volume (Figure 5). With an increase, the depolymerization of the phosphate network is almost linear, up to 30 mol% of SrO. This point correlates with the full saturation of all [FeIIIO4]− tetrahedra by Sr [34]. Furthermore, Sr and Fe tend to create enriched regions that may act as seeds for the crystallization of strontium-containing iron phosphate compounds like SrFe2P2O7 [20]. It was also observed that at low SrO concentration to 30 mol%, the iron phosphate network forms a continuous phase with the Sr cations placed in the open voids. Above the point, the iron phosphate network is no longer continuous and forms separated regions divided by the denser Sr-rich phase [20,34].
According to the results of the simulations, the self-diffusion coefficients behave differently as a function of temperature, depending on the temperature range (Figure 4, Table 1). In the low-temperature region, up to about 1000 K, the highest coefficient values are observed for modifiers, lower for intermediate FeIII, and the lowest for network P cations. In this temperature range, glass may be considered a solid material. The upper limit of this region, around 1000 K, is close to the glass transition temperature of glasses with similar compositions [35,36]. In this region, the process of self-diffusion is mostly governed by the migration of modifiers from one open void to another within the glass network. The migration of iron phosphate network species is limited. As the content of glass network modifiers increases, the number of open void sites in the network decreases, limiting the diffusion process of the modifiers. This is evidenced by the decrease in the D parameter with increasing SrO content in the glass. In the second region, from c.a. 1000 K to c.a. 1900 K, the glass is in liquid form. However, its viscosity remains relatively high. In this case, the self-diffusion process is mostly related to the migration of network species P and FeIII, in contrast to the previous region. This may be related to the decomposition of the iron phosphate network in the temperature range. The rapid decrease in the network species coefficients for x = 40 and 50 (Figure 4) is probably related to changes in the glass network structure discussed above, and the transition from the iron phosphate-dominating phase to the Sr-rich phase. The latter begins to resemble crystalline compounds that likely melt at higher temperatures. As a result, the migration of P and FeIII may be limited to the small space of the residual iron phosphate network, separated by the Sr-rich phase. This process prevents the migration of the species outside the residual regions and limits its self-diffusion. Finally, above c.a. 1900 K, both phases are in a liquid state and the glass viscosity is low. In this region, similar to the first, the diffusion process is again mostly due to the migration of the modifiers. With the increase in their content, all the coefficients also increase. In this way, the fully melted material is obtained.
The three regions with similar temperature ranges are also evident in the temperature dependence of the molar volume (Figure 5). As expected, pure iron phosphate glass has the highest molar volume, indicating that its structure is the most open, with a considerable number of voids. Introducing the modifiers into the network leads to a decrease in volume and the glass network becomes more dense. In the low-temperature range, where the glasses are solid, the volume changes with the temperature are relatively small (Figure 6). Interestingly, as shown in the inset of Figure 6 for materials with low SrO content (x = 0, 10), the volume decreases above 500 K. Thus, the network becomes more compact, which may indicate that the self-diffusion process may follow the tendency of the glass to partial crystallization. The crystalline compounds due to their long-range order are more dense than glass. The addition of SrO (x = 20, 30) prevents the process. Although the decrease is not observed, there is no change in the volume (plateau on the curve), suggesting that at least partial transformation toward species ordering cannot be excluded. For temperatures above 1000–1200 K, a more rapid increase in the volume is observed, related to the transformation of the glasses from a solid to a liquid state and the gradual decrease in glass viscosity. In the highest temperature region, the slope of the increase becomes smaller, which may correlate with the characteristic glass flowing temperature.
The existence of the three temperature regions is also evidenced in the species cluster statistics. At first, it should be pointed out that in all cases the formation of clusters of species is observed (Figure 7 and Figure 8). Thus, the glass cannot be considered fully homogeneous, as regions of higher and lower concentrations of specific elements exist. In the low-temperature region, the clusters are relatively stable. In the mid-temperature region, over the predicted glass transition temperature, there is evidence of an increase in the number of P clusters with a decrease in size, suggesting that decomposition of the iron phosphate network occurs in this region. On the other hand, there is a detection of increased FeIII clustering together with oxygen. This implies that in this temperature range, a process of iron-rich phase crystallization may occur. This is possible since, for the temperature between the glass transition and the flow, a glass crystallization is frequently observed [18]. At the highest temperatures, the size of the clusters and their numbers stabilize. Thus, in the melt, a high number of small clusters of species are detected.
5. Conclusions
Classical molecular dynamics simulations of iron phosphate glasses containing SrO of the general formula (100 − x) (0.7P2O5-0.3Fe2O3) − xSrO (mol%) were performed.
The temperature dependence of the mean-squared displacements for the glass species was obtained, and the self-diffusion coefficients were evaluated. The simulations were also used to establish the temperature dependence of molar volume and to observe the aggregation of glass species aggregation.
There are three temperature regions in which the self-diffusion process follows in different ways. First, the low-temperature region up to c.a. 1000 K, in which the glass is a solid material. In this region, the process is mostly governed by the diffusion of the modifiers through the open voids in the network. Second, the mid-temperature region between the c.a. glass transition and flow, where the iron phosphate network decomposes and the diffusion is mostly due to the migration of the network species. The third region is the high-temperature one, where the melt viscosity is low enough that it can be treated as the fully melted material, above the glass flowing point.
It should be pointed out that the conducted studies are modeled results. The values of the self-diffusion coefficients may influence the chemical durability of the material. Nevertheless, the influence is not direct, and the more important factor is the hydration of P-O bonds and the resulting decomposition of the glass network. On the other hand, the changes in the coefficients may be seen in electrical conductivity measurements, which could be an interesting point for further studies.
Funding
This research was funded by the subsidy of the Ministry of Education and Science for the AGH University of Krakow, project No 16.16.160.557.
Data Availability Statement
The original data presented in the study are openly available in Rodbuk AGH repository at https://doi.org/10.58032/AGH/KOCLCJ.
Acknowledgments
Research project supported by the program “Excellence initiative–research university” for the AGH University of Krakow. We gratefully acknowledge Polish high-performance computing infrastructure PLGrid (HPC Center: ACK Cyfronet AGH) for providing computer facilities and support within computational grant no. PLG/2024/017138.
Conflicts of Interest
The author declares no conflicts of interest. The funders had no role in the design of the study; in the collection, analyses, or interpretation of data; in the writing of the manuscript; or in the decision to publish the results.
References
- Carini, G.; D’Angelo, G.; Tripodo, G.; Fontana, A.; Rossi, F.; Saunders, G.A. Low-Energy Magnetic Excitations in the Pr Metaphosphate Glass. EPL (Europhys. Lett.) 1997, 40, 435. [Google Scholar] [CrossRef]
- Durville, F.M.; Behrens, E.G.; Powell, R.C. Laser-Induced Refractive-Index Gratings in Eu-Doped Glasses. Phys. Rev. B 1986, 34, 4213–4220. [Google Scholar] [CrossRef] [PubMed]
- Liang, X.; Zhu, C.; Yang, Y.; Yuan, S.; Chen, G. Luminescent Properties of Dy3+-Doped and Dy3+–Tm3+co-Doped Phosphate Glasses. J. Lumin. 2008, 128, 1162–1164. [Google Scholar] [CrossRef]
- Zhu, J.; Xiang, J.; Hu, L.; Mao, Y.; Xiong, K.; Zhao, H. Synthesis and Red Emitting Properties of NaAlP2O7:Pr3+ Polycrystal for Blue Chip-Excited WLEDS. Results Phys. 2019, 12, 771–775. [Google Scholar] [CrossRef]
- Sales, B.C. Phosphate Glasses. MRS Bull. 1987, 12, 32–35. [Google Scholar] [CrossRef]
- Hench, L.L. Bioceramics: From Concept to Clinic. J. Am. Ceram. Soc. 1991, 74, 1487–1510. [Google Scholar] [CrossRef]
- Knowles, J.C. Phosphate Based Glasses for Biomedical Applications. J. Mater. Chem. 2003, 13, 2395–2401. [Google Scholar] [CrossRef]
- Bunker, B.C.; Arnold, G.W.; Wilder, J.A. Phosphate Glass Dissolution in Aqueous Solutions. J. Non Cryst. Solids 1984, 64, 291–316. [Google Scholar] [CrossRef]
- Ma, L.; Brow, R.K.; Schlesinger, M.E. Dissolution Behavior of Na2O–FeO–Fe2O3–P2O5 glasses. J. Non Cryst. Solids 2017, 463, 90–101. [Google Scholar] [CrossRef]
- Orlova, A.I.; Ojovan, M.I. Ceramic Mineral Waste-Forms for Nuclear Waste Immobilization. Materials 2019, 12, 2638. [Google Scholar] [CrossRef]
- Ojovan, M.I.; Lee, W.E. An Introduction to Nuclear Waste Immobilisation; Elsevier Science: Amsterdam, The Netherlands, 2014; ISBN 9780080993935. [Google Scholar]
- Donald, I.W. Immobilisation of Radioactive and Non-Radioactive Wastes in Glass-Based Systems: An Overview. Glass Technol. 2007, 48, 155–163. [Google Scholar]
- Donald, I.W. Waste Immobilization in Glass and Ceramic Based Hosts; Wiley: Hoboken, NJ, USA, 2010; ISBN 9781444319378. [Google Scholar]
- Brow, R.K. Nature of Alumina in Phosphate Glass: I, Properties of Sodium Aluminophosphate Glass. J. Am. Ceram. Soc. 1993, 76, 913–918. [Google Scholar] [CrossRef]
- Brow, R.K. Review: The Structure of Simple Phosphate Glasses. J. Non Cryst. Solids 2000, 263, 1–28. [Google Scholar] [CrossRef]
- Brow, R.K.; Kirkpatrick, R.J.; Turner, G.L. Nature of Alumina in Phosphate Glass: II, Structure of Sodium Alurninophosphate Glass. J. Am. Ceram. Soc. 1993, 76, 919–928. [Google Scholar] [CrossRef]
- Rao, K.J. Structural Chemistry of Glasses; Elsevier: Amsterdam, The Netherlands, 2002; ISBN 9780080518039. [Google Scholar]
- Shelby, J.E. Introduction to Glass Science and Technology; RSC Paperbacks Series; Royal Society of Chemistry: Cambridge, UK, 2005; ISBN 9780854046393. [Google Scholar]
- Stoch, P.; Goj, P.; Ciecińska, M.; Jeleń, P.; Błachowski, A.; Stoch, A.; Krakowiak, I. Influence of Aluminum on Structural Properties of Iron-Polyphosphate Glasses. Ceram. Int. 2020, 46, 19146–19157. [Google Scholar] [CrossRef]
- Goj, P.; Wajda, A.; Stoch, P. Development of a New Sr-O Parameterization to Describe the Influence of SrO on Iron-Phosphate Glass Structural Properties Using Molecular Dynamics Simulations. Materials 2021, 14, 4326. [Google Scholar] [CrossRef]
- Wedgwood, F.A.; Wright, A.C. Short Range Antiferromagnetic Ordering in Vitreous Fe2O3-P2O5. J. Non Cryst. Solids 1976, 21, 95–105. [Google Scholar] [CrossRef]
- Wright, A.C.; Sinclair, R.N.; Shaw, J.L.; Haworth, R.; Marasinghe, G.K.; Day, D.E. A Neutron Diffraction Study of the Structure of Iron Phosphate Glasses. Phys. Chem. Glas.-Eur. J. Glass Sci. Technol. Part B 2008, 49, 1–7. [Google Scholar]
- Shaw, J.L.; Wright, A.C.; Sinclair, R.N.; Marasinghe, G.K.; Holland, D.; Lees, M.R.; Scales, C.R. Spin Glass-like Antiferromagnetic Interactions in Iron Phosphate Glasses. J. Non Cryst. Solids 2004, 345–346, 245–250. [Google Scholar] [CrossRef]
- Wright, A.C.; Sinclair, R.N.; Shaw, J.L.; Haworth, R.; Marasinghe, G.K.; Day, D.E.; Bingham, P.A.; Forder, S.D.; Cuello, G.J.; Fischer, H.E. The Atomic and Magnetic Structure and Dynamics of Iron Phosphate Glasses. Phys. Chem. Glas.-Eur. J. Glass Sci. Technol. Part B 2012, 53, 227–244. [Google Scholar]
- Plimpton, S. Fast Parallel Algorithms for Short—Range Molecular Dynamics. J. Comput. Phys. 1995, 117, 1–19. [Google Scholar] [CrossRef]
- Al-Hasni, B.; Mountjoy, G. Structural Investigation of Iron Phosphate Glasses Using Molecular Dynamics Simulation. J. Non Cryst. Solids 2011, 357, 2775–2779. [Google Scholar] [CrossRef]
- Al-Hasni, B.M.; Mountjoy, G.; Barney, E. A Complete Study of Amorphous Iron Phosphate Structure. J. Non Cryst. Solids 2013, 380, 141–152. [Google Scholar] [CrossRef]
- Cormack, A.N.; Du, J. Molecular Dynamics Simulations of Soda–Lime–Silicate Glasses. J. Non Cryst. Solids 2001, 293–295, 283–289. [Google Scholar] [CrossRef]
- Stillinger, F.H.; Weber, T.A. Computer Simulation of Local Order in Condensed Phases of Silicon. Phys. Rev. B 1985, 31, 5262–5271. [Google Scholar] [CrossRef] [PubMed]
- Goj, P.; Stoch, P. Influence of CaO on Structural Features of Polyphosphate P2O5-Fe2O3-FeO Glasses by Molecular Dynamics Simulations. J. Non Cryst. Solids 2020, 537, 120014. [Google Scholar] [CrossRef]
- Goj, P.; Stoch, P. Molecular Dynamics Simulations of P2O5-Fe2O3-FeO-Na2O Glasses. J. Non Cryst. Solids 2018. [Google Scholar] [CrossRef]
- Goj, P.; Wajda, A.; Stoch, P. Raman Imaging as a Useful Tool to Describe Crystallization of Aluminum/Iron-Containing Polyphosphate Glasses. J. Eur. Ceram. Soc. 2021, 41, 4572–4583. [Google Scholar] [CrossRef]
- Stoch, P.; Goj, P.; Wajda, A.; Stoch, A. Alternative Insight into Aluminium-Phosphate Glass Network from Ab Initio Molecular Dynamics Simulations. Ceram. Int. 2021, 47, 1891–1902. [Google Scholar] [CrossRef]
- Stoch, P.; Ciecińska, M. Structural Study of Strontium-Containing Iron-Phosphate Glasses for Radioactive Waste Vitrification. Spectrochim. Acta A Mol. Biomol. Spectrosc. 2024, 317, 124432. [Google Scholar] [CrossRef]
- Goj, P.; Ciecińska, M.; Szumera, M.; Stoch, P. Thermal Properties of Na2O–P2O5–Fe2O3 Polyphosphate Glasses. J. Therm. Anal. Calorim. 2020, 142, 203–209. [Google Scholar] [CrossRef]
- Goj, P.; Wajda, A.; Stoch, A.; Krakowiak, I.; Stoch, P. An Insight into the Correlation between Chemical Composition Changes of Aluminum-Iron-Polyphosphate Glasses and Thermal Properties. Materials 2021, 14, 2065. [Google Scholar] [CrossRef] [PubMed]
Disclaimer/Publisher’s Note: The statements, opinions and data contained in all publications are solely those of the individual author(s) and contributor(s) and not of MDPI and/or the editor(s). MDPI and/or the editor(s) disclaim responsibility for any injury to people or property resulting from any ideas, methods, instructions or products referred to in the content. |
© 2024 by the author. Licensee MDPI, Basel, Switzerland. This article is an open access article distributed under the terms and conditions of the Creative Commons Attribution (CC BY) license (https://creativecommons.org/licenses/by/4.0/).







