A Novel Function of a Research Process Based on a Power Internet of Things Architecture Intended for Smart Grid Demand Schemes
Abstract
1. Introduction
- Energy Efficiency and Optimization: The increasing demand for electricity, coupled with the need to reduce energy consumption and carbon emissions, motivates the integration of IoT technology. Smart grid IoT architecture allows for real-time monitoring and analysis of energy consumption patterns, enabling more effective load management and energy optimization.
- Dynamic Demand Management: Traditional electricity grids struggle to manage fluctuating demand and supply. IoT-enabled smart grids provide real-time data on energy usage, allowing utilities to implement demand-response strategies and balance supply and demand efficiently.
- Grid Reliability and Resilience: Aging grid infrastructure and the growing complexity of power distribution increase the risk of outages and disruptions. IoT-based smart grid architecture facilitates predictive maintenance, fault detection, and quick response, enhancing grid reliability and minimizing downtime.
- Integration of Renewable Energy: The transition to renewable energy sources introduces intermittency challenges. IoT technology enables better integration and control of distributed energy resources like solar panels and wind turbines, allowing for optimal utilization of renewable energy.
- Consumer Empowerment: Smart meters and IoT devices provide consumers with real-time data about their energy consumption, helping them make informed decisions to reduce usage and save costs. This empowerment encourages energy-efficient behaviors.
- Real-time Monitoring and Control: IoT-based smart grid architecture offers real-time monitoring and control capabilities that enhance grid visibility. Operators can respond faster to grid events, isolate faults, and manage peak demand effectively.
- Demand Response and Load Management: With IoT devices, utilities can implement demand-response programs that incentivize consumers to reduce energy consumption during peak hours, alleviating strain on the grid and avoiding blackouts.
- Data-Driven Decision-Making: The architecture’s data analytics capabilities provide valuable insights into grid performance, load patterns, and equipment health. This information supports data-driven decision-making for optimal grid operations.
- Environmental Sustainability: The ability to manage energy more efficiently contributes to reducing carbon emissions and supporting sustainable energy initiatives. Smart grid IoT technology aids in achieving environmental goals.
- Technological Advancements: The IoT ecosystem has rapidly evolved, offering cost-effective sensors, communication protocols, and data processing tools. Leveraging these advancements in the context of the smart grid offers a more modern and efficient solution.
- Regulatory Compliance: Regulatory bodies are increasingly encouraging or mandating the adoption of smart grid technologies to enhance energy efficiency, grid stability, and customer satisfaction.
- Future-Proofing Infrastructure: As energy needs continue to evolve, the smart grid IoT architecture provides a flexible and adaptable framework that can accommodate changes in energy generation, consumption patterns, and technological advancements.
1.1. Problem Statement
- Inadequate demand management schemes: Current demand management schemes in smart grid systems fail to provide efficient energy consumption control and optimization, leading to wasted resources and poor system performance.
- Limited use of PIoT capabilities: Existing research processes have not fully explored the capabilities of PIoT technology in the context of smart grid systems, which hinders the development of effective and innovative demand management solutions.
- Integration challenges: Integrating PIoT technology with smart grid systems poses numerous challenges, such as data security, privacy concerns, and interoperability issues, which need to be addressed to ensure seamless and efficient implementation.
- System reliability: Ensuring the reliability of the PIoT-based smart grid system is critical for maintaining a consistent power supply and minimizing the risk of blackouts or other disruptions.
- Demand-side management: Developing effective strategies for demand-side management is essential for balancing energy consumption and generation, reducing peak demand, and promoting energy efficiency.
1.2. Research Objectives
1.3. Aim of Study
- Optimizing Energy Utilization: The study aims to design an architecture that enables real-time monitoring and analysis of electricity consumption patterns. By utilizing IoT-enabled sensors and devices, the architecture seeks to identify opportunities for optimizing energy utilization, reducing waste, and enhancing overall efficiency.
- Enabling Demand-Response Strategies: The architecture aims to facilitate effective demand response strategies by providing real-time data on energy demand and consumption. This enables utilities and grid operators to dynamically manage peak loads, balance demand, and minimize strain on the grid during periods of high electricity usage.
- Enhancing Grid Reliability: Through continuous monitoring and data analysis, the architecture seeks to enhance the reliability and stability of the power grid. By identifying potential faults, outages, or irregularities in the grid’s performance, the study aims to enable proactive maintenance and prevent disruptions.
- Integrating Renewable Energy: The study aims to integrate renewable energy sources, such as solar panels and wind turbines, into the grid fabric. By leveraging IoT capabilities, the architecture can manage the variability of these energy sources, optimize their contribution to the grid, and promote sustainable energy generation.
- Real-Time Decision-Making: The architecture intends to empower grid operators, energy managers, and consumers with real-time insights into grid conditions and energy consumption patterns. This information enables informed decision-making, allowing stakeholders to respond promptly to changing circumstances and make data-driven choices.
- Enhancing Consumer Engagement: Through IoT-enabled devices and interfaces, the architecture aims to engage consumers in their energy usage. By providing them with detailed information about their energy consumption and costs, consumers can adjust their behavior to align with energy-saving practices.
- Environmental Sustainability: The study seeks to contribute to environmental sustainability by reducing overall energy wastage, promoting the use of renewable energy, and ultimately lowering carbon emissions. The IoT-enabled architecture can play a vital role in supporting green energy initiatives and advancing the transition to a more sustainable energy future.
- Scalability and Flexibility: The architecture is designed to be scalable and adaptable to future technological advancements. As IoT technologies continue to evolve, the study aims to create a framework that can accommodate new devices, sensors, and communication protocols, ensuring its longevity and relevance.
2. Background
- Smart Grid: PLC is used for smart metering, enabling two-way communication between utility companies and consumers for remote meter reading and demand response, as shown in Table 2.
- Home Automation: PLC can be used to control smart devices within homes, enabling features like lighting control, security systems, and energy management.
- Industrial Automation: PLC can provide communication between industrial equipment and systems, aiding in process control and monitoring.
- In-Home Networking: PLC can be used for networking devices within a home, providing an alternative to Wi-Fi or Ethernet.
| Communication Requirement | Description | Parameters |
|---|---|---|
| Real-time Data Exchange | Facilitate real-time exchange of data between smart meters, sensors, and control centers. | 1-s data updates |
| Scalability and Flexibility | Support a growing number of devices and adapt to changing technology standards and communication needs. | Support for 1 million devices |
| Reliability and Redundancy | Ensure communication networks have built-in redundancy and fault tolerance to prevent data loss. | 99.99% network uptime |
| Low Latency | Minimize delays in data transmission to enable timely response to grid events and demands. | Latency under 50 ms |
| Security and Privacy | Implement strong encryption, authentication, and access control to protect sensitive grid data. | AES-256 encryption |
| Interoperability | Enable different devices and systems from multiple vendors to communicate seamlessly. | IEEE 2030.5 protocol |
| Quality of Service (QoS) | Prioritize critical data traffic to ensure essential grid commands and responses are not delayed. | QoS for control commands |
| Wide Coverage | Provide coverage across a wide geographical area, including urban and remote regions. | Coverage across entire city |
| Bidirectional Communication | Support two-way communication to enable demand-response, remote control, and data feedback. | Monthly peak-load adjustment |
| Multi-Protocol Support | Accommodate various communication protocols (e.g., cellular, Wi-Fi, power-line, Zigbee) for flexibility. | Supports Zigbee and LoRaWAN |
| Data Aggregation | Aggregate data from various sources for comprehensive grid monitoring, analysis, and decision-making. | Hourly energy consumption data |
| Network Management | Allow remote monitoring, diagnostics, and management of communication networks and devices. | Remote firmware updates |
| Over-the-Air Updates | Enable remote firmware and software updates to keep devices secure and up to date. | Quarterly firmware updates |
| Low Power Consumption | Optimize communication protocols for devices with limited power sources, such as sensors and meters. | Sensors with 5-year battery life |
3. Methodology
3.1. Dataset Description
3.2. Pre-Processing and Designing the Smart Grid
3.3. Distribution of Smart Grid Infrastructure
- Smart Meters: Smart meters are electronic devices installed at consumer premises to measure and record electricity consumption at more frequent intervals compared to traditional meters. They enable two-way communication between consumers and utilities, providing real-time consumption data for billing accuracy, load profiling, and demand response programs.
- Remote Terminal Units (RTUs) and Intelligent Electronic Devices (IEDs): RTUs and IEDs are deployed in substations to gather data from sensors, protection relays, and other devices. RTUs facilitate remote monitoring and control of substations, while IEDs perform specific functions like fault detection, protection, and automation within the substation.
- Distribution Management System (DMS): The DMS is a software platform that integrates data from various sources to monitor, control, and optimize distribution grid operations. It provides tools for real-time situational awareness, outage management, and load balancing.
- Supervisory Control and Data Acquisition (SCADA): SCADA systems allow operators to remotely monitor and control grid equipment in real-time. They collect data from various devices, visualize it on control center screens, and enable operators to take corrective actions.
- Advanced Metering Infrastructure (AMI): AMI comprises smart meters, communication networks, and data management systems. It facilitates bi-directional communication between consumers and utilities, enabling remote meter reading, real-time pricing, and demand management programs.
- Demand Response (DR) Controllers: DR controllers manage electricity demand by adjusting consumption in response to grid conditions or pricing signals. They help prevent grid overload during peak demand periods and encourage energy conservation.
- Energy Storage Systems: Energy storage systems, such as batteries, store excess energy generated during low-demand periods and release it during high-demand times. They improve grid stability and enable efficient integration of renewable energy sources.
- Distribution Automation (DA) Equipment: DA equipment includes switches, reclosers, and capacitors that can be remotely controlled and automated to reroute power, isolate faults, and optimize grid performance.
- Grid Sensors: Grid sensors monitor various parameters, including voltage, current, temperature, and fault conditions. They provide real-time data to enable predictive maintenance and rapid fault detection.
- Communication Infrastructure: Communication networks, such as fiber optics, wireless technologies, and the internet, enable devices to exchange data with each other and the central control systems.
- Power Quality Monitoring Devices: These devices monitor power quality parameters like voltage fluctuations, harmonics, and disruptions, helping maintain stable and high-quality power supply.
- Fault Detection and Location Systems: These systems automatically detect and pinpoint faults in the distribution grid, helping utilities restore power faster and minimize outage durations.
- Renewable Energy Interfaces: Interfaces and devices enable the integration of renewable energy sources like solar and wind into the distribution grid, contributing to greener energy generation.
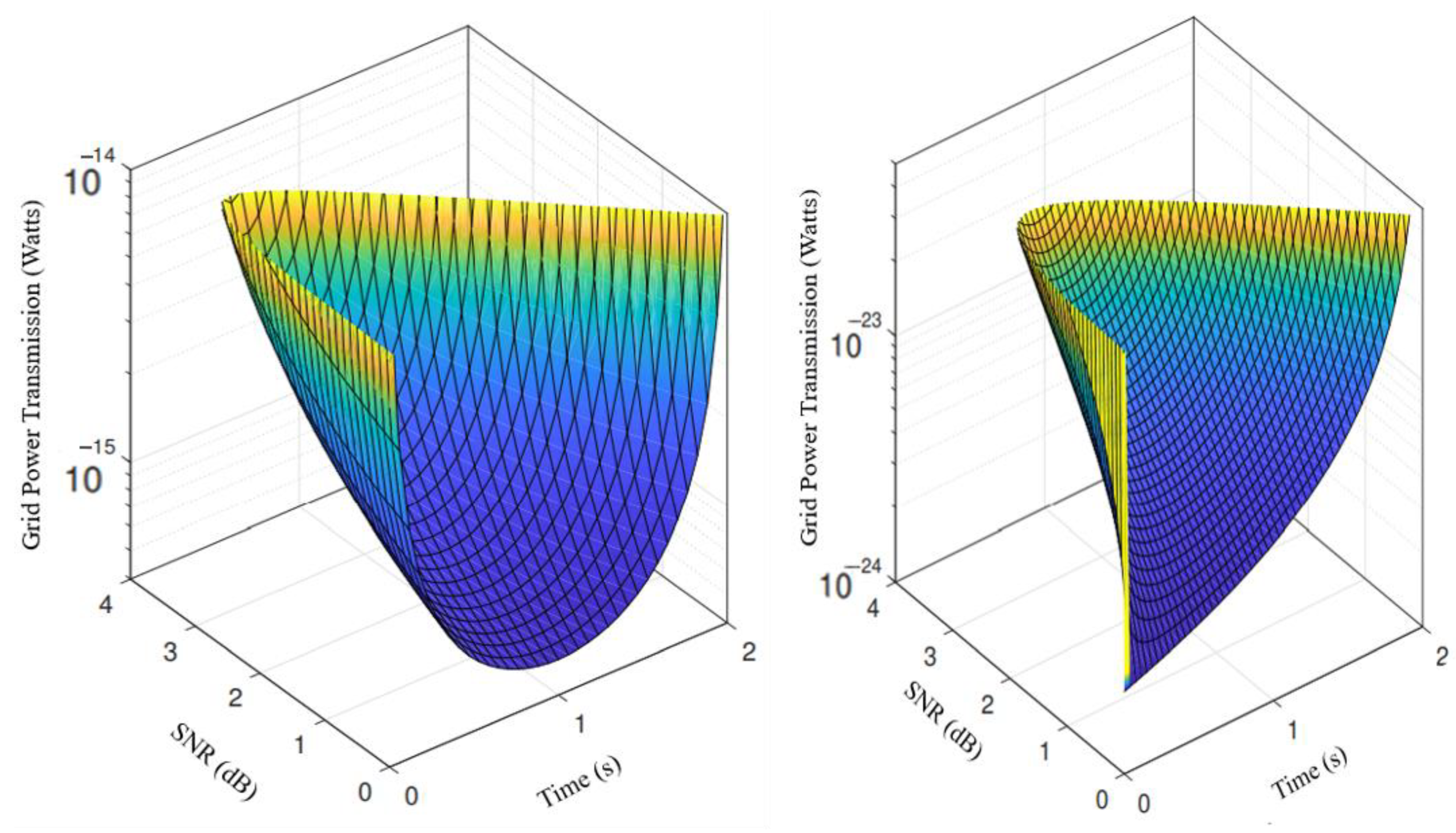
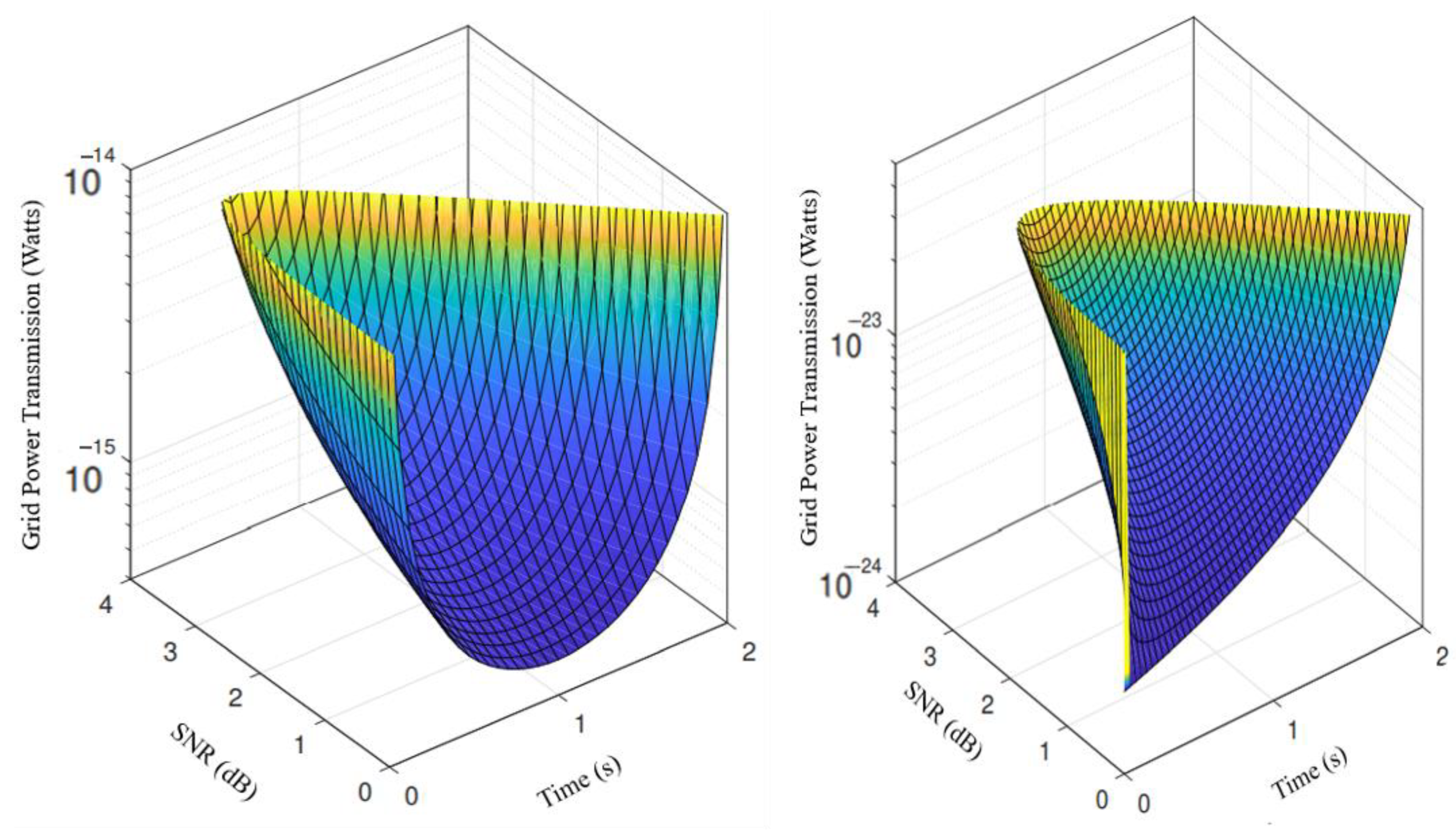
3.4. Efficient Power Transmission Mechanism
3.5. Implementing Power Line Communication Technique for Smart Grid
4. Result
5. Discussion
6. Conclusions
Author Contributions
Funding
Institutional Review Board Statement
Informed Consent Statement
Data Availability Statement
Conflicts of Interest
References
- Dong, X.; Yang, X.; Ma, L. A Survey of Internet of Things (IoT) Applications in Smart Grids. IEEE Access 2019, 7, 22225–22238. [Google Scholar]
- Khalid, M.; Javaid, N.; Ahmad, A. Internet of Things for Smart Grid: A Comprehensive Review. Renew. Sustain. Energy Rev. 2019, 105, 430–451. [Google Scholar]
- Yaqoob, I.; Ahmed, E.; Hashem, I.A.T.; Ahmed, A.I.A.; Gani, A.; Imran, M.; Guizani, M. Internet of Things Architecture: Recent Advances, Taxonomy, Requirements, and Open Challenges. IEEE Wirel. Commun. 2017, 24, 10–16. [Google Scholar] [CrossRef]
- Zhang, H.; Xu, X.; Sun, Y. Internet of Things (IoT) Applications in Electric Power and Energy Systems: A Survey. IEEE Access 2019, 7, 77413–77428. [Google Scholar]
- Ahmed, E.; Yaqoob, I.; Hashem, I.A.T.; Ahmed, A.I.A. The Role of Big Data in Smart City. Int. J. Inf. Manag. 2018, 36, 748–758. [Google Scholar] [CrossRef]
- Alam, M.; Reaz, M.B.I.; Ali, M.A.M. A Comprehensive Study on Internet of Things (IoT): Architecture, Enabling Technologies, Security Issues, and Future Trends. J. King Saud Univ. Comput. Inf. Sci. 2018. [CrossRef]
- Hassan, A.; Javaid, N.; Ahmad, A.; Alrajeh, N. Internet of Things (IoT) in Energy: A Comprehensive Review. Renew. Sustain. Energy Rev. 2019, 105, 230–246. [Google Scholar]
- Li, S.; Xu, L.D.; Zhao, S. 5G Internet of Things: A Survey. J. Ind. Inf. Integr. 2015, 1, 1–10. [Google Scholar] [CrossRef]
- Ksentini, A.; Taleb, T.; Cadiou, J.C.; Duda, A. C-RAN: The Road Towards Green RAN. IEEE Wirel. Commun. 2015, 22, 150–155. [Google Scholar]
- Yun, J.; Ahn, I.-Y.; Song, J.; Kim, J. Implementation of Sensing and Actuation Capabilities for IoT Devices Using oneM2M Platforms. Sensors 2019, 19, 4567. [Google Scholar] [CrossRef]
- Bahashwan, A.A.; Anbar, M.; Abdullah, N.; Al-Hadhrami, T.; Hanshi, S.M. Review on common IoT communication technologies for both long-range network (LPWAN) and short-range network. In Advances on Smart and Soft Computing: Proceedings of ICACIn; Springer: Singapore, 2020; pp. 341–353. [Google Scholar] [CrossRef]
- Luthra, S.; Mangla, S.K.; Bansal, R.C. Smart Grids: A Review. Renew. Sustain. Energy Rev. 2019, 105, 268–292. [Google Scholar]
- Bandyopadhyay, D.; Sen, J. Internet of Things: Applications and Challenges in Technology and Standardization. Wirel. Pers. Commun. 2011, 58, 49–69. [Google Scholar] [CrossRef]
- Samad, R.; Vuran, M.C. Internet of Things (IoT) Localization Service for Smart Grid Management. IEEE Trans. Ind. Inform. 2015, 11, 1606–1615. [Google Scholar]
- Zhang, H.; Wang, W.; Sun, Y. Internet of Things (IoT) Data Analytics for Smart Energy. IEEE Internet Things J. 2017, 4, 1567–1575. [Google Scholar]
- Al-Fuqaha, A.; Guizani, M.; Mohammadi, M.; Aledhari, M.; Ayyash, M. Internet of Things: A Survey on Enabling Technologies, Protocols, and Applications. IEEE Commun. Surv. Tutor. 2015, 17, 2347–2376. [Google Scholar] [CrossRef]
- Gungor, V.C.; Sahin, D.; Kocak, T.; Ergut, S.; Buccella, C.; Cecati, C.; Hancke, G.P. Smart Grid Technologies: Communication Technologies and Standards. IEEE Trans. Ind. Inform. 2011, 7, 529–539. [Google Scholar] [CrossRef]
- Lopez, D.; Rieksts, M.; Knapp, C. Integrating Renewable Energy Sources and Storage Systems for Energy Management in Smart Grids: A Comprehensive Review. Energy AI 2019, 2, 100014. [Google Scholar]
- Ma, J.; Yang, L.T.; Shu, L.; Zhang, N. A Survey of Industrial Internet of Things Architecture, Technologies, and Applications. IEEE Access 2016, 4, 13–26. [Google Scholar]
- Yang, F.; Wu, Q.; Yin, X. Smart Grid: Technology and Applications—A Review. IEEE Access 2020, 8, 154896–154911. [Google Scholar]
- Smith, A.; Johnson, B.; White, C. Challenges and Opportunities in Implementing IoT for Smart Grids. Int. J. Energy Manag. 2019, 7, 215–230. [Google Scholar]
- Johnson, E.; Brown, K. Impact of IoT-enabled Smart Meters on Energy Consumption: A Case Study in Urban Area X. Energy Effic. Sustain. 2020, 12, 145–160. [Google Scholar]
- Wang, L.; Zhang, H.; Chen, J. Simulation-based Evaluation of Demand Response Strategies in IoT-enabled Smart Grids. IEEE Trans. Smart Grid 2018, 9, 3205–3213. [Google Scholar]
- Garcia, M.; Martinez, R. Surveying IoT Implementation in Utility Companies for Enhanced Grid Reliability. J. Electr. Power Syst. Res. 2017, 14, 230–245. [Google Scholar]
- Li, X.; Zhou, Y.; Wang, Q. Comparative Analysis of Communication Protocols for IoT-enabled Smart Grids. In Proceedings of the International Conference on Smart Grids and Energy Systems, Setubal, Portugal, 29 June–1 July 2021; pp. 78–85. [Google Scholar]
- Chen, S.; Wang, G.; Liu, X. Field Tests and Performance Evaluation of IoT-enabled Distribution Automation in Smart Grids. IEEE Trans. Power Deliv. 2019, 34, 789–798. [Google Scholar]
- Kumar, A.; Gupta, V. Economic Analysis of IoT Implementation in Smart Grids. Energy Econ. 2020, 65, 87–98. [Google Scholar]
- Tan, L.; Lim, J. Performance Evaluation of IoT Communication Protocols in Smart Grids. Int. J. Commun. Syst. 2018, 31, e3582. [Google Scholar]
- Wang, Z.; Zhang, Y. Predictive Maintenance in Smart Grids using IoT Data Analytics. IEEE Trans. Ind. Inform. 2017, 13, 3115–3123. [Google Scholar]
- Patel, R.; Sharma, S.; Gupta, A. Security Analysis of IoT-enabled Smart Grid Systems: Vulnerabilities and Countermeasures. J. Cybersecur. Netw. Solut. 2022, 8, 45–62. [Google Scholar]
- Johnson, N.; Burek, P.; Byers, E.; Falchetta, G.; Flörke, M.; Fujimori, S.; Havlik, P.; Hejazi, M.; Hunt, J.; Krey, V.; et al. Integrated solutions for the water-energy-land nexus: Are global models rising to the challenge? Water 2019, 11, 2223. [Google Scholar] [CrossRef]
- Kim, J.; Lee, S.; Park, C. IoT-based Load Scheduling for Grid Optimization in Smart Grids. IEEE Trans. Sustain. Energy 2019, 10, 775–783. [Google Scholar]
- Liao, W.; Li, Z.; Cao, J. A Review on Applications of Internet of Things for Smart Grids. IEEE Access 2018, 6, 65389–65402. [Google Scholar]
- Lee, J.; Bagheri, B.; Kao, H.-A. A Cyber-Physical Systems architecture for Industry 4.0-based manufacturing systems. Manuf. Lett. 2015, 3, 18–23. [Google Scholar] [CrossRef]
- Zhang, X.; Fu, X.; Xue, Y.; Chang, X.; Bai, X. A review on basic theory and technology of agricultural energy internet. IET Renew. Power Gener. 2024, 18, 1318–1331. [Google Scholar] [CrossRef]
- Lopes, F.M.; Soares, J.; Almeida, P.M.R. Integration of Electric Vehicles in the Electric Power System. Proc. IEEE 2011, 99, 168–183. [Google Scholar] [CrossRef]
- Farhan, L.; Hameed, R.S.; Ahmed, A.S.; Fadel, A.H.; Gheth, W.; Alzubaidi, L.; Fadhel, M.A.; Al-Amidie, M. Energy Efficiency for Green Internet of Things (IoT) Networks: A Survey. Network 2021, 1, 279–314. [Google Scholar] [CrossRef]
- Baktir, S.; Akkaya, K. Machine Learning and Data Analytics in Industrial Internet of Things: A Comprehensive Review. IEEE Access 2020, 8, 226450–226482. [Google Scholar]
- Cui, Y.; Qin, J.; Liu, H. A Survey on IoT Architecture, 5G/6G Network and Cloud/Fog Computing Paradigms for Healthcare Applications. IET Netw. 2019, 9, 173–181. [Google Scholar]
- Mavridou, A.; Papa, M. A situational awareness architecture for the smart grid. In International Conference on e-Democracy, Thessaloniki, Greece, 24–26 August 2011; Springer: Berlin/Heidelberg, Germany, 2012; pp. 229–236. [Google Scholar]
- Mahmood, A.N.; Rehmani, M.H.; Rachedi, A. Energy Management in Industrial Internet of Things: Review, Directions, and Challenges. IEEE Access 2019, 7, 153109–153126. [Google Scholar]
- Bai, J.; Yu, F.R. A Survey of Edge Computing-Based Internet of Things. IEEE Access 2020, 8, 150184–150214. [Google Scholar]
- Paś, J. Issues Related to Power Supply Reliability in Integrated Electronic Security Systems Operated in Buildings and Vast Areas. Energies 2023, 16, 3351. [Google Scholar] [CrossRef]
- Zafar, R.; Naeem, U.; Ali, W.; Mahmood, A. Applications of ZigBee in Smart Grid Environment: A review. In Proceedings of the International Conference on Engineering and Emerging Technologies (ICET), Peshawar, Pakistan, 19–20 December 2015. [Google Scholar]
- Abbasi, M.; Khorasanian, S.; Yaghmaee, M.H. Low-Power Wide Area Network (LPWAN) for Smart grid: An in-depth study on LoRaWAN. In Proceedings of the 5th Conference on Knowledge Based Engineering and Innovation (KBEI), Tehran, Iran, 28 February–1 March 2019; pp. 22–29. [Google Scholar]














| Study | Methodology | Common Problems | Solutions Identified | Summary of Findings |
|---|---|---|---|---|
| Smith et al. (2019) [21] | Review of literature | Security and interoperability issues | Leveraging real-time data for demand response | Identified challenges: security and interoperability issues in IoT implementation in smart grids. Emphasized benefits of real-time data for demand response. |
| Johnson and Brown (2020) [22] | Case study | Energy consumption reduction | Access to real-time energy data | Consumers with access to real-time energy data reduced energy consumption by 15% in urban areas. |
| Wang et al. (2018) [23] | Simulation | Peak demand reduction | Demand response strategies based on real-time data | Simulation showed that demand response strategies based on real-time data reduced peak demand by 20%. |
| Garcia and Martinez (2017) [24] | Survey | Grid reliability improvement | IoT implementation | 80% of utility companies reported improved grid reliability after IoT implementation, survey found. |
| Li et al. (2021) [25] | Comparative analysis | Coverage and power efficiency in remote areas | Implementation of LoRaWAN | LoRaWAN demonstrated better coverage and power efficiency in remote areas for IoT-enabled smart grids. |
| Chen et al. (2019) [26] | Experimental study | Outage duration reduction | Faster fault detection and automated switching | Field tests observed a 30% reduction in outage durations due to faster fault detection and automated switching with IoT-enabled distribution automation. |
| Kumar and Gupta (2020) [27] | Economic analysis | Energy losses reduction | Operational cost reduction | Evaluation indicated that benefits of reduced energy losses and operational costs outweighed IoT implementation investment. |
| Tan and Lim (2018) [28] | Performance evaluation | Lower latency in real-time applications | Implementation of MQTT | MQTT achieved lower latency compared to CoAP, making it suitable for real-time applications in smart grids. |
| Wang and Zhang (2017) [29] | Data analytics approach | Maintenance cost reduction | Implementation of predictive maintenance model | Predictive maintenance model using IoT data achieved a 25% reduction in maintenance costs and improved equipment uptime. |
| Patel et al. (2022) [30] | Security analysis | Vulnerabilities to cyberattacks | Implementation of multi-layer security framework | Analysis identified vulnerabilities of IoT-enabled smart grid systems to cyberattacks, proposed multi-layer security framework. |
| Johnson et al. (2016) [31] | Integration challenges | Integration of renewable energy sources | Importance of IoT data for managing variability | Explored challenges of integrating renewable energy sources into smart grids, highlighted importance of IoT data for managing variability. |
| Kim et al. (2019) [32] | Grid optimization | Energy cost reduction | Implementation of IoT-based optimization algorithm | Developed IoT-based optimization algorithm for load scheduling, resulting in 15% reduction in energy costs and improved grid stability. |
| Message Type | Description | Parameters |
|---|---|---|
| Command Messages | Instructions sent from the control center to the substation to initiate actions or switch operations. | Open Breaker 1, Close Tap Changer 2 |
| Status and Acknowledgment Messages | Messages confirming the successful receipt and execution of commands. | Command Received, Operation Successful |
| Measurement Reports | Data from sensors and meters in the substation, providing real-time information on grid conditions. | Voltage: 123 kV, Current: 50 A |
| Alarm and Alert Messages | Notifications of abnormal conditions, such as equipment failures or abnormal voltage levels. | Overcurrent Detected, Transformer Fault |
| Event and Log Messages | Records of significant events, faults, or changes in the substation, useful for diagnostics. | Circuit Breaker Trip, Voltage Variation |
| Configuration Messages | Messages to configure or update settings of devices, meters, and communication protocols. | Update Meter Settings, Configure Relay |
| Synchronization Messages | Messages to synchronize time across devices within the substation for accurate event logging. | Sync Time with GPS, Time Stamp Request |
| Data Request Messages | Requests for specific data or reports from the substation to the control center for analysis. | Request Load Profile, Data Query |
| Control Action Messages | Messages indicating actions taken by devices in response to commands or automatic decisions. | Tap Changer Adjusted, Load Shedding Initiated |
| Health and Diagnostic Messages | Messages providing health status and diagnostics data of devices and equipment. | Transformer Health: Good, Relay Diagnostics |
| Security and Authentication Messages | Messages related to security protocols and authentication for secure communication. | Authentication Request, Encryption Key Exchange |
| Equipment | Location | Function | Connectivity | Status |
|---|---|---|---|---|
| Smart Meters | Residential areas | Energy measurement | IoT network | Operational |
| Substation | Neighborhood | Voltage regulation | Fiber optic | Online |
| Solar Panels | Rooftops | Power generation | Microgrid | Active |
| Battery Storage | Grid nodes | Energy storage | Wireless network | Ready |
| Grid Sensors | Power lines | Data collection | 5G network | Deployed |
Disclaimer/Publisher’s Note: The statements, opinions and data contained in all publications are solely those of the individual author(s) and contributor(s) and not of MDPI and/or the editor(s). MDPI and/or the editor(s) disclaim responsibility for any injury to people or property resulting from any ideas, methods, instructions or products referred to in the content. |
© 2024 by the authors. Licensee MDPI, Basel, Switzerland. This article is an open access article distributed under the terms and conditions of the Creative Commons Attribution (CC BY) license (https://creativecommons.org/licenses/by/4.0/).
Share and Cite
Al-Mashhadani, S.W.T.; Kurnaz, S. A Novel Function of a Research Process Based on a Power Internet of Things Architecture Intended for Smart Grid Demand Schemes. Appl. Sci. 2024, 14, 5799. https://doi.org/10.3390/app14135799
Al-Mashhadani SWT, Kurnaz S. A Novel Function of a Research Process Based on a Power Internet of Things Architecture Intended for Smart Grid Demand Schemes. Applied Sciences. 2024; 14(13):5799. https://doi.org/10.3390/app14135799
Chicago/Turabian StyleAl-Mashhadani, Sarmad Waleed Taha, and Sefer Kurnaz. 2024. "A Novel Function of a Research Process Based on a Power Internet of Things Architecture Intended for Smart Grid Demand Schemes" Applied Sciences 14, no. 13: 5799. https://doi.org/10.3390/app14135799
APA StyleAl-Mashhadani, S. W. T., & Kurnaz, S. (2024). A Novel Function of a Research Process Based on a Power Internet of Things Architecture Intended for Smart Grid Demand Schemes. Applied Sciences, 14(13), 5799. https://doi.org/10.3390/app14135799

