Outdoor Performance Comparison of Bifacial and Monofacial Photovoltaic Modules in Temperate Climate and Industrial-like Rooftops
Abstract
1. Introduction
2. Materials and Methods
2.1. Experimental Setup
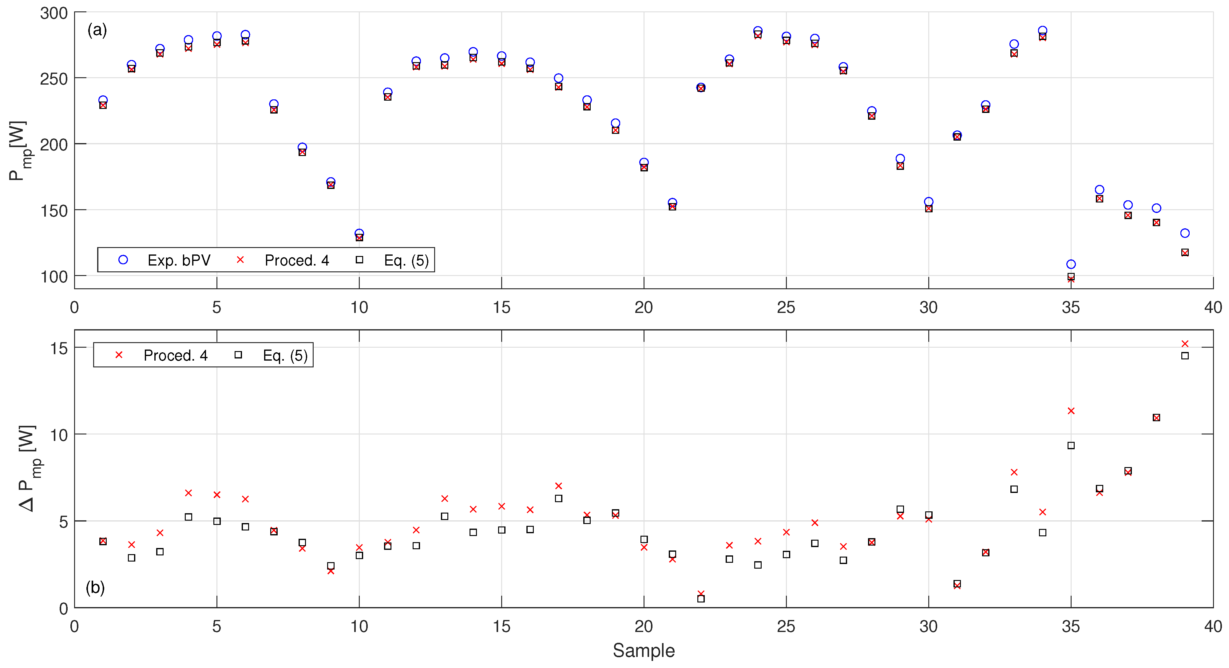
- Each set of five curves was translated to the mean irradiance of the event, assuming a constant temperature, as in Procedure 4 of Standard IEC 60891: 2021 [35], shown in Equations (1)–(4):where subscripts 1 and 2 denote the original and target conditions, respectively. The number of cells connected in series N, and the current temperature coefficient can be seen in Table 1. The internal series resistance and the constant , which is independent of temperature and irradiance, were fitted to obtain maximum power and voltage errors within ±0.5% at STC in all the curves. Their values are 0.45 and 1.2936 V, respectively.
- The curves were resampled at identical voltage values and then averaged to obtain a single smoother curve.
- Finally, for the averaged curve, the main characteristic values were obtained: , , , , and . The values of and were obtained by local fittings in the region close to short- and open-circuits. In the case of , linear regression was used for voltage under 10 V. For by second order polynomial fitting in the region of .
2.2. Outdoor Characterization of the Bifacial Main Face
2.3. Influence of Mounting Structure
3. Results and Discussion
3.1. Modules Comparison
3.2. Bifacial Comparison (Module bPV): Mono vs. Bifacial Performance
3.3. Influence on Mounting Structure
4. Conclusions
Author Contributions
Funding
Institutional Review Board Statement
Informed Consent Statement
Data Availability Statement
Acknowledgments
Conflicts of Interest
Abbreviations
| PV | Photovolatic |
| BPG | Bifacial Power Gain |
| bPV | Bifacial Photovoltaic |
| DHI | Diffuse Horizontal Irradiance |
| GHI | Global Horizontal Irradiance |
| GTI | Global Tilt Irradiance |
| OC | Open-circuit |
| SC | Short-circuit |
| MP | Maximum Power |
| MPP | Maximum Power Point |
| GCH | Ground Clearance Height |
| STC | Standard Test Conditions |
| NOCT | Nominal Operating Cell Temperature |
| AM | Air Mass |
| IEC | International Electrotechnical Commission |
| Bifaciality | |
| G | Irradiance |
| T | Temperature |
| Number of cells | |
| Series Resistance | |
| Current, Voltage | |
| Intermediate values for IEC 60891 4th method [35] | |
| Thermal coefficients of | |
| Thermal coefficients of | |
| Thermal coefficients of | |
| Difference |
References
- IEC 60904-1-2; Measurement of Current-Voltage Characteristics of Bifacial Photovoltaic (PV) Devices. International Electrotechnical Commission: Geneva, Switzerland, 2019.
- Stein, J.; Reise, C.; Castro, J.; Friesen, G.; Maugeri, G.; Urrejola, E.; Ranta, S. Bifacial Photovoltaic Modules and Systems: Experience and Results from International Research and Pilot Applications. Task 13 Performance, Operation and Reliability of Photovoltaic Systems; Report IEA-PVPS T13-14:2021; 2021. [Google Scholar] [CrossRef]
- Stein, J.S.; Riley, D.; Lave, M.; Hansen, C.; Deline, C.; Toor, F. Outdoor field performance from bifacial photovoltaic modules and systems. In Proceedings of the 2017 IEEE 44th Photovoltaic Specialist Conference (PVSC), Washington, DC, USA, 25–30 June 2017; pp. 3184–3189. [Google Scholar] [CrossRef]
- Riedel-Lyngskær, N.; Berrian, D.; Alvarez Mira, D.; Aguilar Protti, A.; Poulsen, P.B.; Libal, J.; Vedde, J. Validation of bifacial photovoltaic simulation software against monitoring data from large-scale single-axis trackers and fixed tilt systems in Denmark. Appl. Sci. 2020, 10, 8487. [Google Scholar] [CrossRef]
- Ogliari, E.; Dolara, A.; Mazzeo, D.; Manzolini, G.; Leva, S. Bifacial and Monofacial PV Systems Performance Assessment Based on IEC 61724-1 Standard. IEEE J. Photovoltaics 2023, 13, 756–763. [Google Scholar] [CrossRef]
- Sun, X.; Khan, M.R.; Deline, C.; Alam, M.A. Optimization and performance of bifacial solar modules: A global perspective. Appl. Energy 2018, 212, 1601–1610. [Google Scholar] [CrossRef]
- Riaz, M.H.; Imran, H.; Younas, R.; Butt, N.Z. The optimization of vertical bifacial photovoltaic farms for efficient agrivoltaic systems. Sol. Energy 2021, 230, 1004–1012. [Google Scholar] [CrossRef]
- Katsikogiannis, O.A.; Ziar, H.; Isabella, O. Integration of bifacial photovoltaics in agrivoltaic systems: A synergistic design approach. Appl. Energy 2022, 309, 118475. [Google Scholar] [CrossRef]
- Abojela, Z.R.K.; Desa, M.K.M.; Sabry, A.H. Current prospects of building-integrated solar PV systems and the application of bifacial PVs. Front. Energy Res. 2023, 11, 1164494. [Google Scholar] [CrossRef]
- Ozkalay, E.; Lopez-Garcia, J.; Pinero-Prieto, L.; Gracia-Amillo, A.; Kenny, R.P. Evaluation of the non-uniformity of rear-side irradiance in outdoor mounted bifacial silicon PV modules. AIP Conf. Proc. 2019, 2147, 020011. [Google Scholar] [CrossRef]
- Riedel-Lyngskær, N.; Ribaconka, M.; Pó, M.; Thorseth, A.; Thorsteinsson, S.; Dam-Hansen, C.; Jakobsen, M.L. The effect of spectral albedo in bifacial photovoltaic performance. Sol. Energy 2022, 231, 921–935. [Google Scholar] [CrossRef]
- Russell, T.C.; Saive, R.; Augusto, A.; Bowden, S.G.; Atwater, H.A. The influence of spectral albedo on bifacial solar cells: A theoretical and experimental study. IEEE J. Photovoltaics 2017, 7, 1611–1618. [Google Scholar] [CrossRef]
- Molin, E.; Stridh, B.; Molin, A.; Wäckelgård, E. Experimental yield study of bifacial PV modules in nordic conditions. IEEE J. Photovoltaics 2018, 8, 1457–1463. [Google Scholar] [CrossRef]
- Yusufoglu, U.A.; Pletzer, T.M.; Koduvelikulathu, L.J.; Comparotto, C.; Kopecek, R.; Kurz, H. Analysis of the annual performance of bifacial modules and optimization methods. IEEE J. Photovoltaics 2014, 5, 320–328. [Google Scholar] [CrossRef]
- Alam, M.; Gul, M.S.; Muneer, T. Self-shadow analysis of bifacial solar photovoltaic and its implication on view factor computation. In Proceedings of the 2021 IEEE Green Energy and Smart Systems Conference (IGESSC), Long Beach, CA, USA, 1–2 November 2021; pp. 1–5. [Google Scholar] [CrossRef]
- Krenzinger, A.; Lorenzo, E. Estimation of radiation incident on bifacial albedo-collecting panels. Int. J. Sol. Energy 1986, 4, 297–319. [Google Scholar] [CrossRef]
- Cooke, M. Optimizing Plant Performance with Smart Solar Trackers & Bifacial Technology. In Proceedings of the bifiPV2020 Bifacial Workshop: A Technology Overview, Virtual, 27–28 July 2020. [Google Scholar]
- Berrian, D.; Linder, J. Enhanced Bifacial Gain with Optimized Mountings in Photovoltaic Systems. Sol. RRL 2023, 7, 2300474. [Google Scholar] [CrossRef]
- Vasilakopoulou, K.; Ulpiani, G.; Khan, A.; Synnefa, A.; Santamouris, M. Cool roofs boost the energy production of photovoltaics: Investigating the impact of roof albedo on the energy performance of monofacial and bifacial photovoltaic modules. Sol. Energy 2023, 265, 111948. [Google Scholar] [CrossRef]
- Kim, H.; Gao, Y.; Moran, E.; Howle, A.; McSherry, S.; Cira, S.; Lenert, A. High albedo daytime radiative cooling for enhanced bifacial PV performance. Nanophotonics 2024, 13, 621–627. [Google Scholar] [CrossRef]
- Tsuchida, S.; Tsuno, Y.; Sato, D.; Oozeki, T.; Yamada, N. Albedo-Dependent Bifacial Gain Losses in Photovoltaic Modules with Rear-Side Support Structures. IEEE J. Photovoltaics 2023, 13, 938–944. [Google Scholar] [CrossRef]
- Zhang, Y.; Yu, Y.; Meng, F.; Liu, Z. Experimental investigation of the shading and mismatch effects on the performance of bifacial photovoltaic modules. IEEE J. Photovoltaics 2019, 10, 296–305. [Google Scholar] [CrossRef]
- Riedel-Lyngskær, N.; Petit, M.; Berrian, D.; Poulsen, P.B.; Libal, J.; Jakobsen, M.L. A spatial irradiance map measured on the rear side of a utility-scale horizontal single axis tracker with validation using open source tools. In Proceedings of the 2020 47th IEEE Photovoltaic Specialists Conference (PVSC), Calgary, AB, Canada, 15 June–21 August 2020; pp. 1026–1032. [Google Scholar] [CrossRef]
- Moreno-Buesa, S.M.; Muñoz-Cerón, E.; Nofuentes Garrido, G.; Gulkowski, S.; de la Casa Higueras, J.; Aguilera Tejero, J. Characterization of bifacial technology Pv systems. Proc. Inst. Mech. Eng. Part A J. Power Energy 2024. [Google Scholar] [CrossRef]
- Braga, D.S.; Kazmerski, L.L.; Cassini, D.A.; Camatta, V.; Diniz, A.S.A. Performance of bifacial PV modules under different operating conditions in the State of Minas Gerais, Brazil. Renew. Energy Environ. Sustain. 2023, 8, 23. [Google Scholar] [CrossRef]
- Riaz, M.H.; Imran, H.; Younas, R.; Alam, M.A.; Butt, N.Z. Module technology for agrivoltaics: Vertical bifacial versus tilted monofacial farms. IEEE J. Photovoltaics 2021, 11, 469–477. [Google Scholar] [CrossRef]
- Singh, J.P.; Aberle, A.G.; Walsh, T.M. Electrical characterization method for bifacial photovoltaic modules. Sol. Energy Mater. Sol. Cells 2014, 127, 136–142. [Google Scholar] [CrossRef]
- Bhang, B.G.; Lee, W.; Kim, G.G.; Choi, J.H.; Park, S.Y.; Ahn, H.K. Power performance of bifacial c-Si PV modules with different shading ratios. IEEE J. Photovoltaics 2019, 9.5, 1413–1420. [Google Scholar] [CrossRef]
- Phimu, K.; Singh, K.J.; Dhar, R.S. Novel SPICE Model for bifacial solar cell to increase the renewable power generation. In Proceedings of the 2021 Devices for Integrated Circuit (DevIC), Kalyani, India, 19–20 May 2021; pp. 129–133. [Google Scholar] [CrossRef]
- Gu, W.; Ma, T.; Li, M.; Shen, L.; Zhang, Y. A coupled optical-electrical-thermal model of the bifacial photovoltaic module. Appl. Energy 2020, 258, 114075. [Google Scholar] [CrossRef]
- Gul, M.; Kotak, Y.; Muneer, T.; Ivanova, S. Enhancement of albedo for solar energy gain with particular emphasis on overcast skies. Energies 2018, 11, 2881. [Google Scholar] [CrossRef]
- SunPower. SunPower Residential DC Panel Datasheet. SunPower E-Series: E20-327. 2018. [Google Scholar]
- Aleo. S59 HE: 300-310 W Datasheet. 2016. [Google Scholar]
- Enel Green Power—3 SUN. 3S DUAL 72N Datasheet. 2018.
- IEC 60891; Photovoltaic Devices—Procedures for Temperature and Irradiance Corrections to Measured I–V Characteristics. International Electrotechnical Commission: Geneva, Switzerland, 2021.
- IEC 61724-1:2021; Photovoltaic System Performance—Part 1: Monitoring. International Electrotechnical Commission: Geneva, Switzerland, 2021.
- Lorenzo, E. Handbook of Photovoltaic Science and Engineering; John Wiley: Hoboken, NJ, USA, 2011; chapter Energy collected and delivered by PV modules; pp. 984–1042. [Google Scholar] [CrossRef]
- Badran, G.; Dhimish, M. Potential induced degradation in photovoltaic modules: A review of the latest research and developments. Solar 2023, 3, 322–346. [Google Scholar] [CrossRef]
- Lamers, M.; Özkalay, E.; Gali, R.; Janssen, G.; Weeber, A.; Romijn, I.; Van Aken, B. Temperature effects of bifacial modules: Hotter or cooler? Sol. Energy Mater. Sol. Cells 2018, 185, 192–197. [Google Scholar] [CrossRef]
- Liu, T.; Xu, X.; Zhang, Z.; Xiao, J.; Yu, Y.; Jaubert, J.N. Bifacial PV module operating temperature: High or low? A cross-comparison of thermal modeling results with outdoor on-site measurements. In Proceedings of the 2021 IEEE 48th Photovoltaic Specialists Conference (PVSC), Fort Lauderdale, FL, USA, 20–25 June 2021; pp. 2070–2073. [Google Scholar] [CrossRef]
- Lopez-Garcia, J.; Casado, A.; Sample, T. Electrical performance of bifacial silicon PV modules under different indoor mounting configurations affecting the rear reflected irradiance. Sol. Energy 2019, 177, 471–482. [Google Scholar] [CrossRef]
- Lopez-Garcia, J.; Menendez, E.G.; Haile, B.; Shaw, D. Characterizing bifacial modules in variable operating conditions. In Proceedings of the 2018 IEEE 7th World Conference on Photovoltaic Energy Conversion (WCPEC) (A Joint Conference of 45th IEEE PVSC, 28th PVSEC & 34th EU PVSEC), Waikoloa, HI, USA, 10–15 June 2018; pp. 1210–1214. [Google Scholar] [CrossRef]
- Suarez, S.; Álvarez, J.; Villoslada, D.; Navas, G.; Vilela, J.; Fernandez, I.; Rodríguez-Conde, S. Thermal Issues on Half-Cell Bifacial Modules. A Way Through Albedo and Mismatch Voltage. In Proceedings of the 40th European Photovoltaic Solar Energy Conference and Exhibition, EU PVSEC 2023, Lisbon, Portugal, 18–22 September 2023; pp. 020221-001–020221-003. [Google Scholar] [CrossRef]










| Manufacturer | Sunpower | Aleo | 3SUN |
|---|---|---|---|
| Model | SPR E20 327 COM | S59 305 | 3S Dual 72N |
| Short Name | PV1 | PV2 | bPV |
| Mechanical | |||
| Length × width [mm] | 1558 × 1046 | 1660 × 990 | 1983 × 998 |
| Cell material | m-Si | m-Si | m-Si |
| Cell size [mm] | 125 × 125 | 156.75 × 156.75 | 156.75 × 156.75 |
| Number of cells () | 96 | 60 | 72 * |
| Electric | |||
| [W] | 327 (+5/−3 W) | 305 (±5 W) | 345 (+3%) |
| [V] | 54.7 | 31.4 | 39.3 |
| [A] | 5.98 | 9.72 | 8.78 |
| [V] | 64.9 | 39.6 | 47.9 |
| [A] | 6.46 | 10.06 | 9.18 |
| [mV/°C] | −176.6 | −114.84 | −143.7 |
| (%/°C) | (−0.272) | (−0.29) | (−0.30) |
| [mA/°C] | 2.6 | 5.03 | 4.4 |
| (%/°C) | (+0.04) | (+0.05) | (+0.048) |
| [%/°C] | −0.35 | −0.4 | −0.38 |
| NOCT [°C] | 45 ± 2 | 48 ± 2 | 44 ± 2 |
| Equipment | Manufacturer-Model | Other |
|---|---|---|
| I-V Tracer | TeamWare-Wally | Voltage, current precision: ±0.5% (2–120% full scale range) |
| Thermocouple modules | RTD PT100 A Class | Accuracy: 0.25 °C; Resolution: 0.1 °C |
| Data Logger | LSI-Elo3305 | Acquisition rate: 1 Hz |
| Thermocouple humidity sensor | LSI-DMA875 | Pt100 1/3 B (DIN EN 60751); Measurements range: [−30 °C, +70 °C]; Resolution: 0.04 °C; Uncertainty: 0.2 °C (at 0 °C) |
| Pyranometer (GHI and GTI) | LSI-DPA252 | ISO9060 Secondary standard; Spectral range: 285–3000 nm; Response time: 4.5 s; Directional response <±10 W/m2 |
| Pyranometer (DHI) | LSI-DPA154 | ISO9060 First Class; Spectral range: 285–3000 nm; Response time: 16 s; Directional response: <±20 W/m2 |
| Front Irradiance | ||||
|---|---|---|---|---|
| 300 W/m2 | 600 W/m2 | 900 W/m2 | ||
| [%] | PV1 | 27.5 | 53.4 | 79.3 |
| PV2 | 26.8 | 52.3 | 77.9 | |
| bPV | 31.8 | 58.8 | 85.7 | |
| bPV-PV1 | 4.3 | 5.4 | 6.4 | |
| bPV-PV2 | 5.0 | 6.4 | 7.8 | |
| PV1 | PV2 | bPV | PV1-bPV | PV2-bPV | |
|---|---|---|---|---|---|
| Max [°C] | 47.6 | 46.6 | 47.4 | 0.2 | −0.8 |
| Median [°C] | 39.7 | 36.7 | 36.5 | 3.2 | 0.2 |
| Mean [°C] | 36.9 | 34.8 | 34.9 | 2.0 | −0.1 |
| Normal lowest * [°C] | 27.0 | 25.2 | 25.1 | 1.9 | 0.1 |
| bPV2–bPV1 | bPV1 | BPG | ||||||
|---|---|---|---|---|---|---|---|---|
| Tilt [°] | [A] | [W] | [A] | [W] | Ideal [%] | bPV2 [%] | [%] | [W] |
| 0 | 0.249 | 2.85 | 7.25 | 256.9 | 3.43 | 1.11 | 2.32 | 8.5 |
| 15 | 0.112 | 1.16 | 8.49 | 293.5 | 1.32 | 0.40 | 0.92 | 2.7 |
| 30 | 0.196 | 4.13 | 9.20 | 312.1 | 2.13 | 1.32 | 0.81 | 2.5 |
| 45 | 0.121 | 1.85 | 9.06 | 307.5 | 1.34 | 0.60 | 0.74 | 2.3 |
Disclaimer/Publisher’s Note: The statements, opinions and data contained in all publications are solely those of the individual author(s) and contributor(s) and not of MDPI and/or the editor(s). MDPI and/or the editor(s) disclaim responsibility for any injury to people or property resulting from any ideas, methods, instructions or products referred to in the content. |
© 2024 by the authors. Licensee MDPI, Basel, Switzerland. This article is an open access article distributed under the terms and conditions of the Creative Commons Attribution (CC BY) license (https://creativecommons.org/licenses/by/4.0/).
Share and Cite
González-Moreno, A.; Mazzeo, D.; Dolara, A.; Ogliari, E.; Leva, S. Outdoor Performance Comparison of Bifacial and Monofacial Photovoltaic Modules in Temperate Climate and Industrial-like Rooftops. Appl. Sci. 2024, 14, 5714. https://doi.org/10.3390/app14135714
González-Moreno A, Mazzeo D, Dolara A, Ogliari E, Leva S. Outdoor Performance Comparison of Bifacial and Monofacial Photovoltaic Modules in Temperate Climate and Industrial-like Rooftops. Applied Sciences. 2024; 14(13):5714. https://doi.org/10.3390/app14135714
Chicago/Turabian StyleGonzález-Moreno, Alejandro, Domenico Mazzeo, Alberto Dolara, Emanuele Ogliari, and Sonia Leva. 2024. "Outdoor Performance Comparison of Bifacial and Monofacial Photovoltaic Modules in Temperate Climate and Industrial-like Rooftops" Applied Sciences 14, no. 13: 5714. https://doi.org/10.3390/app14135714
APA StyleGonzález-Moreno, A., Mazzeo, D., Dolara, A., Ogliari, E., & Leva, S. (2024). Outdoor Performance Comparison of Bifacial and Monofacial Photovoltaic Modules in Temperate Climate and Industrial-like Rooftops. Applied Sciences, 14(13), 5714. https://doi.org/10.3390/app14135714

