Inverse Kinematics of Large Hydraulic Manipulator Arm Based on ASWO Optimized BP Neural Network
Abstract
1. Introduction
- By improving the SWO algorithm, an ASWO algorithm is proposed. During the iteration process, the algorithm parameters are dynamically adjusted in real time according to the phase change of population fitness to enhance the adaptability of the algorithm.
- The ASWO algorithm is used to optimize the initial weights and biases of the neural network, which effectively solves the problem that the BP neural network is easy to fall into the local optimum.
- Establish the neural network mapping relationship between the actual position information at the end of the robotic arm and the corresponding joint value, so as to reduce the influence of the positive kinematic error on the inverse solution accuracy.
2. Forward Modeling and Error Analysis of the Robotic Arm
2.1. Forward Modeling of the Robotic Arm
2.2. Forward and Inverse Kinematic Error Analysis
- Two prisms are placed on the body of the rock drill truck, and the position of these prisms relative to the base coordinate system is measured.
- Input the positions of the two prisms into the total station to complete the establishment of the base coordinate system.
- A reflective sticker is placed on the actuator at the end of the robotic arm.
- Use the total station to record the position of the reflective sticker, thus completing the collection of the actual position of the end effector.
3. SWO Algorithm and Its Improvement
3.1. SWO Algorithm
3.2. ASWO Algorithm
| Algorithm 1 ASWO algorithm |
|
4. ASWO-BP Inverse Solution Study
5. Simulation and Experimental Validation
5.1. Simulation Verification
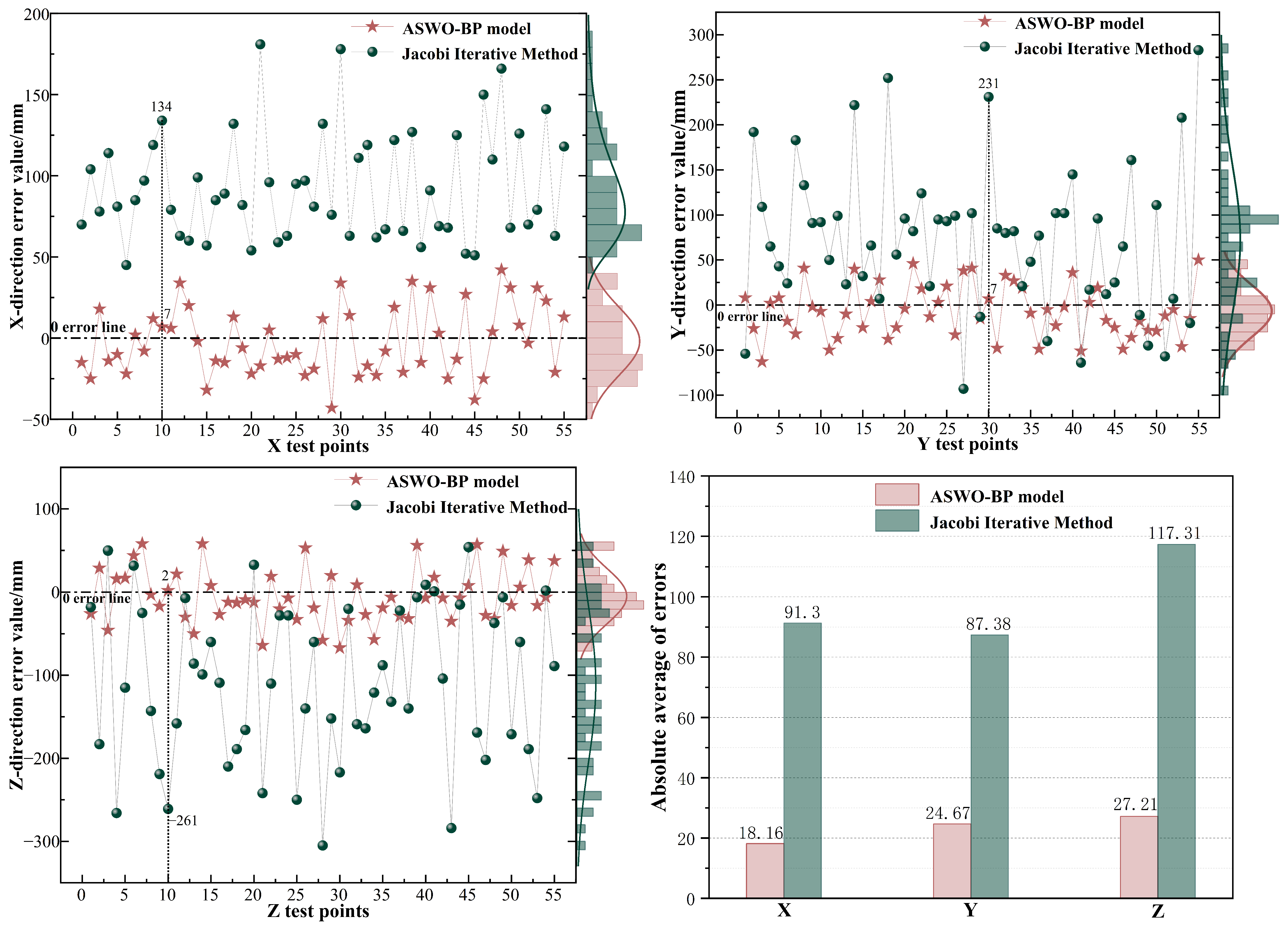
5.2. Experimental Validation of Robotic Arm Inverse Solution
6. Conclusions
Author Contributions
Funding
Institutional Review Board Statement
Informed Consent Statement
Data Availability Statement
Conflicts of Interest
References
- Liu, W.; Chen, D.; Steil, J.J. Analytical Inverse Kinematics Solver for Anthropomorphic 7-DOF Redundant Manipulators with Human-Like Configuration Constraints. J. Intell. Robot. Syst. 2017, 86, 63–79. [Google Scholar] [CrossRef]
- Featherstone, R. Position and Velocity Transformations Between Robot End-Effector Coordinates and Joint Angles. Int. J. Robot. Res. 1983, 2, 35–45. [Google Scholar] [CrossRef]
- Kumar, R.R.; Chand, P. Inverse kinematics solution for trajectory tracking using artificial neural networks for SCORBOT ER-4u. In Proceedings of the 2015 IEEE 6th International Conference on Automation, Robotics and Applications (ICARA), Queenstown, New Zealand, 17–19 February 2015; pp. 364–369. [Google Scholar]
- Manocha, D.; Canny, J.F. Efficient inverse kinematics for general 6R manipulators. IEEE Trans. Robot. Autom. 1994, 10, 648–657. [Google Scholar] [CrossRef]
- Manocha, D.; Zhu, Y. A fast algorithm and system for the inverse kinematics of general serial manipulators. In Proceedings of the 1994 IEEE International Conference on Robotics and Automation, San Diego, CA, USA, 8–13 May 1994; Volume 4, pp. 3348–3353. [Google Scholar]
- Reiter, A.; Müller, A.; Gattringer, H. On Higher Order Inverse Kinematics Methods in Time-Optimal Trajectory Planning for Kinematically Redundant Manipulators. IEEE Trans. Ind. Inform. 2018, 14, 1681–1690. [Google Scholar] [CrossRef]
- Xu, Z.; Li, S.; Zhou, X.; Cheng, T. Dynamic neural networks based adaptive admittance control for redundant manipulators with model uncertainties. Neurocomputing 2019, 357, 271–281. [Google Scholar] [CrossRef]
- Li, S.; Zhang, Y. Neural Networks for Robot Arm Cooperation with a Hierarchical Control Topology. In Proceedings of the SpringerBriefs in Applied Sciences and Technology; Springer: Singapore, 2018. [Google Scholar]
- Li, X.; Xu, Z.; Li, S.; Wu, H.; Zhou, X. Cooperative Kinematic Control for Multiple Redundant Manipulators Under Partially Known Information Using Recurrent Neural Network. IEEE Access 2020, 8, 40029–40038. [Google Scholar] [CrossRef]
- Cagigas-Muñiz, D. Artificial Neural Networks for inverse kinematics problem in articulated robots. Eng. Appl. Artif. Intell. 2023, 126, 107175. [Google Scholar] [CrossRef]
- Cheng, X.; Zhao, M. The Inverse Solution Algorithm and Trajectory Error Analysis of Robotic Arm Based on MQACA-RBF Network. J. Robot. 2020, 2020, 7807952. [Google Scholar] [CrossRef]
- Toquica, J.S.; Oliveira, P.S.; Souza, W.S.; Motta, J.M.S.; Borges, D.L. An analytical and a Deep Learning model for solving the inverse kinematic problem of an industrial parallel robot. Comput. Ind. Eng. 2021, 151, 106682. [Google Scholar] [CrossRef]
- Gholami, A.; Homayouni, T.; Ehsani, R.; Sun, J.Q. Inverse kinematic control of a delta robot using neural networks in real-time. Robotics 2021, 10, 115. [Google Scholar] [CrossRef]
- Yang, C.; Xu, H.; Li, X.; Yu, F. Kinematic modeling and solution of rigid-flexible and variable-diameter underwater continuous manipulator with load. Robotica 2021, 40, 1020–1035. [Google Scholar] [CrossRef]
- Wagaa, N.; Kallel, H.; Mellouli, N. Analytical and deep learning approaches for solving the inverse kinematic problem of a high degrees of freedom robotic arm. Eng. Appl. Artif. Intell. 2023, 123, 106301. [Google Scholar] [CrossRef]
- Gao, R. Inverse kinematics solution of Robotics based on neural network algorithms. J. Ambient Intell. Hum. Comput. 2020, 11, 6199–6209. [Google Scholar] [CrossRef]
- Aravinddhakshan, S.; Apte, S.; Akash, S. Neural network based inverse kinematic solution of a 5 DOF Manipulator for industrial application. J. Phys. Conf. Ser. 2021, 1969, 012010. [Google Scholar] [CrossRef]
- Aydogmus, O.; Boztas, G. Implementation of singularity-free inverse kinematics for humanoid robotic arm using Bayesian optimized deep neural network. Measurement 2024, 229, 114471. [Google Scholar] [CrossRef]
- Almusawi, A.R.; Dülger, L.C.; Kapucu, S. A new artificial neural network approach in solving inverse kinematics of robotic arm (denso vp6242). Comput. Intell. Neurosci. 2016, 2016, 5720163. [Google Scholar] [CrossRef] [PubMed]
- Dereli, S.; Köker, R. IW-PSO approach to the inverse kinematics problem solution of a 7-DOF serial robot manipulator. Sigma J. Eng. Nat. Sci. 2018, 36, 77–85. [Google Scholar]
- Ayyıldız, M.; Cetinkaya, K. Comparison of four different heuristic optimization algorithms for the inverse kinematics solution of a real 4-DOF serial robot manipulator. Neural Comput. Appl. 2016, 27, 825–836. [Google Scholar] [CrossRef]
- Khan, A.H.; Li, S.; Chen, D.; Liao, L. Tracking control of redundant mobile manipulator: An RNN based metaheuristic approach. Neurocomputing 2020, 400, 272–284. [Google Scholar] [CrossRef]
- Khan, A.H.; Cao, X.; Li, S.; Katsikis, V.N.; Liao, L. BAS-ADAM: An ADAM based approach to improve the performance of beetle antennae search optimizer. IEEE/CAA J. Autom. 2020, 7, 461–471. [Google Scholar] [CrossRef]
- Dereli, S.; Köker, R. A meta-heuristic proposal for inverse kinematics solution of 7-DOF serial robotic manipulator: Quantum behaved particle swarm algorithm. Artif. Intell. Rev. 2019, 53, 949–964. [Google Scholar] [CrossRef]
- Pham, D.T.; Castellani, M.; Thi, H.A.L. Nature-Inspired Intelligent Optimisation Using the Bees Algorithm. Trans. Comput. Collect. Intell. 2013, 13, 38–69. [Google Scholar]
- Shi, J.; Mao, Y.; Li, P.; Liu, G.; Liu, P.; Yang, X.; Wang, D. Hybrid Mutation Fruit Fly Optimization Algorithm for Solving the Inverse Kinematics of a Redundant Robot Manipulator. Math. Probl. Eng. 2020, 2020, 1–13. [Google Scholar] [CrossRef]
- Wu, H.; Zhang, X.; Song, L.; Zhang, Y.; Gu, L.; Zhao, X. Wild Geese Migration Optimization Algorithm: A New Meta-Heuristic Algorithm for Solving Inverse Kinematics of Robot. Comput. Intell. Neurosci. 2022, 2022, 1–38. [Google Scholar]
- Zong, Y.; Huang, J.; Bao, J.; Cen, Y.; Sun, D. Inverse kinematics solution of demolition manipulator based on global mapping. Proc. Inst. Mech. Eng. Part C J. Mech. Eng. Sci. 2024, 238, 1561–1572. [Google Scholar] [CrossRef]
- Bai, Y.; Luo, M.; Pang, F. An Algorithm for Solving Robot Inverse Kinematics Based on FOA Optimized BP Neural Network. Appl. Sci. 2021, 11, 7129. [Google Scholar] [CrossRef]
- Rokbani, N.; Casals, A.; Alimi, A.M. IK-FA, a New Heuristic Inverse Kinematics Solver Using Firefly Algorithm. In Proceedings of the Computational Intelligence Applications in Modeling and Control; Springer: Cham, Switzerland, 2015. [Google Scholar]
- Jiang, G.; Luo, M.; Bai, K.; Chen, S. A Precise Positioning Method for a Puncture Robot Based on a PSO-Optimized BP Neural Network Algorithm. Appl. Sci. 2017, 7, 969. [Google Scholar] [CrossRef]
- Abdel-Basset, M.; Mohamed, R.; Jameel, M.; Abouhawwash, M. Spider wasp optimizer: A novel meta-heuristic optimization algorithm. Artif. Intell. Rev. 2023, 56, 11675–11738. [Google Scholar] [CrossRef]












| i | Joint Range | ||||
|---|---|---|---|---|---|
| 1 | (0) | 0 | −90 | 200 | (−40,40) |
| 2 | (90) | 0 | 90 | −35 | (−50,40) |
| 3 | 90 | (4297) | 0 | 0 | (0,2200) |
| 4 | (90) | 0 | 90 | 0 | (−180,180) |
| 5 | (90) | 650 | 90 | 80 | (−130,130) |
| 6 | (90) | 679.5 | 90 | 241 | (−12,58) |
| 7 | 0 | (3058) | 0 | 0 | (0,1600) |
| Metrics | GA-BP | PSO-BP | SWO-BP | ASWO-BP |
|---|---|---|---|---|
| −0.941~0.86 | −0.634~0.754 | −0.536~0.417 | −0.305~0.368 | |
| −1.121~0.953 | −0.802~0.741 | −0.382~0.459 | −0.412~0.374 | |
| −113.6~102.7 | −90.3~92.5 | −85.2~79.6 | −44.3~56.5 | |
| MSE | 1.562 | 0.686 | 0.394 | 0.173 |
| −86~110 | −94~86 | −61~49 | −33~37 | |
| −139~113 | −89~100 | −47~65 | −42~40 | |
| −155~124 | −107~92 | −66~73 | −60~54 |
| Study | Method | DOF | Robotic Arm Size/m | Driving Method | Position Error/mm |
|---|---|---|---|---|---|
| Proposed | ASWO-BP | 7 | 7.84~11.5 | Hydraulic drive | 32.21 |
| Zong et al., 2023 [28] | SAGSA + BP | 4 | 3.89 | Hydraulic drive | 10 |
| Yang et al., 2021 [14] | Improved WHAM + DNN | - | 0.5 | Water-hydraulic drive | 5 |
| Jiang et al., 2017 [31] | PSO-BP | 6 | 0.88 | Electric drive | 0.176 |
| Cheng et al., 2020 [11] | MQACA-RBF | 6 | 0.25 | Electric drive | 0.09144 |
| Almusawi et al., 2016 [19] | ANN | 6 | 0.42 | Electric drive | 0.35 |
Disclaimer/Publisher’s Note: The statements, opinions and data contained in all publications are solely those of the individual author(s) and contributor(s) and not of MDPI and/or the editor(s). MDPI and/or the editor(s) disclaim responsibility for any injury to people or property resulting from any ideas, methods, instructions or products referred to in the content. |
© 2024 by the authors. Licensee MDPI, Basel, Switzerland. This article is an open access article distributed under the terms and conditions of the Creative Commons Attribution (CC BY) license (https://creativecommons.org/licenses/by/4.0/).
Share and Cite
Lin, Y.; Xu, Q.; Ju, W.; Zhang, T. Inverse Kinematics of Large Hydraulic Manipulator Arm Based on ASWO Optimized BP Neural Network. Appl. Sci. 2024, 14, 5551. https://doi.org/10.3390/app14135551
Lin Y, Xu Q, Ju W, Zhang T. Inverse Kinematics of Large Hydraulic Manipulator Arm Based on ASWO Optimized BP Neural Network. Applied Sciences. 2024; 14(13):5551. https://doi.org/10.3390/app14135551
Chicago/Turabian StyleLin, Yansong, Qiaoyu Xu, Wenhao Ju, and Tianle Zhang. 2024. "Inverse Kinematics of Large Hydraulic Manipulator Arm Based on ASWO Optimized BP Neural Network" Applied Sciences 14, no. 13: 5551. https://doi.org/10.3390/app14135551
APA StyleLin, Y., Xu, Q., Ju, W., & Zhang, T. (2024). Inverse Kinematics of Large Hydraulic Manipulator Arm Based on ASWO Optimized BP Neural Network. Applied Sciences, 14(13), 5551. https://doi.org/10.3390/app14135551

