Computational Thinking Measurement of CS University Students
Abstract
Featured Application
Abstract
1. Introduction
- −
- RQ1: Does UniCTCheck measure the main components of computational thinking and programming for CS university students?
- −
- RQ2: Is there a relationship between students’ computational thinking skills and programming abilities?
- −
- RQ3: Do students’ computational thinking skills and programming abilities vary by university level?
- −
- RQ4: Do students’ computational thinking skills and programming abilities vary by university location?
- −
- RQ5: Do students’ computational thinking skills and programming abilities vary by gender?
1.1. Computational Thinking
1.2. Components of Computational Thinking
| Wing, J. [1] | Dierbach, C. et al. [58] | Berland, M. and Lee, V.R. [59] |
|---|---|---|
| Algorithm building | Algorithm building | Algorithm building |
| Conditional logic Debugging Distributed processing Simulation | Problem decomposing Developing a computational model Evaluating a problem | Conditional logic Debugging Distributed computation Simulation |
| Lee, I. et al. [41] | Brennan, K and Resnick, M. [52] | Selby, C. and Woollard, J. [9] |
| Abstraction | Abstracting and modularising | Abstraction |
| Analysing the model Automation Defining a problem Understanding/solving problems | Creative thinking Debugging Decomposing Reusing and remixing Testing and debugging | Algorithm building Evaluating solutions Problem decomposing Generalisations Problem solving |
| Community | Framework | Components |
|---|---|---|
| ISTE | Standards for Students in CT (2016) [48] | Leverage the power of technological methods to develop and test solutions |
| Collect the data | ||
| Analyse the data | ||
| Represent the data | ||
| Decomposition | ||
| Abstraction | ||
| Algorithms | ||
| Testing | ||
| Parallelisation | ||
| Simulation | ||
| CAS | Concepts of CT (2015) [61] | Logical reasoning |
| Algorithmic thinking | ||
| Decomposition | ||
| Generalisation | ||
| Patterns | ||
| Abstraction | ||
| Representation | ||
| Evaluation | ||
| CSTA | Concepts of CT (2011) [47] | Formulating problems for a computational solution |
| Logically organising and analysing the data | ||
| Abstractions, including models and simulations | ||
| Algorithmic thinking | ||
| Evaluation for efficiency and correctness | ||
| Generalising and transferring to other domains |
2. Materials and Methods
2.1. Research Design
2.2. Sampling
2.3. Ethics Committee
2.4. Data Collection Tools
2.4.1. CTScore
2.4.2. CTProg
3. Results
3.1. Relations among Variables
- −
- There is a positive linear correlation between the duration of the test and the total score on the programming test (CTProg). This indicates that the more time spent by the students in answering the test resulted in a higher performance.
- −
- There is a positive linear correlation between the total score on the programming test (CTProg) and the total score on the CT test (CTScore). This demonstrated that students that do well on the programming test also do well on the CT test. Thus, it can be said that programming knowledge leads to CT skills acquisition.
- −
- There is a positive linear relationship between students’ knowledge of for loops (PLOFOR) with their knowledge of conditionals (PCON) and repeat loops (PLOREPEAT). Thus, it can be said that students learning any type of loop leads to their learning of conditionals, and vice versa.
- −
- There is a positive linear relationship between the knowledge of the array data structure (PARR) with students’ knowledge of conditionals (PCON) and all types of loops, repeat loops (PLOREPEAT), and for loops (PLOFOR). Therefore, it can deduced that students that are familiar with more advanced programming concepts such as arrays have to have previously mastered conditionals and loops.
- −
- There is a positive linear relationship between students’ knowledge of the matrix data structure (PMAT) with their knowledge of for loops (PLOFOR) and arrays (PARR). Therefore, the comprehension of two-dimensional arrays (matrices) requires the knowledge and understanding of one-dimensional arrays and for loop structures to work effectively with them.
- −
- There is a positive linear relationship between the CT skill of problem solving (Problemsolving) with the CT skill of algorithmic thinking (AlgorithmicThinking). This shows that students with a good problem-solving ability do well on the algorithmic thinking test, and vice versa.
- −
- There is a positive linear relationship between the CT skill of abstraction (Abstraction) with the CT skills of algorithmic thinking (AlgorithmicThinking), decomposition (Decomposition), and creative thinking (CreativeThinking). As a consequence, students with a higher capacity for abstraction perform as well or better with other CT skills such as algorithmic thinking, decomposition, and creative thinking.
- −
- There is a positive linear relationship between the CT skill of algorithmic thinking (AlgorithmicThinking) with the CT skills of decomposition (Decomposition) and pattern recognition (PatternRecognition). As shown, students overperforming in algorithmic thinking also do well in CT skills like decomposition and pattern recognition.
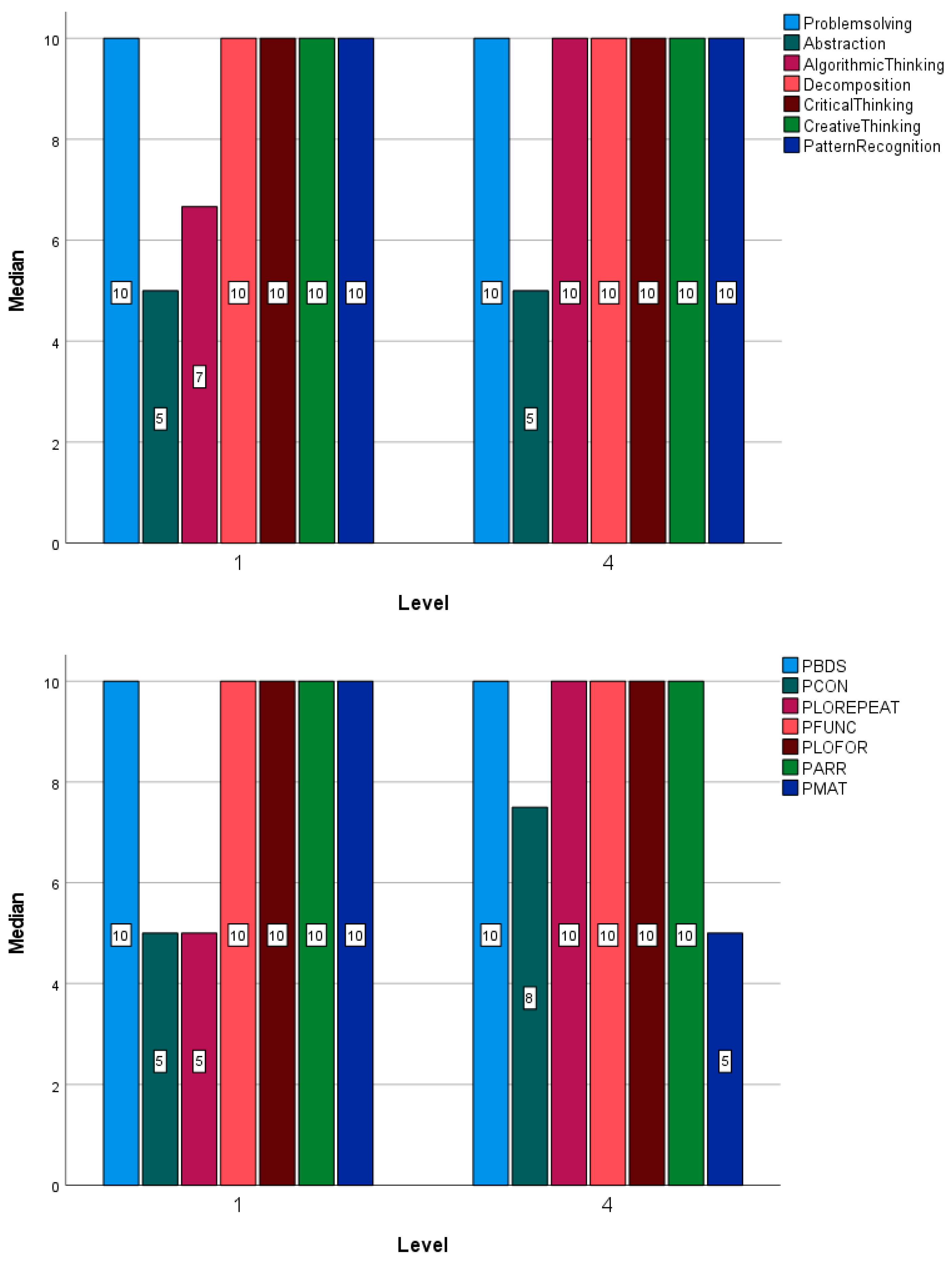
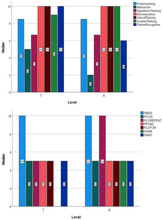
3.2. Comparison between Courses
3.2.1. General Results
3.2.2. Rey Juan Carlos University (URJC)
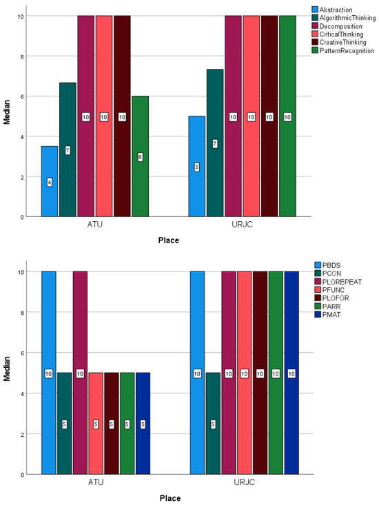
3.2.3. Atlantic Technological University (ATU)
3.3. Comparison between Universities
3.4. Comparison between Genders
4. Discussion
4.1. RQ1: Does UniCTCheck Measure the Main Components of Computational Thinking and Programming for CS University Students?
4.2. RQ2: Is There a Relationship between Students’ Computational Thinking Skills and Programming Abilities?
4.3. RQ3: Do Students’ Computational Thinking Skills and Programming Abilities Vary by University Level?
4.4. RQ4: Do Students’ Computational Thinking Skills and Programming Abilities Vary by University Location?
4.5. RQ5: Do Students’ Computational Thinking Skills and Programming Abilities Vary by Gender?
5. Limitations and Future Research
6. Conclusions
Author Contributions
Funding
Institutional Review Board Statement
Informed Consent Statement
Data Availability Statement
Conflicts of Interest
References
- Wing, J.M. Computational thinking. Commun. ACM 2006, 49, 33–35. [Google Scholar] [CrossRef]
- Wing, J.M. Computational thinking and thinking about computing. Philos. Trans. R. Soc. A Math. Phys. Eng. 2008, 366, 3717–3725. [Google Scholar] [CrossRef] [PubMed]
- Cuny, J.; Snyder, L.; Wing, J.M. Demystifying computational thinking for non-computer scientists. Educ. Res. Rev. 2010, 22, 142–158. [Google Scholar]
- Mohaghegh, M.; McCauley, M. Computational Thinking: The Skill Set of the 21st Century. Int. J. Comput. Sci. Inf. 2016, 7, 1524–1530. [Google Scholar]
- Fisher, J.; Henzinger, T.A. Executable cell biology. Nat. Biotechnol. 2007, 25, 1239–1249. [Google Scholar] [CrossRef] [PubMed]
- Qin, H. Teaching computational thinking through bioinformatics to biology students. In Proceedings of the 40th ACM Technical Symposium on Computer Science Education, New York, NY, USA, 4–7 March 2009. [Google Scholar]
- García-Peñalvo, F.J.; Mendes, A.J. Exploring the computational thinking effects in pre-university education. Comput. Hum. Behav. 2018, 80, 407–411. [Google Scholar] [CrossRef]
- Higgins, C.; O’Leary, C.H.; OMtenzi, F. A conceptual framework for a software development process based on computational thinking. In Proceedings of the 11th International Technology, Education and Development Conference (INTED17), Valencia, Spain, 6–8 March 2017; pp. 455–464. [Google Scholar] [CrossRef]
- Selby, C.; Woollard, J. Computational Thinking: The Developing Definition; University of Southampton Institutional Research Repository: Swindon, UK, 2013; 6p, Available online: http://eprints.soton.ac.uk/id/eprint/356481 (accessed on 10 June 2024).
- de Araujo, A.L.S.O.; Andrade, W.L.; Guerrero, D.D.S. A systematic mapping study on assessing computational thinking abilities. In Proceedings of the 2016 IEEE Frontiers in Education Conference (FIE), Erie, PA, USA, 12–15 October 2016; IEEE: Piscataway, NJ, USA, 2016; pp. 1–9. [Google Scholar]
- Kong, S.-C. Components and methods of evaluating computational thinking for fostering creative problem-solvers in senior primary school education. In Computational Thinking Education; Springer: Berlin/Heidelberg, Germany, 2019; pp. 119–141. [Google Scholar] [CrossRef]
- Román-González, M.; Moreno-León, J.; Robles, G. Combining assessment tools for a comprehensive evaluation of computational thinking interventions. In Computational Thinking Education; Springer: Berlin/Heidelberg, Germany, 2019; pp. 79–98. [Google Scholar]
- Denning, P.J. Remaining trouble spots with computational thinking. Commun. ACM 2017, 60, 33–39. [Google Scholar] [CrossRef]
- Haseski, H.I.; Ilic, U. An Investigation of the Data Collection Instruments Developed to Measure Computational Thinking. Inform. Educ. 2019, 18, 297. [Google Scholar] [CrossRef]
- Tang, X.; Yin, Y.; Lin, Q.; Hadad, R.; Zhai, X. Assessing computational thinking: A systematic review of empirical studies. Comput. Educ. 2020, 148, 103798. [Google Scholar] [CrossRef]
- Varghese, V.V.; Renumol, V.G. Assessment methods and interventions to develop computational thinking—A literature review. In Proceedings of the 2021 International Conference on Innovative Trends in Information Technology (ICITIIT), Kottayam, India, 11–12 February 2021; IEEE: Piscataway, NJ, USA, 2021; pp. 1–7. [Google Scholar]
- Poulakis, E.; Politis, P. Computational Thinking Assessment: Literature Review. In Research on E-Learning and ICT in Education: Technological; Pedagogical and Instructional Perspectives; Springer: Berlin/Heidelberg, Germany, 2021; pp. 111–128. [Google Scholar]
- Alan, Ü. Likert Tipi Olçeklerin Çocuklarla Kullaniminda Yanit Kategori Sayisinin Psikometrik Ozelliklere Etkisi. Master’s Thesis, Hacettepe University, Ankara, Turkey. (In Turkish).
- Arıkan, R. Anket yöntemi üzerinde bir degerlendirme. Haliç Üniversitesi Sos. Bilim. Derg. 2018, 1, 97–159. (In Turkish) [Google Scholar]
- Guenaga, M.; Eguíluz, A.; Garaizar, P.; Gibaja, J. How do students develop computational thinking? Assessing early programmers in a maze-based online game. Comput. Sci. Educ. 2021, 31, 259–289. [Google Scholar] [CrossRef]
- Kong, S.-C.; Liu, B. A performance-based assessment platform for developing computational thinking concepts and practices: EasyCode. Bull. Tech. Comm. Learn. Technol. 2020, 20, 3–10, ISSN 2306-0212. Available online: https://ieeecs-media.computer.org/tc-media/sites/5/2020/06/07190536/bulletin-tclt-2020-0201001.pdf (accessed on 10 June 2024).
- Bikmaz-Bilgen, Ö. Tamamlayici Ölçme ve Degerlendirme Teknikleri II: Portfolyo Degerlendirme. In Egitimde Ölçme ve Degerlendirme; Dogan, N., Ed.; Pegem Akademi: Ankara, Turkey, 2019; pp. 182–214. (In Turkish) [Google Scholar]
- Gültekin, S. Performans Dayanali Degerlendirme. In Egitimde Ölme ve de Gerlendirme; Demirtasli, R.N., Ed.; Ani Pub: Ankara, Turkey, 2017; pp. 233–256. (In Turkish) [Google Scholar]
- Sahin, M.G. Performansa Dayali Degerlendirme. In Egitimde Ölme ve de Gerlendirme; Çetin, B., Ed.; Ani Pub: Ankara, Turkey, 2019. (In Turkish) [Google Scholar]
- Grover, S.; Pea, R. Computational thinking in K–12: A review of the state of the field. Educ. Res. 2013, 42, 38–43. [Google Scholar] [CrossRef]
- Mannila, L.; Dagiene, V.; Demo, B.; Grgurina, N.; Mirolo, C.; Rolandsson, L.; Settle, A. Computational thinking in K-9 education. In Proceedings of the Working Group Reports of the 2014 on Innovation & Technology in Computer Science Education Conference, Uppsala, Sweden, 23–25 June 2014. [Google Scholar] [CrossRef]
- Martins-Pacheco, L.H.; von Wangenheim, C.A.G.; Alves, N. Assessment of computational thinking in K-12 context: Educational practices, limits and possibilities-a systematic mapping study. In Proceedings of the 11th International Conference on Computer Supported Education (CSEDU 2019), Crete, Greece, 2–4 May 2019; pp. 292–303. [Google Scholar]
- Çoban, E.; Korkmaz, Ö. An alternative approach for measuring computational thinking: Performance-based platform. Think. Ski. Creat. 2021, 42, 100929. [Google Scholar] [CrossRef]
- Tedre, M.; Denning, P.J. The long quest for computational thinking. In Proceedings of the 16th Koli Calling International Conference on Computing Education Research, Koli, Finland, 24–27 November 2016; pp. 120–129. [Google Scholar] [CrossRef]
- Katz, D.L. Conference report on the use of computers in engineering classroom instruction. Commun. ACM 1960, 3, 522–527. [Google Scholar] [CrossRef]
- Newell, A.; Perlis, A.J.; Simon, H.A. Computer science. Science 1967, 157, 1373–1374. [Google Scholar] [CrossRef] [PubMed]
- Papert, S. Mindstorms: Children, Computers, and Powerful Ideas; Basic Books, Inc.: New York, NY, USA, 1980. [Google Scholar]
- Papert, S. An exploration in the space of mathematics educations. Int. J. Comput. Math. Learn. 1996, 1, 95–123. [Google Scholar] [CrossRef]
- Papert, S.; Harel, I. Situating constructionism. Constructionism 1991, 36, 1–11. [Google Scholar]
- Turkle, S.; Papert, S. Epistemological pluralism: Styles and voices within the computer culture. Signs J. Women Cult. Soc. 1990, 16, 128–157. [Google Scholar] [CrossRef]
- Denning, P.J. The profession of IT beyond computational thinking. Commun. ACM 2009, 52, 28–30. [Google Scholar] [CrossRef]
- Denning, P.J. Ubiquity symposium ’what is computation?’: Opening statement. Ubiquity 2010, 2010, 1. [Google Scholar] [CrossRef]
- Easton, T.A. Beyond the algorithmization of the sciences. Commun. ACM 2006, 49, 31–33. [Google Scholar] [CrossRef]
- Dijkstra, E.W. Programming as a discipline of mathematical nature. Am. Math. Mon. 1974, 81, 608–612. [Google Scholar] [CrossRef]
- Guzdial, M. Learner-centered design of computing education: Research on computing for everyone. In Synthesis Lectures on Human-Centered Informatics (SLHCI); Springer: Berlin/Heidelberg, Germany, 2015; Volume 8, pp. 1–165. [Google Scholar] [CrossRef]
- Lee, I.; Martin, F.; Denner, J.; Coulter, B.; Allan, W.; Erickson, J.; Malyn-Smith, J.; Werner, L. Computational thinking for youth in practice. ACM Inroads 2011, 2, 32–37. [Google Scholar] [CrossRef]
- Shute, V.J.; Sun, C.; Asbell-Clarke, J. Demystifying computational thinking. Educ. Res. Rev. 2017, 22, 142–158. [Google Scholar] [CrossRef]
- Lu, J.J.; Fletcher, G.H.L. Thinking about computational thinking. In Proceedings of the 40th ACM Technical Symposium on Computer Science Education—SIGCSE’09, Chattanooga, TN, USA, 4–7 March 2009. [Google Scholar] [CrossRef]
- Aho, A.V. Computation and computational thinking. Comput. J. 2012, 55, 832–835. [Google Scholar] [CrossRef]
- Kong, S.-C.; Abelson, H.; Lai, M. Introduction to computational thinking education. In Computational Thinking Education; Springer: Berlin/Heidelberg, Germany, 2019; pp. 1–10. [Google Scholar] [CrossRef]
- Andrew, C.; Paul, C.; Mark, D.; Simon, H.; Thomas, N.; Cynthia, S.; John, W. Computational Thinking—A Guide for Teachers; Computing at School; University of Southampton Institutional Research Repository: Swindon, UK, 2015; Available online: https://eprints.soton.ac.uk/424545/ (accessed on 11 May 2020).
- CSTA. Operational Definition of Computational Thinking for K–12 Education; National Science Foundation: Alexandria, VA, USA, 2011. [Google Scholar]
- ISTE Standards for Students. Available online: http://www.iste.org/standards/standards/for-students-2016 (accessed on 14 April 2020).
- Riley, D.D.; Hunt, K.A. Computational Thinking for the Modern Problem Solver; CRC Press: Boca Raton, FL, USA, 2014; ISBN 978-1-4665-8777-9. [Google Scholar]
- NRC. Committee for the workshops on computational thinking. In Report of a Workshop on the Scope and Nature of Computational Thinking; National Academies Sciences, Engineering, Medicine: Washington, DC, USA, 2010. [Google Scholar]
- Barr, V.; Stephenson, C. Bringing computational thinking to K-12: What is involved and what is the role of the computer science education community? ACM Inroads 2011, 2, 48–54. [Google Scholar] [CrossRef]
- Brennan, K.; Resnick, M. New frameworks for studying and assessing the development of computational thinking. In Proceedings of the 2012 Annual Meeting of the American Educational Research Association, Vancouver, BC, Canada, 13–17 April 2012; p. 25. Available online: http://scratched.gse.harvard.edu/ct/files/AERA2012.pdf (accessed on 10 June 2024).
- Gouws, L.A.; Bradshaw, K.; Wentworth, P. Computational thinking in educational activities: An evaluation of the educational game light-bot. In Proceedings of the 18th ACM Conference on Innovation and Technology in Computer Science Education, Canterbury, UK, 1–3 July 2013; pp. 10–15. [Google Scholar] [CrossRef]
- Bers, M.U.; Flannery, L.; Kazakoff, E.R.; Sullivan, A. Computational thinking and tinkering: Exploration of an early childhood robotics curriculum. Comput. Educ. 2014, 72, 145–157. [Google Scholar] [CrossRef]
- Zapata-Ros, M. Pensamiento Computacional: Una Nueva Alfabetización Digital. Distance Educ. J. 2015, 46. Available online: https://revistas.um.es/red/article/view/240321 (accessed on 10 June 2024). [CrossRef]
- Anderson, N.D. A call for computational thinking in undergraduate psychology. Psychol. Learn. Teach. 2016, 15, 226–234. [Google Scholar] [CrossRef]
- Google for Education: Computational Thinking. Available online: https://edu.google.com/resources/programs/exploring-computational-thinking/ (accessed on 21 February 2020).
- Dierbach, C.; Hochheiser, H.; Collins, S.; Jerome, G.; Ariza, C.; Kelleher, T.; Kleinsasser, W.; Dehlinger, J.; Kaza, S. A model for piloting pathways for computational thinking in a general education curriculum. In Proceedings of the 42nd ACM Technical Symposium on Computer Science Education, Dallas, TX, USA, 9–12 March 2011; pp. 257–262. [Google Scholar] [CrossRef]
- Berland, M.; Lee, V.R. Collaborative strategic board games as a site for distributed computational thinking. Int. J. Game-Based Learn. 2011, 1, 65–81. [Google Scholar] [CrossRef]
- Akkaya, A. The Effects of Serious Games on Students’ Conceptual Knowledge of Object-Oriented Programming and Computational Thinking Skills. Master’s Thesis, Bogaziçi University, Beşiktaş, Turkey, 2018. [Google Scholar]
- CAS. Available online: https://community.computingatschool.org.uk/resources/2324 (accessed on 10 June 2024).













| Duration | CTProg | CTScore | |||||
|---|---|---|---|---|---|---|---|
| Duration | 1 | 0.179 * | |||||
| CTProg | 0.179 * | 1 | 0.398 ** | ||||
| CTScore | 0.082 | 0.398 ** | 1 | ||||
| PBDS | PCON | PLOREPEAT | PFUNC | PLOFOR | PARR | PMAT | |
| PBDS | -- | ||||||
| PCON | −0.014 | -- | |||||
| PLOREPEAT | −0.057 | 0.188 | -- ** | ||||
| PFUNC | 0.129 | 0.126 | −0.123 | -- | |||
| PLOFOR | 0.156 | 0.236 * | 0.088 ** | 0.115 | -- | ||
| PARR | 0.193 | 0.219 ** | 0.094 ** | 0.200 | 0.366 ** | -- ** | |
| PMAT | 0.102 | 0.072 | −0.013 | 0.155 | 0.139 * | 0.113 * | |
| Problem Solving | Abstraction | Algorithmic Thinking | Decomposition | Critical Thinking | Pattern Recognition | ||
| Problemsolving | -- | ||||||
| Abstraction | 0.099 | -- | |||||
| AlgorithmicThinking | 0.156 * | 0.266 ** | -- | ||||
| Decomposition | 0.086 | 0.181 ** | 0.239 ** | ||||
| CriticalThinking | 0.037 | 0.067 | 0.100 | 0.046 | |||
| CreativeThinking | 0.110 | 0.152 * | 0.059 | 0.098 | 0.116 | ||
| PatternRecognition | 0.112 | 0.076 | 0.132 * | 0.093 | 0.075 | ||
| CTProg | CTScore | |||
|---|---|---|---|---|
| 1st | 4th | 1st | 4th | |
| n | 78 | 99 | 78 | 99 |
| Mean | 7.03 | 7.09 | 7.81 | 7.85 |
| Median | 7.14 | 7.14 | 8.00 | 8.00 |
| SD | 1.54 | 1.74 | 1.27 | 1.54 |
| CTProg | CTScore | |
|---|---|---|
| U | 3960 | 4091 |
| p-value | 0.768 | 0.680 |
| CTProg | CTScore | |||
|---|---|---|---|---|
| ATU | URJC | ATU | URJC | |
| n | 34 | 143 | 34 | 143 |
| Mean | 5.69 | 7.39 | 6.74 | 8.09 |
| Median | 5.71 | 7.85 | 7.5 | 8.08 |
| SD | 1.93 | 1.51 | 1.98 | 1.12 |
| CTProg | CTScore | |
|---|---|---|
| U | 3642 | 3438 |
| p-value | <0.001 | <0.001 |
| CTScore | CTProg | |||||
|---|---|---|---|---|---|---|
| Other | Female | Male | Other | Female | Male | |
| n | 2 | 35 | 140 | 2 | 35 | 140 |
| Mean | 6.07 | 6.83 | 7.14 | 7.70 | 7.69 | 7.87 |
| Median | 6.07 | 7.14 | 7.14 | 7.70 | 7.83 | 8.04 |
| SD | 0.50 | 1.45 | 1.80 | 0.19 | 1.29 | 1.49 |
| CTProg | CTScore | |
|---|---|---|
| W | 3642 | 1.984 |
| p-value | 0.173 | 0.371 |
Disclaimer/Publisher’s Note: The statements, opinions and data contained in all publications are solely those of the individual author(s) and contributor(s) and not of MDPI and/or the editor(s). MDPI and/or the editor(s) disclaim responsibility for any injury to people or property resulting from any ideas, methods, instructions or products referred to in the content. |
© 2024 by the authors. Licensee MDPI, Basel, Switzerland. This article is an open access article distributed under the terms and conditions of the Creative Commons Attribution (CC BY) license (https://creativecommons.org/licenses/by/4.0/).
Share and Cite
Hijón-Neira, R.; Pizarro, C.; French, J.; Palacios-Alonso, D.; Çoban, E. Computational Thinking Measurement of CS University Students. Appl. Sci. 2024, 14, 5261. https://doi.org/10.3390/app14125261
Hijón-Neira R, Pizarro C, French J, Palacios-Alonso D, Çoban E. Computational Thinking Measurement of CS University Students. Applied Sciences. 2024; 14(12):5261. https://doi.org/10.3390/app14125261
Chicago/Turabian StyleHijón-Neira, Raquel, Celeste Pizarro, John French, Daniel Palacios-Alonso, and Emre Çoban. 2024. "Computational Thinking Measurement of CS University Students" Applied Sciences 14, no. 12: 5261. https://doi.org/10.3390/app14125261
APA StyleHijón-Neira, R., Pizarro, C., French, J., Palacios-Alonso, D., & Çoban, E. (2024). Computational Thinking Measurement of CS University Students. Applied Sciences, 14(12), 5261. https://doi.org/10.3390/app14125261

