Next Article in Journal
Improved Ant Colony Algorithm for the Split Delivery Vehicle Routing Problem
Previous Article in Journal
Aerial Image Segmentation of Nematode-Affected Pine Trees with U-Net Convolutional Neural Network
 
 
Font Type:
Arial Georgia Verdana
Font Size:
Aa Aa Aa
Line Spacing:
Column Width:
Background:
Article

Operational Risk Assessment of Engineering Vehicles Considering Driver Characteristics

by
Shouming Qi
1,2,
Jun Teng
1,
Xi Zhang
2,3 and
Ao Zheng
2,*
1
School of Civil and Environmental Engineering, Harbin Institute of Technology, Shenzhen 518055, China
2
Shenzhen Technology Institute of Urban Public Safety, Shenzhen 518023, China
3
School of Architecture, Harbin Institute of Technology, Shenzhen 518055, China
*
Author to whom correspondence should be addressed.
Appl. Sci. 2024, 14(12), 5086; https://doi.org/10.3390/app14125086
Submission received: 24 April 2024 / Revised: 5 June 2024 / Accepted: 10 June 2024 / Published: 11 June 2024

Abstract

As vehicles with high accident and casualty rates within the road transportation system, engineering vehicles have been receiving much attention and emphasis in terms of safety. Accurate analyses and evaluations of risk factors in vehicle operation are imperative for enhancing the management level of engineering vehicles. This study explores the differences between various types of drivers by analyzing the driving characteristics of professional drivers. The evaluation index system is developed and quantified by integrating factors related to engineering vehicle drivers, road environment, and industry management. Additionally, the risk assessment model is developed using the error backpropagation algorithm. The optimal model is determined by comparing the number of nodes in different hidden layers, the activation function, and regularization optimization. The prediction accuracy of this model’s coefficient of determination is 0.912, indicating that the model has validity. This study is conducive to improving the safety level of engineering vehicle operation in order to reduce the rate of vehicle traffic accidents, the severity of accidents, and the consequences of losses. It also has practical application value in safeguarding social security.

1. Introduction

Engineering vehicles have larger driving blind spots than ordinary private cars because of their construction and design features. Consequently, identifying and mitigating risks associated with engineering vehicles is inherently more challenging than with ordinary private cars. Engineering vehicles are distinguished by their extended transportation durations, high capacity, and drivers’ intensive work schedules. Given the operational interests, these vehicles tend to acquire numerous violations in driving workloads, speeding, and overloading, which greatly affect driving safety. The Transportation Research Board of the U.S. Academy of Sciences has undertaken numerous international research endeavors to examine the causes of accidents involving engineering vehicles and their environmental impact, significantly contributing to transportation safety in the United States [1].
Driver behavioral characteristics are crucial for the safety of engineering vehicles. Driving behavior serves as a reliable indicator for evaluating driver alertness amidst various factors, such as extended driving periods and sleep deprivation [2]. The current research indicates that drivers’ driving behavior can be evaluated in two ways: one is through drivers’ self-assessment, and the other is by collecting drivers’ driving data through on-road driving tests or driving simulators. The influence of drivers’ subjective factors on risky driving behaviors and driving accidents has become a popular topic in recent years. These factors encompass demographic variables (e.g., gender, age, marital status, education, and mileage) [3,4], drivers’ safety attitudes (measured via the Driving Safety Attitude Scale), and personality traits [5] (e.g., altruism and anger; assessed using the Big Five Personality Inventory and Eckerson Personality Inventory). The most commonly used driving behavior questionnaire is the Manchester Driving Behavior Questionnaire developed by Reason [6]. This questionnaire is used to measure three types of abnormal driving behaviors: errors, negligence and mistakes, and illegal driving. Drivers of large engineering vehicles often engage in dangerous driving behaviors, such as speeding, fatigue driving, illegal overtaking, and lane jumping, to save time and increase efficiency. The incidence of traffic accidents, ranging from 80% to 90%, can be attributed to factors such as the generally low educational attainment among operators of large vehicles, inadequate safety awareness, and supervisors’ limited risk awareness [7].
Research on the travel risks associated with engineering vehicles, partly informed by truck traffic accident data, investigated the factors influencing traffic accidents and proposed targeted prevention and improvement measures [8,9]. In terms of driving safety risk assessment, scholars have successively proposed various risk assessment models from a single-factor perspective by using multifactor comprehensive evaluation methods that combine quantitative, qualitative, or quantitative–qualitative research. Lars Leden et al. [10] proposed a risk index model to estimate the risk in a multiplicative way. As a result, analyzing the impacts of different factors becomes possible. Elke Hermans et al. [11] assessed road traffic risks based on an expert empirical method by comparing the relevant risk indicators in each country and combining the road safety risk indicators in the evaluation of the composite risk index to assess the road safety risk level. This approach enables the monitoring of changes in risks. Norros Ilkka et al. [12] introduced a distribution model to assess road traffic risk based on road conditions, weather conditions, and traffic conditions. Rusli R et al. [13] verified the applicability and reliability of the model based on accident history data by analyzing traffic accidents on rural mountainous roads in Malaysia. Hou et al. [14] explored the extent to which the speed limit values of minibuses and trucks affect traffic accidents. They found that the speed limit values of trucks and the difference between the speed limits of the two types of vehicles play a decisive role in the frequency of accidents. Cheng [15] explored the traffic safety effect of heavy truck traffic flow. The results show that the increase in heavy truck traffic flow leads to a remarkable increase in the frequency of accidents. Wood J. et al. [16] used the empirical Bayesian method to evaluate the level of traffic safety on the curved sections of two-lane rural highways in Pennsylvania, U.S.A. The crash severity was categorized into fatal and injury levels, and the period of the collision was categorized into daytime and nighttime. Six crash modification factors were constructed for a comprehensive assessment. Saeid et al. [17] integrated traffic accident data characteristics (e.g., accident severity, traffic accident rate, and traffic incident rate) to assess road accident prediction performance using decision trees, random forests, polynomial logistic regression, and plain Bayes. The findings demonstrate that all methods, except plain Bayesian, attain an acceptable level of accuracy in traffic accident prediction.
The existing research still lacks any in-depth studies on engineering vehicle drivers, leading to inaccurate results in evaluating the characteristics of engineering vehicle drivers. There is a scarcity of studies specifically focusing on engineering vehicles for road traffic risk identification or car risk assessment. The analysis of engineering vehicle operation risk sources and their risk elements indicates that the operation system is complex and consists of human beings, vehicles, roads, environment, and management, affected by multiple factors. Furthermore, it is imperative to consider driver characteristics, select an appropriate method for risk assessment, and suggest targeted management measures.

2. Characterization of Drivers of Engineering Vehicles

2.1. Questionnaire Design

The survey on drivers’ driving characteristics was conducted through a questionnaire, which was structured into two parts (own compilation). The first part has eight questions, involving sociodemographic statistics and general information, including drivers’ age, driving experience, occupation, education, average number of insurance accidents per year, average daily sleep time, and average daily work time. The second part contains questions measuring driving characteristics, including driving behavior (four items), driving technique (four items), emotional control (four items), driving distraction (four items), and speed control (four items), with five latent variables and 20 observational variables. The Driving Characteristics Scale has a total score of 100. Details are shown in Figure 1.
The questionnaire was scored on a five-point Likert scale. On the basis of their daily driving habits, the respondents chose between 1 (always), 2 (frequently), 3 (sometimes), 4 (rarely), and 5 (never), which are in descending order of frequency of the behaviors.

2.2. Analysis of Questionnaires

The survey had 5274 validly returned questionnaires. The demographic variables of the survey include age, occupation, education level, average number of insurances in a year, average hours of sleep per day, self-reported driving style, average hours of driving per day, and driving period of the respondents.
Figure 2 shows a schematic diagram of an engineering vehicle and a bus. Figure 3 shows the occupational distribution of drivers. From the total of 5274 valid data points, 3215 are drivers of engineering vehicles, accounting for 61%; 1673 are bus drivers, accounting for 32%; 281 are taxi drivers, accounting for 5%; 105 are private cars, accounting for 2%. Given that the samples of taxi and private car drivers are relatively small, the two sets of data have been merged into one group to be analyzed as “other vehicles”. After the merger, other vehicles contains 386 drivers, accounting for 7% of the total number of drivers. As this paper mainly studies the drivers of engineering vehicles, there are nearly 15,000 drivers registered in Shenzhen, and about 8000 drivers are active all year round. A simple random sampling method was adopted for the questionnaire in the city of Shenzhen. Each driver had the same probability of being investigated [18]. The effective sample size of this paper represents one third of the city, so it is sufficiently convincing [19].
Driving characteristics were divided into five dimensions: driving technique, driving distraction, speed control, emotional control, and driving behavior. The statistics of driving characteristic scores in each dimension are shown in Figure 4. The driving technology scores of the drivers of engineering vehicles, buses, and other vehicles show no significant difference, and the main differences can be found in speed control, driving behavior, emotional control, and driving distraction.
In terms of speed control and driving behavior, drivers of engineering vehicles are slightly better than drivers of buses. Moreover, they are substantially better than drivers of other vehicles. Engineering vehicles and buses are large vehicles with certain dedicated driving paths on the road and strict speed limits. Drivers who are on duty usually undergo standardized training. They are also compliant with the traffic regulations. Thus, they have few speeding behavior problems, and their speed control is better than that of drivers of other small vehicles because engineering vehicles and buses are highly standardized. Moreover, the driving behaviors of engineering vehicle and bus drivers are better than those of other vehicle drivers.
Regarding emotional regulation, engineering vehicle drivers exhibit notably superior performance compared to bus and other vehicle drivers, while bus drivers demonstrate slightly better emotional control than drivers of other vehicles. This discovery suggests that the driving demeanors of engineering vehicle drivers tend to be calmer than those of bus drivers and drivers of other vehicles. Additionally, the likelihood of experiencing “road rage” among the former is lower than among the latter.
Driving distraction shows significant variation among the three driver types, with bus drivers, engineering vehicle drivers, and drivers of other vehicles demonstrating a declining trend in performance. The initial conclusion indicates that bus drivers are the most distracted when driving their vehicles. They are followed by engineering vehicle drivers. Moreover, the performances of other vehicle drivers are poor.
In summary, the characteristics of drivers of different vehicles are still different. Therefore, human factors must be added to the risk assessment of vehicles. For professional drivers, driving experience involves dealing with vehicle problems that must be considered. In addition, speed, distraction, and duration of driving must be considered when combining various dimensions of performance.

3. Model Construction

Achieving scientific and precise systemic assessments through basic qualitative or quantitative methods presents challenges. Leveraging their adeptness in evaluating intricate systems, neural networks have been extensively employed in road traffic risk assessment endeavors, culminating in the attainment of meticulously scientific and precise risk assessment outcomes. Artificial neural networks serve as a vehicle for discovering a novel approach to information representation, storage, and processing, closely mirroring human intelligence by emulating the organizational structure of the human brain and its information-processing mechanisms. Thus, relevant problems in practical engineering and scientific research can be solved. Dozens of artificial neural network models have been proposed by researchers and scholars since W. McCulloch and W. Pitts [20] proposed the first artificial neuron McCulloch–Pitts model, which simulates biological neurons by combining biological neurons with mathematical logic, in 1943. The error backpropagation (BP) algorithm is a type of neural network comprising three or more neurons distributed across input, hidden, and output layers. The network weights between the neurons in the input and hidden layers are used to represent the connection strength. This neural network is the most mature neural network with the widest application scope because of its simple structure and good adaptability. Therefore, this algorithm was selected for model evaluation in this study.
The BP neural network structure is shown in Figure 5. The input layer neurons receive foreign information and pass it to the hidden layer, and then the hidden and output layer neurons integrate the information passed by the neurons in the previous layer and use the integrated information as the neuron input to that layer. When the training samples are provided to the input neurons, they are propagated from the input layer through the hidden layer to the output layer, and when there is an unacceptable error between the output of the network and the actual output samples, it is reversed from the output layer through the hidden layer and back to the input layer, and after continuously correcting the weights of each connection (that is, performing BP error propagation) until the error reaches an acceptable range or the set number of iterations, the network learning ends.

3.1. Flow of the Operational Risk Assessment Model

The process of constructing an assessment model for the operational risk of engineering vehicles is as follows:
Step 1—Quantify the engineering vehicle operation risk assessment indexes and assessment results as the learning samples ( x 1   x 2     x n ) and network output y of the model;
Step 2—Use the input and output quantities as the training samples for the model in order to train the neural network, from which the actual output values of the network are obtained;
Step 3—Calculate the error. When the error value is within the acceptable range, the learning ends. Otherwise, proceed to the next step;
Step 4—Modify the number of hidden layer nodes and network weights;
Step 5—Go back to Step 3 until the error is within the acceptable limits and the study is ended;
Step 6—Modify the activation function;
Step 7—Go back to Step 3 until the error is within acceptable limits and the study is ended;
Step 8—Prepare the network model hidden layer for regular optimization;
Step 9—Input the engineering vehicle operation risk assessment indicator values of the samples to be assessed. The network assessment results are derived from the trained assessment model.

3.2. Classification and Quantification of Risk Indicators

In China’s Overall Emergency Response Plan for Public Emergencies, the warning level is divided into four levels according to the degree of harm, urgency, and development: Level Ⅰ (particularly serious), Level Ⅱ (serious), Level Ⅲ (heavier), and Level Ⅳ (safe). Engineering vehicle operation’s risk assessment is used to assess the degree of danger and the level of risk of engineering vehicle operation as serious, general, basically safe, or safe.
(1)
Level Ⅰ (Serious): The probability of traffic accidents involving engineering vehicles is high, and the consequences are serious. This level of risk is an undesired risk.
(2)
Level II (General): An engineering vehicle traffic accident may occur with general consequences. This level of risk is conditionally accepted.
(3)
Level III (Basic Safety): Engineering vehicle traffic accidents are unlikely to occur, and the accident hazard is low. This level of risk is an acceptable risk.
(4)
Level Ⅳ (Safety): The probability of an engineering vehicle traffic accident is minimal, and the accident hazard is slight. This level of risk is the desired risk.
Through the analysis of data from investigations into accidents involving domestic engineering vehicles, it becomes evident that the occurrence of such accidents often correlates strongly with driver error, as well as adverse road and weather conditions. Moreover, during in-depth investigations into the enterprises involved, varying degrees of management oversight were discovered, serving as factors contributing to the accidents. Hence, this paper proposes three primary risk assessment indicators focusing on drivers, road and environmental conditions, and enterprise management status.
According to the engineering vehicle operation risk assessment index system, the scoring and assignment method is used to unify the outline of the assessment indicators and facilitate statistical calculations for the qualitative assessment indicators because of the existence of quantitative and qualitative assessment indicators. Moreover, a value between 0 and 10 is taken as the score and to perform the corresponding grade division.
(1)
Criteria for Human Factor Risk Assessment
1.
Driver’s Experience
Based on statistical analyses of driving experience data from engineering vehicle traffic accidents, it is evident that the likelihood of such accidents is elevated among drivers with limited driving experience. The risk index for driving experience is obtained through the risk assessment index method, with indicators from high to low corresponding to the four levels, namely, serious, general, basically safe and safe, and scored as [0–3), [3–6), [6–8], and (8–10] to quantify the assessment indexes, as shown in Table 1.
2.
Undesirable Driving Behavior
According to the undesirable driving behaviors shown by Guangdong Province’s Intelligent Supervisory System and the main influencing factors analyzed in the previous section, undesirable driving habits, such as playing with cell phones, receiving and making calls via handheld phones, smoking, not wearing a seatbelt, and controlling onboard equipment [21], are classified into three grades: serious, general, and basically safe. The absence of undesirable driving behaviors is designated a safety grade and correspondingly scored as [0–3), [3–6), [6–8], or (8–10] to quantify the assessment indexes, as shown in Table 1.
3.
Traveling Speed
Based on the speeding demerit point standard of the Road Traffic Safety Law of the People’s Republic of China, speeding behaviors are classified into four levels: 20% over the permitted speed limit, more than 10% and less than 20% over the permitted speed limit, less than 10% over the permitted speed limit, and not exceeding the permitted speed limit [22]. These levels correspond to four levels, namely, serious, general, basically safe, and safe, and scored as [0–3), [3–6), [6–8], or (8–10] to quantify the assessment indexes, as shown in Table 1.
4.
Continuous Driving Hours
The index used to judge fatigued driving in this study is continuous driving time. More than 4 h is seriously fatigued driving. Thus, we categorized the fatigue level of drivers according to driving time: 3–4 h, 2–3 h, 1–2 h, and within 1 h of continuous driving. The fatigue levels are referred to as fatigue, a little bit of fatigue, sobriety, and extreme sobriety, which correspond to the four risk levels of serious, general, basic safety, and safety, and are scored as [0–3), [3–6), [6–8], and (8–10] to quantify the assessment indexes, as shown in Table 1.
(2)
Criteria for Road Environmental Factors
1.
Segregation of Motorized and Nonmotorized Lanes
According to the analysis of major accident causes, motor vehicles occupying the road represent a relatively major factor. Therefore, according to the “Shenzhen Road Facility Quality Enhancement Design Guidelines”, the segregation of motorized and nonmotorized lanes is divided into four levels: no segregation between the two, nonmotorized lanes exist but no physical segregation, nonmotorized lanes exist and physical segregation is implemented, and the installation of independent nonmotorized lanes. They correspond to the four risk levels of serious, general, basically safe, and safe, and are scored as [0–3), [3–6), [6–8], or (8–10] to quantify the assessment indexes, as shown in Table 2.
2.
Road Congestion Index
The road traffic volume directly affects the driving safety of engineering vehicles. Therefore, the road traffic performance index issued by the Transport Bureau of Shenzhen Municipality [23] is used to categorize the levels of road congestion as very congested, generally congested, basically unimpeded, and unimpeded. They correspond to the four risk levels of serious, general, basically safe, and safe, and are scored as [0–3), [3–6), [6–8], or (8–10] to quantify the assessment indexes, as shown in Table 2.
3.
Weather Conditions
Engineering vehicles in Shenzhen are significantly influenced by weather conditions, leading to halts in construction activities during typhoons and rainstorms. Consequently, this study excludes the consideration of such weather phenomena. Engineering vehicles can be operated in light rainy weather, but the risk of driving is increased. Given the special nature of engineering vehicles, they often work at night. However, the probability of driving traffic accidents during nighttime is greater than that during daytime. According to the risk index and the degree of weather severity, the weather conditions are divided into four categories: drizzly day, cloudy day, sunny nighttime and sunny daytime, with values of [0–3), [3–6), [6–8], and (8–10]. They correspond to the four risk levels of serious, general, basically safe, and safe, as shown in Table 2.
(3)
Criteria for Management Factors
1.
Accidents at Transportation Companies
According to the previous year’s records of safety at transportation companies, the accidents at transportation companies are divided into four categories: existing fatal accidents, existing injury accidents, existing cuts, and bruises but no casualties and no accidents, which correspond to the four risk levels of serious, general, basically safe, and safe, respectively, and are scored as [0–3), [3–6), [6–8], or (8–10] to quantify the assessment indexes, as shown in Table 3.
2.
Number of Times the Companies Were Notified
According to the previous year’s monthly report on the dynamic data statistics of key construction vehicles released by the Shenzhen Municipal Bureau of Transportation, the number of times each transportation company had been notified in the past 12 months is calculated and classified into the four grades of more than three times, two to three times, one time, and no notification, which correspond to the four risk levels of serious, general, basic safety, and safety, and scored as [0–3), [3–6), [6–8), and (8–10] to quantify the assessment indexes, as shown in Table 3.
3.
GPS Offline Rate of Engineering Vehicles
According to a survey, the GPS offline rate of engineering vehicles is categorized into the four levels of over 20%, 10%–20%, 5%–10%, and less than 5%, which correspond to the four risk levels of serious, general, basically safe, and safe, and are scored as [0–3), [3–6), [6–8), or (8–10] to quantify the assessment indexes, as shown in Table 3.

4. Model Network Training and Testing

4.1. Neurons in Each Layer

In this study, three aspects, namely, human factors, road environment factors, and management factors, are selected to assess the risk of engineering vehicle operation. The assessment indicators of the three types of risks are used as the input neurons of the model, with 10 as the total number of input neurons. The output of the model comprises the risk assessment results. The input neurons and output neurons of the engineering vehicle operation risk assessment model are shown in Table 4.
The theoretical analysis shows that the BP neural network with a single hidden layer can map all continuous functions. The design of a hidden layer is generally considered first when designing a multilayer feedforward network. Improvements of the training accuracy of the neural network can be achieved by adopting a hidden layer and increasing the number of its neurons. However, the performance of the network decreases beyond a certain value. This approach is simpler and more effective than adding a hidden layer. The number of neurons in the hidden layer is related to the complexity of the problem to be solved. The role of the hidden layer’s neuron nodes is to extract and store the intrinsic patterns from the samples. The energy expended by the neural network in obtaining information from the samples is poor, and the system cannot reflect the laws of the samples when the number of neurons is too small. When too many neuron nodes exist, noise may be added to the original laws, and the problem of overfitting occurs, thereby reducing the capacity for generalization and increasing the training time.

4.2. Model Network Training

In this study, 100 sets of data obtained via survey and expert scoring have been used as samples. These sets are divided into two parts. A total of 80 sets of sample data are used for the training of the model, and the remaining 20 sets of data are used for the testing of the BP network. Python software v. 3.8 programming is applied to train the network. The number of nodes in the input layer is 10, the input of the network is an 80 * 10 matrix, and the output is an 80 * 1 matrix. Comparison experiments are used in selecting the model training parameters and methods in order to ensure that the results of the model training are optimized.
(1)
Comparison of the Number of Nodes in the Hidden Layer
In the neural network hidden layer, the numbers of neurons for training and testing are selected as 32 and 64. The training results are evaluated using the mean square error (MSE) as a loss function, which is used to measure the difference between the predicted and actual observed values of the model. Its calculation formula is as follows.
M S E = 1 n i = 1 n ( Y i Y i ) 2 ,
where MSE is the mean square error, n is the number of samples, Y i is the true value of the i-th sample, and Y i ^ is the model-predicted value for the i-th sample.
The numbers of neurons in the hidden layer of the model are set to 32 and 64 for the training and testing, respectively, and the loss value results are compared, as shown in Figure 6. This figure shows that the two models converge after 300 rounds of training. The figure on the left shows the training and testing results of 32 neurons, whose loss value is 0.123 on the test set. The figure on the right shows the training and testing results for 64 neurons, whose loss value on the test set is 0.0548. Thus, selecting 64 hidden layer neurons can achieve results close to the true value.
(2)
Comparison of Activation Functions
In selecting the model’s activation function, this study conducts a comparison experiment to compare the results of the training test using the ReLU activation function and the sigmoid activation function in the hidden layer.
The ReLU activation function is formulated as follows:
f ( x ) = max ( 0 , x ) ,
where f(x) is the output and x is the input. This activation function is characterized by nonlinearity, which helps improve the sparsity and generalization of the model.
The sigmoid activation function is formulated as follows:
f ( x ) = 1 / ( 1 + e ( x ) ) ,
where f(x) is the output and x is the input. This activation function maps a linear combination of neural networks to a probability value between 0 and 1, and has a positive feedback effect on optimization algorithms such as gradient descent.
The results of the comparison experiment on the two activation functions are shown in Figure 7. The figure on the left shows the training and testing results of using ReLU as the activation function and a loss value of the test set as 0.102. The figure on the right shows the training and testing results derived when using sigmoid as the activation function and a loss value of 0.0326. This finding indicates that using sigmoid as the activation function is advantageous in terms of the loss value. However, the model’s fitting stability indicates that the convergence effect of this loss function must be optimized, and the test set fluctuates greatly, indicating an overfitting. Therefore, regularization comparison experiments are added to the next set of experiments to enhance model optimization.
(3)
Regularization Optimization
In this study, L2 regularization is added to the hidden layer of the network model to optimize the model. L2 regularization mainly means that the weight parameters tend to have small values. Moreover, the model tends to choose parameters with small weight values, thereby reducing its complexity. Parameters with small weight values are usually highly insensitive to noise in the training data and help prevent overfitting.
The formula for L2 regularization is shown in Equation (4).
L L 2 = λ i = 1 n ω i 2 ,
where λ is the regularization parameter for controlling the regularization strength, n is the number of weighting parameters, and wi is the value of the ith weighting parameter.
The comparison of the original training results with the results after performing L2 regularization is shown in Figure 8. With reference to the previous results of each hyperparameter’s optimization, the figure on the left shows the training and testing results using 64 neurons and sigmoid as the activation function. Moreover, the loss value on the testing set is 0.0326. The figure on the right shows the training and testing results with the addition of L2 regularization. The loss on its training set is 0.0331. The model converges well and can achieve a low test loss with the addition of L2 regularization.
(4)
Comparison of K-fold Cross-validation
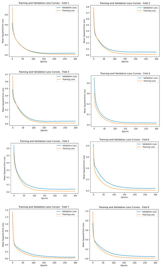
On the basis of the above optimization results, this study finally adopts 64 as the number of neurons in the hidden layer, sigmoid as the activation function, and L2 regularization in the relevant settings of the training parameters. Moreover, the network training optimization algorithm adopted is Adam. The initial learning rate is set to 0.01, the number of training rounds is 300, and the batch size is 16. Given the number of datasets, this study adopts the K-fold cross-validation method for training, and 8-fold cross-validation is trained and tested on the training set. The results are shown in Figure 9 and Table 5.
The mean absolute error (MAE) is used for evaluation, and is calculated as follows to evaluate the model’s accuracy:
M A E = 1 n n = 1 N O p r e d T r e a l ,
where O p r e d is the predicted output value, and T r e a l is the real value of the sample.
The optimal model is selected as the final training model based on the loss value of the validation results by comparing the model effects of each round of cross-validation.

4.3. Model Testing

A total of 20 sets of sample data are selected to test the model’s generalization ability. The real samples and network output values are shown in Figure 10, with a loss value of 0.330 on the test set. The visualization of the prediction results in relation to the true values indicates that the output of this evaluation model has a high degree of fitting accuracy with the real samples.
The model’s test results are evaluated using mean absolute percentage error (MAPE), root MSE (RMSE), and the coefficient of determination (R2). The formula for each evaluation index is as follows:
M A P E = 1 n n = 1 N O p r e d T r e a l T r e a l     100 % ,
R M S E = 1 n n = 1 N ( O p r e d T r e a l ) 2 ,
R 2 = 1 n = 1 N ( O p r e d T r e a l ) 2 n = 1 N ( T r e a l O a v g ) 2 ,
where O p r e d is the predicted output value, T r e a l is the real value of the sample, and O a v g is the predicted output mean.
The calculation results of each index are shown in Table 6. The R2 result is greater than 0.9, which is a good result.

5. Discussion

The risks of engineering vehicle operation are closely related to human beings, vehicles, roads, environment, and management. However, reasonable safety improvement measures and countermeasures can effectively improve the safety of engineering vehicle operations, reduce the occurrence of accidents, and lower the severity of accidents. Aiming at the problems of frequent traffic accidents and the defective safety management of engineering vehicles, the risk assessment method is used to identify the operational risk elements of engineering vehicles. Moreover, a BP neural network model of operational risk assessment for engineering vehicles is established based on this method in order to realize the risk assessment of engineering vehicles. This study illustrates its approach by utilizing the vehicle dynamic supervision system data from Guangdong Province, employing the model, and delineating safety management strategies and countermeasures for engineering vehicles aimed at enhancing the safety of their operations.
In this study, various risk factor indicators of 10 engineering vehicles in Shenzhen City taken from May to June 2023 are selected and combined with the formulated risk index judging standard for risk index assignment.
The risk factors related to the 10 selected engineering vehicles are organized and assigned a value in the quantitative standard of risk index. The final input data are shown in Table 7.
The network output results of the engineering vehicle operation risk assessment are derived using the trained BP neural network to simulate the operation of engineering vehicles. Moreover, the degree level is determined according to the output results. In particular, the output scores of 0–0.25, 0.25–0.5, 0.5–0.75, and 0.75–1 indicate the serious, general, basically safe, and safe degree levels, respectively. The risk assessment results of the operation of 10 engineering vehicles are shown in Table 8.
Table 8 indicates that most of the 10 engineering vehicle operation risks are at the level of basic safety and above, which are acceptable risks under certain conditions. A few of them are at the level of serious and general. Therefore, measures must be taken so as to reduce the risk of the vehicle being driven.
The above risk assessment results show that engineering vehicle operation risks involve drivers, road environment, company management, and other factors. Through the further investigation and analysis of relevant enterprises with average and serious evaluation results, it has been identified that their driver management systems, hazardous driving route condition management systems, and enterprise safety responsibility management systems exhibit varying degrees of deficiencies. Consequently, by assessing the feasibility of implementing pertinent safety management systems and methods (such as establishing a GPS monitoring system, conducting safety training for drivers and personnel in charge, etc.), this study proposes the following safety improvement strategies from the perspectives of human factors, road environment factors, and management factors.
(1)
Human Factor Strategies
These strategies involve training and education for inexperienced drivers and those with poor driving behavior. Regular safety training is provided to all drivers, with an emphasis on driving skills and safety awareness to reduce the risk of accidents. This training approach also establishes a strict monitoring mechanism to detect poor driving behavior. Additionally, a system of rewards and penalties, encompassing fines and suspensions, is enforced based on observed behavior. An incentive system is also in place to encourage drivers to comply with traffic regulations and safe driving guidelines. Reasonable speed limits are established to ensure that drivers do not exceed the speed limit. Reasonable work schedules, including necessary rest periods, are set to minimize fatigued driving.
(2)
Road Environmental Factor Strategies
These strategies involve advocating for relevant departments to increase their attention to accident-prone and congested road sections, optimize road facilities, and increase motorway and nonmotorway segregation, as well as physical separation, so as to reduce traffic congestion. The regular monitoring of road traffic conditions is imperative to furnish real-time information for engineering vehicles and facilitate the avoidance of congested road sections. These strategies also encourage the establishment of weather warning systems to inform drivers of adverse weather conditions promptly, thereby allowing appropriate safety measures to be taken.
(3)
Management Factor Strategies
These strategies involve improving the safety management standards of the organization and ensuring the level of safety awareness and training of employees. Thorough investigations are conducted for each accident in order to comprehend the underlying causes and implement corrective measures. A system is set up to report the number of times a company is notified and the GPS offline rate such that corrective actions can be taken promptly. This approach also ensures that the GPS systems of engineering vehicles are functioning properly in order to reduce the offline rate.

6. Conclusions and Future Work

This study is based on respondents located in Shenzhen on the central coast of the southern Chinese province of Guangdong. Based on the drivers’ driving characteristics, factors including driver characteristics, road environment, and management were selected in this study to evaluate the operational risks of engineering vehicles using the error BP algorithm. The optimal model was determined. The conclusions obtained are as follows:
(1)
The driving skill scores of the drivers of engineering vehicles, buses, and other vehicles showed no significant difference. However, the main differences were in speed control, driving behavior, emotional control, and driving distraction. Engineering vehicle drivers performed best in terms of speed control, driving behavior, and emotional control;
(2)
Four risk levels were identified. Four factors, such as driver’s driving experience, undesirable driving behavior, traveling speed, and continuous driving hours, were selected as driver’s factors. Four factors, including segregation of motorized and nonmotorized lanes, road congestion index, and weather conditions, were also selected as road environmental factors. Moreover, three indexes, such as accidents at transportation companies, number of times the companies were notified, and GPS offline rate of engineering vehicles, were selected as factors for management;
(3)
Comparative analysis revealed that employing 64 neurons in the hidden layer yielded results closer to the actual value compared to utilizing 32 neurons. Additionally, the examination of various activation functions indicated the superiority of the sigmoid function in minimizing loss values. Nonetheless, overfitting phenomena were observed, necessitating the adoption of regularization optimization techniques. Furthermore, the model’s convergence was enhanced following L2 regularization implementation;
(4)
The factors discussed in this paper are limited, and the sample size of the discussion is also limited. We hope that we can investigate data from more cities to further expand the scope of the study and refine the sampling methodology, as more variables are worth discussing to derive more in-depth analysis. For example, factors of the environment, vehicle emissions and pollution can be discussed. We hope that more factors will be added in future works to make the model more comprehensive.

Author Contributions

Conception, S.Q. and A.Z.; data collection, S.Q. and A.Z.; formal analysis, J.T. and S.Q.; software, S.Q. and A.Z.; methodology, S.Q. and A.Z.; funding acquisition, X.Z. and J.T.; writing—original draft, S.Q., X.Z. and A.Z.; writing—revised draft, S.Q., J.T., X.Z. and A.Z. All authors have read and agreed to the published version of the manuscript.

Funding

This research was funded by the National Natural Science Foundation of China (Grant No. 52102410), Guangxi Youth Science Foundation (Grant No. 2021GXNSFBA075022), 2022 Guangdong Social Science Planning Project (Grant No. GD22YGL18).

Institutional Review Board Statement

Not applicable.

Informed Consent Statement

Not applicable.

Data Availability Statement

The data presented in this study are available on request from the corresponding author. The data are not publicly available due to privacy.

Acknowledgments

This research was support of the postdoctoral project of Shenzhen Technology Institute of Urban Public Safety. We also thank Lequn SUN from State Key Joint Laboratory of Environment Simulation and Pollution Control, School of Environment, Tsinghua University, Ye Luo from Shenzhen Technology Institute of Urban Public Safety, as they were very helpful in rewriting and improving the article.

Conflicts of Interest

The authors declare no conflicts of interest.

References

  1. Available online: https://crashstats.nhtsa.dot.gov (accessed on 15 December 2023).
  2. Hong, S.; Min, B.; Doi, S.; Suzuki, K. Approaching and stopping behaviors to the intersections of aged drivers compared with young drivers. Int. J. Ind. Ergon. 2016, 55, 32–41. [Google Scholar] [CrossRef]
  3. Kweon, Y.-J.; Kockelman, K.M. Overall injury risk to different drivers: Combining exposure, frequency, and severity models. Accid. Anal. Prev. 2003, 35, 441–450. [Google Scholar] [CrossRef]
  4. Shinar, D.; Schechtman, E.; Compton, R. Self-reports of safe driving behaviors in relationship to sex, age, education and income in the US adult driving population. Accid. Anal. Prev. 2001, 33, 111–116. [Google Scholar] [CrossRef] [PubMed]
  5. Arthur, W.; Doverspike, D. Predicting motor vehicle crash involvement from a personality measure and a driving knowledge test. J. Prev. Interv. Community 2001, 22, 35–42. [Google Scholar] [CrossRef]
  6. Reason, J.; Manstead, A. Errors and Violations on the Roads: A Real Distinction? Ergonomics 1990, 33, 1315–1332. [Google Scholar] [CrossRef]
  7. Constantinoua, E.; Panayiotoua, G. Risky and aggressive driving in young adults: Personality matters. Accid. Anal. Prev. 2011, 4, 1323–1331. [Google Scholar] [CrossRef]
  8. National Center for Statistics and Analysis. Large Trucks: 2016 Data; Traffic Safety Facts. Report No. DOT HS 812 497) [R/OL]; National Highway Traffic Safety Administration: Washington, DC, USA, 2018. Available online: https://crashstats.nhtsa.dot.gov/Api/Public/ViewPublication/812497 (accessed on 10 June 2021).
  9. National Center for Statistics and Analysis. Single-Unit Straight Trucks in Traffic Crashes [R/OL]; National Highway Traffic Safety Administration: Washington, DC, USA, 2013. Available online: https://crashstats.nhtsa.dot.gov/Api/Public/ViewPublication/811740 (accessed on 10 June 2021).
  10. Leden, L.; Gårder, P.; Pulkkinen, U. An Expert Judgment Model Applied to Estimating the Safety Effect of a Bicycle Facility. Accid. Anal. Prev. 2000, 32, 589–599. [Google Scholar] [CrossRef] [PubMed]
  11. Hermans, E.; Ruan, D.; Brijs, T.; Wets, G.; Vanhoof, K. Road Safety Risk Evaluation by Means of Ordered Weighted Averaging Operators and Expert Knowledge. Knowl.-Based Syst. 2010, 23, 48–52. [Google Scholar] [CrossRef]
  12. Norros, I.; Kuusela, P.; Innamaa, S.; Pilli-Sihvola, E.; Rajamäki, R. The Palm Distribution of Traffic Conditions and Its Application to Accident Risk Assessment. Anal. Methods Accid. Res. 2016, 12, 48–65. [Google Scholar] [CrossRef]
  13. Rusli, R.; Haque, M.M.; King, M.; Voon, W.S. Single-vehicle Crashes along Rural Mountainous Highways in Malaysia: An Application of Random Parameters Negative Binomial Model. Accid. Anal. Prev. 2017, 102, 153–164. [Google Scholar] [CrossRef]
  14. Hou, Q.; Meng, X.; Leng, J.; Yu, L. Application of a random effects negative binomial model to examine crash frequency for freeways in China. Phys. A Stat. Mech. Its Appl. 2018, 509, 937–944. [Google Scholar] [CrossRef]
  15. Cheng, W.; Gill, G.S.; Ensch, J.L.; Kwong, J.; Jia, X. Multimodal crash frequency modeling: Multivariate space-time models with alternate spatiotemporal interactions. Accid. Anal. Prev. 2018, 113, 159–170. [Google Scholar] [CrossRef]
  16. Wood, J.; Donnell, E.T. Empirical Bayes Before-after Evaluation of Horizontal Curve Warning Pavement Markings on Two-lane Rural Highways in Pennsylvania. Accid. Anal. Prev. 2020, 146, 105734. [Google Scholar] [CrossRef] [PubMed]
  17. Pourroostaei Ardakani, S.; Liang, X.; Mengistu, K.T.; So, R.S.; Wei, X.; He, B.; Cheshmehzangi, A. Road Car Accident Prediction Using a Machine-Learning-Enabled Data Analysis. Sustainability 2023, 15, 5939. [Google Scholar] [CrossRef]
  18. Yunesian, M.; Mesdaghinia, A.; Moradi, A.; Vash, J.H. Drivers’ knowledge, attitudes, and behavior: A cross-sectional study. Psychol. Rep. 2008, 102, 411–417. [Google Scholar] [CrossRef] [PubMed]
  19. Dorn, L.; af Wåhlberg, A.E. Behavioural culpability for traffic accidents. Transp. Res. Part F Traffic Psychol. Behav. 2019, 60, 505–514. [Google Scholar] [CrossRef]
  20. Pitts, W.; Mcculloch, W.S. How we know universals; the perception of auditory and visual forms. Bull. Math. Biophys. 1947, 9, 127–147. [Google Scholar] [CrossRef] [PubMed]
  21. Zhu, Y.; Ma, Y.; Chen, S.; Khattak, A.J.; Pang, Q. Identifying Potentially Risky Intersections for Heavy-Duty Truck Drivers Based on Individual Driving Styles. Appl. Sci. 2022, 12, 4678. [Google Scholar] [CrossRef]
  22. Zhang, G.; Yau, K.K.; Gong, X. Traffic violations in Guangdong province of China: Speeding and drunk driving. Accid. Anal. Prev. 2014, 64, 30–40. [Google Scholar] [CrossRef] [PubMed]
  23. Available online: http://tocc.jtys.sz.gov.cn/#/rt/road (accessed on 20 March 2024).
Figure 1. Structure of the questionnaire.
Figure 1. Structure of the questionnaire.
Applsci 14 05086 g001
Figure 2. Schematic diagram of engineering vehicle and bus.
Figure 2. Schematic diagram of engineering vehicle and bus.
Applsci 14 05086 g002
Figure 3. Occupational distribution.
Figure 3. Occupational distribution.
Applsci 14 05086 g003
Figure 4. Performance of dimension scores.
Figure 4. Performance of dimension scores.
Applsci 14 05086 g004
Figure 5. Schematic diagram of BP neural network structure.
Figure 5. Schematic diagram of BP neural network structure.
Applsci 14 05086 g005
Figure 6. Comparison of the neuron numbers in different hidden layers.
Figure 6. Comparison of the neuron numbers in different hidden layers.
Applsci 14 05086 g006
Figure 7. Comparison of different activation functions.
Figure 7. Comparison of different activation functions.
Applsci 14 05086 g007
Figure 8. Comparison of regular optimization.
Figure 8. Comparison of regular optimization.
Applsci 14 05086 g008
Figure 9. Results of the 8-fold cross-validation.
Figure 9. Results of the 8-fold cross-validation.
Applsci 14 05086 g009
Figure 10. Test results of the model.
Figure 10. Test results of the model.
Applsci 14 05086 g010
Table 1. Levels of indicators for human factors.
Table 1. Levels of indicators for human factors.
Level 1 IndicatorsSecondary IndicatorsRisk LevelScore
Driver’s ExperienceWithin 2 yearsSerious[0–3)
3–5 yearsGeneral[3–6)
5–10 yearsBasic Safety[6–8)
10–15 yearsSafety(8–10]
Undesirable Driving BehaviorNot wearing a seatbeltSerious[0–3)
Playing with cell phones, receiving and making calls via handheld phonesGeneral[3–6)
Smoking, controlling on-board equipmentBasic Safety[6–8)
Others or not presentSafety(8–10]
Traveling Speed20% over the permitted speed limitSerious[0–3)
More than 10% and less than 20% over the permitted speed limitGeneral[3–6)
Less than 10% over the permitted speed limitBasic Safety[6–8)
Not exceeding the permitted speed limitSafety(8–10]
Continuous Driving Hours3–4 hSerious[0–3)
2–3 hGeneral[3–6)
1–2 hBasic Safety[6–8)
Within 1 hSafety(8–10]
Table 2. Levels of indicators for road environmental factors.
Table 2. Levels of indicators for road environmental factors.
Level 1 IndicatorsSecondary IndicatorsRisk LevelScore
Segregation of Motorized and Nonmotorized LanesNo segregation between the twoSerious[0–3)
Nonmotorized lanes exist but no physical segregationGeneral[3–6)
Nonmotorized lanes exist and physical segregation is implementedBasic Safety[6–8)
Installation of independent nonmotorized lanesSafety(8–10]
Road Congestion IndexVery congested (Index 6 and above)Serious[0–3)
Generally congested (Index 4–6)General[3–6)
Basically unimpeded (Index 2–4)Basically Safe[6–8)
Unimpeded (Index 0–2)Safe(8–10]
Weather ConditionsDrizzle daySerious[0–3)
Cloudy dayGeneral[3–6)
Sunny nighttimeBasically Safe[6–8)
Sunny daytimeSafe(8–10]
Table 3. Levels of indicators for management factors.
Table 3. Levels of indicators for management factors.
Level 1 IndicatorsSecondary IndicatorsRisk LevelScore
Accidents at Transportation CompaniesExisting fatal accidentsSerious[0–3)
Existing injury accidentsGeneral[3–6)
Existing cuts and bruises but no casualtiesBasically Safe[6–8)
No accidentsSafe(8–10]
Number of Times the Companies Were NotifiedMore than 3 timesSerious[0–3)
2–3 timesGeneral[3–6)
1 timeBasically Safe[6–8)
No notificationSafe(8–10]
GPS Offline Rate of Engineering Vehiclesover 20%Serious[0–3)
10–20%General[3–6)
5–10%Basically Safe[6–8)
Less than 5%Safe(8–10]
Table 4. Input and output of the BP neural network.
Table 4. Input and output of the BP neural network.
InputOutput
Driver FactorsRoad Environmental FactorsManagement FactorsRisk Level
Driver’s ExperienceSegregation of Motorized and Nonmotorized LanesAccidents at Transportation CompaniesSerious, General, Basic Safety, Safety
Undesirable Driving BehaviorRoad Congestion IndexNumber of Times the Companies Were Notified
Traveling SpeedWeather ConditionsGPS Offline Rate of Engineering Vehicles
Continuous Driving Hours
Table 5. MAE of the 8-fold cross-validation.
Table 5. MAE of the 8-fold cross-validation.
Roundfold1fold2fold3fold4fold5fold6fold7fold8
MAE0.03310.04630.03670.0360.03880.0430.0430.0441
Table 6. Calculation of evaluation indicators.
Table 6. Calculation of evaluation indicators.
IndicatorsBP Neural Network Model
MAPE11.835
RMSE0.057
R20.912
Table 7. Input data statistics.
Table 7. Input data statistics.
No.Driver’s ExperienceUndesirable Driving BehaviorTraveling SpeedContinuous Driving HoursSegregation of Motorized and Nonmotorized LanesRoad Congestion IndexWeather ConditionsAccidents at Transportation CompaniesNumber of Times the Companies Were NotifiedGPS Offline Rate
1991010910981010
28767868776
39541255555
41122232462
55794799941
66779968838
78999796685
8941891076109
98364669749
107532547856
Table 8. Risk assessment results.
Table 8. Risk assessment results.
No.12345678910
Output Value0.9210.6220.2680.0240.5620.5130.7700.2720.5060.559
LevelSafeBasically SafeGeneralSeriousBasically SafeBasically SafeSafeGeneralBasically SafeBasically Safe
Disclaimer/Publisher’s Note: The statements, opinions and data contained in all publications are solely those of the individual author(s) and contributor(s) and not of MDPI and/or the editor(s). MDPI and/or the editor(s) disclaim responsibility for any injury to people or property resulting from any ideas, methods, instructions or products referred to in the content.

Share and Cite

MDPI and ACS Style

Qi, S.; Teng, J.; Zhang, X.; Zheng, A. Operational Risk Assessment of Engineering Vehicles Considering Driver Characteristics. Appl. Sci. 2024, 14, 5086. https://doi.org/10.3390/app14125086

AMA Style

Qi S, Teng J, Zhang X, Zheng A. Operational Risk Assessment of Engineering Vehicles Considering Driver Characteristics. Applied Sciences. 2024; 14(12):5086. https://doi.org/10.3390/app14125086

Chicago/Turabian Style

Qi, Shouming, Jun Teng, Xi Zhang, and Ao Zheng. 2024. "Operational Risk Assessment of Engineering Vehicles Considering Driver Characteristics" Applied Sciences 14, no. 12: 5086. https://doi.org/10.3390/app14125086

APA Style

Qi, S., Teng, J., Zhang, X., & Zheng, A. (2024). Operational Risk Assessment of Engineering Vehicles Considering Driver Characteristics. Applied Sciences, 14(12), 5086. https://doi.org/10.3390/app14125086

Note that from the first issue of 2016, this journal uses article numbers instead of page numbers. See further details here.

Article Metrics

Back to TopTop