Improved Ant Colony Algorithm for the Split Delivery Vehicle Routing Problem
Abstract
1. Introduction
- For the state transition process of the ant colony algorithm, we propose an adaptive selection threshold to replace the commonly used fixed threshold, which enables the algorithm to better balance convergence speed and global search ability.
- We designed new pheromone updating rules by referring to the max-min ant colony algorithm. To improve the existing methods, we added a pheromone backtracking mechanism and an adaptive pheromone volatile factor to improve the ability of the algorithm to jump out of a local optimum.
- Unlike the common single strategy of customer selection, ours divides customers into initial customers and noninitial customers. We also designed selection strategies for each type of customer, so that the selection of customer nodes is more targeted.
- We applied the proposed improved ant colony algorithm to SDVRP instances of various scales for a comprehensive evaluation. The experiments show that our method can effectively solve problems of different sizes and its performance is competitive compared with other heuristic algorithms.
2. Related Work
2.1. Exact Algorithms
2.2. Heuristic Algorithms
3. Modeling the SDVRP
- (1)
- The distance between any two customer points is symmetric, which can be expressed as .
- (2)
- The distance between the customer points conforms to the triangle inequality and can be expressed as .
- (3)
- The demand of each customer should be met, and this demand can be met by one or more vehicles.
- (4)
- All vehicles start from the depot and return to the depot after completing the task, and the vehicles cannot be overloaded.
4. Improved Ant Colony Algorithm
4.1. Customer Selection Method
4.1.1. Initial Customer Selection
- (1)
- All coverage methods. The vehicle can search the customer points as the initial customer one by one, thereby expanding the search scope. However, when handling larger-scale problems, the algorithm running time may increase dramatically.
- (2)
- Random placement. This method will randomly select the initial customer of the vehicle according to a probability distribution. The advantage of this method is that the running time of the algorithm can be reduced. However, due to the random selection, the best path length generated by each iteration may greatly differ, thus reducing the convergence speed of the algorithm.
4.1.2. Noninitial Customer Selection
4.2. Pheromone Processing
4.2.1. Pheromone Initialization
4.2.2. Pheromone Update Method
4.2.3. Pheromone Restriction
4.3. Search Method Based on the 2-Opt Strategy
- 1.
- Vehicle path self-search
| Algorithm 1. Vehicle path self-search |
| 1: Input solution s; |
| 2: Set vehicle_num = number of vehicles used in s; |
| 3: Set old_length = path length in s; |
| 4: for vehicle = 1 to vehicle_num do |
| 5: Set c_path = path of current vehicle; |
| 6: while not all customer pairs in c_path have been exchanged do |
| 7: Exchange the customer points in c_path in pairs to obtain new solution s’; |
| 8: Calculate the path length new_length of the new solution s’; |
| 9: if new_length < old_length do |
| 10: old_length = new_length; s = s’; |
| 11: end if |
| 12: end while |
| 13: end for |
| 14: Output s; |
- (1)
- Search should be performed every p iterations. After experimental verification, the best effect is achieved when the value of p is 10.
- (2)
- If the current iterative best solution is better than the global best solution, the search is performed.
- 2.
- Route search is performed between vehicles.
| Algorithm 2. Route search between vehicles |
| 1: Input solution s, vehicle capacity Q; |
| 2: Set vehicle_num = number of vehicles used in s; |
| 3: Set f_path = path of the last vehicle in s; |
| 4: Set old_length = path length in s; |
| 5: for vehicle = 1 to (vehicle_num − 1) do |
| 6: Set c_path = path of current vehicle; |
| 7: while not all customer pairs in c_path and f_path have been swapped do |
| 8: Swap customer point i in c_path and customer point j in f_path in pairs for new solution s’; |
| 9: Set demand_c = total demand of customer points on c_path; |
| 10: Set demand_f = total demand of customer points on f_path; |
| 11: if demand_c ≤ Q and demand_f ≤ Q do |
| 12: Calculate the path length new_length of the new solution s’; |
| 13: if new_length < old_length do |
| 14: old_length = new_length; s = s’; |
| 15: end if |
| 16: end if |
| 17: end while |
| 18: end for |
| 19: Output s; |
4.4. Steps of the IACA
| Algorithm 3. IACA |
| 1: Initialize parameters α, β, ρ, ρmax, Z, λ, ω, A, ant_num, max_iter; |
| 2: Initialize τij(0) according to Equation (14) for all node pairs; |
| 3: Set iteration counter iter = 0, Set N = number of customers; |
| 4: for iter = 1 to max_iter do |
| 5: for each ant k = 1 to ant_num do |
| 6: Set demand = demand of nodes; |
| 7: Set capacity v = Q; |
| 8: while do |
| 9: if v > 0 then |
| 10: Put nodes with demandj > 0 into allow; |
| 11: end if |
| 12: if allow is not empty then |
| 13: if the node to be selected is the first node then |
| 14: Select the next node j according to Equation (12), then add j into the path; |
| 15: else |
| 16: Select the next node j according to Equation (13), then add j into the path; |
| 17: end if |
| 18: if v − demandj ≥ 0 then |
| 19: demandj = 0; v = v − demandj; |
| 20: else |
| 21: demandj = demandj − v; v = 0; |
| 22: end if |
| 23: else |
| 24: Return to depot 0; Reload set v = Q; |
| 25: end if |
| 26: end while |
| 27: end for |
| 28: Save the shortest paths of all ants in this iteration; |
| 29: Update the pheromone on the path according to Equations (15), (16) and (18); |
| 30: if iter MOD 10 = 0 or pathib < pathgb then |
| 31: Execute Algorithm 1; Execute Algorithm 2; |
| 32: end if |
| 33: if pathgb has not changed for A consecutive iterations then |
| 34: Set the pheromone on the path to the value before A iterations; |
| 35: Update ρ according to Equation (17); |
| 36: end if |
| 37: iter = iter + 1; |
| 38: end for |
| 39: Output the shortest paths; |
5. Experimental Results
5.1. Datasets
5.2. Setup of Experimental Parameters
5.3. Small-Scale Dataset Experiments
5.3.1. Experiment 1
5.3.2. Experiment 2
5.3.3. Experiment 3
5.4. Medium-Scale Dataset Experiments
5.5. Large-Scale Dataset Experiments
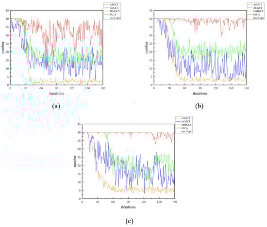
5.6. Exploratory Ability of the Algorithm
6. Conclusions
Author Contributions
Funding
Institutional Review Board Statement
Informed Consent Statement
Data Availability Statement
Conflicts of Interest
References
- Laporte, G. What You Should Know about the Vehicle Routing Problem. Nav. Res. Logist. 2007, 54, 811–819. [Google Scholar] [CrossRef]
- Sharma, S.K.; Routroy, S.; Yadav, U. Vehicle routing problem: Recent literature review of its variants. Int. J. Oper. Res. 2018, 33, 1–31. [Google Scholar] [CrossRef]
- Dror, M.; Trudeau, P. Savings by split delivery routing. Transp. Sci. 1989, 23, 141–145. [Google Scholar] [CrossRef]
- Archetti, C.; Feillet, D.; Gendreau, M.; Speranza, M.G. Complexity of the VRP and SDVRP. Transp. Res. Part C Emerg. Technol. 2011, 19, 741–750. [Google Scholar] [CrossRef]
- Archetti, C.; Savelsbergh, M.W.P.; Speranza, M.G. Worst-case analysis for split delivery vehicle routing problems. Transp. Sci. 2006, 40, 226–234. [Google Scholar] [CrossRef]
- Dror, M.; Trudeau, P. Split delivery routing. Nav. Res. Logist. 1990, 37, 383–402. [Google Scholar] [CrossRef]
- Gulczynski, D.; Golden, B.; Wasil, E. The split delivery vehicle routing problem with minimum delivery amounts. Transp. Res. Part E Logist. Transp. Rev. 2010, 46, 612–626. [Google Scholar] [CrossRef]
- Qiu, M.; Fu, Z.; Eglese, R.; Tang, Q. A tabu search algorithm for the vehicle routing problem with discrete split deliveries and pickups. Comput. Oper. Res. 2018, 100, 102–116. [Google Scholar] [CrossRef]
- Aleman, R.E.; Hill, R.R. A tabu search with vocabulary building approach for the vehicle routing problem with split demands. Int. J. Metaheuristics 2010, 1, 55–80. [Google Scholar] [CrossRef]
- Jiang, Y.; Bian, B.; Liu, Y. Integrated multi-item packaging and vehicle routing with split delivery problem for fresh agri-product emergency supply at large-scale epidemic disease context. J. Traffic Transp. Eng. (Engl. Ed.) 2020, 8, 196–208. [Google Scholar] [CrossRef]
- Wilck, J.H., IV; Cavalier, T.M. A genetic algorithm for the split delivery vehicle routing problem. Am. J. Oper. Res. 2012, 2, 207–216. [Google Scholar] [CrossRef][Green Version]
- Shi, J.; Zhang, J.; Wang, K.; Fang, X. Particle swarm optimization for split delivery vehicle routing problem. Asia-Pac. J. Oper. Res. 2018, 35, 1840006. [Google Scholar] [CrossRef]
- Qing, D.S.; Deng, Q.L.; Li, J.J.; Liu, S.; Liu, X.; Zeng, S.P. Split vehicle route planning with full load demand based on particle swarm optimization. Control Decis. 2021, 36, 1397–1406. [Google Scholar] [CrossRef]
- Chen, Q.; Li, K.; Liu, Z. Model and algorithm for an unpaired pickup and delivery vehicle routing problem with split loads. Transp. Res. Part E Logist. Transp. Rev. 2014, 69, 218–235. [Google Scholar] [CrossRef]
- Han, A.F.-W.; Chu, Y.-C. A multi-start heuristic approach for the split-delivery vehicle routing problem with minimum delivery amounts. Transp. Res. Part E Logist. Transp. Rev. 2016, 88, 11–31. [Google Scholar] [CrossRef]
- Wolfinger, D. A large neighborhood search for the pickup and delivery problem with time windows, split loads and transshipments. Comput. Oper. Res. 2021, 126, 105110. [Google Scholar] [CrossRef]
- Gasque, D.; Munari, P. Metaheuristic, models and software for the heterogeneous fleet pickup and delivery problem with split loads. J. Comput. Sci. 2022, 59, 101549. [Google Scholar] [CrossRef]
- Tang, J.; Ma, Y.; Guan, J.; Yan, C. A max–min ant system for the split delivery weighted vehicle routing problem. Expert Syst. Appl. 2013, 40, 7468–7477. [Google Scholar] [CrossRef]
- McNabb, M.E.; Weir, J.D.; Hill, R.R.; Hall, S.N. Testing local search move operators on the vehicle routing problem with split deliveries and time windows. Comput. Oper. Res. 2015, 56, 93–109. [Google Scholar] [CrossRef]
- Yang, W.; Wang, D.; Pang, W.; Tan, A.-H.; Zhou, Y. Goods consumed during transit in split delivery vehicle routing problems: Modeling and solution. IEEE Access 2020, 8, 110336–110350. [Google Scholar] [CrossRef]
- Xiang, Y.; Zhou, Y.; Huang, H.; Luo, Q. An Improved Chimp-Inspired Optimization Algorithm for Large-Scale Spherical Vehicle Routing Problem with Time Windows. Biomimetics 2022, 7, 241. [Google Scholar] [CrossRef]
- Zhang, T.; Zhou, Y.; Zhou, G.; Deng, W.; Luo, Q. Discrete Mayfly Algorithm for spherical asymmetric traveling salesman problem. Expert Syst. Appl. 2023, 221, 119765. [Google Scholar] [CrossRef]
- Hou, W.; Xiong, Z.; Wang, C.; Chen, H. Enhanced ant colony algorithm with communication mechanism for mobile robot path planning. Robot. Auton. Syst. 2021, 148, 103949. [Google Scholar] [CrossRef]
- Stodola, P.; Otřísal, P.; Hasilová, K. Adaptive ant colony optimization with node clustering applied to the Travelling Salesman Problem. Swarm Evol. Comput. 2022, 70, 101056. [Google Scholar] [CrossRef]
- Xing, H.; Zhu, J.; Qu, R.; Dai, P.; Luo, S.; Iqbal, M.A. An ACO for energy-efficient and traffic-aware virtual machine placement in cloud computing. Swarm Evol. Comput. 2021, 68, 101012. [Google Scholar] [CrossRef]
- Wang, Z.; Xing, H.; Li, T.; Yang, Y.; Qu, R.; Pan, Y. A Modified Ant Colony Optimization Algorithm for Network Coding Resource Minimization. IEEE Trans. Evol. Comput. 2015, 20, 325–342. [Google Scholar] [CrossRef]
- Lei, J.X.; Sun, Y.; Zhu, H.J. Improved ant colony optimization algorithm for vehicle routing problems with time window. Comput. Integr. Manuf. Syst. 2022, 28, 3535–3544. [Google Scholar] [CrossRef]
- Archetti, C.; Bianchessi, N.; Speranza, M.G. Branch-and-cut algorithms for the split delivery vehicle routing problem. Eur. J. Oper. Res. 2014, 238, 685–698. [Google Scholar] [CrossRef]
- Ferreira, K.M.; de Queiroz, T.A.; Toledo, F.M.B. An exact approach for the green vehicle routing problem with two-dimensional loading constraints and split delivery. Comput. Oper. Res. 2021, 136, 105452. [Google Scholar] [CrossRef]
- Wolfinger, D.; Salazar-González, J.-J. The pickup and delivery problem with split loads and transshipments: A branch-and-cut solution approach. Eur. J. Oper. Res. 2020, 289, 470–484. [Google Scholar] [CrossRef]
- Hernández-Pérez, H.; Salazar-González, J.-J. A Branch-and-cut algorithm for the split-demand one-commodity pickup-and-delivery travelling salesman problem. Eur. J. Oper. Res. 2021, 297, 467–483. [Google Scholar] [CrossRef]
- Casazza, M.; Ceselli, A.; Calvo, R.W. A route decomposition approach for the single commodity Split Pickup and Split Delivery Vehicle Routing Problem. Eur. J. Oper. Res. 2019, 289, 897–911. [Google Scholar] [CrossRef]
- Li, J.L.; Qin, H.; Shen, H.X.; Tong, X.; Xu, Z. Exact algorithms for the multiple depot vehicle scheduling problem with heterogeneous vehicles, split loads and toll-by-weight scheme. Comput. Ind. Eng. 2022, 168, 108137. [Google Scholar] [CrossRef]
- Gschwind, T.; Bianchessi, N.; Irnich, S. Stabilized branch-price-and-cut for the commodity-constrained split delivery vehicle routing problem. Eur. J. Oper. Res. 2019, 278, 91–104. [Google Scholar] [CrossRef]
- Li, J.; Qin, H.; Baldacci, R.; Zhu, W. Branch-and-price-and-cut for the synchronized vehicle routing problem with split delivery, proportional service time and multiple time windows. Transp. Res. Part E Logist. Transp. Rev. 2020, 140, 101955. [Google Scholar] [CrossRef]
- Xia, Y.K.; Deng, Y.D.; Pang, Y.; Wang, Z.W.; Gao, L. Fresh food vehicle routing problem with split deliveries and customer classification. Comput. Integr. Manuf. Syst. 2021, 27, 1238–1248. [Google Scholar] [CrossRef]
- Fan, H.M.; Zhang, X.; Ren, X.X.; Liu, P. Optimization of multi-depot open split delivery vehicle routing problem with simultaneous delivery and pick-up. Syst. Eng.—Theory Pract. 2021, 41, 1521–1534. [Google Scholar] [CrossRef]
- Gu, W.; Cattaruzza, D.; Ogier, M.; Semet, F. Adaptive large neighborhood search for the commodity constrained split delivery VRP. Comput. Oper. Res. 2019, 112, 104761. [Google Scholar] [CrossRef]
- Moshref-Javadi, M.; Lee, S. The customer-centric, multi-commodity vehicle routing problem with split delivery. Expert Syst. Appl. 2016, 56, 335–348. [Google Scholar] [CrossRef]
- Guo, F.; Huang, Z.; Huang, W. Heuristic approaches for a vehicle routing problem with an incompatible loading constraint and splitting deliveries by order. Comput. Oper. Res. 2021, 134, 105379. [Google Scholar] [CrossRef]
- Dror, M.; Laporte, G.; Trudeau, P. Vehicle routing with split deliveries. Discret. Appl. Math. 1994, 50, 239–254. [Google Scholar] [CrossRef]
- Dorigo, M.; Gambardella, L. Ant colony system: A cooperative learning approach to the traveling salesman problem. IEEE Trans. Evol. Comput. 1997, 1, 53–66. [Google Scholar] [CrossRef]
- Stutzle, T.; Hoos, H. Max-min ant system and local search for the traveling salesman problem. In Proceedings of the 1997 IEEE International Conference on Evolutionary Computation, Indianapolis, IN, USA, 13–16 April 1997. [Google Scholar] [CrossRef]
- Zhou, X.C.; Zhou, K.J.; Wang, L.; Liu, C.; Huang, X. Review of green vehicle routing model and its algorithm in logistics distribution. Syst. Eng.—Theory Pract. 2021, 41, 213–230. [Google Scholar] [CrossRef]
- Sabar, N.R.; Goh, S.L.; Turky, A.; Kendall, G. Population-based iterated local search approach for dynamic vehicle routing problems. IEEE Trans. Autom. Sci. Eng. 2022, 19, 2933–2943. [Google Scholar] [CrossRef]
- Sui, L.S.; Tang, J.F.; Pan, Z.D.; Liu, S.A. Using ant colony algorithm to solve the vehicle routing problem with separable demand. In Proceedings of the 2008 Chinese Control and Decision Conference, Yantai, China, 2–4 July 2008. [Google Scholar]
- Xie, Y. The Study of Logistics Vehicle Routing Problem with Split Demand. Master’s Thesis, Tongji University, Shanghai, China, 2006. [Google Scholar]
- Belenguer, J.M.; Martinez, M.C.; Mota, E. A lower bound for the split delivery vehicle routing problem. Oper. Res. 2000, 48, 801–810. [Google Scholar] [CrossRef]
- Wang, Y.; Han, T.; Jiang, X.; Yan, Y.; Liu, H. Path Planning of Pattern Transfer Based on Dual-Operator and a Dual-Population Ant Colony Algorithm for Digital Mask Projection Lithography. Entropy 2020, 22, 295. [Google Scholar] [CrossRef]
- Xiang, T.; Pan, D.Z. Clustering algorithm for split delivery vehicle routing problem. J. Comput. Appl. 2016, 36, 3141–3145. [Google Scholar]
- Jiang, T. Artificial bee colony algorithm for split delivery vehicle routing Problem. J. Sichuan Univ. Sci. Eng. (Nat. Sci. Ed.) 2017, 30, 6–9. [Google Scholar]
- Liu, W.S.; Huang, J. Two-stage algorithm for split delivery vehicle routing problem. J. Jimei Univ. (Nat. Sci.) 2011, 16, 38–44. [Google Scholar] [CrossRef]
- Li, H.F.; Huang, Z.C.; Zhang, Q.; Zhan, H.; Tan, Q. Improved pyramid evolution strategy for solving split delivery vehicle routing problem. J. Comput. Appl. 2021, 41, 300–306. [Google Scholar] [CrossRef]







| Type | Algorithm | Author(s) |
|---|---|---|
| Exact algorithm | Branch-and-cut algorithm | Archetti et al. [28] |
| Ferreira et al. [29] | ||
| Wolfinger et al. [30] | ||
| Hernández-Pérez et al. [31] | ||
| Branch-and-price algorithm | Casazza et al. [32] | |
| Li et al. [33] | ||
| Branch-price-and-cut algorithm | Gschwind et al. [34] | |
| Li et al. [35] | ||
| Heuristic algorithm | Tabu search algorithm | Qiu et al. [8] |
| Aleman et al. [9] | ||
| Xia et al. [36] | ||
| Genetic algorithm | Jiang et al. [10] | |
| Wilck et al. [11] | ||
| Fan et al. [37] | ||
| Particle swarm algorithm | Shi et al. [12] | |
| Qing et al. [13] | ||
| Variable neighborhood search algorithm | Chen et al. [14] | |
| Han et al. [15] | ||
| Large neighborhood search algorithm | Wolfinger [16] | |
| Gasque et al. [17] | ||
| Gu et al. [38] | ||
| Ant colony algorithm | Tang et al. [18] | |
| Mcnabb et al. [19] | ||
| Yang et al. [20] | ||
| Simulated annealing algorithm | Moshref-Javadi et al. [39] | |
| Guo et al. [40] |
| Symbol | Definition |
|---|---|
| N | The number of customers. |
| M | The minimum number of vehicles, the value of which is shown in Equation (1). |
| V | The set of depot and customer points, including 0 and Vc, where 0 represents the depot and Vc = {1, 2, …, N} represents the customer set. |
| dij | The distance between customers i and j. |
| qi | The demand of customer i. |
| Q | The capacity of each vehicle. |
| The indicator of whether edge (i, j) has been traversed by vehicle m, as shown by Equation (2). | |
| Customer i’s demand supplied by vehicle m. |
| Name 1 | N 2 | D 3 | Q 4 | M 5 | BKS 6 |
|---|---|---|---|---|---|
| S51D1 | 50 | [⌈0.01Q⌉, ⌊0.1Q⌋] | 160 | 3 | 458 |
| S51D2 | 50 | [⌈0.1Q⌉, ⌊0.3Q⌋] | 160 | 9 | 726 |
| S51D3 | 50 | [⌈0.1Q⌉, ⌊0.5Q⌋] | 160 | 15 | 972 |
| S51D4 | 50 | [⌈0.1Q⌉, ⌊0.9Q⌋] | 160 | 27 | 1677 |
| S51D5 | 50 | [⌈0.3Q⌉, ⌊0.7Q⌋] | 160 | 23 | 1440 |
| S51D6 | 50 | [⌈0.7Q⌉, ⌊0.9Q⌋] | 160 | 41 | 2327 |
| S76D1 | 75 | [⌈0.01Q⌉, ⌊0.1Q⌋] | 160 | 4 | 594 |
| S76D2 | 75 | [⌈0.1Q⌉, ⌊0.3Q⌋] | 160 | 15 | 1147 |
| S76D3 | 75 | [⌈0.1Q⌉, ⌊0.5Q⌋] | 160 | 23 | 1474 |
| S76D4 | 75 | [⌈0.1Q⌉, ⌊0.9Q⌋] | 160 | 37 | 2257 |
| S101D1 | 100 | [⌈0.01Q⌉, ⌊0.1Q⌋] | 160 | 5 | 716 |
| S101D2 | 100 | [⌈0.1Q⌉, ⌊0.3Q⌋] | 160 | 20 | 1393 |
| S101D3 | 100 | [⌈0.1Q⌉, ⌊0.5Q⌋] | 160 | 31 | 1975 |
| S101D5 | 100 | [⌈0.3Q⌉, ⌊0.7Q⌋] | 160 | 48 | 2915 |
| Name 1 | N | Q | D(avg) 2 | D(std) 3 | BKS |
|---|---|---|---|---|---|
| kelly01 | 240 | 550 | 20 | 10 | 5646.46 |
| kelly02 | 320 | 700 | 20 | 10 | 8566.04 |
| kelly03 | 400 | 900 | 20 | 10 | 11,649.06 |
| kelly04 | 480 | 1000 | 20 | 10 | 14,639.32 |
| α | β | λ | ρs | ρmax | ant_num |
|---|---|---|---|---|---|
| 2 | 8 | 0.5 | 0.2 | 0.8 | 40 |
| Algorithm | Best Solution | Average Solution | Time/s 1 | NV 2 | Iterations 3 |
|---|---|---|---|---|---|
| CA | 1721.7 | 1728.9 | 1.33 | 10 | 500 |
| PSO | 1722.1 | - | - | 10 | 200 |
| ACO | 1836.0 | - | - | 10 | 1000 |
| ABC | 1757.6 | 1785.7 | 1.71 | 10 | 50 |
| PSA | 1827.7 | 1832.3 | 2.11 | 10 | 500 |
| IPES | 1705.8 | - | 4.60 | 10 | 100 |
| IACA | 1695.8 | 1713.1 | 1.30 | 10 | 60 |
| Algorithm | Best Solution | Average Solution | Time/s | NV | Iterations |
|---|---|---|---|---|---|
| CA | 172.5 | 173.9 | 1.35 | 8 | 500 |
| PSO | 171.1 | - | - | 8 | 200 |
| IPES | 170.5 | - | - | 8 | 100 |
| TSA | 186.4 | 192.3 | 168.60 | 8 | 1000 |
| IACA | 170.5 | 170.8 | 1.40 | 8 | 60 |
| Algorithm | Best Solution | Average Solution | Time/s | NV | Iterations |
|---|---|---|---|---|---|
| PSO | 208.24 | 213.19 | - | 7 | 200 |
| IACA | 199.58 | 208.14 | 3.75 | 7 | 60 |
| Dataset | BKS | Best Solution | Average Solution | ||||||||
|---|---|---|---|---|---|---|---|---|---|---|---|
| TACA | ASGCT * | ACGCT * | MMGCT * | IACA | TACA | ASGCT * | ACGCT * | MMGCT * | IACA | ||
| S51D1 | 458 | 545.84 | 520.94 | 516.26 | 492.34 | 466.25 | 551.32 | 526.55 | 525.63 | 507.75 | 480.30 |
| S51D2 | 726 | 841.20 | 833.25 | 816.11 | 808.92 | 727.00 | 847.13 | 838.63 | 825.65 | 817.81 | 741.47 |
| S51D3 | 972 | 1116.38 | 1075.30 | 1065.46 | 1060.03 | 994.01 | 1126.52 | 1083.42 | 1075.53 | 1070.38 | 1024.40 |
| S51D4 | 1677 | 1729.55 | 1705.87 | 1697.93 | 1678.50 | 1639.69 | 1741.37 | 1709.36 | 1702.94 | 1690.17 | 1659.02 |
| S51D5 | 1440 | 1470.59 | 1431.80 | 1425.05 | 1421.95 | 1385.01 | 1482.30 | 1440.47 | 1438.78 | 1429.32 | 1407.64 |
| S51D6 | 2327 | 2409.84 | 2325.30 | 2310.76 | 2293.69 | 2261.11 | 2429.45 | 2330.89 | 2324.90 | 2308.66 | 2273.79 |
| S76D1 | 594 | 686.80 | 681.42 | 665.83 | 661.45 | 611.84 | 695.27 | 688.55 | 681.83 | 676.22 | 631.47 |
| S76D2 | 1147 | 1249.53 | 1241.94 | 1233.37 | 1228.70 | 1151.66 | 1252.24 | 1245.00 | 1240.26 | 1238.11 | 1190.20 |
| S76D3 | 1474 | 1655.48 | 1619.65 | 1611.79 | 1568.74 | 1540.38 | 1680.31 | 1627.20 | 1619.21 | 1607.64 | 1567.79 |
| S76D4 | 2257 | 2374.50 | 2306.21 | 2292.60 | 2279.72 | 2229.19 | 2391.05 | 2312.63 | 2302.74 | 2296.79 | 2268.51 |
| S101D1 | 716 | 883.14 | 868.54 | 853.58 | 793.77 | 735.65 | 890.21 | 877.22 | 876.39 | 842.56 | 760.50 |
| S101D2 | 1393 | 1642.72 | 1622.76 | 1606.94 | 1546.38 | 1510.85 | 1647.67 | 1631.83 | 1627.15 | 1602.27 | 1553.99 |
| S101D3 | 1975 | 2127.84 | 2110.99 | 2096.58 | 2082.30 | 2026.97 | 2137.85 | 2118.74 | 2103.45 | 2096.16 | 2063.99 |
| S101D5 | 2915 | 3088.61 | 3036.29 | 3025.76 | 3014.29 | 2957.87 | 3094.72 | 3053.90 | 3038.33 | 3029.32 | 2990.59 |
| Dataset | TACA/s | ASGCT/s | ACGCT/s | MMGCT/s | IACA/s |
|---|---|---|---|---|---|
| S51D1 | 22.28 | 21.84 | 19.20 | 19.06 | 19.59 |
| S51D2 | 24.25 | 22.58 | 20.13 | 20.05 | 20.09 |
| S51D3 | 26.31 | 23.19 | 21.63 | 20.87 | 20.86 |
| S51D4 | 30.77 | 24.41 | 22.23 | 21.90 | 22.50 |
| S51D5 | 29.43 | 23.62 | 21.84 | 21.01 | 21.53 |
| S51D6 | 35.78 | 25.87 | 24.15 | 23.21 | 24.22 |
| S76D1 | 45.50 | 43.13 | 38.05 | 37.76 | 39.59 |
| S76D2 | 47.87 | 44.11 | 39.36 | 41.42 | 40.67 |
| S76D3 | 51.13 | 45.81 | 41.08 | 42.47 | 41.19 |
| S76D4 | 56.60 | 46.92 | 42.44 | 44.58 | 43.10 |
| S101D1 | 73.53 | 72.02 | 65.24 | 66.15 | 66.95 |
| S101D2 | 80.54 | 73.81 | 65.36 | 68.58 | 67.93 |
| S101D3 | 85.66 | 75.20 | 67.11 | 67.49 | 69.53 |
| S101D5 | 94.52 | 76.83 | 69.51 | 69.93 | 71.19 |
| Dataset | BKS | Best Solution | Average Solution | ||||||||
|---|---|---|---|---|---|---|---|---|---|---|---|
| TACA | ASGCT | ACGCT | MMGCT | IACA | TACA | ASGCT | ACGCT | MMGCT | IACA | ||
| kelly01 | 5646.46 | 5879.58 | 5794.95 | 5769.36 | 5754.20 | 5662.98 | 5893.62 | 5841.34 | 5837.55 | 5824.72 | 5684.91 |
| kelly02 | 8566.04 | 9195.57 | 9176.28 | 9117.09 | 9077.50 | 8654.37 | 9257.48 | 9208.78 | 9170.32 | 9152.06 | 8735.00 |
| kelly03 | 11,649.06 | 12,428.92 | 12,282.97 | 11,935.64 | 11,843.65 | 11,356.66 | 12,813.61 | 12,361.17 | 12,345.98 | 12,078.94 | 11,486.70 |
| kelly04 | 14,639.32 | 15,909.32 | 15,731.11 | 15,553.70 | 15,065.53 | 14,433.08 | 16,356.85 | 15,932.12 | 15,777.64 | 15,593.20 | 14,679.80 |
| Dataset | ASGCT/% | ACGCT/% | MMGCT/% | IACA/% |
|---|---|---|---|---|
| kelly01 | 1.44 | 1.87 | 2.13 | 3.68 |
| kelly02 | 0.21 | 0.85 | 1.28 | 5.89 |
| kelly03 | 1.17 | 3.97 | 4.71 | 8.63 |
| kelly04 | 1.12 | 2.24 | 5.31 | 9.28 |
| Dataset | TACA/s | ASGCT/s | ACGCT/s | MMGCT/s | IACA/s |
|---|---|---|---|---|---|
| kelly01 | 1157.84 | 1104.85 | 993.33 | 989.58 | 994.36 |
| kelly02 | 2039.38 | 1943.89 | 1733.78 | 1757.55 | 1747.29 |
| kelly03 | 3251.28 | 3100.41 | 2860.84 | 2912.49 | 2904.04 |
| kelly04 | 4111.77 | 4008.17 | 3978.55 | 4004.51 | 3923.41 |
| Dataset | ASGCT/% | ACGCT/% | MMGCT/% | IACA/% |
|---|---|---|---|---|
| kelly01 | 4.58 | 14.21 | 14.53 | 14.12 |
| kelly02 | 4.68 | 14.98 | 13.82 | 14.32 |
| kelly03 | 4.64 | 12.01 | 10.42 | 10.68 |
| kelly04 | 2.52 | 3.24 | 2.61 | 4.58 |
Disclaimer/Publisher’s Note: The statements, opinions and data contained in all publications are solely those of the individual author(s) and contributor(s) and not of MDPI and/or the editor(s). MDPI and/or the editor(s) disclaim responsibility for any injury to people or property resulting from any ideas, methods, instructions or products referred to in the content. |
© 2024 by the authors. Licensee MDPI, Basel, Switzerland. This article is an open access article distributed under the terms and conditions of the Creative Commons Attribution (CC BY) license (https://creativecommons.org/licenses/by/4.0/).
Share and Cite
Ma, X.; Liu, C. Improved Ant Colony Algorithm for the Split Delivery Vehicle Routing Problem. Appl. Sci. 2024, 14, 5090. https://doi.org/10.3390/app14125090
Ma X, Liu C. Improved Ant Colony Algorithm for the Split Delivery Vehicle Routing Problem. Applied Sciences. 2024; 14(12):5090. https://doi.org/10.3390/app14125090
Chicago/Turabian StyleMa, Xiaoxuan, and Chao Liu. 2024. "Improved Ant Colony Algorithm for the Split Delivery Vehicle Routing Problem" Applied Sciences 14, no. 12: 5090. https://doi.org/10.3390/app14125090
APA StyleMa, X., & Liu, C. (2024). Improved Ant Colony Algorithm for the Split Delivery Vehicle Routing Problem. Applied Sciences, 14(12), 5090. https://doi.org/10.3390/app14125090

