Next Article in Journal
Sideband Vibro-Acoustics Suppression and Numerical Prediction of Permanent Magnet Synchronous Motor Based on Markov Chain Random Carrier Frequency Modulation
Previous Article in Journal
A Lightweight Method for Graph Neural Networks Based on Knowledge Distillation and Graph Contrastive Learning
 
 
Font Type:
Arial Georgia Verdana
Font Size:
Aa Aa Aa
Line Spacing:
Column Width:
Background:
Article

Analysis of Shafting System Vibration Characteristics for Mixed-Flow Hydropower Units Considering Sand Wear on Turbine Blades

by
Wenhua Chen
,
Shuo Wang
,
Haifeng Chen
,
Weiliang Zhang
,
Jianfeng Ma
and
Jun Pan
*
National and Local Joint Engineering Research Center of Reliability Analysis and Testing for Mechanical and Electrical Products, Zhejiang Sci-Tech University, Hangzhou 310018, China
*
Author to whom correspondence should be addressed.
Appl. Sci. 2024, 14(11), 4806; https://doi.org/10.3390/app14114806
Submission received: 28 April 2024 / Revised: 24 May 2024 / Accepted: 31 May 2024 / Published: 2 June 2024
(This article belongs to the Section Mechanical Engineering)

Abstract

Addressing the issue of increased shaft-system vibration in high-altitude mixed-flow hydropower generating units due to sand wear on turbine blades, a three-dimensional model of a specific mixed-flow water turbine was constructed. CFD numerical simulations were employed to analyze the fluid exciting force acting on the turbine runner under varying degrees of blade wear. An approximate analytical model was then established for the variation of fluid exciting force in the turbine runner system using the Fourier harmonic analysis method. A multi-degree-of-freedom mathematical model of flexural and inclined coupling vibration of a hydropower unit’s shafting, considering blade wear, was constructed. The nonlinear dynamic model was numerically calculated by the Runge–Kutta method. The vibration responses of the shafting of hydropower units under different wear degrees were obtained by means of a time-domain diagram, frequency-domain diagram, axis-locus diagram, phase-locus diagram, and Poincare mapping. Based on the formula for calculating the wear amount of the blade material, the runner amplitude degradation trajectory model was established, and the pseudo-failure time of turbine blades was determined according to the allowable value of amplitude.

1. Introduction

Hydropower, as a green, renewable, and clean energy, is of great significance in promoting economic development, reducing pollution, and reducing greenhouse gas emissions [1,2,3], and has been widely used worldwide [4]. However, hydropower development in high-altitude areas is faced with severe conditions such as high velocity and large head variation, and a large number of high-hardness sand particles contained in the water flow can easily lead to the wear failure of turbine runner blades operating in this area [5]. When the runner blades are worn, the fluid exciting force on the turbine runner system will change, which easily induces abnormal vibration of the main shaft system of the hydropower units, leading to security risks and even economic losses [6]. In order to avoid the failure of hydropower units caused by severe blade wear, it is necessary to judge the wear degree of turbine runner blades in time. Therefore, the vibration characteristics of the shaft system of mixed-flow hydropower units are analyzed in this paper, considering the different wear degrees of the runner blades; the wear degree of underwater blades can be judged from the changes of shafting vibration characteristics that can be monitored.
The wear of turbine runner blades is a complicated problem involving hydraulics, mechanical engineering, and material science. Kang Min-Woo et al. [7] found that the wear degree near the runner outlet was serious, and the wear rate was almost linearly positively correlated with the amount of silt. Chen et al. [8] found that when cavitation corrosion acts on the surface of ductile metal materials, it will lead to plastic deformation and fatigue damage, which will further aggravate the wear of the materials. Mack R et al. [9] found that the runner wear degree is highly correlated with the solid particle size, and a change in the shape parameter of the movable guide vanes will affect the fluid pressure pulsation. According to the studies of various scholars, wear is usually affected by a variety of factors, and the wear degree is most serious at the water edge of the blade [10,11]. Therefore, based on the above research results and practical engineering problems, it is necessary to take the wear degree of the runner blade into consideration when analyzing the fluid exciting force of the turbine runner during its long life cycle, so as to obtain a more accurate change trend of the fluid exciting force.
The dynamic behavior of the main shaft system is greatly affected by the fluid exciting force of the turbine runner system, and the changing trend of the force is the premise of the analysis of the unit dynamic characteristics. At present, the research on the internal flow field of hydraulic turbines mainly focus on the pressure pulsation of flow fields and the fluid exciting force. Chiappa et al. [12] found that the vibration characteristics of the Karman vortex band are the key factors leading to blade erosion and fatigue failure. Grein and his team [13] carried out detailed numerical simulation and experimental research on the blade vortex, analyzed the vibration causes of the turbine, and proposed the vibration reduction methods of the unit. Vu et al. [14,15] found that there is a large deviation between the CFD calculation results and the test results when deviating from the design working conditions. Therefore, proper analysis and restriction of the working conditions should be carried out in the numerical simulation. Rodriguez et al. [16] found that the frequency components of static and static interference are mainly blade passing frequency and its harmonics. Zhai et al. [17] found that in the low-load working zone, the pressure distribution of the gap between the upper crown and the lower ring was obviously uneven, resulting in a large gap imbalance force. Saeed et al. [18] found that the pressure difference between the inlet and outlet of the runner and the pressure difference between the pressure side and the suction side of the blade was large, which led to the unbalanced force and torque on the turbine main shaft. Although the pressure pulsation and exciting force of the internal flow field of the hydraulic turbine have been studied deeply, the influence of the blade wear degree on the flow field is rarely taken into account. Therefore, this paper will analyze the flow field of runner blades under different wear degrees, explore the relationship between the fluid exciting force and runner blade wear degrees, and provide a basis for the subsequent analysis of the shafting vibration characteristics of hydropower units in this paper.
The shafting vibration of hydropower units belongs to the category of rotor dynamics and is a research field involving nonlinear vibration caused by complex exciting forces in the operation of the main shaft system. Bai et al. [19] found that the random fluid exciting force has a great impact on the water guide bearing and runner system, but it is mainly manifested in vibration form and stability, rather than vibration amplitude. Zhang et al. [20] analyzed the bend-torsional coupled vibration response of the shafting of hydropower units, but only considered the linear steady fluid exciting force on the runner, without taking into account the transient flow characteristics of the turbine. Based on the Lagrange equation, Mokhtar et al. [21] studied the influence of parameters such as clearance and the friction coefficient at different rotational speeds and found that some parameter values would produce special friction-related features. Based on the Lagrange equation, Li et al. [22] established a mathematical model of coupling the adjustment system and the spindle system and analyzed the influence of the gyroscopic effect and axial deviation on the stability of the system. Zhang et al. [23] found that when the nonlinear sealing force model is adopted and there is no other excitation influence, the axis locus of the runner does not exceed the seal clearance even if the runner is unstable, and the friction probability between the runner system and the seal system is small. An et al. [24] derived the energy equation of the runner and blade of a hydraulic turbine and found that with the continuous increase in the mass of the runner blade, the bifurcation phenomenon would occur in the runner system. Zhuang et al. [25] considered the combined effects of hydraulic, mechanical, and electromagnetic forces and found that the hydraulic instability caused by changes in the blade outlet flow angle, outlet diameter, and guide blade opening determines the overall trend of the dynamic characteristics of shafting. However, the influence of the fluid exciting force change caused by the blade wear degree on spindle vibration characteristics was not considered in the present study.
Therefore, the relationship between the turbine blade wear degree and the vibration response of the shaft system was studied in this paper. A turbine model with blades exhibiting various degrees of wear was developed to analyze the effects of blade wear on the fluid exciting force. The exciting force was subsequently integrated into a dynamic model of the hydropower units shaft system to analyze the vibration response under different wear conditions. A mathematical relationship between the blade wear and the vibration response of the units was established. This relationship was intended to utilize measurable vibration characteristics to assess the wear level of turbine runner blades, providing a foundation for future fault prediction in hydropower units.

2. Calculation of Runner Fluid Exciting Force Considering Blade Wear

2.1. 3D Model and Mesh Division

In this study, a Francis turbine applied in a river basin is taken as the research object, and the SST k-ꞷ turbulence calculation model is used to study the internal flow field of the turbine system. The turbine is mainly composed of five parts, including volute, fixed guide vanes, movable guide vanes, runner, and draft pipe. The corresponding internal flow field model is established, as shown in Figure 1. Among them, the runner has a total of 30 blades, which are alternately arranged with long and short blades, and 15 long and short blades each. The number of fixed guide vanes is 14, including a special guide vane, and the number of movable guide vanes is 28. The specific parameters of the turbine system are shown in Table 1.
In the process of CFD numerical simulation, grid division is one of the most important steps, and the quality of the grid directly affects the accuracy of the calculation results. Because there are many complex surfaces of the turbine, and the shape of the runner blade is irregular, unstructured mesh is used in this paper to disperse the complex flow channels inside the turbine system. Figure 2 shows the grid division results of each fluid calculation domain of the turbine.
To determine the number of grids with the appropriate density, grid independence verification is required to ensure that the selected grid density does not significantly affect the results. In this paper, grid independence is evaluated by means of turbine efficiency. The calculation formula of turbine efficiency is as follows:
η = π n M 30 γ Q H ,
where n is the unit speed. γ is the volumetric weight of the water; 9810 N/m3 is taken. Q is the turbine flow rate. M is the spindle output torque. H is the hydraulic turbine net head, and its calculation formula is as follows:
H = Z 1 Z 2 + p 1 p 2 γ + v 1 2 v 2 2 2 g ,
where Zi is the height of the inlet and outlet section of the turbine relative to the datum section. pi is the inlet and outlet measuring section pressure. vi is the average speed of the inlet and outlet measuring section.
Figure 3 shows the unit efficiency corresponding to different grid numbers. If the efficiency difference between the two adjacent calculations is within a certain range, it can be considered that the selected grid meets the requirement of independence. In this paper, the grid number of 5.93 × 106 is used for the numerical simulation of the full flow channel of the turbine. The grid number meets the requirement of grid independence, and the calculation efficiency and accuracy are both achieved.

2.2. Calculation Formula of Blade Wear

Based on the relationship between the blade wear amount and running time, the blade wear amount in different running periods is obtained in this section. The blade material wear formula of the object studied in this paper can be obtained from reference [26], as follows:
Δ H = 0.65 × 10 9 S W 3.7 T ,
where ∆H is the wear thickness. S is the sediment content. W is the flow rate of fluid erosion. T is run time.
In Equation (3), the flow rate W can be obtained from the flow rate cloud diagram of the fluid calculation results, as shown in Figure 4. In this paper, 35.37 m/s is taken.
Hydropower units operate for about 300 days in a year, including 120 days in flood season and 180 days in non-flood season. According to reference [26], the sediment content S1 in flood season is 1.93 kg/m3, while the sediment content S2 in non-flood season is 0.84 kg/m3. According to Equation (3), the corresponding wear thickness of the blade can be calculated with the operation period of 1 year, 3 years, 5 years, and 7 years, respectively. The results are shown in Table 2, and the runner blade model is modified based on this.

2.3. Numerical Simulation of Radial Fluid Exciting Force of Runner

Figure 5 shows the time-domain comparison of the radial fluid exciting force on the runner at different wear thicknesses under the conditions of rated speed and rated inlet flow. As can be seen from the figure, no matter what kind of wear state the runner is in, the radial exciting force it is subjected to shows significant periodic characteristics in general.
Figure 6 shows the frequency-domain comparison of the radial exciting force of the runner under different wear degrees (the influence of the DC component has been removed). When the blade is not worn, the amplitude of the exciting force in the x direction and y direction is about 320 N and 360 N, respectively, and the amplitude of the blade frequency is slightly higher than that at the rotation frequency. With an increase in the blade wear degree, the amplitude of the exciting force at the rotation frequency and the blade frequency shows an increasing trend. The reason is that the blade wear leads to a decrease in the guiding performance of the runner system, the energy conversion efficiency becomes low, and part of the fluid energy is converted into radial force. However, the excitation force at high frequency has a strong correlation with the inherent characteristics of the blade and has a great influence on the key vortex structures such as the blade passage vortex, the Karman vortex, and the draft tube vortex zone.
Figure 7 shows the trend diagram of the radial exciting force amplitude changing with the blade wear degree at different frequencies. Taking the radial exciting force amplitude of the runner in the X-axis direction as an example, when the blade wear thickness gradually increases, the amplitude of the rotating frequency exciting force increases from 321.53 N to 981.82 N, increasing by about 2.05 times. The amplitude of the blade frequency increased from 472.44 N to 1263.59 N, increasing by about 1.67 times. The amplitude of the exciting force at the frequency of the guide vanes fluctuated at around 500 N, and there is no obvious increasing trend because the generation area of the static and static interference frequency of the guide vanes is in front of the runner inlet, and the wear of the blade has little influence on the upstream flow field. In addition, by observing the changing trend of the amplitude of the exciting force at the rotation frequency and blade frequency, it can be seen that the sudden change in the amplitude mainly occurs when the blade is just worn. Subsequently, with the continuous deepening of the blade wear degree, the amplitude has a gradual increasing trend.

2.4. Trend and Approximate Analytical Model of Radial Fluid Excitation Force

According to the above analysis results, the frequency components of the radial excitation force are mainly composed of rotation frequency, blade frequency, and guide vane frequency. Therefore, the Fourier harmonic analysis method can be used to obtain the approximate analytical expression of the fluid excited force; the general expression is as follows:
F ( t ) = i = 1 n [ a i cos ( ω i t ) + b i sin ( ω i t ) ] + c i ,
where i represents the frequency value; ai and bi, respectively, represent the amplitude (or coefficient) of the cosine and sine components at the corresponding frequency; and ci represents the DC component (the constant part).
The expression of the exciting force of the flow in x and y directions is as follows:
F x ( t ) = F x r ( t ) + F x g ( t ) + F x b ( t ) = A 1 x cos ( ω t ) + A 2 x cos ( 28 ω t ) + A 3 x cos ( 30 ω t ) + B x ,
F y ( t ) = F y r ( t ) + F y g ( t ) + F y b ( t ) = A 1 y sin ( ω t ) + A 2 y sin ( 28 ω t ) + A 3 y sin ( 30 ω t ) + B y ,
where Fr, Fg, and Fb represent the exciting force at the rotation frequency, the exciting force at the guide vanes frequency, and the exciting force at the blade frequency, respectively. A1, A2, and A3 represent the amplitude values at the rotation frequency, guide vane frequency, and blade frequency, respectively. B represents the DC component of the exciting force.
According to the analysis results of the excitation force of the front throttle body, the values of each parameter in the formula can be obtained, as shown in Table 3 and Table 4.

3. Dynamics Modeling of Shafting of Hydropower Units

The main shaft-system structure of the hydropower-generating units is shown in Figure 8a. O1 and O2, respectively, represent the geometric centers of the generator rotor and the turbine runner, and B1, B2, and B3, respectively, represent the geometric centers of the upper guide bearing, the lower guide bearing, and the water guide bearing. The centroid of the rotating part is shown in Figure 8b. ( x i , y i ) is used to represent the centroid coordinates of the generator rotor and the turbine rotor, respectively, and ( x i + e sin ω t , y i + e cos ω t ) represents the centroid coordinates.
In order to facilitate the analysis, this paper adopts appropriate simplified assumptions: (1) In the modeling stage, the torsional motion and axial vibration of shafting are ignored, and only the radial displacement and inclination of the spindle system are analyzed. (2) Assume that all components of the spindle system behave isotropic during operation. In the rotation process of the disk, the angle of its rotation is defined as, where ω is the angular speed of the disk, and t is the time variable. Based on the coordinate function of the center of mass, the velocity coordinate function can be obtained by obtaining the first derivative of time, and the general expression of the translational kinetic energy of the center of mass of a disk can be derived:
T m = 1 2 m i [ ( x ˙ i e i φ ˙ sin φ ) 2 + ( y ˙ i + e i φ ˙ cos φ ) 2 ] ,
When considering the tilt of the shafting of hydropower units, the simplified expression of the rotational kinetic energy can be obtained according to the rotor dynamics and the principle of conservation of the momentum moment [22]:
T r = 1 2 [ J d i ( θ ˙ x i 2 + θ ˙ y i 2 ) + ( J p i + m i e i 2 ) ( φ ˙ 2 2 φ ˙ θ ˙ y i θ x i ) ] ,
By combining Equations (7) and (8), the total kinetic energy equation of the shafting of hydropower units can be obtained, as follows:
T = 1 2 m 1 ( x ˙ 1 2 + y ˙ 1 2 + e 1 2 φ ˙ 2 + 2 e 1 φ ˙ y ˙ 1 cos φ 2 e 1 φ ˙ x ˙ 1 sin φ ) + 1 2 m 2 ( x ˙ 2 2 + y ˙ 2 2 + e 2 2 φ ˙ 2 + 2 e 2 φ ˙ y ˙ 2 cos φ 2 e 2 φ ˙ x ˙ 2 sin φ ) + 1 2 ( J p 1 + m 1 e 1 2 ) ( φ ˙ 2 2 φ ˙ θ ˙ y 1 θ x 1 ) + 1 2 ( J p 2 + m 2 e 2 2 ) ( φ ˙ 2 2 φ ˙ θ ˙ y 2 θ x 2 ) + 1 2 J d 1 ( θ ˙ x 1 2 + θ ˙ y 1 2 ) + 1 2 J d 2 ( θ ˙ x 2 2 + θ ˙ y 2 2 ) ,
where m1 and m2 are the masses of the generator rotor and the turbine runner, respectively. Jp is the polar moment of inertia. Jd is the diameter moment of inertia. φ is the rotation angle of the rotor around the axis of rotation.
The potential energy equation of hydropower units’ shafting is [27]:
U = 1 2 [ K 1 ( x 1 2 + y 1 2 ) + K 2 ( x 2 2 + y 2 2 ) ] + K 3 ( x 1 2 + y 1 2 ) ( x 2 2 + y 2 2 ) ,
In Equation (10), there is:
{ K 1 = A 1 2 B 2 k 1 + ( c + d ) 2 ( b + c + d ) 2 k 2 + d 2 ( b + c + d ) 2 k 3 K 2 = A 2 2 B 2 k 1 + b 2 ( b + c + d ) 2 k 2 + ( b + c ) 2 ( b + c + d ) 2 k 3 K 3 = A 1 A 2 B 2 k 1 + b ( c + d ) ( b + c + d ) 2 k 2 + d ( b + c ) ( b + c + d ) 2 k 3 ,
where A1 = (a + b)(b + c + d), A2 = ab, B = b(b + c + d), k1, k2, k3 are the stiffness coefficients of the upper guide bearing, the lower guide bearing, and the water guide bearing, respectively.
By combining Equations (9) and (10) and following the principle of Lagrange mechanics, the Lagrange function of the main shaft system in hydropower generating units can be constructed, and its expression is:
L = T U = 1 2 i = 1 2 [ m i ( x ˙ i 2 + y ˙ i 2 + e i 2 φ ˙ 2 + 2 e i φ ˙ y ˙ i cos φ 2 e i φ ˙ x ˙ i sin φ ) ] + 1 2 i = 1 2 [ J d i ( θ ˙ x i 2 + θ ˙ y i 2 ) + ( J p i + m i e i 2 ) ( φ ˙ 2 2 φ ˙ θ ˙ y i θ x i ) ] 1 2 [ K 1 ( x 1 2 + y 1 2 ) + K 2 ( x 2 2 + y 2 2 ) ] K 3 ( x 1 2 + y 1 2 ) ( x 2 2 + y 2 2 ) ,
Through the previous analysis, the lateral displacement and deflection angle of the main shaft system of the hydropower generating units are selected as generalized displacement coordinates, namely qi = (x1, y1, x2, y2, θx1, θy1, θx2, θy2). The Lagrange equation can be expressed as:
d d t ( L q ˙ i ) L q i = Q i ,
where L is the Lagrange function, qi is the generalized coordinate, and Qi is the generalized force.
The external forces acting on the shafting of hydropower units can be described as:
{ Q x 1 = F x u m p c 1 x ˙ 1 k 4 θ x 1 Q y 1 = F y u m p c 1 y ˙ 1 + k 4 θ y 1 Q x 2 = F x c 2 x ˙ 2 k 4 θ x 2 Q y 2 = F y c 2 y ˙ 2 + k 4 θ y 2 Q θ x 1 = c 3 θ ˙ x 1 + k 4 y 1 k 5 θ x 1 Q θ y 1 = c 3 θ ˙ y 1 k 4 x 1 k 5 θ y 1 Q θ x 2 = c 3 θ ˙ x 2 + k 4 y 2 k 5 θ x 2 Q θ y 2 = c 3 θ ˙ y 2 k 4 x 2 k 5 θ y 2 ,
where c1, c2, and c3 are the rotor damping coefficient, turbine runner damping coefficient, and structure bending damping coefficient, respectively. k4 and k5 stiffness coefficients of the large axis inclination caused by force and torque, respectively, represent the ratio of torque change caused by the change in unit inclination when the main axis is tilted. Fx and Fy are the fluid excitation forces acting on the x and y directions of the turbine runner. Fx-ump and Fy-ump are the unbalanced magnetic forces acting on the x and y directions of the generator rotor.
In Equation (14), the nonlinear unbalanced magnetic tension [28] can be expressed as:
{ F x u m p = R L π k j 2 I j 2 4 μ 0 ( 2 Λ 0 Λ 1 + Λ 1 Λ 2 + Λ 2 Λ 3 ) cos γ F y u m p = R L π k j 2 I j 2 4 μ 0 ( 2 Λ 0 Λ 1 + Λ 1 Λ 2 + Λ 2 Λ 3 ) sin γ ,
where R is the radius of the generator rotor. L is the length of the generator rotor. kj is the fundamental wave coefficient of the magnetomotive force. Ij is the generator excitation current. μ0 is the permeability of air. γ is the rotation angle, and cos γ = x 1 / e , sin λ = y 1 / e . e is the radial displacement of the generator rotor, e = ( x 1 2 + y 1 2 ) 1 / 2 . ε is relative rotor eccentricity. δ0 is the average air gap length of the rotor. Λ n is the air gap permeability, which can be expressed as:
Λ n = { μ 0 δ 0 1 ε 2 ( n = 0 ) 2 μ 0 δ 0 1 ε 2 [ 1 1 ε 2 ε ] n ( n 1 ) ,
By substituting Equations (12) and (14) into the Lagrange equation, the differential equations of the dynamic motion of the spindle system can be obtained:
{ m 1 x ¨ 1 + c 1 x ˙ 1 + K 11 x 1 = m 1 e 1 ω 2 cos ω t + F x u m p k 4 θ x 1 m 1 y ¨ 1 + c 1 y ˙ 1 + K 11 y 1 = m 1 e 1 ω 2 sin ω t + F y u m p + k 4 θ y 1 m 2 x ¨ 2 + c 2 x ˙ 2 + K 22 x 2 = m 2 e 2 ω 2 cos ω t + F x k 4 θ x 2 m 2 y ¨ 2 + c 2 y ˙ 2 + K 22 y 2 = m 2 e 2 ω 2 sin ω t + F y + k 4 θ y 2 J d 1 θ ¨ x 1 + ( J p 1 + m 1 e 1 2 ) ω θ ˙ y 1 = c 3 θ ˙ x 1 + k 4 y 1 k 5 θ x 1 J d 1 θ ¨ y 1 ( J p 1 + m 1 e 1 2 ) ω θ ˙ x 1 = c 3 θ ˙ y 1 k 4 x 1 k 5 θ y 1 J d 2 θ ¨ x 2 + ( J p 2 + m 2 e 2 2 ) ω θ ˙ y 2 = c 3 θ ˙ x 2 + k 4 y 2 k 5 θ x 2 J d 2 θ ¨ y 2 ( J p 2 + m 2 e 2 2 ) ω θ ˙ x 2 = c 3 θ ˙ y 2 k 4 x 2 k 5 θ y 2 ,
where mi is the rotor mass, xi and yi are the radial displacement coordinates, θi is the inclination angle, J is the moment of inertia, K11 and K22 can be understood as the generalized stiffness, and the expressions are as follows:
{ K 11 = 2 K 1 + K 3 x 2 2 + y 2 2 x 1 2 + y 1 2 K 22 = 2 K 2 + K 3 x 1 2 + y 1 2 x 2 2 + y 2 2 ,

4. Results and Analysis

4.1. Vibration Response Analysis of Shafting under Different Blade Wear Degrees

Equation (17) is solved by the Runge–Kutta method; the values of the basic parameters of the shafting of hydropower units are shown in Table 5.
In this section, the vibration response of turbine shafting under different wear degrees is studied. Figure 9 and Figure 10 show the time-domain waveform of the transverse vibration response of the spindle system when the runner blades are in two wear states (0 mm and 22.461 mm) at rated speed. Under this operating condition, the time-domain waveforms of the generator rotor and the turbine runner system show strong uniformity and periodicity. Since the mean value of the fluid excited force on the turbine runner system is not zero (analysis results in Section 2), the excited force applied to the turbine runner system causes a corresponding shift in the system response. When the blade is worn, the vibration response amplitude of the generator rotor system increases slightly, which indicates that when the parameters and external excitation of the rotor system change, the influence will be transmitted to the generator rotor system along the main shaft, but the influence degree is small. As a system that directly interacts with the fluid, the turbine runner is greatly affected, and the amplitude of its transverse vibration response increases obviously.
It can be seen from the above figure that the vibration response time-domain diagram of the generator rotor changes little with the wear degree of the runner blade, and its trough only changes from −1.33 × 10−5 m to −1.38 × 10−5 m. The changing trend of the vibration response of the turbine runner system is very obvious. Figure 11 shows the time-domain comparison of the turbine runner system under five different wear degrees of the blades. The figure shows that the wear degree of runner blades significantly affects the lateral vibration response of the runner system. The peak-peak value of the amplitudes under different wear degrees in Figure 11 are extracted, and the results are shown in Table 6. The peak-peak value in the x direction increased by 1.01 times, while the peak-to-peak value in the y direction increased by 0.86 times during the transition from no wear to wear of 22.461 mm.
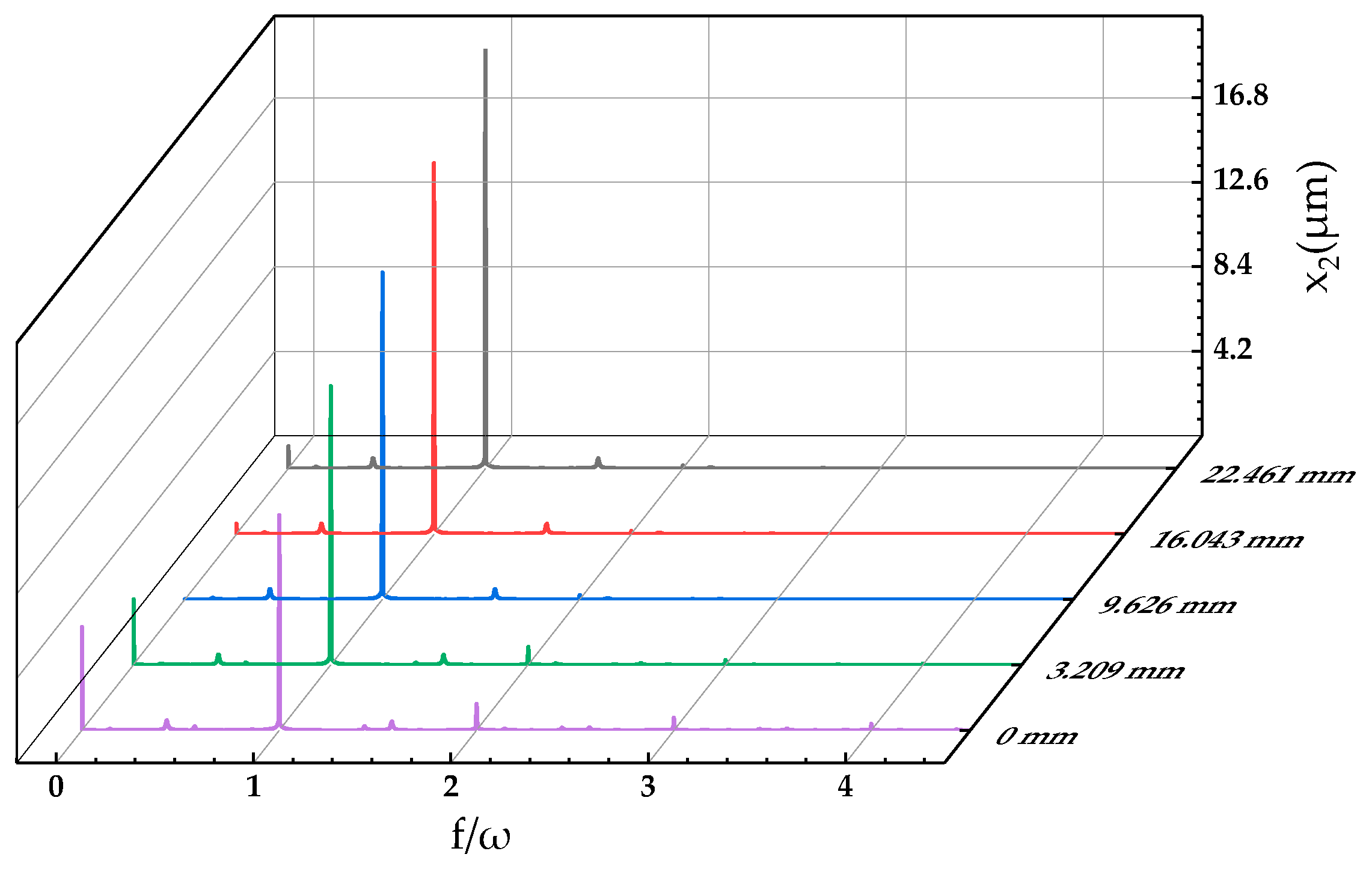
Figure 12 and Figure 13 are frequency-domain diagrams of the vibration response in the x direction when the rotor blades are in two wear states at a rated speed of the spindle system. It can be seen from the figure that the main vibration frequency of the generator rotor and the turbine runner is equal to the rotation frequency. The main frequency amplitude of the generator rotor increases by only 2.43%, while that of the turbine runner increases by 95.14%. The frequency component of the generator rotor appears at half frequency, which indicates that the spindle bending and tilting, considering the gyroscopic effect, causes a nonlinear coupled self-excited vibration. There is only a small peak value at half frequency of the response of the turbine runner system, which indicates that the gyro effect has no obvious influence on the turbine runner system. Figure 14 shows the frequency-domain comparison of the vibration response of the turbine runner system at rated speed. The amplitude of the vibration response corresponding to the rotation frequency increases with an increase in the wear degree of the runner blade, and because the mean value of the radial excitation force is not zero, the DC component appears at 0 Hz on the spectrum diagram. In addition, the peak value also appears at two or three times the frequency of the turbine runner system’s vibration response, but the value is small.
Figure 15 and Figure 16 show the axis-locus diagram of the spindle system when the runner blades are in two wear states at the rated speed. It can be seen from the figure that the shape of the axis-locus diagram of the generator rotor and the turbine runner tends to be circular and has good sealing properties. When the wear degree of the runner blade increases, the axis locus of the generator rotor has almost no trend of increasing, and the neutrality is good. However, the axis locus of the turbine runner system is not located at the origin of the coordinates, because the mean value of the radial fluid excitation force is not zero, which leads to a certain degree of deviation in the vibration response of the turbine runner system.
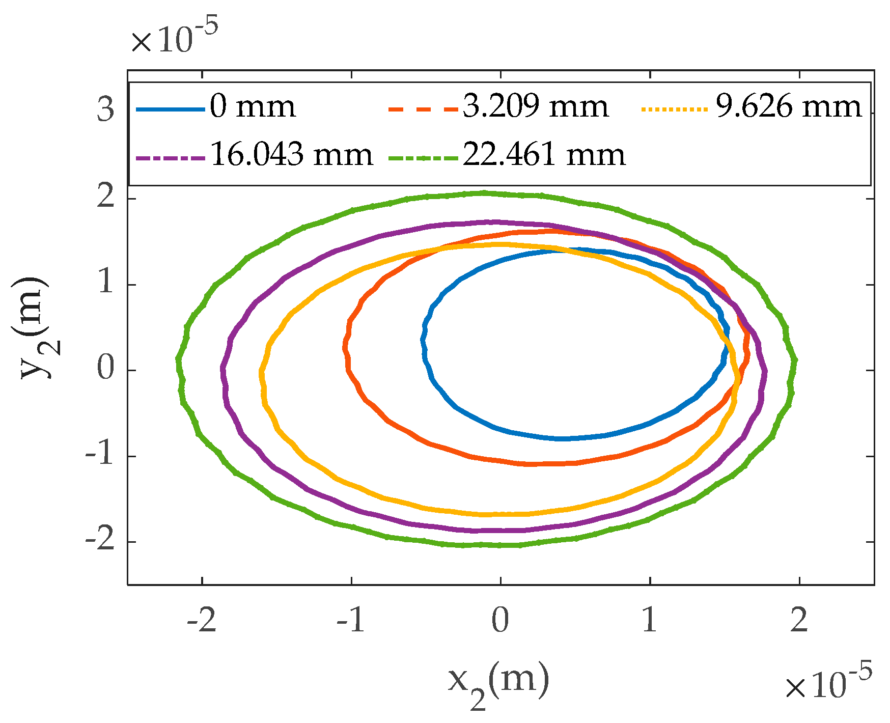
Figure 17 shows the comparison of the axis locus of the turbine runner system with no blade wear and four wear degrees. It can be seen from the figure that with the increasing wear thickness of runner blades, the range of the axis locus of the turbine runner system also expands. The distance between the axis-locus coordinates and the origin of coordinates during the movement of the turbine runner system is calculated, as shown in Table 7. It can be seen that the maximum deviation distance of the axis locus changes from the initial 16.48 μm to 21.70 μm, with an increase of about 31.67%.
Figure 18 and Figure 19 show the vibration response phase trajectory and Poincare mapping diagram of the runner blades under two wear states at the rated speed of the spindle system. It can be seen from the figure that the Poincare mapping points of the generator rotor system and the turbine runner system are relatively concentrated, so the system can be considered to be in a state of single-period stable motion. However, the phase trajectory of the turbine runner system has a zigzag fluctuation compared with that of the relatively stable generator rotor system. This is because the nonlinear high-frequency fluid excitation force (blade frequency and movable guide vanes frequency) caused the phase trajectory to fluctuate in the phase plane, resulting in periodic oscillation of the turbine runner system. Although the fluid excitation force caused by runner blade wear changes greatly, it acts on the turbine runner system and does not cause instability in the main shaft system.
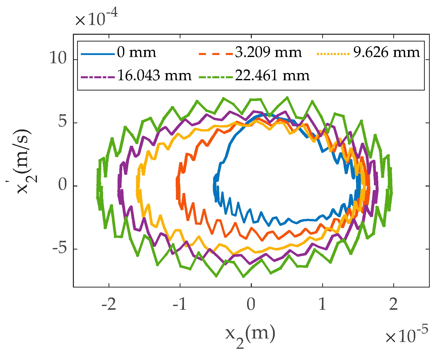
Figure 20 shows the phase trajectory of the turbine runner under different blade wear degrees. As can be seen from the figure, with an increase in the degree of wear, the phase trajectory circle continues to expand, but the degree of fluctuation is relatively reduced. This is because the axis locus increases continuously under the influence of the rotating frequency excited force, while the disturbance amplitude of the blade frequency fluid excited force does not increase significantly. When the turbine runner moves in the x direction, its maximum speed increases from 0.57 mm/s to 0.72 mm/s, an increase of about 26.32%, indicating that the kinetic energy of the turbine runner system increases significantly during this process. If it continues to increase according to this trend, there is a greater risk of accidents when the turbine runner system collides with a larger kinetic energy.

4.2. Prediction of Runner Wear Life Based on Amplitude Characteristics

During the long-term service of hydropower units, the main shaft-system components face multiple degradation factors such as wear and fatigue, resulting in progressive deterioration of vibration performance. The amplitude degradation trajectory of shafting is not uniform growth; it is usually “slow first and then fast”, that is, the amplitude growth is gentle in the early stage and significantly accelerates in the later stage until it approaches the critical state. The causes include the cumulative amplification of local stress concentration, gap increase, stiffness reduction, and other effects caused by various failure forms, as well as the enhancement and amplification of external exciting forces (such as hydraulic instability, flow path defects, mechanical disturbance, power system disturbance, etc.) to the vibration response under the condition of internal degradation of shafting. Therefore, the amplitude degradation trajectory is approximately regarded as an exponential function in this paper, whose approximate expression is as follows:
y = a exp ( b t ) ,
where a and b are undetermined coefficients. y is the amplitude of the turbine runner, expressed in μm. t is the wear time, expressed in h.
According to Equation (3) and the previous research results, the relationship between the time-wear-thickness–fluid-excitation-force vibration response can be established. Plot the degradation trajectory of the turbine runner amplitude response of the main shaft system over time, where the time corresponding to different degrees of blade wear is represented on the x-axis, and the amplitude response of the turbine system is depicted on the y-axis, as shown in Figure 21. The parameters of the expression are obtained by fitting the curve with the least square method; the value of a is 12.08 and the value of b is 1.128 × 10−5. Table 8 shows the evaluation indicators fitted by the expression, and the results show that the fitting effect is good.
Under standard operating conditions, the core requirement to ensure the safe and reliable operation of the hydro-generator set is to control the vibration amplitude within the limited range, or the relative change in the vibration amplitude should not exceed the set threshold. When the vibration of key systems such as the generator rotor and turbine runner is too large, it may affect the overall safety, stability, and reliability of the unit, and the allowable amplitude of the vibration response of the spindle system should be determined according to the standards to determine whether the spindle is in the vibration failure state. When the spindle vibration amplitude Ft reaches the failure threshold Fp, it is considered that the unit has failed, and t is the unit failure time. The mathematical expression can be simply expressed as:
t = inf { t : F t F p } ,
According to standards GB/T 8564-2023, GB/T 11348.5-2008, and ISO20816-5:2018 [29,30,31], the allowable transverse vibration amplitude of the spindle system studied in this paper is 75 μm. However, since the allowable value is the reference value for monitoring vibration data of units in engineering, and this paper only studies the amplitude change caused by the hydraulic excitation force under the condition of blade wear, the proportional coefficient is used to determine the allowable value of amplitude change caused by wear. Therefore, according to engineering experience, the coefficient of desirability is 0.3, that is, the allowable value of the amplitude overload caused by wear is 22.5 μm. According to Equation (19), it can be roughly calculated that the pseudo-fault time t of the overload of the shafting amplitude caused by the runner blade wear of hydropower units is about 55,139 h, that is, the wear failure life of the turbine runner system blades. By substituting this time into Equation (3), it can be obtained that the wear thickness of the runner when it fails is about 24.56 mm.

5. Conclusions

Based on research and development and the application of high-altitude and high-reliability intelligent hydropower units—and taking a river basin Francis turbine as the research object—the impact of varying degrees of blade wear on the fluid excitation forces acting on the turbine runner system and the vibration response of the main shaft system was investigated. The main research conclusions are as follows:
  • The change in the blade wear degree mainly affects the rotation frequency and blade frequency of the fluid excitation force. The frequency change mainly occurred during the transition from no wear to wear of 3.209 mm, which increased by 1.04 times and 0.71 times, respectively. Thereafter, as the wear extent further increases, both components exhibit a gradual increase trend in the amplitude.
  • In the wear range covered by this study, the amplitude of the radial exciting force under the rotation frequency increases by about 2.05 times, and the amplitude of the blade frequency increases by about 1.67 times. However, the frequency of the guide vanes has little correlation with blade wear, and its amplitude has no obvious change trend.
  • As the turbine runner blades gradually wear from unworn to a maximum wear thickness of 22.461 mm, the peak-to-peak amplitude in the x-direction of the turbine runner system under fluid excitation forces increases by 1.01 times, while that in the y-direction increases by 0.86 times. Spectral analysis reveals an increase of 95.14% in the amplitude at the rotation frequency of the turbine runner system. The maximum deviation distance of the shaft center trajectory increases by 31.67%. Based on the amplitude degradation trajectory model, the pseudo-failure time of the shafting failure of hydropower units is estimated to be about 55,139 h. The running state of the runner system is predicted according to the formula of blade wear. When the blade wear thickness reaches 24.56 mm, the runner system will reach the failure state.

Author Contributions

Conceptualization, W.C. and J.P.; methodology, J.P. and S.W.; software, S.W., J.M. and H.C.; validation, S.W., H.C. and W.Z.; formal analysis, S.W., J.M. and W.Z.; investigation, S.W., J.M. and H.C.; resources, W.C. and J.P.; data curation, S.W.; writing—original draft preparation, S.W.; writing—review and editing, S.W. and J.P.; visualization, S.W. and H.C.; supervision, W.C. and J.P.; project administration, J.P.; funding acquisition, W.C. and J.P. All authors have read and agreed to the published version of the manuscript.

Funding

This research was funded by the Special Support Plan for High-Level Talents in Zhejiang Province (No. 2021R52036).

Institutional Review Board Statement

Not applicable.

Informed Consent Statement

Not applicable.

Data Availability Statement

The original contributions presented in the study are included in the article, further inquiries can be directed to the corresponding authors.

Acknowledgments

The authors would like to thank Zhejiang Sci-Tech University.

Conflicts of Interest

The authors declare no conflicts of interest.

References

  1. Bilgili, F.; Lorente, D.B.; Kuşkaya, S.; Ünlü, F.; Gençoğlu, P.; Rosha, P. The role of hydropower energy in the level of CO2 emissions: An application of continuous wavelet transform. Renew. Energy 2021, 178, 283–294. [Google Scholar] [CrossRef]
  2. Nasir, J.; Javed, A.; Ali, M.; Ullah, K.; Kazmi, S.A.A. Capacity optimization of pumped storage hydropower and its impact on an integrated conventional hydropower plant operation. Appl. Energy 2022, 323, 119561. [Google Scholar] [CrossRef]
  3. Tang, S.W.; Chen, J.T.; Sun, P.G.; Li, Y.; Yu, P.; Chen, E. Current and future hydropower development in Southeast Asia countries (Malaysia, Indonesia, Thailand and Myanmar). Energy Policy 2019, 129, 239–249. [Google Scholar] [CrossRef]
  4. Gutierrez, G.M.; Kelly, S.; Cousins, J.J.; Sneddon, C. What Makes a Megaproject? A Review of Global Hydropower Assemblages. Environ. Soc. Adv. Res. 2019, 10, 101–121. [Google Scholar] [CrossRef]
  5. Chitrakar, S.; Neopane, H.P.; Dahlhaug, O.G. Study of the simultaneous effects of secondary flow and sediment erosion in Francis turbines. Renew. Energy 2016, 97, 881–891. [Google Scholar] [CrossRef]
  6. Goyal, R.; Gandhi, B.K. Review of hydrodynamics instabilities in Francis turbine during off-design and transient operations. Renew. Energy 2018, 116, 697–709. [Google Scholar] [CrossRef]
  7. Kang, M.-W.; Park, N.; Suh, S.-H. Numerical study on sediment erosion of Francis turbine with different operating conditions and sediment inflow rates. Procedia Eng. 2016, 157, 457–464. [Google Scholar] [CrossRef]
  8. Haosheng, C.; Shihan, L. Inelastic damages by stress wave on steel surface at the incubation stage of vibration cavitation erosion. Wear 2009, 266, 69–75. [Google Scholar] [CrossRef]
  9. Mack, R.; Drtina, P.; Lang, E. Numerical prediction of erosion on guide vanes and in labyrinth seals in hydraulic turbines. Wear 1999, 233, 685–691. [Google Scholar] [CrossRef]
  10. Thapa, B.S.; Dahlhaug, O.G.; Thapa, B. Sediment erosion in hydro turbines and its effect on the flow around guide vanes of Francis turbine. Renew. Sustain. Energy Rev. 2015, 49, 1100–1113. [Google Scholar] [CrossRef]
  11. Padhy, M.K.; Saini, R.P. A review on silt erosion in hydro turbines. Renew. Sustain. Energy Rev. 2008, 12, 1974–1987. [Google Scholar] [CrossRef]
  12. Chiappa, T.; Deniau, J.-L. Numerical study of Karman vortices shedding at high Reynolds number. Houille Blanche 2001, 87, 39–45. [Google Scholar] [CrossRef]
  13. Grein, H. Vibration phenomena in Francis turbines: Their causes and prevention. Escher Wyss News 1981, 54, 37–42. [Google Scholar]
  14. Vu, T.C.; Devals, C.; Zhang, Y.; Nennemann, B.; Guibault, F. Steady and unsteady flow computation in an elbow draft tube with experimental validation. In Proceedings of the 25th IAHR Symposium on Hydraulic Machinery and Systems, Politehnica University Timisoara, Timisoara, Romania, 20–24 September 2010. [Google Scholar]
  15. Vu, T.C.; Koller, M.; Gauthier, M.; Deschênes, C. Flow simulation and efficiency hill chart prediction for a Propeller turbine. In Proceedings of the 25th IAHR Symposium on Hydraulic Machinery and Systems, Politehnica University Timisoara, Timisoara, Romania, 20–24 September 2010. [Google Scholar]
  16. Rodriguez, C.G.; Egusquiza, E.; Santos, I.F. Frequencies in the vibration induced by the rotor stator interaction in a centrifugal pump turbine. J. Fluids Eng. Trans. Asme 2007, 129, 1428–1435. [Google Scholar] [CrossRef]
  17. Zhai, L.; Luo, Y.; Wang, Z.; Kitauchi, S.; Miyagawa, K. Nonlinear vibration induced by the water-film whirl and whip in a sliding bearing rotor system. Chin. J. Mech. Eng. 2016, 29, 260–270. [Google Scholar] [CrossRef]
  18. Saeed, R.A.; Galybin, A.; Popov, V. Modelling of flow-induced stresses in a Francis turbine runner. Adv. Eng. Softw. 2010, 41, 1245–1255. [Google Scholar] [CrossRef]
  19. Bai, B.; Zhang, L.; Zhao, L. Influences of the guide bearing stiffness on the critical speed of rotation in the main shaft system. In Proceedings of the 26th IAHR Symposium on Hydraulic Machinery and Systems, Tsinghua University, Beijing, China, 19–23 August 2012. [Google Scholar]
  20. Zhang, L.K.; Tang, H.L.; Sun, T.; Yu, J.H.; Li, Z.R.; Wang, X.N. Vibration characteristics analysis of shaft system for bulb hydroelectric generating unit based on magnetorheological fluid damper. Chaos Solitons Fractals 2022, 163, 112559. [Google Scholar] [CrossRef]
  21. Mokhtar, M.A.; Darpe, A.K.; Gupta, K. Investigations on bending-torsional vibrations of rotor during rotor-stator rub using Lagrange multiplier method. J. Sound Vib. 2017, 401, 94–113. [Google Scholar] [CrossRef]
  22. Li, J.; Chen, D.; Liu, G.; Gao, X.; Miao, K.; Li, Y.; Xu, B. Analysis of the gyroscopic effect on the hydro-turbine generator unit. Mech. Syst. Signal Process. 2019, 132, 138–152. [Google Scholar] [CrossRef]
  23. Zhang, L.; Ma, Z.; Song, B. Dynamic characteristics of a rub-impact rotor-bearing system for hydraulic generating set under unbalanced magnetic pull. Arch. Appl. Mech. 2013, 83, 817–830. [Google Scholar] [CrossRef]
  24. An, X.L.; Zhou, J.Z.; Xiang, X.Q.; Li, C.S.; Luo, Z.M. Dynamic response of a rub-impact rotor system under axial thrust. Arch. Appl. Mech. 2009, 79, 1009–1018. [Google Scholar] [CrossRef]
  25. Zhuang, K.Y.; Gao, C.D.; Li, Z.; Yan, D.L.; Fu, X.Q. Dynamic Analyses of the Hydro-Turbine Generator Shafting System Considering the Hydraulic Instability. Energies 2018, 11, 2862. [Google Scholar] [CrossRef]
  26. Pan, J.; Ma, J.; Han, J.; Zhou, Y.; Wu, L.; Zhang, W. Prediction of sediment wear of francis turbine with high head and high sediment content. Front. Energy Res. 2023, 10, 1117606. [Google Scholar] [CrossRef]
  27. Shi, Y.S.; Zhou, J.Z.; Huang, J.; Xu, Y.H.; Liu, B.N. A Vibration Fault Identification Framework for Shafting Systems of Hydropower Units: Nonlinear Modeling, Signal Processing, and Holographic Identification. Sensors 2022, 22, 4266. [Google Scholar] [CrossRef]
  28. Guo, D.; Chu, F.-L.; Chen, D. The unbalanced magnetic pull and its effects on vibration in a three-phase generator with eccentric rotor. J. Sound Vib. 2002, 254, 297–312. [Google Scholar] [CrossRef]
  29. Standardization Administration of China. Mechanical Vibration Evaluation of Machine Vibration by Measurements on Rotating Shafts—Part 5: Machine Sets in Hydraulic Power Generating and Pumping Plants. Available online: https://std.samr.gov.cn/gb/search/gbDetailed?id=71F772D8004AD3A7E05397BE0A0AB82A (accessed on 30 May 2024).
  30. Standardization Administration of China. Technical Specification for Installation of Hydraulic Turbine-Generator Unit. Available online: https://std.samr.gov.cn/gb/search/gbDetailed?id=0B4529DE0FF6FCAFE06397BE0A0A46CC (accessed on 30 May 2024).
  31. International Organization for Standardization. Mechanical Vibration—Measurement and Evaluation of Machine Vibration-Part 5: Machine Sets in Hydraulic Power Generating and Pump-Storage Plants. Available online: https://www.iso.org/standard/67919.html (accessed on 30 May 2024).
Figure 1. 3D model of water turbine flow field.
Figure 1. 3D model of water turbine flow field.
Applsci 14 04806 g001
Figure 2. Grid diagram of each fluid calculation domain of hydraulic turbine: (a) volute, (b) guide vanes, (c) runner, (d) draft tube.
Figure 2. Grid diagram of each fluid calculation domain of hydraulic turbine: (a) volute, (b) guide vanes, (c) runner, (d) draft tube.
Applsci 14 04806 g002
Figure 3. Grid independence verification.
Figure 3. Grid independence verification.
Applsci 14 04806 g003
Figure 4. Cloud image of flow velocity inside the runner.
Figure 4. Cloud image of flow velocity inside the runner.
Applsci 14 04806 g004
Figure 5. Time-domain comparison of radial exciting force of runner system: (a) x direction, (b) y direction.
Figure 5. Time-domain comparison of radial exciting force of runner system: (a) x direction, (b) y direction.
Applsci 14 04806 g005
Figure 6. Frequency-domain comparison of radial excitation force of runner system: (a) x direction frequency-domain diagram, (b) y direction frequency-domain diagram.
Figure 6. Frequency-domain comparison of radial excitation force of runner system: (a) x direction frequency-domain diagram, (b) y direction frequency-domain diagram.
Applsci 14 04806 g006
Figure 7. Radial excitation force amplitude variation trend diagram: (a) X-direction, (b) Y-direction.
Figure 7. Radial excitation force amplitude variation trend diagram: (a) X-direction, (b) Y-direction.
Applsci 14 04806 g007
Figure 8. Hydropower units spindle model diagram: (a) hydropower units spindle diagram, (b) rotor disc plane eccentricity diagram.
Figure 8. Hydropower units spindle model diagram: (a) hydropower units spindle diagram, (b) rotor disc plane eccentricity diagram.
Applsci 14 04806 g008
Figure 9. Time-domain comparison of displacement in the x direction of the generator system with unworn blades and worn blades of 22.461 mm.
Figure 9. Time-domain comparison of displacement in the x direction of the generator system with unworn blades and worn blades of 22.461 mm.
Applsci 14 04806 g009
Figure 10. Time-domain diagram of vibration response of the turbine runner system in x direction: (a) unworn, (b) wear 22.461 mm.
Figure 10. Time-domain diagram of vibration response of the turbine runner system in x direction: (a) unworn, (b) wear 22.461 mm.
Applsci 14 04806 g010
Figure 11. Time-domain comparison of radial displacement response of turbine runner system with different wear degrees: (a) x direction, (b) y direction.
Figure 11. Time-domain comparison of radial displacement response of turbine runner system with different wear degrees: (a) x direction, (b) y direction.
Applsci 14 04806 g011
Figure 12. Frequency-domain diagram of vibration response of generator system in x direction: (a) unworn, (b) wear 22.461 mm.
Figure 12. Frequency-domain diagram of vibration response of generator system in x direction: (a) unworn, (b) wear 22.461 mm.
Applsci 14 04806 g012
Figure 13. Frequency-domain diagram of vibration response of turbine runner system in x direction: (a) unworn, (b) wear 22.461 mm.
Figure 13. Frequency-domain diagram of vibration response of turbine runner system in x direction: (a) unworn, (b) wear 22.461 mm.
Applsci 14 04806 g013
Figure 14. Frequency-domain comparison diagram of displacement response of turbine runner in x direction with different wear degrees.
Figure 14. Frequency-domain comparison diagram of displacement response of turbine runner in x direction with different wear degrees.
Applsci 14 04806 g014
Figure 15. Comparison of axis locus of generator system with unworn blades and worn blades of 22.461 mm.
Figure 15. Comparison of axis locus of generator system with unworn blades and worn blades of 22.461 mm.
Applsci 14 04806 g015
Figure 16. Comparison of axis locus of the turbine runner system with unworn blades and worn blades of 22.461 mm.
Figure 16. Comparison of axis locus of the turbine runner system with unworn blades and worn blades of 22.461 mm.
Applsci 14 04806 g016
Figure 17. Comparison diagram of axis locus of turbine runner with different wear degrees.
Figure 17. Comparison diagram of axis locus of turbine runner with different wear degrees.
Applsci 14 04806 g017
Figure 18. Vibration response phase locus and Poincare mapping diagram of generator system: (a) unworn, (b) wear 22.461 mm.
Figure 18. Vibration response phase locus and Poincare mapping diagram of generator system: (a) unworn, (b) wear 22.461 mm.
Applsci 14 04806 g018
Figure 19. Vibration response phase locus and Poincare mapping diagram of turbine runner system: (a) unworn, (b) wear 22.461 mm.
Figure 19. Vibration response phase locus and Poincare mapping diagram of turbine runner system: (a) unworn, (b) wear 22.461 mm.
Applsci 14 04806 g019
Figure 20. Comparison diagram of phase trajectory of turbine runner in x direction with different wear degrees.
Figure 20. Comparison diagram of phase trajectory of turbine runner in x direction with different wear degrees.
Applsci 14 04806 g020
Figure 21. Amplitude degradation trajectory over time.
Figure 21. Amplitude degradation trajectory over time.
Applsci 14 04806 g021
Table 1. Hydraulic turbine system parameters.
Table 1. Hydraulic turbine system parameters.
ParameterValue
Runner inlet diameter (mm)2315.5
Runner outlet diameter (mm)1274.7
Number of blades30
Number of fixed guide vanes14
Number of movable guide vanes28
Height of movable guide vanes (mm)215.0
Table 2. Blade wear at different time stages.
Table 2. Blade wear at different time stages.
Different Operating Time/YearWear Thickness/mm
13.209
39.626
516.043
722.461
Table 3. x direction excitation force parameter.
Table 3. x direction excitation force parameter.
Wear Thickness/mmA1x (N)A2x (N)A3x (N)Bx (N)
0321.53469.24472.442619.09
3.209656.85416.28807.471750.09
9.626719.05501.78786.84−13.86
16.043767.76407.77952.44−284.20
22.461981.82529.611263.59−631.86
Table 4. y direction excitation force parameter.
Table 4. y direction excitation force parameter.
Wear Thickness/mmA1y (N)A2y (N)A3y (N)By (N)
0378.29572.44558.142160.96
3.209606.03428.50866.001824.45
9.626631.62453.98513.98−686.21
16.043709.94355.04792.64−478.36
22.461972.82322.721403.2336.77
Table 5. Basic parameters of shafting of hydropower units.
Table 5. Basic parameters of shafting of hydropower units.
ParameterValueParameterValue
m11.4 × 105 kga2.810 m
m21.8 × 104 kgb1.925 m
k12.9 × 109 N/mc8.705 m
k23.2 × 109 N/md2.010 m
k31.2 × 109 N/mJp11.35 × 106 kg·m2
k49.0 × 107 N/mJp21.2 × 105 kg·m2
k56.0 × 108 N/mJd11.5 × 105 kg·m2
c15.1 × 106 N·s/mJd26.0 × 104 kg·m2
c23.2 × 106 N·s/mR3.9 m
c34.0 × 105 N·s/mL1.6 m
c44.0 × 105 N·s/mkj1.2
e10.5 × 10−3 mIj1000 A
e20.3 × 10−3 mμ04π × 10−7 H·m
31.4 rad/sδ07.0 × 10−3 m
Table 6. The peak-peak value of the turbine runner system in x and y directions for different wear degrees.
Table 6. The peak-peak value of the turbine runner system in x and y directions for different wear degrees.
Wear Thickness0 mm3.209 mm9.626 mm16.043 mm22.461 mm
x2p-p (μm)20.5527.0932.0236.4241.37
y2p-p (μm)22.2027.3131.6336.1541.22
Table 7. Different wear degrees, turbine runner axis offset.
Table 7. Different wear degrees, turbine runner axis offset.
Wear Thickness0 mm3.209 mm9.626 mm16.043 mm22.461 mm
rmin (μm)4.619.4014.5517.0019.33
rmax (μm)16.4817.6916.9319.0321.70
Relative offset (%)72.0346.8614.0610.6710.92
Table 8. Goodness of fit statistic.
Table 8. Goodness of fit statistic.
SSER2RMSE
3.4650.94441.075
Disclaimer/Publisher’s Note: The statements, opinions and data contained in all publications are solely those of the individual author(s) and contributor(s) and not of MDPI and/or the editor(s). MDPI and/or the editor(s) disclaim responsibility for any injury to people or property resulting from any ideas, methods, instructions or products referred to in the content.

Share and Cite

MDPI and ACS Style

Chen, W.; Wang, S.; Chen, H.; Zhang, W.; Ma, J.; Pan, J. Analysis of Shafting System Vibration Characteristics for Mixed-Flow Hydropower Units Considering Sand Wear on Turbine Blades. Appl. Sci. 2024, 14, 4806. https://doi.org/10.3390/app14114806

AMA Style

Chen W, Wang S, Chen H, Zhang W, Ma J, Pan J. Analysis of Shafting System Vibration Characteristics for Mixed-Flow Hydropower Units Considering Sand Wear on Turbine Blades. Applied Sciences. 2024; 14(11):4806. https://doi.org/10.3390/app14114806

Chicago/Turabian Style

Chen, Wenhua, Shuo Wang, Haifeng Chen, Weiliang Zhang, Jianfeng Ma, and Jun Pan. 2024. "Analysis of Shafting System Vibration Characteristics for Mixed-Flow Hydropower Units Considering Sand Wear on Turbine Blades" Applied Sciences 14, no. 11: 4806. https://doi.org/10.3390/app14114806

APA Style

Chen, W., Wang, S., Chen, H., Zhang, W., Ma, J., & Pan, J. (2024). Analysis of Shafting System Vibration Characteristics for Mixed-Flow Hydropower Units Considering Sand Wear on Turbine Blades. Applied Sciences, 14(11), 4806. https://doi.org/10.3390/app14114806

Note that from the first issue of 2016, this journal uses article numbers instead of page numbers. See further details here.

Article Metrics

Back to TopTop