Artificial Intelligence Models for Predicting Ground Vibrations in Deep Underground Mines to Ensure the Safety of Their Surroundings
Abstract
1. Introduction
| Authors | Publish Date | Mine Type | Main Method | Input Parameters | Output | 
|---|---|---|---|---|---|
| C Khandelwal, M. et al. [9] | 2007 | Open-pit mine | ANN | DMBS, Qmax | PPV | 
| Bakhshandeh Amnieh, H et al. [10] | 2010 | Open-pit mine | ANN | Qmax, DMBS, HSC, NHR | PPV | 
| Monjezi, M. et al. [11] | 2010 | Open-pit mine | MLPNN, GRNN, RBFNN | Qmax, DMBS, NHR | PPV | 
| Longjun, D. et al. [12] | 2011 | Open-pit mine | RFR, SVM | Qmax, Qtotal, HD, ED, C, PPR, IC, a, VoD | PPV, first VF, duration time of first VF | 
| Álvarez-Vigil, A.E. et al. [13] | 2012 | Open-pit mine | ANN | RMR, DMBS, DMBS, HoDi, HoDe, SBB, B, Qmax, Qtotal, NB, VoD | PPV, VF | 
| Saadat, M. et al. [14] | 2014 | Open-pit mine | ANN, MLR | Qmax, DMBS, SD, HoDe | PPV | 
| Parida, A. et al. [15] | 2015 | Open-pit mine | ANN | Qmax, DMBS | PPV | 
| Saadat, M. et al. [16] | 2015 | Open-pit mine | DE algorithm theory | HoDe, B, S, CL, Qmax, DMBS, YM, PF, BI | PPV | 
| Danial Jahed Armaghani et al. [20] | 2021 | Open-pit mine | AGPSO–ELM, PSO–ELM | B, Qmax, HS, DMBS, PF, HoDe | PPV | 
| Abiodun Ismail Lawal et al. [21] | 2021 | Open-pit mine | GEP, ANFIS, SCA-ANN | DMBS, Qmax, RD, SRH | PPV | 
| Xiliang Zhang et al. [22] | 2021 | Open-pit mine | MVO–ELM, ELM, MLP, USBM | C, Qtotal, HD, VD, B, PPR, DT, RMI, f, a, VoD | PPV | 
| Yingui Qiu et al. [23] | 2022 | Open-pit mine | WOA-XGBoost, GWO-XGBoost, BO-XGBoost | B, S, CL, HoDi, HoDe, DE, VoD, DMBS | PPV | 
| Nguyen, H. et al. [17] | 2023 | Open-pit mine | SpaSO-ELM, SalSO-ELM, MFO-ELM | B, S, f, PF, Qmax | PPV | 
| Jiliang Kan et al. [18] | 2022 | Underground mine | GA-ANN | Qmax, Qtotal, HD, NB, ACC, SDC | PPV | 
| Shida Xu et al. [19] | 2021 | Underground mine | GA-ANN | B, Qmax, ED, HS, DD, HV, VD | PPV | 
2. Materials and Methods
2.1. The Study Area
2.2. BIGV Monitoring
2.3. Machine Learning Algorithms
2.3.1. Random Forest Regressor (RFR)
2.3.2. Gradient Boosting Regressor (GBR)
2.3.3. Bagging Regressor (BR)
2.4. Artificial Intelligence Optimization Models
2.4.1. Genetic Algorithm (GA)
2.4.2. Gray Wolf Optimizer (GWO)
- (1)
- Encircling prey
- (2)
- Hunting
2.4.3. Particle Swarm Optimization (PSO)
2.5. Model Evaluation
2.6. Prediction Models
3. Comparison and Selection of ML Models
4. Optimization of ML Models and Results
4.1. Parametric Configuration
4.2. Model Performance
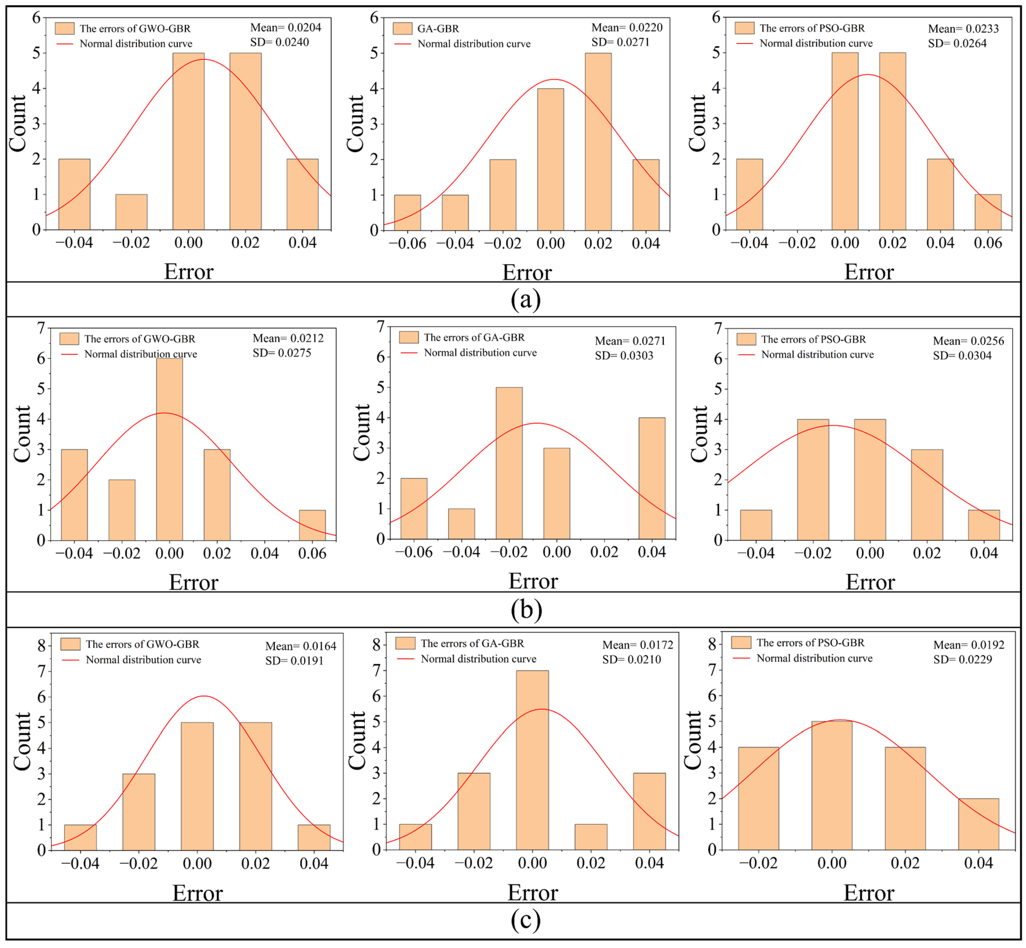
4.2.1. Results of Models for X-PPV Prediction
4.2.2. Results of Models for Y-PPV Prediction
4.2.3. Results of Models for Z-PPV Prediction
4.3. Analysis of Results
5. Control BIGV Methods
6. Conclusions
Supplementary Materials
Author Contributions
Funding
Institutional Review Board Statement
Informed Consent Statement
Data Availability Statement
Conflicts of Interest
References
- Meng, N.-K.; Bai, J.-B.; Yoo, C.-S.; Chen, Y. Effects of in-situ stress and delay time on rock damage under shaped charge jet blasting. J. Cent. South Univ. 2023, 30, 1359–1372. [Google Scholar] [CrossRef]
- Zhang, X.; Li, Z.; Wei, Z.; Gao, W. Experimental and Numerical Study on the Effect of Three-Hole Simultaneous Blasting Technology on Open-Pit Mine Bench Blasting. Appl. Sci. 2024, 14, 2169. [Google Scholar] [CrossRef]
- Wang, X.-F.; Hu, S.-B.; Wang, E.-Y.; Zhang, Q.; Liu, B. Experimental research and energy analysis of a new type of dry ice powder pneumatic rock breaking technology. Int. J. Min. Sci. Technol. 2023, 33, 423–435. [Google Scholar] [CrossRef]
- Cardu, M.; Coragliotto, D.; Oreste, P. Analysis of predictor equations for determining the blast-induced vibration in rock blasting. Int. J. Min. Sci. Technol. 2019, 29, 905–915. [Google Scholar] [CrossRef]
- Wang, K.; Qian, X.-M.; Liu, Z.-Y. Experimental and numerical investigations on predictor equations for determining parameters of blasting-vibration on underground gas pipe networks. Process Saf. Environ. Prot. 2020, 133, 315–331. [Google Scholar] [CrossRef]
- Qi, C.; Zheng, J.; Yang, X.; Chen, Q.; Wu, M. Application of deep neural network in the strength prediction of cemented paste backfill based on a global dataset. Constr. Build. Mater. 2023, 391, 131827. [Google Scholar] [CrossRef]
- Qi, C.; Wu, M.; Zheng, J.; Chen, Q.; Chai, L. Rapid identification of reactivity for the efficient recycling of coal fly ash: Hybrid machine learning modeling and interpretation. J. Clean. Prod. 2022, 343, 130958. [Google Scholar] [CrossRef]
- Chen, Q.; Zhou, H.; Wang, Y.; Wang, D.; Zhang, Q.; Liu, Y. Erosion wear at the bend of pipe during tailings slurry transportation: Numerical study considering inlet velocity, particle size and bend angle. Int. J. Miner. Metall. Mater. 2023, 30, 1608–1620. [Google Scholar] [CrossRef]
- Khandelwal, M.; Singh, T.N. Evaluation of blast-induced ground vibration predictors. Soil Dyn. Earthq. Eng. 2007, 27, 116–125. [Google Scholar] [CrossRef]
- Bakhshandeh Amnieh, H.; Mozdianfard, M.R.; Siamaki, A. Predicting of blasting vibrations in Sarcheshmeh copper mine by neural network. Saf. Sci. 2010, 48, 319–325. [Google Scholar] [CrossRef]
- Monjezi, M.; Ahmadi, M.; Sheikhan, M.; Bahrami, A.; Salimi, A.R. Predicting blast-induced ground vibration using various types of neural networks. Soil Dyn. Earthq. Eng. 2010, 30, 1233–1236. [Google Scholar] [CrossRef]
- Longjun, D.; Xibing, L.; Ming, X.; Qiyue, L. Comparisons of Random Forest and Support Vector Machine for Predicting Blasting Vibration Characteristic Parameters. Procedia Eng. 2011, 26, 1772–1781. [Google Scholar] [CrossRef]
- Álvarez-Vigil, A.E.; González-Nicieza, C.; López Gayarre, F.; Álvarez-Fernández, M.I. Predicting blasting propagation velocity and vibration frequency using artificial neural networks. Int. J. Rock Mech. Min. Sci. 2012, 55, 108–116. [Google Scholar] [CrossRef]
- Saadat, M.; Khandelwal, M.; Monjezi, M. An ANN-based approach to predict blast-induced ground vibration of Gol-E-Gohar iron ore mine, Iran. J. Rock Mech. Geotech. Eng. 2014, 6, 67–76. [Google Scholar] [CrossRef]
- Parida, A.; Mishra, M.K. Blast Vibration Analysis by Different Predictor Approaches-A Comparison. Procedia Earth Planet. Sci. 2015, 11, 337–345. [Google Scholar] [CrossRef]
- Saadat, M.; Hasanzade, A.; Khandelwal, M. Differential evolution algorithm for predicting blast induced ground vibrations. Int. J. Rock Mech. Min. Sci. 2015, 77, 97–104. [Google Scholar] [CrossRef]
- Nguyen, H.; Bui, X.-N.; Topal, E. Reliability and availability artificial intelligence models for predicting blast-induced ground vibration intensity in open-pit mines to ensure the safety of the surroundings. Reliab. Eng. Syst. Saf. 2023, 231, 109032. [Google Scholar] [CrossRef]
- Kan, J.; Dou, L.; Li, X.; Cao, J.; Bai, J.; Chai, Y. Study on influencing factors and prediction of peak particle velocity induced by roof pre-split blasting in underground. Undergr. Space 2022, 7, 1068–1085. [Google Scholar] [CrossRef]
- Xu, S.; Chen, T.; Liu, J.; Zhang, C.; Chen, Z.; Zhao, Q. Blasting Vibration Control Using an Improved Artificial Neural Network in the Ashele Copper Mine. Shock Vib. 2021, 2021, 9949858. [Google Scholar] [CrossRef]
- Jahed Armaghani, D.; Kumar, D.; Samui, P.; Hasanipanah, M.; Roy, B. A novel approach for forecasting of ground vibrations resulting from blasting: Modified particle swarm optimization coupled extreme learning machine. Eng. Comput. 2020, 37, 3221–3235. [Google Scholar] [CrossRef]
- Lawal, A.I.; Kwon, S.; Hammed, O.S.; Idris, M.A. Blast-induced ground vibration prediction in granite quarries: An application of gene expression programming, ANFIS, and sine cosine algorithm optimized ANN. Int. J. Min. Sci. Technol. 2021, 31, 265–277. [Google Scholar] [CrossRef]
- Zhang, X.; Nguyen, H.; Choi, Y.; Bui, X.-N.; Zhou, J. Novel Extreme Learning Machine-Multi-Verse Optimization Model for Predicting Peak Particle Velocity Induced by Mine Blasting. Nat. Resour. Res. 2021, 30, 4735–4751. [Google Scholar] [CrossRef]
- Qiu, Y.; Zhou, J.; Khandelwal, M.; Yang, H.; Yang, P.; Li, C. Performance evaluation of hybrid WOA-XGBoost, GWO-XGBoost and BO-XGBoost models to predict blast-induced ground vibration. Eng. Comput. 2021, 38, 4145–4162. [Google Scholar] [CrossRef]
- Arthur, C.K.; Temeng, V.A.; Ziggah, Y.Y. Soft computing-based technique as a predictive tool to estimate blast-induced ground vibration. J. Sustain. Min. 2019, 18, 287–296. [Google Scholar] [CrossRef]
- Garai, D.; Agrawal, H.; Mishra, A.K. Impact of orientation of blast initiation on ground vibrations. J. Rock Mech. Geotech. Eng. 2023, 15, 255–261. [Google Scholar] [CrossRef]
- Huo, X.; Shi, X.; Qiu, X.; Zhou, J.; Gou, Y.; Yu, Z.; Zhang, S. A study on raise blasting and blast-induced vibrations in highly stressed rock masses. Tunn. Undergr. Space Technol. 2022, 123, 104407. [Google Scholar] [CrossRef]
- Zhang, B.; Li, K.; Zhang, S.; Hu, Y.; Han, B. Strength prediction and application of cemented paste backfill based on machine learning and strength correction. Heliyon 2022, 8, e10338. [Google Scholar] [CrossRef] [PubMed]
- GB 50011-2010; Code for Seismic Design of Buildings. Ministry of Housing and Urban Rural Development of the People’s Republic of China: Beijing, China, 2016.
- Farhadi, Z.; Bevrani, H.; Feizi-Derakhshi, M.-R.; Kim, W.; Ijaz, M.F. An Ensemble Framework to Improve the Accuracy of Prediction Using Clustered Random-Forest and Shrinkage Methods. Appl. Sci. 2022, 12, 10608. [Google Scholar] [CrossRef]
- Breiman, L. Random forests. Mach. Learn. 2001, 45, 5–32. [Google Scholar] [CrossRef]
- Han, S.; Kim, H. Optimal Feature Set Size in Random Forest Regression. Appl. Sci. 2021, 11, 3428. [Google Scholar] [CrossRef]
- He, Y.; Chen, C.; Li, B.; Zhang, Z. Prediction of near-surface air temperature in glacier regions using ERA5 data and the random forest regression method. Remote Sens. Appl. Soc. Environ. 2022, 28, 100824. [Google Scholar] [CrossRef]
- Fu, B.; Lao, Z.; Liang, Y.; Sun, J.; He, X.; Deng, T.; He, W.; Fan, D.; Gao, E.; Hou, Q. Evaluating optically and non-optically active water quality and its response relationship to hydro-meteorology using multi-source data in Poyang Lake, China. Ecol. Indic. 2022, 145, 109675. [Google Scholar] [CrossRef]
- Friedman, J.H. Stochastic gradient boosting. Comput. Stat. Data Anal. 2002, 38, 367–378. [Google Scholar] [CrossRef]
- Aslam, F.; Alyousef, R.; Hassan Awan, H.; Faisal Javed, M. Forecasting the self-healing capacity of engineered cementitious composites using bagging regressor and stacking regressor. Structures 2023, 54, 1717–1728. [Google Scholar] [CrossRef]
- Bagci Das, D.; Birant, D. GASEL: Genetic algorithm-supported ensemble learning for fault detection in autonomous underwater vehicles. Ocean Eng. 2023, 272, 113844. [Google Scholar] [CrossRef]
- Mirjalili, S. Evolutionary algorithms and neural networks. In Studies in Computational Intelligence; Springer: Cham, Switzerland, 2019; Volume 780. [Google Scholar]
- Mirjalili, S.; Mirjalili, S.M.; Lewis, A. Grey Wolf Optimizer. Adv. Eng. Softw. 2014, 69, 46–61. [Google Scholar] [CrossRef]
- Wang, M.; Chen, H.; Li, H.; Cai, Z.; Zhao, X.; Tong, C.; Li, J.; Xu, X. Grey wolf optimization evolving kernel extreme learning machine: Application to bankruptcy prediction. Eng. Appl. Artif. Intell. 2017, 63, 54–68. [Google Scholar] [CrossRef]
- Fitas, R.; Hesseler, S.; Wist, S.; Greb, C. Kinematic draping simulation optimization of a composite B-pillar geometry using particle swarm optimization. Heliyon 2022, 8, e11525. [Google Scholar] [CrossRef] [PubMed]
- Hiçdurmaz, B. Determination of the optimal input channel powers using particle swarm optimization algorithm in a WDM system with In-Line optical amplifiers. Opt. Fiber Technol. 2023, 77, 103254. [Google Scholar] [CrossRef]
- Wang, X.; Hosseini, S.; Jahed Armaghani, D.; Tonnizam Mohamad, E. Data-Driven Optimized Artificial Neural Network Technique for Prediction of Flyrock Induced by Boulder Blasting. Mathematics 2023, 11, 2358. [Google Scholar] [CrossRef]
- Kulisz, M.; Kujawska, J.; Cioch, M.; Cel, W.; Pizoń, J. Comparative Analysis of Machine Learning Methods for Predicting Energy Recovery from Waste. Appl. Sci. 2024, 14, 2997. [Google Scholar] [CrossRef]
- Yildiz, B.; Bilbao, J.I.; Sproul, A.B. A review and analysis of regression and machine learning models on commercial building electricity load forecasting. Renew. Sustain. Energy Rev. 2017, 73, 1104–1122. [Google Scholar] [CrossRef]
- Christodoulou, E.; Ma, J.; Collins, G.S.; Steyerberg, E.W.; Verbakel, J.Y.; Van Calster, B. A systematic review shows no performance benefit of machine learning over logistic regression for clinical prediction models. J. Clin. Epidemiol. 2019, 110, 12–22. [Google Scholar] [CrossRef] [PubMed]
- Kaisar, S.; Chowdhury, A. Integrating oversampling and ensemble-based machine learning techniques for an imbalanced dataset in dyslexia screening tests. ICT Express 2022, 8, 563–568. [Google Scholar] [CrossRef]
- Jiang, J.; Zhou, H.; Zhang, T.; Yao, C.; Du, D.; Zhao, L.; Cai, W.; Che, L.; Cao, Z.; Wu, X.E. Machine learning to predict dynamic changes of pathogenic Vibrio spp. abundance on microplastics in marine environment. Environ. Pollut 2022, 305, 119257. [Google Scholar] [CrossRef] [PubMed]
- Bannigan, P.; Bao, Z.; Hickman, R.J.; Aldeghi, M.; Hase, F.; Aspuru-Guzik, A.; Allen, C. Machine learning models to accelerate the design of polymeric long-acting injectables. Nat. Commun. 2023, 14, 35. [Google Scholar] [CrossRef]
- Zhang, X.; Yan, P.; Lu, W.; Cheng, Y.; Sun, C.; Zhu, J.; Guo, W.; Cheng, X. Frequency spectrum characteristics of blast-induced vibration with electronic detonators in ground blasting. J. Build. Eng. 2023, 74, 106892. [Google Scholar] [CrossRef]












| Category | Max Charge of Per Delay (kg) | Vertical Distance (m) | Horizontal Distance (m) | X-PPV (cm/s) | Y-PPV (cm/s) | Z-PPV (cm/s) | 
|---|---|---|---|---|---|---|
| Training dataset (80%) | ||||||
| Min | 180.000 | 250.000 | 143.000 | 0.035 | 0.031 | 0.071 | 
| First quartile | 240.000 | 300.000 | 260.000 | 0.073 | 0.061 | 0.132 | 
| Median | 265.000 | 375.000 | 455.000 | 0.105 | 0.093 | 0.169 | 
| Mean | 269.211 | 348.684 | 408.649 | 0.107 | 0.099 | 0.191 | 
| Third quartile | 285.000 | 400.000 | 530.000 | 0.134 | 0.125 | 0.240 | 
| Max | 412.500 | 400.000 | 673.000 | 0.291 | 0.274 | 0.471 | 
| Testing dataset (20%) | ||||||
| Min | 180.000 | 250.000 | 159.000 | 0.039 | 0.032 | 0.066 | 
| First quartile | 230.000 | 337.500 | 192.000 | 0.063 | 0.056 | 0.133 | 
| Median | 265.000 | 375.000 | 456.000 | 0.074 | 0.075 | 0.163 | 
| Mean | 264.333 | 355.000 | 392.133 | 0.100 | 0.113 | 0.173 | 
| Third quartile | 290.000 | 400.000 | 518.000 | 0.124 | 0.110 | 0.179 | 
| Max | 397.500 | 400.000 | 667.000 | 0.234 | 0.320 | 0.349 | 
| Disclaimer/Publisher’s Note: The statements, opinions and data contained in all publications are solely those of the individual author(s) and contributor(s) and not of MDPI and/or the editor(s). MDPI and/or the editor(s) disclaim responsibility for any injury to people or property resulting from any ideas, methods, instructions or products referred to in the content. | 
© 2024 by the authors. Licensee MDPI, Basel, Switzerland. This article is an open access article distributed under the terms and conditions of the Creative Commons Attribution (CC BY) license (https://creativecommons.org/licenses/by/4.0/).
Share and Cite
Tao, Y.; Chen, Q.; Xiao, C.; Zhu, M.; Qiu, J. Artificial Intelligence Models for Predicting Ground Vibrations in Deep Underground Mines to Ensure the Safety of Their Surroundings. Appl. Sci. 2024, 14, 4771. https://doi.org/10.3390/app14114771
Tao Y, Chen Q, Xiao C, Zhu M, Qiu J. Artificial Intelligence Models for Predicting Ground Vibrations in Deep Underground Mines to Ensure the Safety of Their Surroundings. Applied Sciences. 2024; 14(11):4771. https://doi.org/10.3390/app14114771
Chicago/Turabian StyleTao, Yunbo, Qiusong Chen, Chongchun Xiao, Min Zhu, and Jianhui Qiu. 2024. "Artificial Intelligence Models for Predicting Ground Vibrations in Deep Underground Mines to Ensure the Safety of Their Surroundings" Applied Sciences 14, no. 11: 4771. https://doi.org/10.3390/app14114771
APA StyleTao, Y., Chen, Q., Xiao, C., Zhu, M., & Qiu, J. (2024). Artificial Intelligence Models for Predicting Ground Vibrations in Deep Underground Mines to Ensure the Safety of Their Surroundings. Applied Sciences, 14(11), 4771. https://doi.org/10.3390/app14114771
 
        



 
       