Next Article in Journal
Experimental Study on Pulsed Plasma Stimulation and Matching with Simulation Work
Next Article in Special Issue
Enhancing 3D Printing with Procedural Generation and STL Formatting Using Python
Previous Article in Journal
Pore Water Pressure Prediction Based on Machine Learning Methods—Application to an Earth Dam Case
 
 
Font Type:
Arial Georgia Verdana
Font Size:
Aa Aa Aa
Line Spacing:
Column Width:
Background:
Article

Investigating and Characterizing the Systemic Variability When Using Generative Design for Additive Manufacturing

1
Department of Mechanical Engineering, University of Bristol, Bristol BS8 1QU, UK
2
Department of Mechanical and Industrial Engineering, Norwegian University of Science and Technology, 7491 Trondheim, Norway
*
Author to whom correspondence should be addressed.
Appl. Sci. 2024, 14(11), 4750; https://doi.org/10.3390/app14114750
Submission received: 30 April 2024 / Revised: 27 May 2024 / Accepted: 29 May 2024 / Published: 31 May 2024
(This article belongs to the Special Issue Design for Additive Manufacturing: Latest Advances and Prospects)

Abstract

This paper demonstrates the unpredictability of outcomes that result from compounding variabilities when using generative design (GD) coupled with additive manufacturing (AM). AM technologies offer the greatest design freedom and hence are most able to leverage the full capability of generative design (GD) tools and thus maximize potential improvements, such as weight, waste and cost reduction, strength, and part consolidation. Implicit in all studies reported in the literature is the fundamental assumption that the use of GD, irrespective of user experience or approach followed, yields high-performing and/or comparable design outputs. This work demonstrates the contrary and shows that achieving high performance with GD tools requires careful consideration of study setup and initial conditions. It is further shown that, when coupled with the inherent variability of AM parts, the potential variation in the performance of the design output can be significant, with poorer designs achieving only a fraction of that of higher-performing designs. This investigation shows how AM by Material Extrusion (MEX), which is used to manufacture components with polylactic acid (PLA), varies through different design pathways, bridging MEX and GD. Through a practical study across nine independently generated designs, the breadth of performance—due to initial GD conditions and MEX part strength unpredictability—is shown to reach 592%. This result suggest that current GD tools, including their underlying workflows and algorithms, are not sufficiently understood for users to be able to generate consistent solutions for an input case. Further, the study purports that training and consideration on GD setup are necessary to apply GD toolsets to achieve high-performing designs, particularly when applied in the context of MEX.

1. Introduction

As new technologies such as Generative Design (GD) and Additive Manufacturing (AM) are posed as potential revolutions in mechanical engineering, it is important to evaluate the potential of using AM to produce GD parts and whether current approaches can consistently deliver the heavily optimized components that are promised. Whilst previous work has rigorously evaluated GD for AM, little consideration has been given to the sensitivity of the overall process to both the chosen design process and external factors [1,2,3]. This study aims to highlight the large range of possible performances when using GD for AM so that further research can follow to increase the reliability of the process, raising the technology readiness level.
Simulation-driven GD tools are increasingly providing engineers with the possibility to rethink high-performance components, enabling optimization and wider design space exploration with the ability to return multiple design suggestions that each considers a different combination of constraints such as material and manufacturing method. The chief uses of GD in mechanical engineering and product design are lightweighting, strengthening, and part consolidation [4]. The industrial adoption of this technology is rapidly increasing as its advantages are being recognized. In 2021, Airbus leveraged the advantages of GD to create a cabin partition, achieving a 45% weight reduction compared to the previous traditional design [5]. Similarly, in 2023, Mihaly et al. used GD to re-design the safety-critical uprights of a car, achieving a weight reduction of 62% without compromising stiffness [6].
GD often utilizes algorithms that produce novel, biological-looking designs and are not compatible with conventional manufacturing methods [7]. Many GD outcomes can therefore only be realized with the use of AM due to the geometric flexibility afforded by layer-by-layer construction [1,8,9]. GD and AM are complementary, so as the technologies mature and the desire to adopt the advantages of each drives demand for the other, it is important to identify the consequences of combining the technologies [10].
If one is unfamiliar with such tools, it is easy to suppose that a GD package built upon topology optimization might always return the ‘best’ structure for the given problem, whether that is the lightest, the one with the fewest parts, or the one with the highest surface area. Besides the fact that it is never possible to guarantee that a global optimum has been achieved [11], the generation of such tools is also tied inextricably to the problem setup provided by the engineer. The tool can only attempt to optimize solutions to the problem that it is given. If the engineer sets the problem up poorly, by unnecessarily removing design freedom, misunderstanding the use case for the component, or setting unreasonable objectives, the GD tool can only return a solution that is limited by this setup. In this way, the use of a GD package transforms the design problem from structural design to GD problem setup, which does not reduce the required understanding to reach a ‘good’ solution.
Traditionally, most high-performance components have been made using either metallics and subtractive manufacturing techniques or composites with often labor-intensive layup processes. AM, meanwhile, provides the potential for rapid prototyping and manufacturing of more complex products and is rapidly emerging as a technology with the ability to produce real, innovative, complex, and robust products [12,13,14]. Recently, metal AM has made the foundation for AM to be used in real complex use cases due to comprehensive material characterization [15]; however, capabilities are restricted due to slow production and high equipment and material cost.
Recent advances in the Material EXtrusion (MEX) AM of polymers has led to major progress in processing hardware, material science, and Design for Additive Manufacturing (DfAM) in load-bearing applications. Although MEX is by far the most widespread form of AM technology, with 2.2 million printers sold in 2022 and an exponential growth rate forecasted [16], a significant barrier toward industrial usage is the uncertainty associated with part performance [14]. MEX polymers are classified as either commodity or high-performance, with the latter differentiated by a processing temperature above 250 °C [17]. High-performance materials are highly anisotropic [18,19] and are yet to be validated for component production. This study instead focuses on the commodity polymer poly-lactic acid (PLA) since it is widely researched, and machines capable of producing PLA components are readily available. PLA is also less sensitive to variations in factors such as temperature and moisture, which enables a clearer evaluation of the variability in GD for AM component production.
Traditional subtractive manufacturing techniques typically yield components with near isotropic material properties, making strength predictions straightforward. MEX components, however, are severely anisotropic both due to their porosity and inter-layer weaknesses, with a high likelihood that they will fail by delamination [14]. This characteristic is widely acknowledged and a common research topic; however, its effect on the adoption of GD is untouched.
Every decision in the GD process impacts outcome performance. As the designer performs GD problem setup, they must choose from a range of (at face value) equally viable approaches when selecting objectives and constraints. Further variation is then introduced by the choice of tools with different solvers. Density methods such as SIMP produce radically different designs from a level-set algorithm. The selection here compounds variability upon the variability already inherent within the problem-framing stage. Post-generation, a further outcome performance range is introduced by subjectivity in the outcome evaluation process: decisions made about which GD outcome is most appropriate and how it should be post-processed introduce more sources of uncertainty. The strength of the design returned at the end of the entire GD process is, therefore, a function of every design decision made.
Further variation is introduced into the process of physically realizing GD components in the AM process. MEX is a vastly complex procedure that is sensitive to variables that are directly controllable and uncontrollable by the user. As with the GD process, every decision made by an engineer utilizing MEX fixes the performance of their outcome in some way, from selecting the material with the ‘strongest color’ to infill percentage. In particular, the largest variability is observed in the chosen AM build direction. Again, choices made regarding the post-processing of the printed design affect performance, with sanding and acetone rubbing leading to different strength defects. The overall GD for AM process is presented in Figure 1, with examples of design choices that would affect component performance shown at each stage.
The contribution of this investigation lies in the identification of the variability of outcomes of GD components. The impact of this variability is evaluated in conjunction with the uncertainty in part performance associated with polymer MEX. To assess the range of possible outcomes produced in GD for AM, a structural problem was posed to nine groups of engineering designers, with the goal of maximizing the load that could be withstood before fracture through the use of Autodesk’s Fusion 360 GD tool [20]. Besides some problem constraints, the designers were given complete freedom to set up the GD study and select their chosen outcome. The groups then simulated their designs to obtain an approximate gauge of their strength before producing them using AM in PLA. Finally, the AM components were loaded to failure, and the maximum load achieved was recorded for each design.
This paper continues by examining both the lack of sensitivity analysis in previous GD studies and the current research on AM unpredictability in Section 2. In Section 3, the methodology of the study is discussed, including both the problem given to the designers and the process of using simulation and mechanical testing to inform the wider investigation. Section 4 provides context and background information for the Fusion 360 GD process before demonstrating the differing approaches taken by each design group. The variation in generated outcomes produced by the different setups is then presented as a result in Section 5, along with the strength of each design according to simulation and mechanical testing. The implications of the results and performance variability are then discussed in Section 6 before the paper is summarized and concluded in Section 7.

2. Related Work

2.1. Variability in GD

Previous studies on the use of GD do not consider the effect the chosen problem setup process may have on the generated outcomes. In their 2021 study, Walia et al. aimed to record the GD process for robotic component re-design using Autodesk Fusion 360. Their process of GD setup was documented and justified thoroughly before choosing the outcome with ‘nominal [performance] values’ [1]. This outcome was then analyzed using Finite Element Analysis (FEA), and the results were used to declare a 92% weight reduction compared to the traditional component. Junk and Rothe used Siemens NX to perform a GD study to optimize an automotive suspension A-arm before producing the design using fiber-reinforced AM [2]. Overall, they achieved a 6× weight and a 5× cost reduction when compared to the traditional, CNC milled Aluminum component. At no point is the impact of the problem setup on the outcome considered in either paper.
In their 2022 work ‘Utilizing Generative Design for Additive Manufacturing’, Ntintakis et al. re-designed three pneumatic cylinder mounting brackets using Fusion 360 [3], concluding that the GD tool enabled a roughly 60% weight reduction. Regardless of detailed documentation of the setup process, little explanation is given for some of the choices made, leaving doubt that the setup used would result in a theoretical minimum mass for the component. Mihaly et al. used the Fusion 360 tool to achieve a similar weight reduction when re-designing the uprights for their Formula Student car [6]. However, despite a considered load case approach, they failed to acknowledge any sensitivity that their results may have to the GD problem setup.
Wang et al. in 2021 and Han et al. in 2022 used Autodesk’s GD tool to explore alternative avenues for structural joint design [21,22]. Both groups used the increased design freedoms afforded by AM to realize GD outcomes that minimized mass and reduced maximum displacement and principal stresses. Whilst performance increased and the studies demonstrated that the designs could be produced by AM, neither investigation considered how their results might have been changed if they had defined their problem differently.
Pilagatti et al. used GD to explore optimal aerospace component re-design, ranking outcomes based upon their mass [23]. Similarly, Buonamici et al. used Fusion 360′s GD package to perform static structural design of a robotic gripper arm [24]. In both studies, a range of materials and manufacturing constraints were considered, and the outcomes were compared. However, the implications of the observed variation are not discussed, and no thought is given to how other setup parameters may have affected the results.
Junk et al. compared the performance of different GD tools for a bookend design problem, finding a variation of 17% in the mass of the generated outcomes [25]. This investigation acknowledges the variation possible between solvers; however, it again ignores study setup conditions.
Despite all the studies discussed in this sub-section citing the use of AM as the most appropriate choice for producing GD parts, only Junk and Rothe, Wang et al., and Han et al. followed up by using AM to realize their designs [2,21,22]. Of these, only Junk and Rothe then mechanically tested the part to determine whether the design performed well post-production. This is indicative of the lack of attention given to the whole process of using GD and AM to produce working components. This paper aims to draw attention to this gap to facilitate a better understanding of the effect of the chosen problem setup process on the generated outcomes.

2.2. Variability in AM

Commodity polymers such as PLA, acrylonitrile butadiene styrene (ABS), and polyethylene terephthalate glycol (PETG) are common materials for MEX. The anisotropic properties of high-performance materials are more complex and still require research into thermal management [19]. However, commodity polymers such as PLA are available at a low cost and are thoroughly explored [26,27,28,29].
Numerous studies have identified uncertainty in the performance of components produced by polymer MEX [30,31,32]. Further work has identified the three main areas of the MEX process that contribute to the performance variability of components: the feedstock material, the print orientation and raster angle, and the process parameters [27,28,33,34]. These areas are indicative of the three different categories of variability in MEX; (1) process and material variability, which cannot be controlled by the operator but needs to be considered when comparing printed parts; (2) configuration variability, which can be controlled by selecting process parameters based on existing literature, and (3) orientation variability, where the designer needs to consider the mechanical properties based on layer orientation. This is particularly relevant for GD.
(1)
Uncontrollable process and material variability. Wittbrodt et al. analyzed the effect of PLA color on the UTS of MEX parts [30]. A natural (un-dyed) filament was found to have the best UTS of 57.16 MPa, whilst a gray one performed worst with a UTS of 50.84 MPa. Black, blue, and white filaments all sat in the middle of the range. Schwartz et al. give a more general overview in their work ‘Not all PLA filaments are created equal: an experimental investigation’ [31]: across the range of 11 filaments tested, the authors found a ±17% range in density, ±5% variation in Young’s modulus, and ±10% variability in yield strength. As noted by McGregor et al., most AM research is conducted on a single printer, and if AM is to become a widespread manufacturing technique, it is necessary to determine the variation between components produced on different printers [32]. To this end, McGregor et al. produced 90 lattices across three Carbon M2 AM machines. Hardware was also switched out on each machine between prints to further assess variability. Following geometric measurements of all the lattices produced, it was found that the choice of the machine not only ‘significantly impacts’ the thickness, length, and height of components but also the variance of component dimensions [32].
(2)
Controllable configuration variability. In 2020, Ayatollahi et al. investigated the effect of raster angle on MEX PLA components’ UTS and fracture behavior using the J-integral [29]. The team tested four different raster angles of 0/90°, 15/−75°, 30/−60°, and 45/−45°. Of these, the 45/−45° raster components performed best, with greater elongation before fracture and a J-integral more than 4× that of the 0/90° raster components. Clarke et al. compared the relative effects of build orientation, raster angle, infill type, infill density, and layer height in polyethylene terephthalate-glycol (PETG) [33]. They found that all the variables except the layer height had a strong correlation with component UTS. Similarly, Tsouknidas et al. found that increasing infill density and layer height together gave a 5× rise in energy absorption for PLA specimens undergoing ballistic impact tests [35]. The final area where variation emerges in the AM process lies in the high sensitivity of components to machine parameters. Goudswaard et al. attributed the 17% variation in UTS observed between identical components in their experiment to fluctuations in extrusion temperature [36]. Nozzle temperature studies suggest that the highest possible nozzle temperature that does not cause material degradation provides the best mechanical properties [37].
(3)
Orientation variability for component design. When printing vertical samples, the layer adhesion resulting from the process majorly affects the material properties of PLA. Varying build orientation leads to significant variation in UTS, with previous studies finding a reduction of 47.9% [34] up to 58.24% [27]. UTS is dependent on the printing angle of the geometry [28]. In a recent study, physical specimens were printed at 0, 15, 30, 45, 60, 75, and 90° and tested to create a method for predicting UTS in PLA at different orientations [28]. Caminero et al. demonstrated how other performance metrics are also affected by build orientation, finding that higher impact strengths could be achieved for specimens printed ‘on-edge’ rather than flat [38].
There are many sources of uncertainty in the AM process, and each of them can wildly influence the strength and structure of manufactured components. When compounded with the variability of outcomes produced by GD tools, there is the potential for unpredictable and unreliable parts. It is vital that the degree of variability in GD for AM components be both investigated and characterized. The three different categories of variability all affect component mechanical properties. Uncontrollable processes and material variability must be considered when comparing printed objects. Controllable configuration variability needs to be optimized, and the most predictable configurations need to be selected. Although orientation variability for component design creates the largest outcome variation, it can be taken into consideration by the designer when using GD and evaluating generated outcomes.

3. Methodology

To identify the variability of GD outcomes, nine groups of engineering students performed a full component re-design by (A) evaluating design criteria based on the original component design, (B) framing a generative design problem, (C) selecting the most appropriate GD outcome for AM, (D) predicting the maximum load-bearing capabilities using simulation, (E) component manufacturing using MEX AM, and (F) mechanical destructive testing to identify the maximum load before fracture. The full experimental cycle can be seen in Figure 2. Throughout the process the designers considered how MEX component performance varies with build direction, as demonstrated in Figure 3.

3.1. Study Participants

All the engineers who participated in the design study, except for one, were graduate students participating in the Advanced Product Development (ADP) course at the Norwegian University of Science and Technology (NTNU), Trondheim, Norway. The other participant was the course instructor, whose design (the course example) is marked with an asterisk (A*) throughout this paper to differentiate. The students had previously taken various courses, including, but not limited to, product modeling, fatigue and mechanical design by manual calculations, Finite Element Analysis using multiple Nastran and nonlinear solvers for modeling large strains, and mechanical properties of metal and polymer materials. As part of the ADP course, the students were also lectured on the use of GD tools, the anisotropic properties of AM, and the loss of performance associated with specific build orientations.
The variability of GD and AM design outcomes is investigated by comparing nine different MEX-manufactured GD outcomes. In Design A*, the course instructor made an outcome based on best practice without considering orientations in AM. In Designs B–I, the participants were instructed to use any tools or make decisions to provide the strongest possible results in terms of strength within the design constraints. The different decisions and alternating options were then analyzed based on their final designs, which were fully documented as part of APD.

3.2. Problem Setup and Generative Design

The nine groups were tasked with the re-design of a cantilever VESA wall mount. The use case for the component can be seen in Figure 4A, where the silhouette acts as an example structure. Figure 4B shows the 100 × 100 VESA mount that was required at both ends of every design. Traditionally, this component is made from machined steel; however, to further test the viability of polymer MEX, the engineers in this study were limited to only PLA. The other constraints given were as follows:
  • Only 100 g of material of PLA could be used (including support structure);
  • The component would be manufactured on a Prusa Mk3 (Prusa Research, Prague, Czech Republic);
  • The design must have a standard 100 × 100 VESA mount (RS UK, London, UK) at both ends;
  • The design must cover a span of 150 mm, with this length entirely generated.
To ensure that the engineers could develop accurate simulations and were best positioned to create high-performing components, they were all briefed thoroughly on the properties of MEX using PLA. All designs were manufactured by MEX using PLA from Mitsubishi Chemical Group Performance Polymers (PLA, Mitsubishi Chemical Group Performance Polymers, Helmond, The Netherlands).
PLA has a density of 1.24 g/cc with a printing temperature of 205 ± 10 °C. This enables the calculation of component weight if solid infill is used. The participants were instructed to perform extrusion multiplier, retraction, and volumetric flow calibrations to ensure accurate they accurately met the 100 g target and maximized surface quality [39]. For the designs, a filament with the industry standard of 1.75 ± 0.05 mm provides a worst-case accuracy of 97.2% in mass extrusion. 33.5 m of PLA was extruded for each of these designs to meet thee 100 g target, where this deviation occurs, resulting in minor voids and over-extrusion areas. With an accurate extrusion multiplier, the GD software (Autodesk Fusion 360 v.16.4.0.2062) can accurately generate the target mass as well as the support mass generated by the slicer. A calibrated retraction ensures a better surface quality and removes defects. Volumetric flow enables the designs to be printed at maximum speed, resulting in higher layer temperatures and better layer bonding [19]. All the designs were printed using a fully calibrated Prusa Mk3 with 0.6 mm nozzles and 0.3 mm layer height at a room temperature of 24 °C. Using the Prusa Mk3, the layer bonding temperature is a function of time per layer and is, therefore, geometry-dependent. The participants were instructed to reduce cooling to a minimum without affecting surface quality of geometric accuracy to ensure a fair comparison between the different designs.
In the XY manufacturing direction, the datasheet reports a UTS of 69 MPa with a Young’s modulus of 3138 MPa. In the XZ and YZ directions, the UTS is reduced to 39 MPa with a Young’s modulus of 3112 MPa. The design groups were all advised to use solid infill, and as suggested by the literature, a 45/−45° raster [29]. The solid infill provides the opportunity for simulations and links to the GD tool, as Fusion 360 (Autodesk Fusion 360 v.16.4.0.2062) provides solid outcomes. Based on previous literature and the mechanical properties of PLA material, it is possible to extract the UTS based on build orientation, as seen in Figure 3 [28]. The orientation can then be used to evaluate the FEM simulation to predict the fracture location and the maximum applied load. The MEX manufacturing direction and method to apply UTS based on orientation using PLA is shown in Figure 3.
For the designers to best utilize their 100 g of PLA in this task, the build orientation of the component should be chosen to balance the UTS while considering MEX anisotropy with the use of support structures. In the example shown in Figure 3, the XZ orientation requires no supports but provides layers that run parallel to the loading, giving a weaker overall outcome. By contrast, building in the XY orientation requires more support but better exploits the tensile strength of the material. In this way, a trade-off must be made to maximize overall strength.
The components were generated using Autodesk Fusion 360′s GD package due to both its efficacy and widespread usage [20]. Other than the above constraints, the engineers were given complete design freedom in setting up their GD study, selecting which outcome they wanted to further develop and the setup for AM. The groups were instructed to document their process as thoroughly as possible.
Figure 4. (A) Component constraints and applied load (red arrow). (B) The 100 × 100 VESA interface for the applied load and constraints was to be fixed by four M6 bolts and nuts. (C) Testing setup using a custom jig mounted on the MTS Criterion Electromechanical Load Systems, C42.503, for recording load-bearing capabilities.
Figure 4. (A) Component constraints and applied load (red arrow). (B) The 100 × 100 VESA interface for the applied load and constraints was to be fixed by four M6 bolts and nuts. (C) Testing setup using a custom jig mounted on the MTS Criterion Electromechanical Load Systems, C42.503, for recording load-bearing capabilities.
Applsci 14 04750 g004

3.3. Simulation and Mechanical Testing

Following the selection of their desired GD outcome, the design groups simulated their structure to predict its performance. The groups aimed to set up their simulations to predict the mechanical test as accurately as possible, using fracture as the stopping condition. As the groups were not constrained to a specific tool, Fusion 360′s static stress analysis environment [40], SolidWorks [41], and Inventor Nastran [42] were all used.
The mechanical testing of the components was carried out using an MTS Criterion Electromechanical Load Systems, C42.503, with 5 kN load capacity, as seen in Figure 4C. The time (s), displacement (mm), and applied load (N) were all recorded at 10 Hz. These data were then processed and plotted using Python. The standard deviation of loads for both the simulation and mechanical tests was calculated across the entire population of designs. From these results, the authors aimed to determine both the variability in GD outcome performance and the uncertainty in strength produced by the AM process as evaluated by any differences between the predicted and actual maximum loads of the designs.

4. Fusion 360 Generative Design

When using Fusion 360 GD, engineers must follow a series of setup steps so that the solver has all the necessary information. Post-generation, engineers then select from a range of outcomes to decide which to progress on. This process is highly flexible, enabling multiple approaches for the same problem. The following two sub-sections provide background information regarding the steps required by Fusion 360 GD.

4.1. Fusion 360 GD Setup

Preserve Geometry: Users must first select the geometry that they have identified as essential to the part. These bodies are ‘preserved’ and will remain in their entirety through the generation process. Often, these are bodies intended to interface with other components/ surfaces during use. Preserve geometry is shown in green in the Fusion 360 GUI.
Starting Geometry: Designers can optionally select a starting body for generation. This informs the solver of an approximate shape, rather than enabling it to generate freely. Any starting geometry is shown in yellow in the Fusion 360 GUI.
Obstacle Geometry: Obstacle geometry allows designers to partition regions of the design space where material is undesirable. Typically, this is used to prevent the generated outcome from forming in a way that would cause collisions with other components or surfaces. Designers are also provided with the option for the solver to avoid placing material within a user-defined offset distance from obstacles. Obstacle geometry is shown in red in the Fusion 360 GUI.
Symmetries: Fusion 360 designers can constrain generation to be symmetric about selected planes. Since the GD solver is stochastic, symmetry is not otherwise guaranteed, even if the setup is symmetrical.
Structural Constraints: These are required to ensure that the model converges. Designers are given the option to constrain any face, edge, or vertex by fixing or pinning normal to the surface or to a remote location. These constraints can each be selected for all DOFs, for example, X, Y, and Z in the case of a fixing constraint.
Structural Loading: The application of structural loads enables the solver to perform the necessary FEA at each iteration of the generation. Without defining these loads, the solver has no measure of the generated geometry’s performance. Fusion 360 provides multiple load types, which can all be targeted at any face, edge, or vertex: force, pressure, moment, bearing load, remote force, and remote moment. The user can then select the magnitude and direction of the selected loads.
Material: It is necessary to select the part material so that the solver can meet the mass or stiffness targets. Without the specific material property information, the objective function would not be calculable (when using the maximise stiffness objective the only accurate material data that is necessary is the density, as material is added and subtracted only under the assumption that more material adds stiffness until the mass target is reached).
Objectives and Limits: At the time of writing, designers can choose between two principal objectives for Fusion 360′s GD solver: minimize mass and maximize stiffness. When choosing to minimize mass, the solver iteratively removes material from the geometry until the part yields under the applied load, accounting for a user-defined safety factor (default = 2.00). When maximizing stiffness, the solver aims to do so whilst accounting for the user-defined safety factor, using material up to the user-defined mass target. Three optional additional objectives can be chosen alongside either of the required objectives explained above. Designers have the option to:
  • Tune the part to a user-defined minimum first mode frequency;
  • Specify a desired part displacement when under load. This can be defined locally to a face, edge, or vertex or globally, in the X, Y, and Z directions;
  • Add a buckling-stopping condition on top of the normal yield condition with a user-defined safety factor.
Manufacturing method(s): Fusion 360 allows the designer to choose from multiple manufacturing methods, with the requirement that at least one is selected. The options are unrestricted (no manufacturing constraints are applied), additive manufacturing, milling (2.5, 3, or 5-axis), 2-axis cutting, and die-casting. Designers can then select the direction(s) in which they wish to manufacture. Picking a method applies a set of constraints that restrict the generated geometry. For example, applying the AM method sets maximum overhang angle (user-defined) and minimum thickness (user-defined) constraints.

4.2. Outcome Evaluation

GD Outcome Selection: The Fusion 360 GD tool can generate multiple design outcomes from different setup cases and/or studies. For example, if the user selects multiple materials and manufacturing methods over several studies (each consisting of a distinct setup), an outcome will be created for every combination of materials and manufacturing methods selected in each study. It is, therefore, necessary that the designer selects the most appropriate design outcome, either through simulation and testing or their engineering intuition. To do so, Fusion 360 supplies the designer with a range of information about each outcome, including, but not limited to, safety factor, weight, and maximum global displacement when under load.
Post-processing: Fusion 360 provides the option to export generated designs into its manual editing CAD workspaces. Here, engineers can edit the outcome using any of the solid, surfacing, or form tools.
Outcome Simulation: To predict how well the chosen outcome will perform under physical testing, Fusion 360 provides a static stress analysis environment for FEA analysis of parts [40]. Extensive material data are required for this step to allow an accurate gauge of the part’s safety factor and, hence, maximum load capacity. In this study, groups also used either SolidWorks [41] or Inventor Nastran [42] for this analysis.

4.3. Variation in GD Process

The design groups in this study all followed different procedures for the mount design problem. The deviations in approach taken across the problem setup for each design are shown in Table 1. The material is not stated in Table 1, as it was identical for every design as a problem constraint. The differences in preserve geometry approaches are similarly not shown in Table 1 since they are better expressed pictorially (shown in Figure 5).
Only Design E used a starting shape, utilizing the output of a first GD iteration to inform the generation of a second. Similarly, Design C was the only design to rely upon post-processing to clear the bolt-hole material as opposed to using obstacle geometry. Likewise, Design E shows the only approach to constrain the generation to be symmetrical.
Structural constraints were inconsistent, with fixed constraints being applied across either the back faces of the fixed-end mounts, the inner face of the fixed-end mount bolt holes, or a combination of both. Design F chose, in addition to a fixed constraint on one of the fixed-end mounts, to constrain the other fixed-end mounts with a frictionless constraint, allowing them to drift in the plane of the wall but constraining movement in the normal direction. The variation in structural load setups was also large, with each group choosing a different magnitude and direction of load combination. Similarly to the structural constraints, the setups also applied loads across a combination of the free-end mount front faces or the free-end mount bolt holes. Designs G and H chose to use a remote load instead of a surface load, aiming to simulate the position of the CoM of the monitor. Designs B and I included further moment loads that aimed to apply the uneven tension and compression felt within a cantilever beam. In addition, design I applied a bearing load to the bolt hole faces of the free-end mounts, replicating the uneven distribution of load as the bolts apply pressure to one side of the face.
The design groups also took different approaches when considering the design for AM. All the groups used the maximize stiffness objective and chose a target weight that was some amount less than the 100 g allotted for total PLA extruded, effectively determining the amount of supports they could use. Six of the nine designs chose to allow 10 g freedom for supports, whilst Design D allowed 15 g freedom and Designs E and I allowed only 5 g. The groups similarly chose a range of overhang angles and minimum thicknesses, with Designs B, E, and I being more confident in AM abilities and therefore choosing larger angles of 60° or 70° and lower thicknesses of 2 mm or 3 mm. In contrast, Designs G and H were more cautious with a lower overhang angle of 45° and a minimum thickness of 6 mm. Most groups chose to investigate designs generated considering printing with the AM build direction both parallel to the length of the cantilever beam and orthogonal. Designs D and F, however, only generated outcomes for parallel and orthogonal, respectively. Similarly, only Designs A*, G, H, and I explored outcomes with no manufacturing constraints.
Designs G and H show the only approaches of utilizing Autodesk’s experimental solvers. They both then post-processed the resulting designs using Fusion 360′s form environment and its ‘Cylindrify’, ‘Smooth’ and ‘Straighten’ tools. Design G then further post-processes by adding a single AM nozzle width thickness plane to act as support for the upper beams of their design.
The setups created by the groups following the above steps are shown below in Figure 5. The clearest difference in approaches is the variety in the chosen preserve geometry for each setup. Broadly, a combination of two geometries was used: a ‘closed’ mounting plate that connects the four bolt holes or an ‘open’ four separate mounts, each with one bolt hole. Designs A* and C took a ‘closed–closed’ approach with plates at each end. In contrast, designs E–I used ‘open–open’ for greater design freedom for the GD solver. Designs B and D chose a middle ground with one end ‘closed’ and the other ‘open’; they disagreed about the best order, however, with B using the plate at the fixed end and D at the free end. By visual inspection, it is clear that the freedom given by Fusion 360 GD allows for a large range of possible problem approaches.
Figure 5. Final setup of GD problem as displayed in the Fusion 360 GUI. Preserve geometry shows green, obstacle geometry in red and starting geometry in yellow. Arrows demonstrate the application of loads.
Figure 5. Final setup of GD problem as displayed in the Fusion 360 GUI. Preserve geometry shows green, obstacle geometry in red and starting geometry in yellow. Arrows demonstrate the application of loads.
Applsci 14 04750 g005

5. Technical Results

Seven of the nine study setups provided multiple outcomes. To choose between these outcomes, the groups considered weight, safety factor, and suitability for AM, alongside their engineering intuition regarding which geometries would likely fail easily. Certain outcomes may be more appropriate for AM due to their overhangs and strut direction being compatible with AM’s anisotropic properties. The designs selected by each group are shown in Figure 6.
The stiffness of a cantilever beam is heavily influenced by its cross-sectional area, which can, therefore, be used to estimate design performance [43]. Designs A*, G, and H enclose a large cross-sectional area along the entire length of the structure, with struts that provide reinforcement between those on the perimeter. Conversely, Designs C-F and I all narrow to a small cross-sectional area along their length. This is particularly noticeable in Design C, where only two small struts connect to the free-end plate. Design B has a medium cross-sectional area, which narrows out from the fixed-end plate but then branches to six struts that support the free end. It is clear from visual inspection that the groups created a large spread of designs.
Figure 6. Renders of the outcomes selected by each group.
Figure 6. Renders of the outcomes selected by each group.
Applsci 14 04750 g006

5.1. Simulation Results

To predict the maximum load that their design would be able to withstand before fracture/yielding, each group performed a linear static load simulation. When doing so, the same structural constraints and loads were applied to the designs as were used in their GD setup. Similarly, the predictions were calculated using the same PLA material properties as those used in the GD setups. All the simulations regarded the material properties of the PLA as isotropic. Whilst this is known to be unrealistic, it provides a representation of the relative strength of each design’s structure. The maximum load prediction for each design can be found in Table 2.
There is a 341 N standard deviation across the predicted maximum loads for all the designs. The spread is around a mean of 504 N. The ratio of standard deviation to the mean indicates the broad range of possible outcome performance created by different GD approaches.

5.2. Mechanical Testing Results

Table 2 demonstrates the characteristics of each of the designs tested, with Figure 7 illustrating the load applied by the tensile testing machine across the full test duration. The peak load, displacement, stiffness, and energy absorption were physically tested post-production, as seen in Figure 4. The ‘Difference’ shows the gap between the peak load and the predicted load. The differences between the predicted and peak loads and the displacements at fracture are further illustrated in Figure 8 and Figure 9, respectively.
There is a 471 N standard deviation across the peak loads for all the designs. The spread is around a mean of 838 N. This demonstrates again the span of outcome performances, showing that different approaches to the GD process achieve wildly different results. Peak load correlates to the predicted load with a coefficient of 0.81. This suggests that despite the unpredictability of AM, the chosen design has a significant impact on structure performance.
Design H has the highest energy absorption of 12663.29 Nmm, 700% more than that of Design C, which is 1809.41 Nmm. The population of designs has an energy absorption standard deviation of 3971 Nmm around a mean of 6032 Nmm. This spread demonstrates the compounding variation produced by GD and AM. The energy absorption and peak loads of the design correlate with a coefficient of 0.93, showing that the better performing designs did so across the board rather than the designs, each with their own strengths. All the designs were made from the same amount of PLA, but through suboptimal generation and weaknesses introduced in the AM process, some of the components failed significantly sooner.
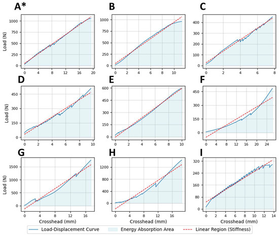
The load–displacement curves of each of the different designs are presented in Figure 7. The data from mechanical testing show that Designs A*, C, and E had a near-linear development in displacement as the load increased. Linear component stiffness enables simulations to correspond well to physical testing when not using nonlinear solvers. In Designs B and I, the development in displacement increased more at higher loads, similar to that observed in tensile testing of PLA specimens. In Designs B, F, G, and H, the stiffness increased at higher loads.
Figure 7. Load–displacement curves that depict how each design deflected as the load increased up to the yield.
Figure 7. Load–displacement curves that depict how each design deflected as the load increased up to the yield.
Applsci 14 04750 g007
A comparison of simulation results and peak load is presented in Figure 8. There is a massive 592% drop in the peak load between the strongest (Design H) and weakest (Design I) designs. Generally, the predicted load is 40–60% of the peak load, except for Design E. Design E fractured early at the bolt interface, a region not evaluated by the simulation. The spread of predicted loads demonstrates the variation in GD design performance. The simulations assumed constant material properties throughout the design, meaning all performance variation is due to geometry. The further spread of peak loads indicates the effect of compounding AM variation on GD outcome variation.
Figure 8. Maximum peak load from component testing and predicted load from FEM analysis, comparing the nine different designs A* to I.
Figure 8. Maximum peak load from component testing and predicted load from FEM analysis, comparing the nine different designs A* to I.
Applsci 14 04750 g008
Statistical analysis confirms that the peak loads are significantly greater than the predicted loads (one-tailed t-test, p < 0.005). This severe underestimation is likely due to the lack of consideration for the anisotropy in AM parts. The simulations operated under the assumption that the UTS of the PLA was 39 MPa, and therefore, they were unable to realize the strengths of the parts for two reasons. Firstly, the struts manufactured in a parallel plane to the print bed likely have a UTS nearer 69 MPa. Secondly, some regions of a cantilever beam are in compression, providing the struts with a higher yield stress.
Figure 9A presents the displacement of each design at its peak load. Stiffer designs deflected less under similar loads. The best-performing Design H had a displacement of 17.43 mm at 1757 N. As a direct comparison, the worst-performing Design I had a displacement of 13.73 mm at 297 N. For a better comparison, the designs should be evaluated within the linear region of Design I at 250 N.
Figure 9B shows the displacement of each design with 250 N applied. Despite all the approaches in the GD setup using the ‘maximize stiffness’ objective, the range of displacements seen implies a variety of stiffnesses achieved. This is not fully representative, however, as Designs B, F, G, and H all increased in stiffness at higher loads, as shown in Figure 8. It is notable that Design F achieved the highest deflection, with 26.29 mm at peak load and 19.70 mm at 250 N, since this design was formed from the only GD setup approach to use frictionless constraints and was therefore designed for deflection.
The population of designs had a mean stiffness of 48 N/mm with a standard deviation of 27 N/mm. Again, this shows a large spread in the performance of the structures.
Figure 9. (A) Displacement at fracture for each design. (B) Displacement at a 250 N load for each design.
Figure 9. (A) Displacement at fracture for each design. (B) Displacement at a 250 N load for each design.
Applsci 14 04750 g009
In summary, the results show a wide variation in predicted load, stiffness, energy absorption, and peak load, with the standard deviation of each metric across the population of designs greater than 50% of the mean in all cases. The 341 N standard deviation in predicted loads and 471 N standard deviation in peak loads, in particular, shows how the variability in AM material properties compounds with the variability in GD outcomes to produce a wide range of component performance.

6. Discussion

The groups took a broad range of approaches to GD setup, as demonstrated in Table 1. Despite this, a general workflow can be seen. Only one of the nine designs relied upon starting geometry and symmetry, whilst one other did not use obstacle geometry, preferring instead to remove geometry from the bolt holes post-generation. All the designs used fixed structural constraints, with again only one group additionally applying frictionless constraints to account for deflection. Similarly, seven of the designs applied surface loads to the free-end mounts, with two of these additionally applying moments to reflect the dynamic tension-compression felt by a cantilever beam as it deflects. The designs with the highest peak loads before fracture (Designs G and H) instead used remote loads to simulate the force being applied at a standoff from the free-end mounts. All the designs used the maximize stiffness objective and provided some leeway for the solver to violate the AM overhang conditions and for the chosen outcome to, therefore, require supports. Designs A*, G, H, and I were all without a manufacturing constraint alongside the AM constraint applied by all the groups. Only Designs D and F did not generate outcomes for multiple build orientations, using their engineering judgment to then select the most appropriate design, demonstrating a healthy skepticism of the outcome performance. The groups chose a range of overhang angles and minimum thicknesses, with no clear correlation between these factors and design performance. Only Design E iterated their outcome, using the output of the first iteration as the starting shape for the second, but no clear performance benefit was noted from this. Designs G and H were the only two to exploit Fusion 360′s experimental solver and post-processing, gaining designs with more consistent thicknesses and straighter struts.
The range of predicted loads achieved by simulation in this study demonstrates a large variation in the performance of design output by Fusion 360 GD. Design differences are also clear by visual comparison of the outcomes, varying widely in cross-sectional area, strut length, and strut thickness. This variation demonstrates how different approaches to GD use can lead to a wide spread of outcomes. In combination with the range of different setup processes, the variation also implies that the use of GD tools shifts the design problem from structure design to problem setup, transforming the problem but not necessarily reducing complexity. Training is therefore required to reliably gain useful results from GD tools, and design teams aiming to harness GD for high-performance components should consider certification.
There has been a lack of focus on the sensitivity of GD outputs in the academic literature. The authors can find no other studies that discuss it. This is a severe omission, as without consideration of the outcome variation and the exact setup used, previous work is irreproducible and, therefore, unscientific.
The larger standard deviation of peak loads than predicted loads (471 N compared to 341 N) shows how the use of polymer printing by MEX compounds variability and uncertainty in the performance of GD for AM components. The requirement for many GD outputs to be producible by AM limits the adoption of GD as industrial standards currently prohibit the use of AM in many areas for fear of uncertain material properties producing premature failures. Correlation between the simulation and mechanical testing results, however, provides validation for a simulation-driven design approach. A design engineer using GD tools can rely upon simulation to provide an indication of the relative performance of structures, allowing informed iteration and evaluation ahead of physical prototyping.
Despite having been lectured on the variation in the UTS of polymer MEX components with build orientation, all but Designs F, G, and H were manufactured with the build direction along the length of the cantilever beam (in the weak direction). This opened their structure to inter-layer delamination as the load was applied parallel to the length of the beam. Groups were forced to choose this print direction to accommodate overhangs in their design without breaching the 100 g filament limit. This demonstrates the violation of manufacturing constraints by the Fusion 360 GD solver, which results in a further source of uncertainty and variability in the tool.
This study is exploratory in nature due to its emergence from the NTNU ADP course described above. The sample size of nine design groups is small, and each of the designs was only mechanically tested once. As such, these results do not supply sufficient depth to determine the relative impact of different GDs for AM parameters on outcome performance with statistical significance. Instead, this work serves to bring attention to the large range of outcomes possible in GD for AM, with the aim primarily being to spark increased consideration for sensitivity analysis in GD research. A more structured combinatorial study is required to determine the exact effect the process parameters have on outcome performance. Further work on this should include a thorough mapping of the GD setup parameters, specifically as work on AM variability has already been established.

7. Conclusions

This study identifies variability within the performance of components generated by GD. Uncertainty in the polymer MEX production process was found to further compound the range of performances. The results show a 592% spread in load-bearing capacity, from 297 N to 1757 N. Despite every design group optimizing for stiffness, the final achieved stiffnesses ranged from 6.73 N/mm to 100.19 N/mm—a 1489% spread. Under 250 N of load, each design showed significantly different deflections, with the least displacing by 2.41 mm and the most by 817% at 19.70 mm. This large spread in outcome performance implies that GD users should be specially trained to obtain the best of the tools.
The correlation between the outcome performance predicted by simulation and that achieved post-production in mechanical testing demonstrates that simulation-driven design enables the evaluation of the relative strength of structures, allowing designers to rapidly iterate GD studies to find a suitable solution. The absolute performance of the simulations in comparison to mechanical testing shows that robust real-world prototype testing is required to accurately determine design feasibility.
The study succeeded in demonstrating the potential range of outcomes possible when utilizing GD for AM. However, the small sample size of both different design approaches and the number of tested AM components restrict the conclusions that can be drawn. Future efforts should be directed toward identifying the most impactful variables in the GD for AM process, with specific attention given to how uncertainty can be reduced.

Author Contributions

Conceptualization, O.P., C.W.E., B.H., M.G., C.S., M.S. and S.W.E.; Methodology, O.P., C.W.E., B.H., M.G., C.S. and S.W.E.; Software, O.P.; Validation, S.W.E.; Formal analysis, O.P. and S.W.E.; Investigation, O.P., B.H. and S.W.E.; Resources, C.W.E. and M.S.; Data curation, S.W.E.; Writing—original draft, O.P. and S.W.E.; Writing—review & editing, O.P., C.W.E., B.H., M.G., C.S., M.S. and S.W.E.; Visualization, O.P., M.G. and S.W.E.; Supervision, B.H., M.G. and S.W.E.; Project administration, C.W.E., M.S. and S.W.E. All authors have read and agreed to the published version of the manuscript.

Funding

The work reported in this paper was undertaken as part of joint laboratory, Additive Manufacturing of High-Performance Components (AM4HPC), between the University of Bristol and the Norwegian University of Science and Technology. The authors would also like to acknowledge the support of EPSRC via the University of Bristol DTP Grant: Ref EP/T517872/1.

Data Availability Statement

The original contributions presented in the study are included in the article, further inquiries can be directed to the corresponding author.

Conflicts of Interest

The authors declare no conflicts of interest.

References

  1. Walia, K.; Khan, A.; Breedon, P. The generative design process for robotic design applications. J. Addit. Manuf. Technol. 2021, 1, 528. [Google Scholar]
  2. Junk, S.; Rothe, N. Lightweight design of automotive components using generative design with fiber-reinforced additive manufacturing. Procedia CIRP 2022, 109, 119–124. [Google Scholar] [CrossRef]
  3. Ntintakis, I.; Stavroulakis, G.E.; Sfakianakis, G.; Fiotodimitrakis, N. Utilizing Generative Design for Additive Manufacturing. In Recent Advances in Manufacturing Processes and Systems; Dave, H.K., Dixit, U.S., Nedelcu, D., Eds.; Lecture Notes in Mechanical Engineering; Springer Nature Singapore: Singapore, 2022; pp. 977–989. [Google Scholar] [CrossRef]
  4. Ntintakis, I.; Stavroulakis, G.E. Progress and recent trends in generative design. MATEC Web Conf. 2020, 318, 01006. [Google Scholar] [CrossRef]
  5. Shrestha, P.R.; Timalsina, D.; Bista, S.; Shrestha, B.P.; Shakya, T.M. Generative design approach for product development. In Proceedings of the 7th International Conference on Engineering, Applied Sciences And Technology, (Iceast2021), Bangkok, Thailand, 1–3 April 2021; p. 020008. [Google Scholar] [CrossRef]
  6. Mihály, C.; Ildikó, D.M. Mass reduction of the upright of a racing car with innovative methods. Acta Polytech. Hung. 2023. [Google Scholar] [CrossRef]
  7. Zhang, W.; Huang, F. An introductory overview to bio-inspired generative design. J. Mech. Sci. Technol. 2023, 37, 1–5. [Google Scholar] [CrossRef]
  8. Zegard, T.; Paulino, G.H. Bridging topology optimization and additive manufacturing. Struct. Multidiscip. Optim. 2016, 53, 175–192. [Google Scholar] [CrossRef]
  9. Guerguis, M.; Principe, S. Biomimetic Generative Morphologies for 3D-Printing. In Proceedings of the Advances in Architectural Geometry 2020, Paris, France, 30 August–2 September 2020. [Google Scholar]
  10. Briard, T.; Segonds, F.; Zamariola, N. G-DfAM: A methodological proposal of generative design for additive manufacturing in the automotive industry. Int. J. Interact. Des. Manuf. IJIDeM 2020, 14, 875–886. [Google Scholar] [CrossRef]
  11. Li, B.; Wei, Z.; Wu, J.; Yu, S.; Zhang, T.; Zhu, C.; Zheng, D.; Guo, W.; Zhao, C.; Zhang, J. Machine learning-enabled globally guaranteed evolutionary computation. Nat. Mach. Intell. 2023, 5, 457–467. [Google Scholar] [CrossRef]
  12. Gibson, I.; Rosen, D.W.; Stucker, B.; Khorasani, M.; Rosen, D.; Stucker, B.; Khorasani, M. Additive Manufacturing Technologies; Springer: Berlin/Heidelberg, Germany, 2021; Volume 17. [Google Scholar]
  13. Ian Gibson, I.G. Additive Manufacturing Technologies 3D Printing, Rapid Prototyping, and Direct Digital Manufacturing; Springer: Berlin/Heidelberg, Germany, 2015; ISBN 1-4939-2113-4. [Google Scholar]
  14. Tofail, S.A.; Koumoulos, E.P.; Bandyopadhyay, A.; Bose, S.; O’Donoghue, L.; Charitidis, C. Additive manufacturing: Scientific and technological challenges, market uptake and opportunities. Mater. Today 2018, 21, 22–37. [Google Scholar] [CrossRef]
  15. Agius, D.; Kourousis, K.; Wallbrink, C.; Agius, D.; Kourousis, K.I.; Wallbrink, C. A Review of the As-Built SLM Ti-6Al-4V Mechanical Properties towards Achieving Fatigue Resistant Designs. Metals 2018, 8, 75. [Google Scholar] [CrossRef]
  16. 3D Printing Market. Available online: https://www.futuremarketinsights.com/reports/3d-printing-market (accessed on 8 November 2023).
  17. Das, A.; Chatham, C.A.; Fallon, J.J.; Zawaski, C.E.; Gilmer, E.L.; Williams, C.B.; Bortner, M.J. Current understanding and challenges in high temperature additive manufacturing of engineering thermoplastic polymers. Addit. Manuf. 2020, 34, 101218. [Google Scholar] [CrossRef]
  18. Kaplun, B.W.; Zhou, R.; Jones, K.W.; Dunn, M.L.; Yakacki, C.M. Influence of orientation on mechanical properties for high-performance fused filament fabricated ultem 9085 and electro-statically dissipative polyetherketoneketone. Addit. Manuf. 2020, 36, 101527. [Google Scholar] [CrossRef]
  19. Bjørken, O.U.; Andresen, B.; Eikevåg, S.W.; Steinert, M.; Elverum, C.W. Thermal Layer Design in Fused Filament Fabrication. Appl. Sci. 2022, 12, 7056. [Google Scholar] [CrossRef]
  20. Autodesk Generative Design|Autodesk. Available online: https://www.autodesk.com/learn/ondemand/module/fusion-generative-design (accessed on 18 April 2024).
  21. Wang, H.; Du, W.; Zhao, Y.; Wang, Y.; Hao, R.; Yang, M. Joints for treelike column structures based on generative design and additive manufacturing. J. Constr. Steel Res. 2021, 184, 106794. [Google Scholar] [CrossRef]
  22. Han, L.; Du, W.; Xia, Z.; Gao, B.; Yang, M. Generative Design and Integrated 3D Printing Manufacture of Cross Joints. Materials 2022, 15, 4753. [Google Scholar] [CrossRef] [PubMed]
  23. Pilagatti, A.N.; Atzeni, E.; Salmi, A. Exploiting the generative design potential to select the best conceptual design of an aerospace component to be produced by additive manufacturing. Int. J. Adv. Manuf. Technol. 2023, 126, 5597–5612. [Google Scholar] [CrossRef]
  24. Buonamici, F.; Carfagni, M.; Furferi, R.; Volpe, Y.; Governi, L. Generative Design: An Explorative Study. Comput.-Aided Des. Appl. 2020, 18, 144–155. [Google Scholar] [CrossRef]
  25. Junk, S.; Burkart, L. Comparison of CAD systems for generative design for use with additive manufacturing. Procedia CIRP 2021, 100, 577–582. [Google Scholar] [CrossRef]
  26. Morettini, G.; Palmieri, M.; Capponi, L.; Landi, L. Comprehensive characterization of mechanical and physical properties of PLA structures printed by FFF-3D-printing process in different directions. Prog. Addit. Manuf. 2022, 7, 1111–1122. [Google Scholar] [CrossRef]
  27. Bledzki, A.K.; Jaszkiewicz, A.; Scherzer, D. Mechanical properties of PLA composites with man-made cellulose and abaca fibres. Compos. Part Appl. Sci. Manuf. 2009, 40, 404–412. [Google Scholar] [CrossRef]
  28. Yao, T.; Deng, Z.; Zhang, K.; Li, S. A method to predict the ultimate tensile strength of 3D printing polylactic acid (PLA) materials with different printing orientations. Compos. Part B Eng. 2019, 163, 393–402. [Google Scholar] [CrossRef]
  29. Ayatollahi, M.R.; Nabavi-Kivi, A.; Bahrami, B.; Yahya, M.Y.; Khosravani, M.R. The influence of in-plane raster angle on tensile and fracture strengths of 3D-printed PLA specimens. Eng. Fract. Mech. 2020, 237, 107225. [Google Scholar] [CrossRef]
  30. Wittbrodt, B.; Pearce, J.M. The effects of PLA color on material properties of 3-D printed components. Addit. Manuf. 2015, 8, 110–116. [Google Scholar] [CrossRef]
  31. Schwartz, J.J.; Hamel, J.; Ekstrom, T.; Ndagang, L.; Boydston, A.J. Not all PLA filaments are created equal: An experimental investigation. Rapid Prototyp. J. 2020, 26, 1263–1276. [Google Scholar] [CrossRef]
  32. McGregor, D.J.; Rylowicz, S.; Brenzel, A.; Baker, D.; Wood, C.; Pick, D.; Deutchman, H.; Shao, C.; Tawfick, S.; King, W.P. Analyzing part accuracy and sources of variability for additively manufactured lattice parts made on multiple printers. Addit. Manuf. 2021, 40, 101924. [Google Scholar] [CrossRef]
  33. Clarke, T.; Hosseini, A. Effects of print parameters on tensile characteristics of additively manufactured polyethylene terephthalate-glycol (PETG). Int. J. Adv. Manuf. Technol. 2023, 125, 4953–4974. [Google Scholar] [CrossRef]
  34. Laureto, J.J.; Pearce, J.M. Anisotropic mechanical property variance between ASTM D638-14 type i and type iv fused filament fabricated specimens. Polym. Test. 2018, 68, 294–301. [Google Scholar] [CrossRef]
  35. Tsouknidas, A.; Pantazopoulos, M.; Katsoulis, I.; Fasnakis, D.; Maropoulos, S.; Michailidis, N. Impact absorption capacity of 3D-printed components fabricated by fused deposition modelling. Mater. Des. 2016, 102, 41–44. [Google Scholar] [CrossRef]
  36. Goudswaard, M.; Hicks, B.; Nassehi, A. Towards the Democratisation of Design: Exploration of Variability in the Process of Filament Deposition Modelling in Desktop Additive Manufacture. In Proceedings of the 25th ISPE International Conference on Transdisciplinary Engineering 2018, Modena, Italy, 3–6 July 2018. [Google Scholar]
  37. Ansari, A.A.; Kamil, M. Effect of print speed and extrusion temperature on properties of 3D printed PLA using fused deposition modeling process. Mater. Today Proc. 2021, 45, 5462–5468. [Google Scholar] [CrossRef]
  38. Caminero, M.A.; Chacón, J.M.; García-Moreno, I.; Rodríguez, G.P. Impact damage resistance of 3D printed continuous fibre reinforced thermoplastic composites using fused deposition modelling. Compos. Part B Eng. 2018, 148, 93–103. [Google Scholar] [CrossRef]
  39. Extrusion Multiplier Calibration|Prusa Knowledge Base. Available online: https://help.prusa3d.com/article/extrusion-multiplier-calibration_2257 (accessed on 27 May 2024).
  40. Autodesk Fusion Help|Set Up a Static Stress Analysis|Autodesk. Available online: https://help.autodesk.com/view/fusion360/ENU/?guid=SIM-SSA (accessed on 15 March 2024).
  41. Dassault Systemes SOLIDWORKS-3D CAD Design Software|Dassault Systèmes. Available online: https://www.3ds.com/products/solidworks (accessed on 15 March 2024).
  42. Autodesk Autodesk Inventor Nastran 2024|Autodesk. Available online: https://help.autodesk.com/view/NINCAD/2024/ENU/ (accessed on 15 March 2024).
  43. Beer, F.P.; Johnston, E.R.; DeWolf, J.T.; Mazurek, D.F. Mechanics of Materials, 8th ed.; McGraw-Hill Education: New York, NY, USA, 2020; ISBN 981-315-897-2. [Google Scholar]
Figure 1. Loss of performance across the GD for AM process caused by variation at each stage of both GD and AM. The dashed red line represents the hypothetical maximum performance. The dark and light gray areas represent the potential performance losses caused by variance in the GD and AM processes respectively.
Figure 1. Loss of performance across the GD for AM process caused by variation at each stage of both GD and AM. The dashed red line represents the hypothetical maximum performance. The dark and light gray areas represent the potential performance losses caused by variance in the GD and AM processes respectively.
Applsci 14 04750 g001
Figure 2. Component re-design and evaluation through GD and AM, evaluated with simulation and mechanical testing. (A) Evaluating design criteria based on original component design. (B) Framing a generative design problem. (C) Selecting the most appropriate GD outcome for AM. (D) Prediction of maximum load-bearing capabilities using simulation. (E) Component manufacturing using AM. (F) Mechanical destructive testing to identify maximum load before failure.
Figure 2. Component re-design and evaluation through GD and AM, evaluated with simulation and mechanical testing. (A) Evaluating design criteria based on original component design. (B) Framing a generative design problem. (C) Selecting the most appropriate GD outcome for AM. (D) Prediction of maximum load-bearing capabilities using simulation. (E) Component manufacturing using AM. (F) Mechanical destructive testing to identify maximum load before failure.
Applsci 14 04750 g002
Figure 3. Manufacturing direction for mechanical properties of the PLA of different printer orientations. Theoretical data are predicted according to the literature [28].
Figure 3. Manufacturing direction for mechanical properties of the PLA of different printer orientations. Theoretical data are predicted according to the literature [28].
Applsci 14 04750 g003
Table 1. Options selected for each design at every decision point. Check marks demonstrate processes chosen in the setup of each GD study.
Table 1. Options selected for each design at every decision point. Check marks demonstrate processes chosen in the setup of each GD study.
Design A*Design BDesign CDesign DDesign EDesign FDesign GDesign HDesign I
Starting shape
Obstacle geometry
Symmetry
Structural constraintsFixedFixedFixedFixedFixedFixed, FrictionlessFixedFixedFixed
Structural loadsSurface loadSurface load, MomentSurface loadSurface loadSurface loadSurface loadRemote loadRemote loadSurface load, Bearing load, Moment
Objective—maximize stiffnessSafety factor1.001.001.001.002.001.001.001.001.00
Target weight0.090.090.090.0850.0950.090.090.090.095
Manufacturing methodUnrestricted
AMDirectionXZ, XYXZ, XYXZ, XYXZXZ, XYXYXZ, XYXZ, XYXZ, XY
Overhang angle (deg)456045457045454570
Minimum thickness (mm)323333663
Number of GD iterations 111121111
Experimental solver
Post-processing
Table 2. Numerical results of simulations and mechanical testing.
Table 2. Numerical results of simulations and mechanical testing.
DesignPredicted Load (N)Peak Load (N)Difference (N)Displacement (mm)Displacement at 250 N (mm)Stiffness (N/mm)Energy Absorption (N·mm)
A*4001055.23655.2319.433.4664.2311,075.33
B593960.43367.4311.332.41100.196265.04
C225451.54226.547.774.5167.771809.41
D183509.46326.469.75.4232.842420.29
E867593.88−273.129.9912.3442.192940.07
F200484.02284.0226.2919.706.734373.80
G9841435.21451.2118.682.5825.0610,184.88
H9841757.21773.2117.436.6364.3412,663.29
I100296.87196.8713.739.3430.702559.42
Disclaimer/Publisher’s Note: The statements, opinions and data contained in all publications are solely those of the individual author(s) and contributor(s) and not of MDPI and/or the editor(s). MDPI and/or the editor(s) disclaim responsibility for any injury to people or property resulting from any ideas, methods, instructions or products referred to in the content.

Share and Cite

MDPI and ACS Style

Peckham, O.; Elverum, C.W.; Hicks, B.; Goudswaard, M.; Snider, C.; Steinert, M.; Eikevåg, S.W. Investigating and Characterizing the Systemic Variability When Using Generative Design for Additive Manufacturing. Appl. Sci. 2024, 14, 4750. https://doi.org/10.3390/app14114750

AMA Style

Peckham O, Elverum CW, Hicks B, Goudswaard M, Snider C, Steinert M, Eikevåg SW. Investigating and Characterizing the Systemic Variability When Using Generative Design for Additive Manufacturing. Applied Sciences. 2024; 14(11):4750. https://doi.org/10.3390/app14114750

Chicago/Turabian Style

Peckham, Owen, Christer W. Elverum, Ben Hicks, Mark Goudswaard, Chris Snider, Martin Steinert, and Sindre W. Eikevåg. 2024. "Investigating and Characterizing the Systemic Variability When Using Generative Design for Additive Manufacturing" Applied Sciences 14, no. 11: 4750. https://doi.org/10.3390/app14114750

APA Style

Peckham, O., Elverum, C. W., Hicks, B., Goudswaard, M., Snider, C., Steinert, M., & Eikevåg, S. W. (2024). Investigating and Characterizing the Systemic Variability When Using Generative Design for Additive Manufacturing. Applied Sciences, 14(11), 4750. https://doi.org/10.3390/app14114750

Note that from the first issue of 2016, this journal uses article numbers instead of page numbers. See further details here.

Article Metrics

Back to TopTop