Performance Prediction of Power Beacon-Aided Wireless Sensor-Powered Non-Orthogonal Multiple-Access Internet-of-Things Networks under Imperfect Channel State Information
Abstract
1. Introduction
Motivation and Contribution
- We investigate a novel wireless sensor-powered NOMA IoT network, where a PB adopts the TS protocol to transmit the energy to both BS and relaying to transmit information. In particular, the imperfect CSI is considered in the information transmission phase to estimate the complex channel intricacies.
- We analyze the performance in terms of outage probability (OP). To obtain more insight into the considered network, the asymptotic expression OP and diversity order are given. Based on the asymptotic expression OP, we show the main parameters that affect the considered network in high SNR.
- We design the DNN frame to reduce the complexity of the Monte Carlo simulation and the traditional analysis towards practical real-time configurations. The DNN models are demonstrated to be efficient in predicting performance in complicated network scenarios using a low-latency inference technique.
2. System Model
2.1. Energy-Harvesting Phase
2.2. Information Transmission Phase
3. Outage Performance Analysis
3.1. Outage Probability Analysis
3.2. Diversity Order Analysis
4. Deep Neural Networks Analysis
4.1. Description of the DNN
4.2. Setup for Dataset
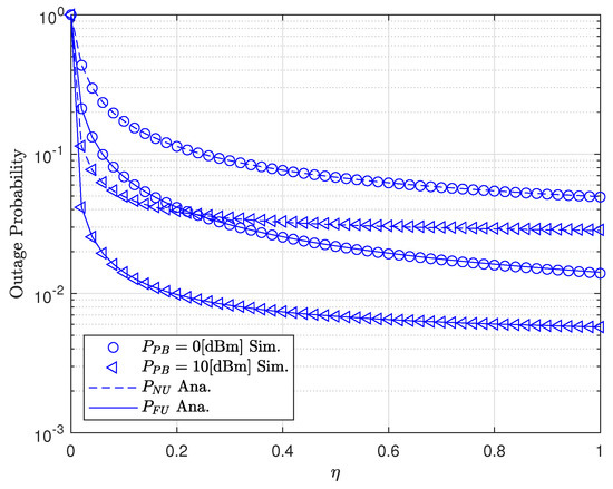
5. Numerical Result
6. Conclusions
Author Contributions
Funding
Institutional Review Board Statement
Informed Consent Statement
Data Availability Statement
Conflicts of Interest
Appendix A
References
- Guo, F.; Yu, F.R.; Zhang, H.; Li, X.; Ji, H.; Leung, V.C.M. Enabling Massive IoT Toward 6G: A Comprehensive Survey. IEEE Internet Things J. 2021, 8, 11891–11915. [Google Scholar] [CrossRef]
- Suo, H.; Wan, J.; Zou, C.; Liu, J. Security in the Internet of Things: A Review. In Proceedings of the 2012 International Conference on Computer Science and Electronics Engineering, Hangzhou, China, 23–25 March 2012; Volume 3, pp. 648–651. [Google Scholar] [CrossRef]
- Vu, T.H.; Nguyen, T.V.; Nguyen, T.T.; Kim, S. Performance Analysis and Deep Learning Design of Wireless Powered Cognitive NOMA IoT Short-Packet Communications With Imperfect CSI and SIC. IEEE Internet Things J. 2022, 9, 10464–10479. [Google Scholar] [CrossRef]
- Nguyen, H.; Nguyen, T.N.; Minh, B.V.; Pham, T.H.T.; Le, A.T.; Voznak, M. Security-Reliability Analysis in CR-NOMA IoT Network Under I/Q Imbalance. IEEE Access 2023, 11, 119045–119056. [Google Scholar] [CrossRef]
- Ghosh, S.; Al-Dweik, A.; Alouini, M.S. On the Performance of End-to-End Cooperative NOMA-Based IoT Networks With Wireless Energy Harvesting. IEEE Internet Things J. 2023, 10, 16253–16270. [Google Scholar] [CrossRef]
- Le, S.P.; Nguyen, H.N.; Nguyen, N.T.; Van, C.H.; Le, A.T.; Voznak, M. Physical layer security analysis of IRS-based downlink and uplink NOMA networks. Eurasip J. Wirel. Commun. Netw. 2023, 2023, 105. [Google Scholar] [CrossRef]
- Le, A.T.; Hieu, T.D.; Nguyen, T.N.; Le, T.L.; Nguyen, S.Q.; Voznak, M. Physical layer security analysis for RIS-aided NOMA systems with non-colluding eavesdroppers. Comput. Commun. 2024, 219, 194–203. [Google Scholar] [CrossRef]
- Le, A.T.; Ha, N.D.X.; Do, D.T.; Yadav, S.; Lee, B.M. Enabling NOMA in Overlay Spectrum Sharing in Hybrid Satellite-Terrestrial Systems. IEEE Access 2021, 9, 56616–56629. [Google Scholar] [CrossRef]
- Nguyen, N.T.; Nguyen, H.N.; Nguyen, N.L.; Le, A.T.; Nguyen, T.N.; Voznak, M. Performance Analysis of NOMA-Based Hybrid Satellite-Terrestrial Relay System Using mmWave Technology. IEEE Access 2023, 11, 10696–10707. [Google Scholar] [CrossRef]
- Chen, B.; Xu, D. Outage Performance of Overlay Cognitive Satellite-Terrestrial Networks With Cooperative NOMA. IEEE Syst. J. 2024, 18, 222–233. [Google Scholar] [CrossRef]
- Jaiswal, N.; Purohit, N. Performance Analysis of NOMA-Enabled Vehicular Communication Systems With Transmit Antenna Selection Over Double Nakagami-m Fading. IEEE Trans. Veh. Technol. 2021, 70, 12725–12741. [Google Scholar] [CrossRef]
- Hieu, T.C.; Cuong, N.L.; Nguyen, B.C.; Hiep, P.T. Full-duplex protocol for vehicle-to-vehicle NOMA relay system over double Rayleigh fading. Telecommun. Syst. 2022, 80, 337–347. [Google Scholar] [CrossRef]
- Do, D.T.; Le, A.T.; Lee, B.M. NOMA in Cooperative Underlay Cognitive Radio Networks Under Imperfect SIC. IEEE Access 2020, 8, 86180–86195. [Google Scholar] [CrossRef]
- Mlika, Z.; Cherkaoui, S. Massive IoT Access With NOMA in 5G Networks and Beyond Using Online Competitiveness and Learning. IEEE Internet Things J. 2021, 8, 13624–13639. [Google Scholar] [CrossRef]
- Ding, Z.; Liu, Y.; Choi, J.; Sun, Q.; Elkashlan, M.; Chih-Lin, I.; Poor, H.V. Application of Non-Orthogonal Multiple Access in LTE and 5G Networks. IEEE Commun. Mag. 2017, 55, 185–191. [Google Scholar] [CrossRef]
- Sirait, R.; Hardjawana, W.; Wibisono, G. Performance of Downlink NOMA for a Massive IoT Network Over a Nakagami-m Fading Channel With Optimized Power Allocation. IEEE Access 2023, 11, 67779–67790. [Google Scholar] [CrossRef]
- Yue, X.; Liu, Y.; Kang, S.; Nallanathan, A.; Ding, Z. Exploiting Full/Half-Duplex User Relaying in NOMA Systems. IEEE Trans. Commun. 2018, 66, 560–575. [Google Scholar] [CrossRef]
- Chu, T.M.C.; Zepernick, H.J. Performance of a Non-Orthogonal Multiple Access System With Full-Duplex Relaying. IEEE Commun. Lett. 2018, 22, 2084–2087. [Google Scholar] [CrossRef]
- Wan, D.; Wen, M.; Ji, F.; Liu, Y.; Huang, Y. Cooperative NOMA Systems With Partial Channel State Information Over Nakagami-m Fading Channels. IEEE Trans. Commun. 2018, 66, 947–958. [Google Scholar] [CrossRef]
- Wang, X.; Jia, M.; Ho, I.W.H.; Guo, Q.; Lau, F.C.M. Exploiting Full-Duplex Two-Way Relay Cooperative Non-Orthogonal Multiple Access. IEEE Trans. Commun. 2019, 67, 2716–2729. [Google Scholar] [CrossRef]
- Zhao, N.; Lu, W.; Sheng, M.; Chen, Y.; Tang, J.; Yu, F.R.; Wong, K.K. UAV-Assisted Emergency Networks in Disasters. IEEE Wirel. Commun. 2019, 26, 45–51. [Google Scholar] [CrossRef]
- Zhang, X.; Wang, J.; Poor, H.V. Statistical Delay and Error-Rate Bounded QoS Provisioning for SWIPT Over CF M-MIMO 6G Mobile Wireless Networks Using FBC. IEEE J. Sel. Top. Signal Process. 2021, 15, 1272–1287. [Google Scholar] [CrossRef]
- Tin, P.T.; Nguyen, T.N.; Tran, D.H.; Voznak, M.; Phan, V.D.; Chatzinotas, S. Performance enhancement for full-duplex relaying with time-switching-based SWIPT in wireless sensors networks. Sensors 2021, 21, 3847. [Google Scholar] [CrossRef]
- Nguyen, T.N.; Tran, D.H.; Van Chien, T.; Phan, V.D.; Voznak, M.; Chatzinotas, S. Security and Reliability Analysis of Satellite-Terrestrial Multirelay Networks With Imperfect CSI. IEEE Syst. J. 2023, 17, 2824–2835. [Google Scholar] [CrossRef]
- Huang, K.; Lau, V.K.N. Enabling Wireless Power Transfer in Cellular Networks: Architecture, Modeling and Deployment. IEEE Trans. Wirel. Commun. 2014, 13, 902–912. [Google Scholar] [CrossRef]
- Nguyen, B.C.; Hoang, T.M.; Tran, P.T.; Nguyen, T.N. Outage probability of NOMA system with wireless power transfer at source and full-duplex relay. AEU-Int. J. Electron. Commun. 2020, 116, 152957. [Google Scholar] [CrossRef]
- Le, A.T.; Tran, D.H.; Le, C.B.; Tin, P.T.; Nguyen, T.N.; Ding, Z.; Poor, H.V.; Voznak, M. Power Beacon and NOMA-Assisted Cooperative IoT Networks With Co-Channel Interference: Performance Analysis and Deep Learning Evaluation. IEEE Trans. Mob. Comput. 2023, 23, 7270–7283. [Google Scholar] [CrossRef]
- Nasir, A.A.; Zhou, X.; Durrani, S.; Kennedy, R.A. Relaying Protocols for Wireless Energy Harvesting and Information Processing. IEEE Trans. Wirel. Commun. 2013, 12, 3622–3636. [Google Scholar] [CrossRef]
- Subhash, A.; Kalyani, S. Cooperative Relaying in a SWIPT Network: Asymptotic Analysis Using Extreme Value Theory for Non-Identically Distributed RVs. IEEE Trans. Commun. 2021, 69, 4360–4372. [Google Scholar] [CrossRef]
- Hoang, T.M.; Nguyen, B.C.; Tran, P.T.; Dung, L.T. Outage Analysis of RF Energy Harvesting Cooperative Communication Systems Over Nakagami-m Fading Channels With Integer and Non-Integer m. IEEE Trans. Veh. Technol. 2020, 69, 2785–2801. [Google Scholar] [CrossRef]
- Do, T.N.; da Costa, D.B.; Duong, T.Q.; An, B. Improving the Performance of Cell-Edge Users in MISO-NOMA Systems Using TAS and SWIPT-Based Cooperative Transmissions. IEEE Trans. Green Commun. Netw. 2018, 2, 49–62. [Google Scholar] [CrossRef]
- Si, Q.; Jin, M.; Tsiftsis, T.A.; Zhao, N.; Wang, X. Cooperative SM-Based NOMA Scheme With SWIPT. IEEE Trans. Veh. Technol. 2021, 70, 6195–6199. [Google Scholar] [CrossRef]
- Wu, M.; Song, Q.; Guo, L.; Jamalipour, A. Joint User Pairing and Resource Allocation in a SWIPT-Enabled Cooperative NOMA System. IEEE Trans. Veh. Technol. 2021, 70, 6826–6840. [Google Scholar] [CrossRef]
- Rauniyar, A.; Engelstad, P.; Østerb, O.N. RF Energy Harvesting and Information Transmission Based on Power Splitting and NOMA for IoT Relay Systems. In Proceedings of the 2018 IEEE 17th International Symposium on Network Computing and Applications (NCA), Cambridge, MA, USA, 1–3 November 2018; pp. 1–8. [Google Scholar] [CrossRef]
- Li, X.; Wang, Q.; Liu, M.; Li, J.; Peng, H.; Piran, M.J.; Li, L. Cooperative Wireless-Powered NOMA Relaying for B5G IoT Networks With Hardware Impairments and Channel Estimation Errors. IEEE Internet Things J. 2021, 8, 5453–5467. [Google Scholar] [CrossRef]
- Lan, X.; Zhang, Y.; Chen, Q.; Cai, L. Energy Efficient Buffer-Aided Transmission Scheme in Wireless Powered Cooperative NOMA Relay Network. IEEE Trans. Commun. 2020, 68, 1432–1447. [Google Scholar] [CrossRef]
- Ren, J.; Lei, X.; Zhou, F.; Diamantoulakis, P.D.; Dobre, O.A.; Karagiannidis, G.K. Throughput Maximization in Buffer-aided Wireless-Powered NOMA Networks. In Proceedings of the ICC 2020–2020 IEEE International Conference on Communications (ICC), Dublin, Ireland, 7–11 June 2020; pp. 1–7. [Google Scholar] [CrossRef]
- Liu, Y.; Chen, X.; Cai, L.X.; Chen, Q.; Zhang, R. Nonorthogonal Multiple Access for Wireless-Powered IoT Networks. IEEE Internet Things J. 2021, 8, 112–128. [Google Scholar] [CrossRef]
- Huang, H.; Guo, S.; Gui, G.; Yang, Z.; Zhang, J.; Sari, H.; Adachi, F. Deep Learning for Physical-Layer 5G Wireless Techniques: Opportunities, Challenges and Solutions. IEEE Wirel. Commun. 2020, 27, 214–222. [Google Scholar] [CrossRef]
- Vu, T.H.; Nguyen, T.V.; Kim, S. Wireless Powered Cognitive NOMA-Based IoT Relay Networks: Performance Analysis and Deep Learning Evaluation. IEEE Internet Things J. 2022, 9, 3913–3929. [Google Scholar] [CrossRef]
- Zhang, Z.; Lu, Y.; Huang, Y.; Zhang, P. Neural Network-Based Relay Selection in Two-Way SWIPT-Enabled Cognitive Radio Networks. IEEE Trans. Veh. Technol. 2020, 69, 6264–6274. [Google Scholar] [CrossRef]
- Gui, G.; Huang, H.; Song, Y.; Sari, H. Deep Learning for an Effective Nonorthogonal Multiple Access Scheme. IEEE Trans. Veh. Technol. 2018, 67, 8440–8450. [Google Scholar] [CrossRef]
- Manogaran, G.; Nguyen, T.N.; Gao, J.; Kumar, P.M. Deep Learning-Based Service Distribution Model for Wireless Network Assisted Internet of Everything. IEEE Trans. Netw. Sci. Eng. 2022, 9, 3004–3014. [Google Scholar] [CrossRef]
- Rauniyar, A.; Engelstad, P.; Østerbø, O.N. RF Energy Harvesting and Information Transmission in IoT Relay Systems based on Time Switching and NOMA. In Proceedings of the 2018 28th International Telecommunication Networks and Applications Conference (ITNAC), Sydney, Australia, 21–23 November 2018; pp. 1–7. [Google Scholar] [CrossRef]
- Hoang, T.M.; Tan, N.T.; Tran, X.N. Performance analysis of power beacon-assisted energy harvesting NOMA multi-user relaying system over Nakagami-m fading channels. AEU-Int. J. Electron. Commun. 2020, 115, 153022. [Google Scholar] [CrossRef]
- Li, X.; Liu, M.; Deng, D.; Li, J.; Deng, C.; Yu, Q. Power beacon assisted wireless power cooperative relaying using NOMA with hardware impairments and imperfect CSI. AEU-Int. J. Electron. Commun. 2019, 108, 275–286. [Google Scholar] [CrossRef]
- Do, D.T.; Nguyen, M.S.V.; Nguyen, T.N.; Li, X.; Choi, K. Enabling Multiple Power Beacons for Uplink of NOMA-Enabled Mobile Edge Computing in Wirelessly Powered IoT. IEEE Access 2020, 8, 148892–148905. [Google Scholar] [CrossRef]
- Vu, T.H.; Kim, S. Performance Evaluation of Power-Beacon-Assisted Wireless-Powered NOMA IoT-Based Systems. IEEE Internet Things J. 2021, 8, 11655–11665. [Google Scholar] [CrossRef]
- Zhang, Y.; Feng, S.; Tang, W. Performance Analysis and Optimization for Power Beacon-Assisted Wireless Powered Cooperative NOMA Systems. IEEE Access 2020, 8, 198436–198450. [Google Scholar] [CrossRef]
- Vu, T.H.; Kim, S. Performance Analysis of Full-Duplex Two-Way RIS-Based Systems With Imperfect CSI and Discrete Phase-Shift Design. IEEE Commun. Lett. 2023, 27, 512–516. [Google Scholar] [CrossRef]
- Nwankpa, C.; Ijomah, W.; Gachagan, A.; Marshall, S. Activation functions: Comparison of trends in practice and research for deep learning. arXiv 2018, arXiv:1811.03378. [Google Scholar]
- Gradshteyn, I.S.; Ryzhik, I.M. Table of Integrals, Series, and Products; Academic Press: Cambridge, MA, USA, 2014. [Google Scholar]









| Our Work | [44] | [45] | [46] | [47] | [48] | [49] | |
|---|---|---|---|---|---|---|---|
| NOMA | ✓ | ✓ | ✓ | ✓ | ✓ | ✓ | ✓ |
| Energy harvesting | ✓ | ✓ | ✓ | ✓ | ✓ | ✓ | ✓ |
| Imperfect CSI | ✓ | ✓ | |||||
| Outage probability analysis | ✓ | ✓ | ✓ | ✓ | ✓ | ✓ | ✓ |
| Diversity order | ✓ | ✓ | |||||
| DNN method | ✓ |
| Input | Value | Input | Value |
|---|---|---|---|
| 0.2 | [10,20] [m] | ||
| 0.7 | [10,20] [m] | ||
| 0.85 | [10,20] [m] | ||
| 0.15 | [20,40] [m] | ||
| [0.01, 0.02] | [15,30] [m] | ||
| [0.01, 0.02] | −94 [dBm] | ||
| 0.95 | [−30,30] [dBm] | ||
| ℓ | 2.7 |
Disclaimer/Publisher’s Note: The statements, opinions and data contained in all publications are solely those of the individual author(s) and contributor(s) and not of MDPI and/or the editor(s). MDPI and/or the editor(s) disclaim responsibility for any injury to people or property resulting from any ideas, methods, instructions or products referred to in the content. |
© 2024 by the authors. Licensee MDPI, Basel, Switzerland. This article is an open access article distributed under the terms and conditions of the Creative Commons Attribution (CC BY) license (https://creativecommons.org/licenses/by/4.0/).
Share and Cite
Nguyen, N.-L.; Le, A.-T.; Nguyen, P.-L.T.; Minh, B.V.; Rejfek, L.; Kim, Y.-H. Performance Prediction of Power Beacon-Aided Wireless Sensor-Powered Non-Orthogonal Multiple-Access Internet-of-Things Networks under Imperfect Channel State Information. Appl. Sci. 2024, 14, 4498. https://doi.org/10.3390/app14114498
Nguyen N-L, Le A-T, Nguyen P-LT, Minh BV, Rejfek L, Kim Y-H. Performance Prediction of Power Beacon-Aided Wireless Sensor-Powered Non-Orthogonal Multiple-Access Internet-of-Things Networks under Imperfect Channel State Information. Applied Sciences. 2024; 14(11):4498. https://doi.org/10.3390/app14114498
Chicago/Turabian StyleNguyen, Ngoc-Long, Anh-Tu Le, Phuong-Loan T. Nguyen, Bui Vu Minh, Lubos Rejfek, and Yong-Hwa Kim. 2024. "Performance Prediction of Power Beacon-Aided Wireless Sensor-Powered Non-Orthogonal Multiple-Access Internet-of-Things Networks under Imperfect Channel State Information" Applied Sciences 14, no. 11: 4498. https://doi.org/10.3390/app14114498
APA StyleNguyen, N.-L., Le, A.-T., Nguyen, P.-L. T., Minh, B. V., Rejfek, L., & Kim, Y.-H. (2024). Performance Prediction of Power Beacon-Aided Wireless Sensor-Powered Non-Orthogonal Multiple-Access Internet-of-Things Networks under Imperfect Channel State Information. Applied Sciences, 14(11), 4498. https://doi.org/10.3390/app14114498

