Transportation of Objects on an Inclined Plane Oscillating in the Longitudinal Direction Applying Dynamic Dry Friction Manipulations
Abstract
1. Introduction
2. Methodology
2.1. Mathematical Model Using Lagrangian Mechanics
2.2. Experimental Investigation
3. Results
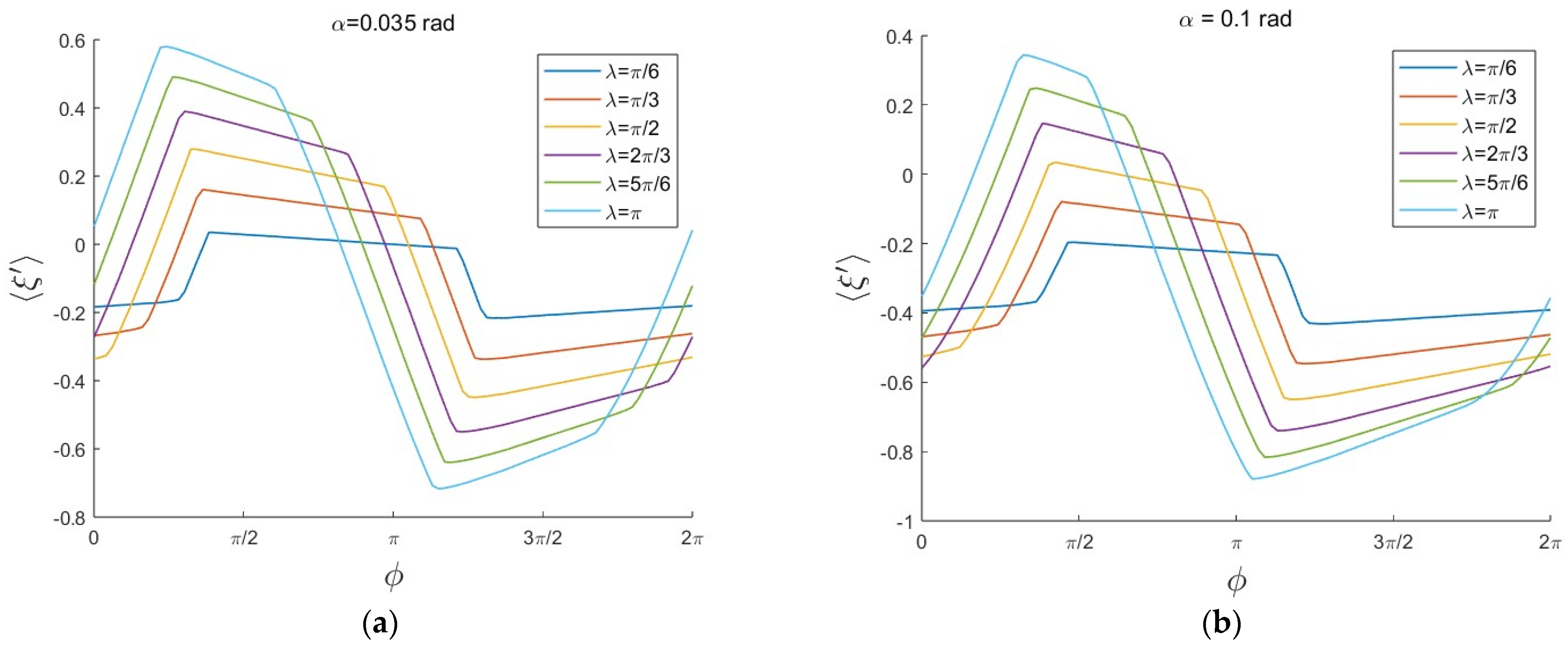
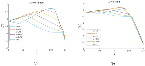
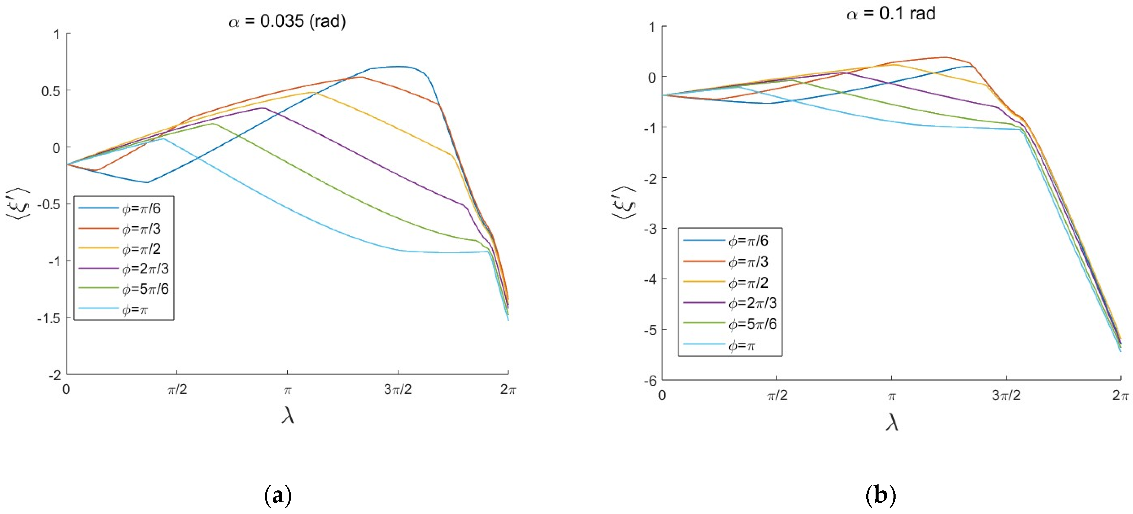
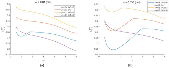
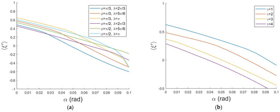
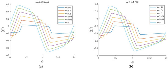
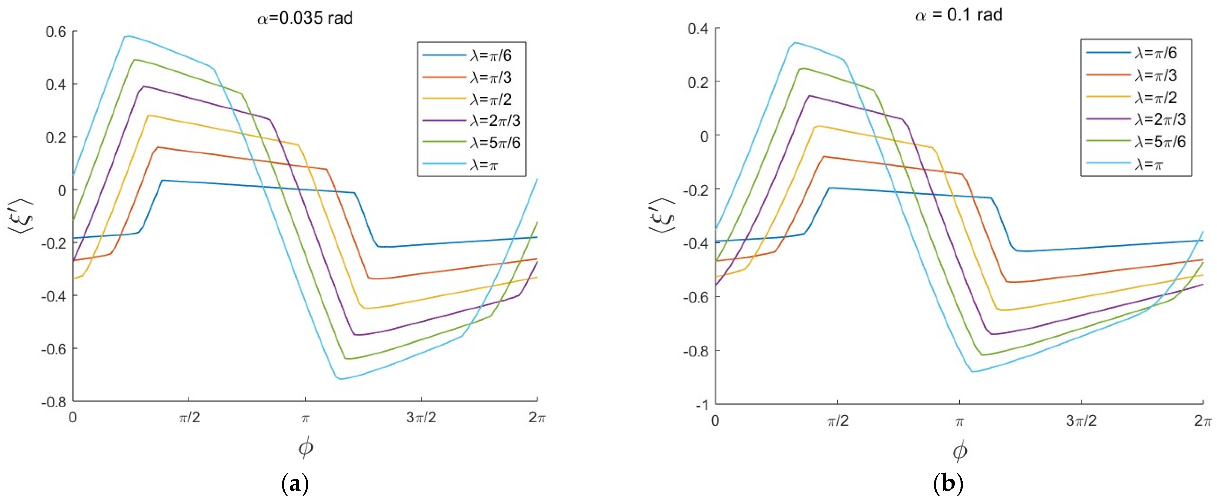
3.1. Modeling Results
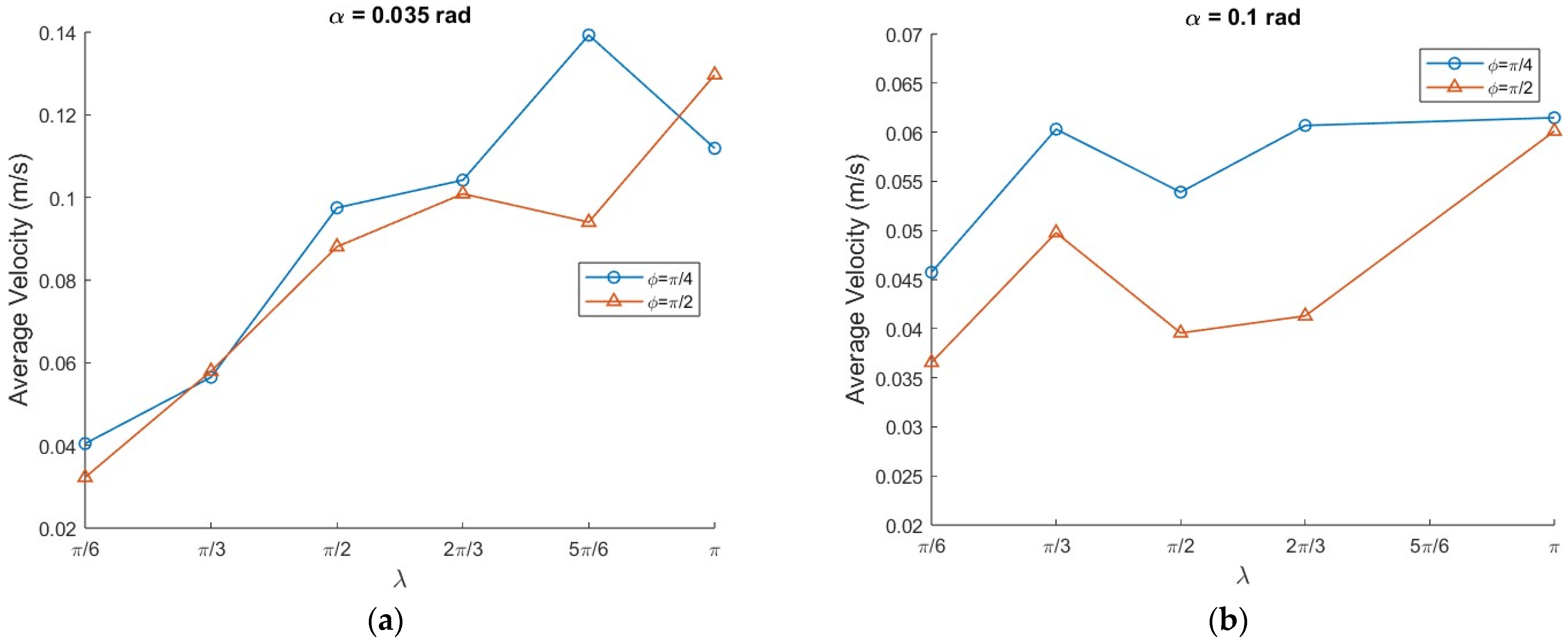
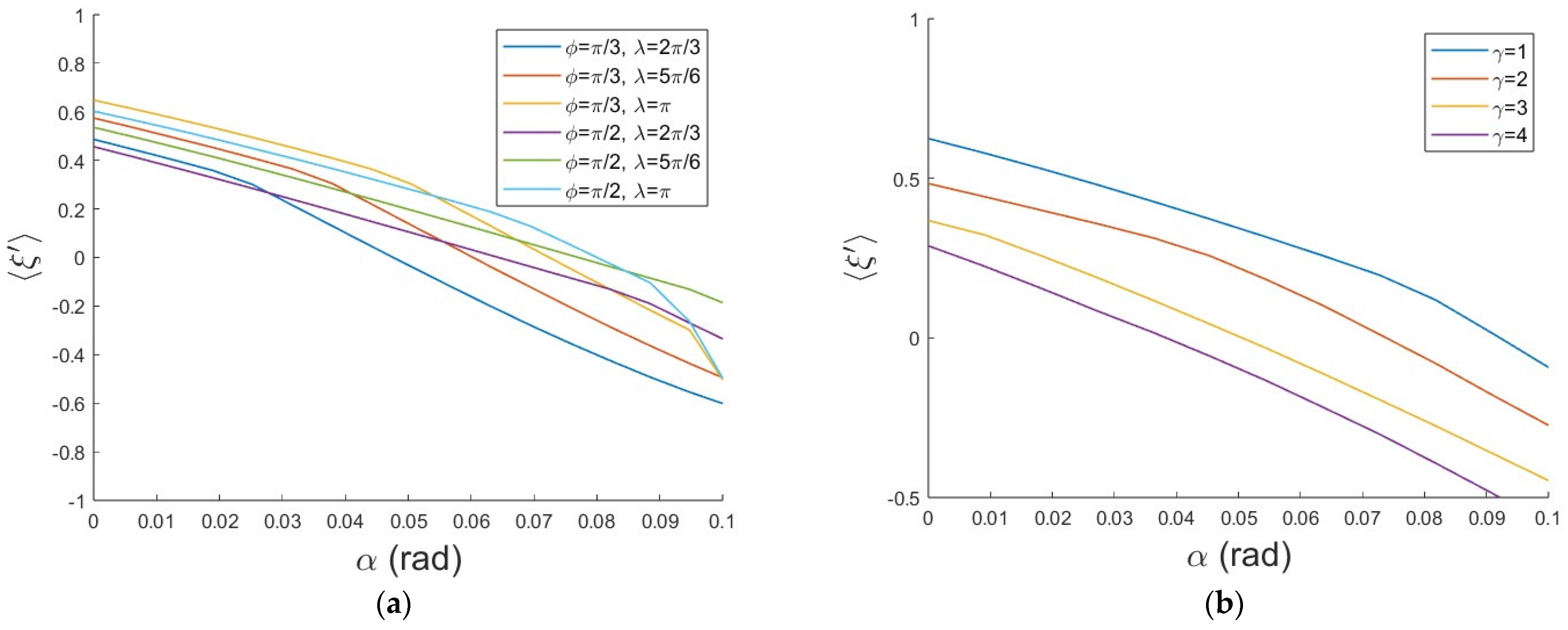
3.2. Experimental Results
4. Conclusions
Author Contributions
Funding
Institutional Review Board Statement
Informed Consent Statement
Data Availability Statement
Conflicts of Interest
References
- Takosoglu, J.; Galkiewics, U.; Galkiewics, J. A Design of a 2 DoF Planar Parallel Manipulator with an Electro-Pneumatic Servo-Drive–Part 2. Energies 2023, 16, 2970. [Google Scholar] [CrossRef]
- Bialek, M.; Jedryczka, C. Design and Optimization of a Magnetic Field Exciter for Controlling Magnetorheological Fluid in a Hybrid Soft-Rigid Jaw Gripper. Energies 2023, 16, 2299. [Google Scholar] [CrossRef]
- Ruggiero, F.; Lippiello, V.; Siciliano, B. Nonprehensile dynamic manipulation: A survey. IEEE Robot. Autom. Lett. 2018, 3, 1711–1718. [Google Scholar] [CrossRef]
- Reznik, D.; Canny, J.; Goldberg, K. Analysis of part motion on a longitudinally vibrating plate. In Proceedings of the 1997 IEEE/RSJ International Conference on Intelligent Robot and Systems, Grenoble, France, 11 September 1997; IEEE: Piscataway, NJ, USA, 1997; pp. 421–427. [Google Scholar] [CrossRef]
- Viswarupachari, C.; DasGupta, A.; Pratik Khastgir, S. Vibration induced directed transport of particles. J. Vib. Acoust. 2012, 134, 051005. [Google Scholar] [CrossRef]
- Mayyas, M. Modeling and analysis of vibratory feeder system based on robust stick–slip motion. J. Vibrat. Control. 2021, 28, 2301–2309. [Google Scholar] [CrossRef]
- Mayyas, M. Parallel Manipulation Based on Stick-Slip Motion of Vibrating Platform. Robotics 2020, 9, 86. [Google Scholar] [CrossRef]
- Hunnekens, B.G.B.; Fey, R.H.B.; Shukla, A. Vibrational self-alignment of a rigid object exploiting friction. Nonlinear Dyn. 2010, 65, 109–129. [Google Scholar] [CrossRef]
- Higashimori, M.; Yamaguchi, K.; Shibata, A. Omnidirectional Nonprehensile Manipulation Using Only One Actuator. Robotics 2018, 7, 34. [Google Scholar] [CrossRef]
- Sakashita, R.; Higashimori, M. 1-actuator 3-DoF parts feeding using hybrid joint mechanism with twisted axis layout. In Proceedings of the 2017 IEEE International Conference on Robotics and Automation (ICRA), Singapore, 29 May–3 June 2017; IEEE: Piscataway, NJ, USA, 2017; pp. 2335–2342. [Google Scholar] [CrossRef]
- Yamaguchi, K.; Higashimori, M. 1-Actuator 3-DoF Manipulation Using a Virtual Turntable Based on Differential Friction Surface. In Proceedings of the 2018 IEEE International Conference on Robotics and Automation, Brisbane, Australia, 21–25 May 2018; IEEE: Piscataway, NJ, USA, 2018; pp. 3573–3580. [Google Scholar] [CrossRef]
- Chen, H.; Jiang, S.; Liu, R.; Zhang, W. Particle Directional Conveyance under Longitudinal Vibration by considering the Trough Surface Texture: Numerical Simulation Based on the Discrete Element Method. Shock. Vibrat. 2018, 2018, 8260462. [Google Scholar] [CrossRef]
- Vrublevskyi, I. Vibratory conveying by harmonic longitudinal and polyharmonic normal vibrations of inclined conveying track. J. Vib. Acoust. 2022, 144, 011004. [Google Scholar] [CrossRef]
- Gursky, V.; Krot, P.; Korendiy, V.; Zimroz, R. Dynamic Analysis of an Enhanced Multi-Frequency Inertial Exciter for Industrial Vibrating Machines. Machines 2022, 10, 130. [Google Scholar] [CrossRef]
- Schiller, S.; Perchtold, D.; Steiner, W. Nonlinear and chaotic dynamics of a vibratory conveying system. Nonlinear Dyn. 2023, 111, 9799–9814. [Google Scholar] [CrossRef]
- Klemiato, M.; Czubak, P. Control of the transport direction and velocity of the two-way reversible vibratory conveyor. Arch. Appl. Mech. 2019, 89, 1359–1373. [Google Scholar] [CrossRef]
- Baksys, B.; Baskutiene, J. The directional motion of the compliant body under vibratory excitation. Int. J. Non Linear Mech. 2012, 47, 3. [Google Scholar] [CrossRef]
- Baksys, B.; Puodziuniene, N. Modeling of vibrational non-impact motion of mobile-based body. Int. J. Non Linear Mech. 2012, 40, 6. [Google Scholar] [CrossRef]
- Chen, Z.; Liu, X.; Kojima, M.; Huang, Q.; Arai, T. Advances in Micromanipulation Actuated by Vibration-Induced Acoustic Waves and Streaming Flow. Appl. Sci. 2020, 10, 1260. [Google Scholar] [CrossRef]
- Kumar, A.; DasGupta, A. Generation of circumferential harmonic travelling waves on thin circular plates. J. Sound. Vib. 2020, 478, 115343. [Google Scholar] [CrossRef]
- Kilikevičius, S.; Liutkauskiene, K.; Fedaravičius, A. Nonprehensile Manipulation of Parts on a Horizontal Circularly Oscillating Platform with Dynamic Dry Friction Control. Sensors 2021, 21, 5581. [Google Scholar] [CrossRef]
- Kilikevičius, S.; Liutkauskienė, K.; Uldinskas, E.; El Banna, R.; Fedaravičius, A. Omnidirectional Manipulation of Microparticles on a Platform Subjected to Circular Motion Applying Dynamic Dry Friction Control. Micromachines 2022, 13, 5. [Google Scholar] [CrossRef]
- Benad, J.; Benad, J.; Nakano, K.; Nakano, K.; Popov, V.; Popov, V.; Popov, M.; Popov, M. Active control of friction by transverse oscillations. Friction 2019, 7, 74–85. [Google Scholar] [CrossRef]
- Popov, V.L.; Starcevic, J.; Filippov, A.E. Influence of ultrasonic in-plane oscillations on static and sliding friction and intrinsic length scale of dry friction processes. Tribol. Lett. 2010, 39, 25–30. [Google Scholar] [CrossRef]
- Menga, N.; Bottiglione, F.; Carbone, G. Dynamically induced friction reduction in micro-structured interfaces. Sci. Rep. 2021, 11, 8094. [Google Scholar] [CrossRef] [PubMed]
- Storck, H.; Littmann, W.; Wallaschek, J.; Mracek, M. The effect of friction reduction in presence of ultrasonic vibrations and its relevance to travelling wave ultrasonic motors. Ultrasonics 2002, 40, 379–383. [Google Scholar] [CrossRef] [PubMed]
- Littmann, W.; Storck, H.; Wallaschek, J. Sliding friction in the presence of ultrasonic oscillations: Superposition of longitudinal oscillations. Arch. Appl. Mech. 2001, 71, 549–554. [Google Scholar] [CrossRef]












Disclaimer/Publisher’s Note: The statements, opinions and data contained in all publications are solely those of the individual author(s) and contributor(s) and not of MDPI and/or the editor(s). MDPI and/or the editor(s) disclaim responsibility for any injury to people or property resulting from any ideas, methods, instructions or products referred to in the content. |
© 2024 by the authors. Licensee MDPI, Basel, Switzerland. This article is an open access article distributed under the terms and conditions of the Creative Commons Attribution (CC BY) license (https://creativecommons.org/licenses/by/4.0/).
Share and Cite
El Banna, R.; Liutkauskienė, K.; Lukoševičius, V.; Fedaravičius, A.; Kilikevičius, S. Transportation of Objects on an Inclined Plane Oscillating in the Longitudinal Direction Applying Dynamic Dry Friction Manipulations. Appl. Sci. 2024, 14, 4474. https://doi.org/10.3390/app14114474
El Banna R, Liutkauskienė K, Lukoševičius V, Fedaravičius A, Kilikevičius S. Transportation of Objects on an Inclined Plane Oscillating in the Longitudinal Direction Applying Dynamic Dry Friction Manipulations. Applied Sciences. 2024; 14(11):4474. https://doi.org/10.3390/app14114474
Chicago/Turabian StyleEl Banna, Ribal, Kristina Liutkauskienė, Vaidas Lukoševičius, Algimantas Fedaravičius, and Sigitas Kilikevičius. 2024. "Transportation of Objects on an Inclined Plane Oscillating in the Longitudinal Direction Applying Dynamic Dry Friction Manipulations" Applied Sciences 14, no. 11: 4474. https://doi.org/10.3390/app14114474
APA StyleEl Banna, R., Liutkauskienė, K., Lukoševičius, V., Fedaravičius, A., & Kilikevičius, S. (2024). Transportation of Objects on an Inclined Plane Oscillating in the Longitudinal Direction Applying Dynamic Dry Friction Manipulations. Applied Sciences, 14(11), 4474. https://doi.org/10.3390/app14114474

