Energy Bus-Based Matrix Modeling and Optimal Scheduling for Integrated Energy Systems
Abstract
1. Introduction
- An energy bus-based matrix-modeling method is proposed, which can be used to formulate steady- and transient-state models of the IES. The modeling process and results are relatively simple.
- A transient-state model that can constitutionally express the multi-time-scale characteristics of the different energy flows is presented.
- Rolling optimization based on the system’s transient-state model is used to optimally schedule the multi-energy flows of the IES and compensate for the prediction errors of the RESs and loads. It can accurately track the day-ahead schedule and satisfy supply-demand balances of multi-energy flows to minimize the total operation cost of the IES.
2. Matrix-Modeling Method
2.1. IES Structure Based on Energy Bus
2.2. Steady-State Model
2.3. Transient-State Model
3. Model Parameters
3.1. Steady-State Model Parameters
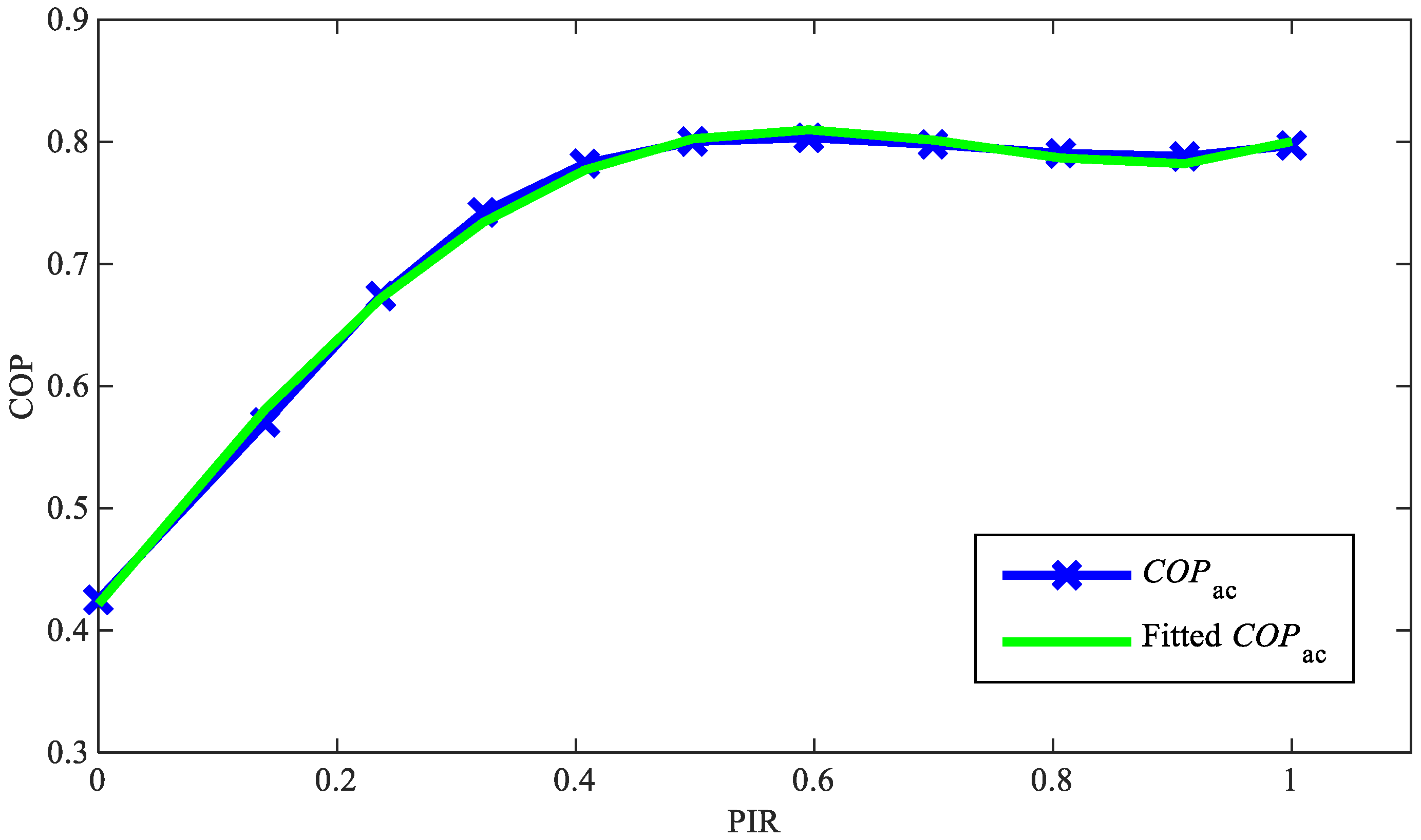
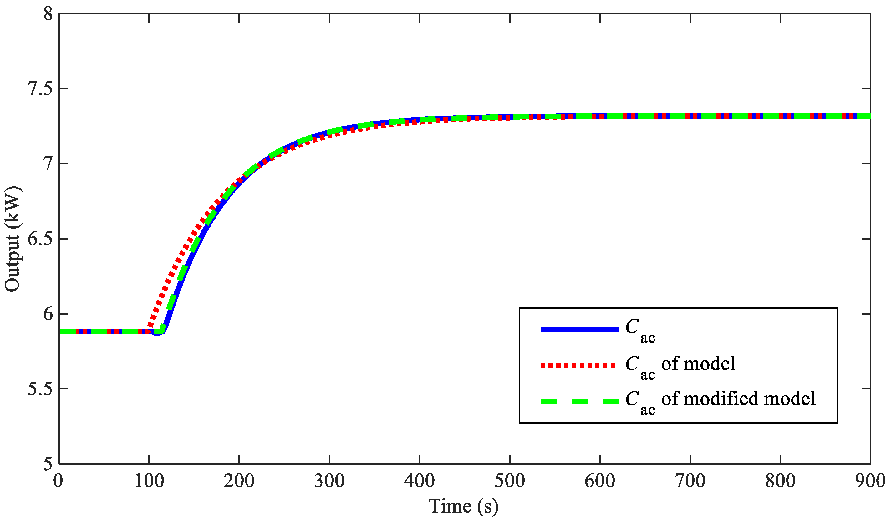
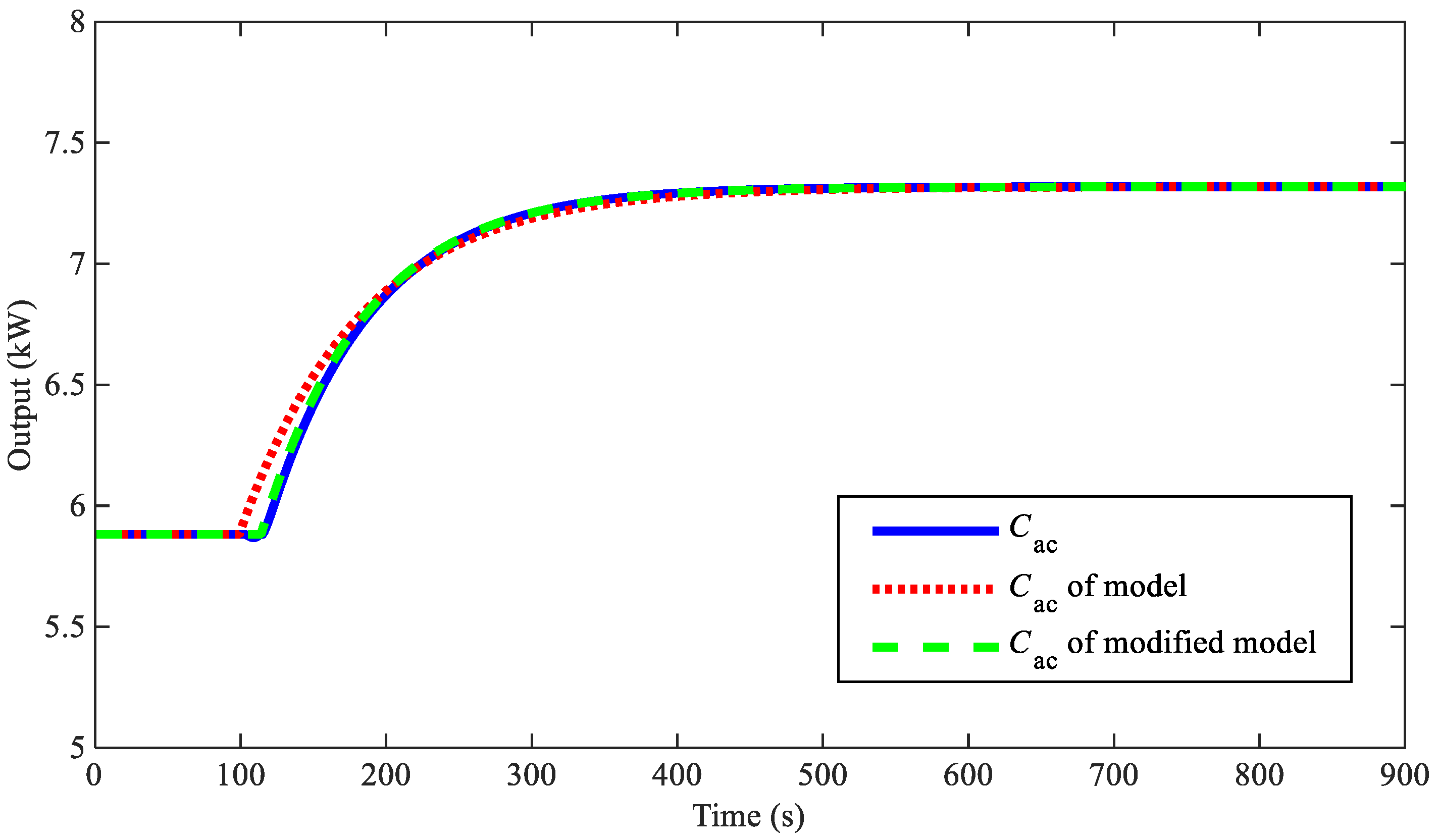
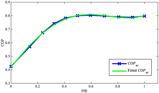
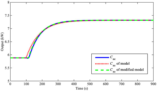
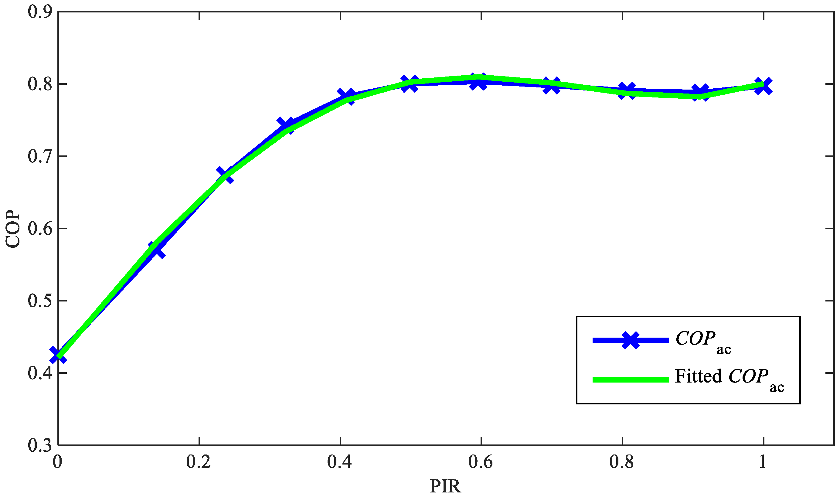
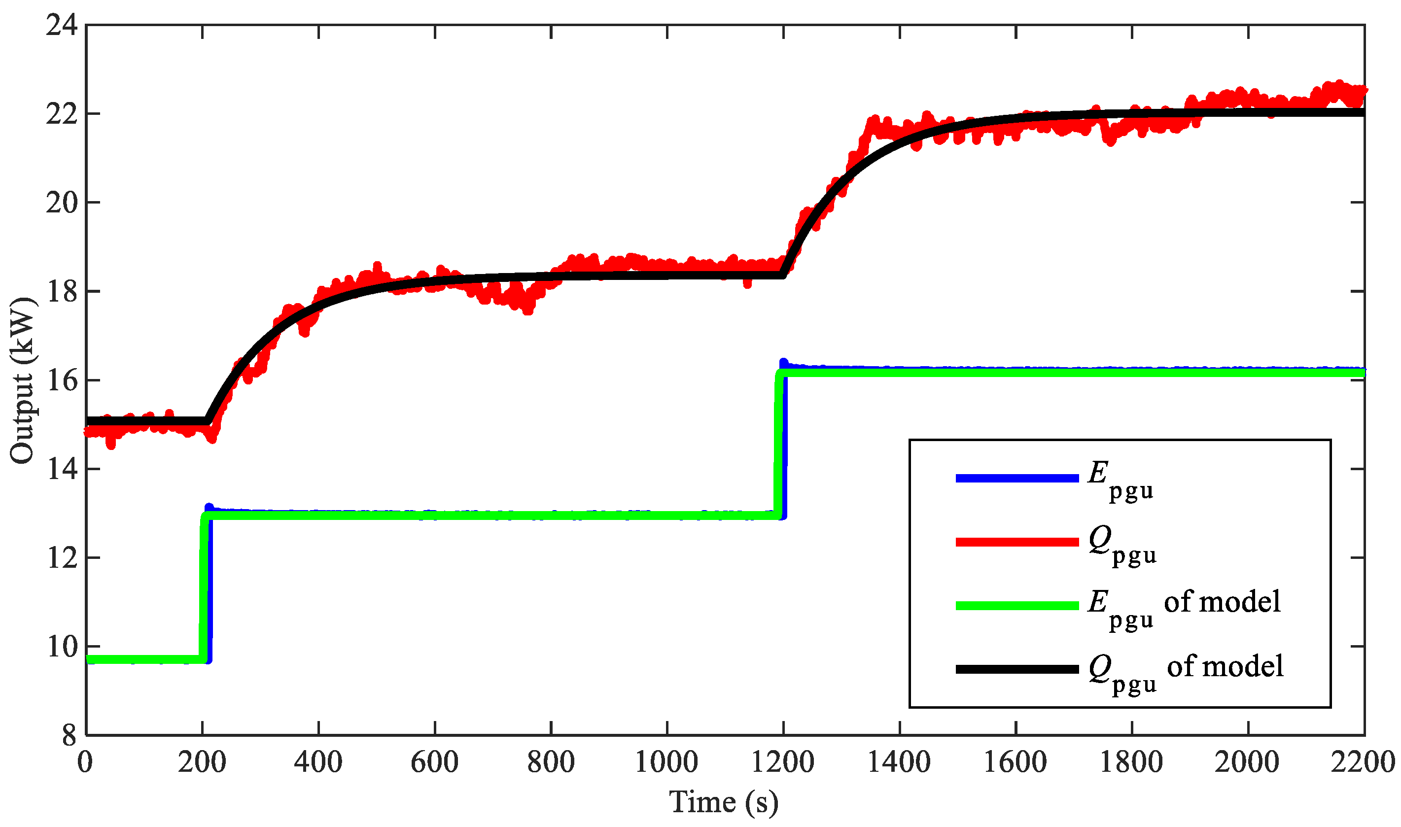
3.2. Transient-State Model Parameters
4. Optimal Scheduling of IES
4.1. Day-Ahead Optimization
Subject to: Equations (14), (33)–(35)
4.2. Rolling Optimization
Subject to: Equations (2), (21), (33)–(35), (37)
4.3. Solving Algorithm
5. Case Study
5.1. Basic Parameter
5.2. Analysis of Day-Ahead Optimization Results
5.3. Analysis of Rolling Optimization Results
6. Conclusions
Author Contributions
Funding
Data Availability Statement
Acknowledgments
Conflicts of Interest
References
- Ji, W.; Guo, S.; Sun, H.; Liu, D. Optimal dispatching of multi-community electric-thermal integrated energy systems considering wind and solar uncertainties based on hydraulic stability and energy sharing. Energy Convers. Manag. 2024, 308, 118335. [Google Scholar] [CrossRef]
- Su, B.; Wang, R.; Wang, M.; Wang, M.; Zhao, Q.; Lv, Y.; Gao, H. Low-Carbon Economic Dispatch of Integrated Energy Systems in Industrial Parks Considering Comprehensive Demand Response and Multi-Hydrogen Supply. Appl. Sci. 2024, 14, 2381. [Google Scholar] [CrossRef]
- Huang, W.; Zhang, N.; Yang, Y.; Wang, Y.; Kang, C. Optimal configuration planning of multi-energy systems considering distributed renewable energy. IEEE Trans. Smart Grid 2019, 10, 1452–1464. [Google Scholar] [CrossRef]
- Geidl, M.; Koeppel, G.; Favre-Perrod, P.; Klöckl, B.; Andersson, G.; Fröhlich, K. Energy hubs for the future. IEEE Power Energy Mag. 2007, 5, 24–30. [Google Scholar] [CrossRef]
- Wang, Y.; Zhang, N.; Kang, C.; Kirschen, D.; Yang, J.; Xia, Q. Standardized matrix modeling of multiple energy systems. IEEE Trans. Smart Grid 2019, 10, 257–270. [Google Scholar] [CrossRef]
- Liu, T.; Zhang, D.; Dai, H.; Wu, T. Intelligent modeling and optimization for smart energy hub. IEEE Trans. Ind. Electron. 2019, 66, 9898–9908. [Google Scholar] [CrossRef]
- Wang, Y.; Cheng, J.; Zhang, N.; Kang, C. Automatic and linearized modeling of energy hub and its flexibility analysis. Appl. Energy 2018, 211, 705–714. [Google Scholar] [CrossRef]
- Ma, S.; Mi, Y.; Shi, S.; Li, H.; Xing, H.; Wang, P. Low-carbon economic operation of energy hub integrated with linearization model and nodal energy-carbon price. Energy 2024, 294, 130754. [Google Scholar] [CrossRef]
- Li, J.; Yang, S.; Zhou, X.; Li, J. Multi-objective optimization of regional integrated energy system matrix modeling considering exergy analysis and user satisfaction. Int. J. Elec. Power 2024, 156, 109765. [Google Scholar] [CrossRef]
- Mohammadi, M.; Noorollahi, Y.; Mohammadi-ivatloo, B.; Yousefi, H. Energy hub: From a model to a concept—A review. Renew. Sustain. Energy Rev. 2017, 80, 1512–1527. [Google Scholar] [CrossRef]
- Mohammadi, M.; Noorollahi, Y.; Mohammadi-ivatloo, B.; Hosseinzadeh, M.; Yousefi, H.; Khorasani, S. Optimal management of energy hubs and smart energy hubs—A review. Sustain. Energy Rev. 2018, 89, 33–50. [Google Scholar] [CrossRef]
- Bozchalui, M.; Hashmi, S.; Hassen, H.; Cañizares, C.; Bhattacharya, K. Optimal operation of residential energy hubs in smart grids. IEEE Trans. Smart Grid 2012, 89, 1755–1766. [Google Scholar] [CrossRef]
- Paudyal, S.; Canizares, C.; Bhattacharya, K. Optimal operation of industrial energy hubs in smart grids. IEEE Trans. Smart Grid 2015, 6, 684–694. [Google Scholar] [CrossRef]
- Vahid-Pakdel, M.; Nojavan, S.; Mohammadi-ivatloo, B.; Zare, K. Stochastic optimization of energy hub operation with consideration of thermal energy market and demand response. Energy Convers. Manag. 2017, 145, 117–128. [Google Scholar] [CrossRef]
- Rastegar, M.; Fotuhi-Firuzabad, M.; Zareipour, H.; Moeini-Aghtaie, M. A probabilistic energy management scheme for renewable-based residential energy hubs. IEEE Trans. Smart Grid 2017, 8, 2217–2227. [Google Scholar] [CrossRef]
- Brahman, F.; Honarmand, M.; Jadid, S. Optimal electrical and thermal energy management of a residential energy hub, integrating demand response and energy storage system. Energy Build. 2015, 90, 65–75. [Google Scholar] [CrossRef]
- Ma, T.; Wu, L.; Hao, L.; Li, D. Energy flow matrix modeling and optimal operation analysis of multi energy systems based on graph theory. Appl. Therm. Eng. 2019, 146, 648–663. [Google Scholar] [CrossRef]
- Luo, X.; Liu, Y.; Liu, J.; Liu, X. Energy scheduling for a three-level integrated energy system based on energy hub models: A hierarchical Stackelberg game approach. Sustain. Cities Soc. 2020, 52, 101814. [Google Scholar] [CrossRef]
- Dini, A.; Hassankashi, A.; Pirouzi, S.; Lehtonen, M.; Arandian, B.; Baziar, A. A flexible-reliable operation optimization model of the networked energy hubs with distributed generations, energy storage systems and demand response. Energy 2022, 239, 121923. [Google Scholar] [CrossRef]
- Salehimaleh, M.; Akbarimajd, A.; Dejamkhooy, A. A shrinking-horizon optimization framework for energy hub scheduling in the presence of wind turbine and integrated demand response program. Sustain. Cities Soc. 2022, 79, 103689. [Google Scholar] [CrossRef]
- Pan, G.; Gu, W.; Wu, Z.; Lu, Y.; Lu, S. Optimal design and operation of multi-energy system with load aggregator considering nodal energy prices. Appl. Energy 2019, 239, 280–295. [Google Scholar] [CrossRef]
- Chicco, G.; Mancarella, P. Matrix modelling of small-scale trigeneration systems and application to operational optimization. Energy 2009, 34, 261–273. [Google Scholar] [CrossRef]
- Liu, M.; Shi, Y.; Fang, F. Optimal power flow and PGU capacity of CCHP systems using a matrix modeling approach. Appl. Energy 2013, 102, 794–802. [Google Scholar] [CrossRef]
- Meng, Q.; Zu, G.; Ge, L.; Li, S.; Xu, L.; Wang, R.; He, K.; Jin, S. Dispatching Strategy for Low-Carbon Flexible Operation of Park-Level Integrated Energy System. Appl. Sci. 2022, 12, 12309. [Google Scholar] [CrossRef]
- Bao, Z.; Zhou, Q.; Yang, Z.; Yang, Q.; Xu, L.; Wu, T. A multi time-scale and multi energy-type coordinated microgrid scheduling solution—Part I: Model and methodology. IEEE Trans. Power Syst. 2015, 30, 2257–2266. [Google Scholar] [CrossRef]
- Luo, Z.; Wu, Z.; Li, Z.; Cai, H.; Li, B.; Gu, W. A two-stage optimization and control for CCHP microgrid energy management. Appl. Therm. Eng. 2017, 125, 513–522. [Google Scholar] [CrossRef]
- Gu, W.; Luo, Z.; Wu, Z.; Li, Z.; Cai, H.; Li, B.; Gu, W. An online optimal dispatch schedule for CCHP microgrids based on model predictive control. IEEE Trans. Smart Grid 2017, 8, 2332–2342. [Google Scholar] [CrossRef]
- Li, X.; Wang, W.; Wang, H. Hybrid time-scale energy optimal scheduling strategy for integrated energy system with bilateral interaction with supply and demand. Appl. Energy 2021, 285, 116458. [Google Scholar] [CrossRef]
- Hu, K.; Wang, B.; Cao, S.; Li, W.; Wang, L. A novel model predictive control strategy for multi-time scale optimal scheduling of integrated energy system. Energy Rep. 2022, 8, 7420–7433. [Google Scholar] [CrossRef]
- Song, Y.; Mu, H.; Li, N.; Wang, H.; Kang, X. Optimal scheduling of zero-carbon integrated energy system considering long- and short-term energy storages, demand response, and uncertainty. J. Clean. Prod. 2024, 435, 140393. [Google Scholar] [CrossRef]
- Li, X.; Wang, H. Integrated energy system model with multi-time scale optimal dispatch method based on a demand response mechanism. J. Clean. Prod. 2024, 445, 141321. [Google Scholar] [CrossRef]
- Wang, G.; Pan, C.; Wu, W.; Fang, J.; Hou, X.; Liu, W. Multi-time scale optimization study of integrated energy system considering dynamic energy hub and dual demand response. Sustain. Energy Grids 2024, 38, 101286. [Google Scholar] [CrossRef]
- Wang, J.; Sui, J.; Jin, H. An improved operation strategy of combined cooling heating and power system following electrical load. Energy 2015, 85, 654–666. [Google Scholar] [CrossRef]
- Zhang, Y.; Liu, Z.; Wu, Y.; Li, L. Research on Optimal Operation of Regional Integrated Energy Systems in View of Demand Response and Improved Carbon Trading. Appl. Sci. 2023, 13, 6561. [Google Scholar] [CrossRef]
- Xu, Y.; Zhang, S.; Xiao, Y. Modeling the dynamic simulation and control of a single effect LiBr–H2O absorption chiller. Appl. Therm. Eng. 2016, 107, 1183–1191. [Google Scholar] [CrossRef]
- Huang, Y.; Wang, W.; Hou, B. A hybrid algorithm for mixed integer nonlinear programming in residential energy management. J. Clean. Prod. 2019, 226, 940–948. [Google Scholar] [CrossRef]
- Zhu, L.; Wang, G.; Li, Y.; Duo, Z.; Sun, C. Optimization of hydrogen liquefaction process based on parallel genetic algorithm. Int. J. Hydrogen Energy 2022, 47, 27038–27048. [Google Scholar] [CrossRef]























| Converter | Efficiency |
|---|---|
| PGU | ηpgu,e = 0.3 |
| ηpgu,rh = 0.4 | |
| Gas boiler | ηg = 0.8 |
| Absorption chiller | COPac = 0.7 |
| Electric chiller | COPec = 3 |
| Device | Capacity |
|---|---|
| PGU | 100 kW |
| WP | 150 kW |
| PV | 50 kW |
| Absorption chiller | 150 kW |
| Electric chiller | 150 kW |
| Electricity storage | 300 kWh |
| Chilled water storage | 300 kWh |
| Optimization Strategy | Objective Function Value | Prediction Data Testing | Sample Testing |
|---|---|---|---|
| Day-ahead stochastic optimization (CNY) | 1568.5 | 1542.2 | 1606.0 |
| Day-ahead deterministic optimization (CNY) | 1511.9 | 1511.9 | 1630.2 |
Disclaimer/Publisher’s Note: The statements, opinions and data contained in all publications are solely those of the individual author(s) and contributor(s) and not of MDPI and/or the editor(s). MDPI and/or the editor(s) disclaim responsibility for any injury to people or property resulting from any ideas, methods, instructions or products referred to in the content. |
© 2024 by the authors. Licensee MDPI, Basel, Switzerland. This article is an open access article distributed under the terms and conditions of the Creative Commons Attribution (CC BY) license (https://creativecommons.org/licenses/by/4.0/).
Share and Cite
Zhang, L.; Li, F. Energy Bus-Based Matrix Modeling and Optimal Scheduling for Integrated Energy Systems. Appl. Sci. 2024, 14, 4297. https://doi.org/10.3390/app14104297
Zhang L, Li F. Energy Bus-Based Matrix Modeling and Optimal Scheduling for Integrated Energy Systems. Applied Sciences. 2024; 14(10):4297. https://doi.org/10.3390/app14104297
Chicago/Turabian StyleZhang, Lizhi, and Fan Li. 2024. "Energy Bus-Based Matrix Modeling and Optimal Scheduling for Integrated Energy Systems" Applied Sciences 14, no. 10: 4297. https://doi.org/10.3390/app14104297
APA StyleZhang, L., & Li, F. (2024). Energy Bus-Based Matrix Modeling and Optimal Scheduling for Integrated Energy Systems. Applied Sciences, 14(10), 4297. https://doi.org/10.3390/app14104297

