Evolution of Core Stability, Athletic Performance, and ACL Injury Risk across a Soccer Season
Abstract
1. Introduction
2. Materials and Methods
2.1. Participants
2.2. Study Design
2.3. Evaluations
2.4. Statistical Analysis
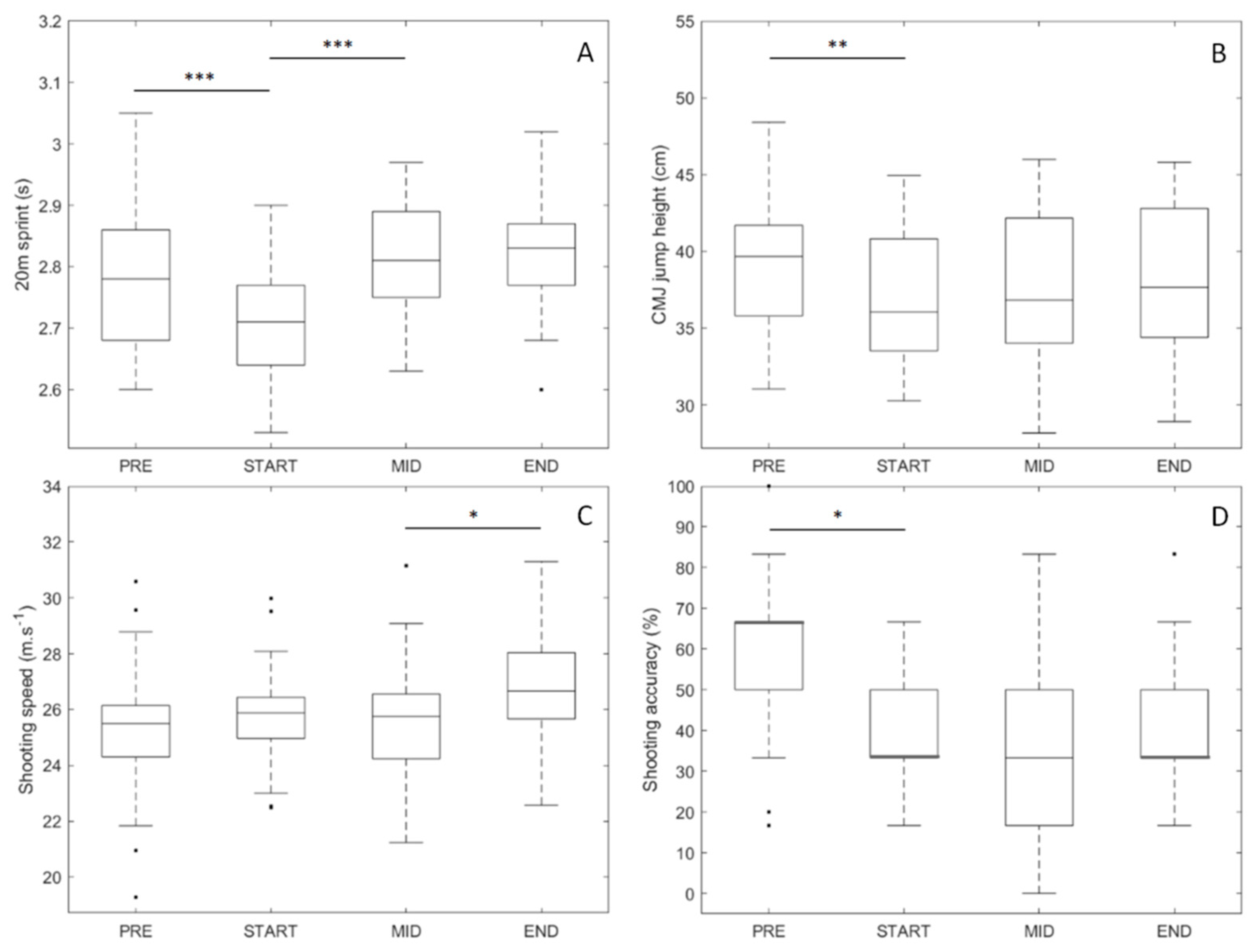
3. Results
4. Discussion
4.1. Effects of Soccer Training Program on Core Stability
4.2. Core Stability and Atheltic Performance
4.3. Core Stability and Injury Risk
5. Conclusions
Author Contributions
Funding
Institutional Review Board Statement
Informed Consent Statement
Data Availability Statement
Acknowledgments
Conflicts of Interest
Appendix A

References
- Lüthje, P.; Nurmi, I.; Kataja, M.; Belt, E.; Helenius, P.; Kaukonen, J.P.; Kiviluoto, H.; Kokko, E.; Lehtipuu, T.P.; Lehtonen, A.; et al. Epidemiology and Traumatology of Injuries in Elite Soccer: A Prospective Study in Finland. Scand. J. Med. Sci. Sports 2007, 6, 180–185. [Google Scholar] [CrossRef] [PubMed]
- Chandran, A.; Morris, S.N.; Lempke, L.B.; Boltz, A.J.; Robison, H.J.; Collins, C.L. Epidemiology of Injuries in National Collegiate Athletic Association Women’s Volleyball: 2014–2015 through 2018–2019. J. Athl. Train. 2021, 56, 666–673. [Google Scholar] [CrossRef] [PubMed]
- Bram, J.T.; Magee, L.C.; Mehta, N.N.; Patel, N.M.; Ganley, T.J. Anterior Cruciate Ligament Injury Incidence in Adolescent Athletes: A Systematic Review and Meta-Analysis. Am. J. Sports Med. 2021, 49, 1962–1972. [Google Scholar] [CrossRef] [PubMed]
- Mazza, D.; Viglietta, E.; Monaco, E.; Iorio, R.; Marzilli, F.; Princi, G.; Massafra, C.; Ferretti, A. Impact of Anterior Cruciate Ligament Injury on European Professional Soccer Players. Orthop. J. Sports Med. 2022, 10, 23259671221076865. [Google Scholar] [CrossRef] [PubMed]
- Waldén, M.; Krosshaug, T.; Bjørneboe, J.; Andersen, T.E.; Faul, O.; Hägglund, M. Three Distinct Mechanisms Predominate in Non-Contact Anterior Cruciate Ligament Injuries in Male Professional Football Players: A Systematic Video Analysis of 39 Cases. Br. J. Sports Med. 2015, 49, 1452–1460. [Google Scholar] [CrossRef] [PubMed]
- Collings, T.J.; Diamond, L.E.; Barrett, R.S.; Timmins, R.G.; Hickey, J.T.; du Moulin, W.S.; Williams, M.D.; Beerworth, K.A.; Bourne, M.N. Strength and Biomechanical Risk Factors for Non-Contact ACL Injury in Elite Female Footballers: A Prospective Study. Med. Sci. Sports Exerc. 2022. Publish ahead of Print. [Google Scholar] [CrossRef] [PubMed]
- Di Paolo, S.; Bragonzoni, L.; Della Villa, F.; Grassi, A.; Zaffagnini, S. Do Healthy Athletes Exhibit At-Risk Biomechanics for Anterior Cruciate Ligament Injury during Pivoting Movements? Sports Biomech. 2022, 1–14. [Google Scholar] [CrossRef] [PubMed]
- Mancini, S.L.; Dickin, C.; Hankemeier, D.A.; Rolston, L.; Wang, H. Risk of Anterior Cruciate Ligament Injury in Female Soccer Athletes: A Review. J. Orthop. Orthop. Surg. 2021, 2. [Google Scholar] [CrossRef]
- Hewett, T.E.; Myer, G.D.; Ford, K.R.; Heidt, R.S., Jr.; Colosimo, A.J.; McLean, S.G.; Van Den Bogert, A.J.; Paterno, M.V.; Succop, P. Biomechanical Measures of Neuromuscular Control and Valgus Loading of the Knee Predict Anterior Cruciate Ligament Injury Risk in Female Athletes: A Prospective Study. Am. J. Sports Med. 2005, 33, 492–501. [Google Scholar] [CrossRef]
- Hewett, T.E.; Myer, G.D. The Mechanistic Connection Between the Trunk, Hip, Knee, and Anterior Cruciate Ligament Injury. Exerc. Sport. Sci. Rev. 2011, 39, 161–166. [Google Scholar] [CrossRef]
- Zazulak, B.T.; Hewett, T.E.; Reeves, N.P.; Goldberg, B.; Cholewicki, J. Deficits in Neuromuscular Control of the Trunk Predict Knee Injury Risk: Prospective Biomechanical-Epidemiologic Study. Am. J. Sports Med. 2007, 35, 1123–1130. [Google Scholar] [CrossRef] [PubMed]
- Jamison, S.T.; McNally, M.P.; Schmitt, L.C.; Chaudhari, A.M.W. The Effects of Core Muscle Activation on Dynamic Trunk Position and Knee Abduction Moments: Implications for ACL Injury. J. Biomech. 2013, 46, 2236–2241. [Google Scholar] [CrossRef]
- Duchene, Y.; Gauchard, G.C.; Mornieux, G. Influence of Sidestepping Expertise and Core Stability on Knee Joint Loading during Change of Direction. J. Sports Sci. 2022, 40, 959–967. [Google Scholar] [CrossRef] [PubMed]
- Kibler, W.B.; Press, J.; Sciascia, A. The Role of Core Stability in Athletic Function. Sports Med. 2006, 36, 189–198. [Google Scholar] [CrossRef] [PubMed]
- Ferri Caruana, A.; Pardo Ibáñez, A.; Cano Garrido, Á.; Cabeza Ruiz, R. The Effect of a Core Training Program on Jump Performance in Female Handball Players. Rev. Andal. Med. Deporte 2022, 15, 22–28. [Google Scholar] [CrossRef]
- Pfile, K.R.; Hart, J.M.; Herman, D.C.; Hertel, J.; Kerrigan, D.C.; Ingersoll, C.D. Different Exercise Training Interventions and Drop-Landing Biomechanics in High School Female Athletes. J. Athl. Train. 2013, 48, 450–462. [Google Scholar] [CrossRef] [PubMed]
- Jeong, J.; Choi, D.-H.; Shin, C.S. Core Strength Training Can Alter Neuromuscular and Biomechanical Risk Factors for Anterior Cruciate Ligament Injury. Am. J. Sports Med. 2021, 49, 183–192. [Google Scholar] [CrossRef] [PubMed]
- Mornieux, G.; Weltin, E.; Friedman, C.; Pauls, M.; Forsythe, S.; Gollhofer, A. Influence of a Functional Core Stability Program on Trunk and Knee Joint Biomechanics in Female Athletes During Lateral Movements. J. Strength. Cond. Res. 2019. Publish ahead of print. [Google Scholar] [CrossRef] [PubMed]
- Whyte, E.F.; Richter, C.; O’Connor, S.; Moran, K.A. Investigation of the Effects of High-Intensity, Intermittent Exercise and Unanticipation on Trunk and Lower Limb Biomechanics During a Side-Cutting Maneuver Using Statistical Parametric Mapping. J. Strength. Cond. Res. 2018, 32, 1583. [Google Scholar] [CrossRef]
- Waldén, M. Return to Sports After ACL Reconstruction Surgery: A Risk for Further Joint Injury? In The ACL-Deficient Knee: A Problem Solving Approach; Sanchis-Alfonso, V., Monllau, J.C., Eds.; Springer: London, UK, 2013; pp. 183–188. ISBN 978-1-4471-4270-6. [Google Scholar]
- Silvers-Granelli, H.J.; Bizzini, M.; Arundale, A.; Mandelbaum, B.R.; Snyder-Mackler, L. Does the FIFA 11+ Injury Prevention Program Reduce the Incidence of ACL Injury in Male Soccer Players? Clin. Orthop. Relat. Res. 2017, 475, 2447–2455. [Google Scholar] [CrossRef]
- Azhar, N.I.; Othaman, N.N.C.; Zainuddin, S.Z.; Justine, M.; Kamarulzaman, M.F.; Bukry, S.A. FIFA 11+ Prevention Programme in Preventing Anterior Cruciate Ligament Injury among Soccer Players: A Scoping Review. Malays. J. Med. Health Sci. 2022, 18, 374–385. [Google Scholar]
- Prieske, O.; Muehlbauer, T.; Borde, R.; Gube, M.; Bruhn, S.; Behm, D.G.; Granacher, U. Neuromuscular and Athletic Performance Following Core Strength Training in Elite Youth Soccer: Role of Instability: Core Strength Training in Youth Soccer. Scand. J. Med. Sci. Sports 2016, 26, 48–56. [Google Scholar] [CrossRef]
- Brull-Muria, E.; Beltran-Garrido, J.V. Effects of a Specific Core Stability Program on the Sprint and Change-of-Direction Maneuverability Performance in Youth, Male Soccer Players. Int. J. Environ. Res. Public. Health 2021, 18, 10116. [Google Scholar] [CrossRef]
- Silva, J.R. The Soccer Season: Performance Variations and Evolutionary Trends. PeerJ 2022, 10, e14082. [Google Scholar] [CrossRef] [PubMed]
- Sannicandro, I.; Monacis, D.; Colella, D. Effects of a Warm up Integrated with Core Stability Exercises on the Motor Abilities in Young Soccer Players. Pedagog. Phys. Cult. Sports 2024, 28, 110–115. [Google Scholar] [CrossRef]
- Liu, X.; Liao, L.; Zhou, S. Dedicated Training of Explosive Strength in the Abdominal Core of Soccer Players. Rev. Bras. Med. Esporte 2023, 29, e2022_0327. [Google Scholar] [CrossRef]
- Granados, C.; Izquierdo, M.; Ibáñez, J.; Ruesta, M.; Gorostiaga, E.M. Effects of an Entire Season on Physical Fitness in Elite Female Handball Players. Med. Sci. Sports Exerc. 2008, 40, 351. [Google Scholar] [CrossRef] [PubMed]
- Nimphius, S.; McGuigan, M.R.; Newton, R.U. Changes in Muscle Architecture and Performance During a Competitive Season in Female Softball Players. J. Strength. Cond. Res. 2012, 26, 2655–2666. [Google Scholar] [CrossRef] [PubMed]
- Meckel, Y.; Doron, O.; Eliakim, E.; Eliakim, A. Seasonal Variations in Physical Fitness and Performance Indices of Elite Soccer Players. Sports 2018, 6, 14. [Google Scholar] [CrossRef]
- Caldwell, B.P.; Peters, D.M. Seasonal Variation in Physiological Fitness of a Semiprofessional Soccer Team. J. Strength. Cond. Res. 2009, 23, 1370. [Google Scholar] [CrossRef]
- Mohammadi, H.; Fakhraei Rad, N. The Effect of Sportsmetrics on the Performance and Knee Valgus During Landing of Female Soccer Players. Phys. Treat. Specif. Phys. Ther. J. 2022, 12, 175–188. [Google Scholar] [CrossRef]
- Eliakim, E.; Doron, O.; Meckel, Y.; Nemet, D.; Eliakim, A. Pre-Season Fitness Level and Injury Rate in Professional Soccer—A Prospective Study. Sports Med. Int. Open 2018, 2, E84–E90. [Google Scholar] [CrossRef]
- Arikan, H.; Maras, G.; Akaras, E.; Citaker, S.; Kafa, N. Development, Reliability and Validity of the Closed Kinetic Chain Lower Extremity Stability Test (CKCLEST): A New Clinical Performance Test. Res. Sports Med. 2021, 30, 475–490. [Google Scholar] [CrossRef] [PubMed]
- Degot, M.; Blache, Y.; Vigne, G.; Juré, D.; Borel, F.; Neyton, L.; Rogowski, I. Intrarater Reliability and Agreement of a Modified Closed Kinetic Chain Upper Extremity Stability Test. Phys. Ther. Sport. 2019, 38, 44–48. [Google Scholar] [CrossRef] [PubMed]
- Lai, W.C.; Wang, D.; Chen, J.B.; Vail, J.; Rugg, C.M.; Hame, S.L. Lower Quarter Y-Balance Test Scores and Lower Extremity Injury in NCAA Division I Athletes. Orthop. J. Sports Med. 2017, 5, 2325967117723666. [Google Scholar] [CrossRef] [PubMed]
- De Blaiser, C.; De Ridder, R.; Willems, T.; Danneels, L.; Roosen, P. Reliability of Two Functional Clinical Tests to Evaluate Trunk and Lumbopelvic Neuromuscular Control and Proprioception in a Healthy Population. Braz. J. Phys. Ther. 2018, 8, 541–548. [Google Scholar] [CrossRef]
- Fernandez-Fernandez, J.; Granacher, U.; Martinez-Martin, I.; Garcia-Tormo, V.; Herrero-Molleda, A.; Barbado, D.; Garcia-Lopez, J. Physical Fitness and Throwing Speed in U13 versus U15 Male Handball Players. BMC Sports Sci. Med. Rehabil. 2022, 14, 113. [Google Scholar] [CrossRef]
- Dos’Santos, T.; McBurnie, A.; Donelon, T.; Thomas, C.; Comfort, P.; Jones, P.A. A Qualitative Screening Tool to Identify Athletes with ‘High-Risk’ Movement Mechanics during Cutting: The Cutting Movement Assessment Score (CMAS). Phys. Ther. Sport. 2019, 38, 152–161. [Google Scholar] [CrossRef] [PubMed]
- Dos’Santos, T.; Thomas, C.; McBurnie, A.; Donelon, T.; Herrington, L.; Jones, P.A. The Cutting Movement Assessment Score (CMAS) Qualitative Screening Tool: Application to Mitigate Anterior Cruciate Ligament Injury Risk during Cutting. Biomechanics 2021, 1, 83–101. [Google Scholar] [CrossRef]
- Harry-Leite, P.; Paquete, M.; Teixeira, J.; Santos, M.; Sousa, J.; Fraiz-Brea, J.A.; Ribeiro, F. Acute Impact of Proprioceptive Exercise on Proprioception and Balance in Athletes. Appl. Sci. 2022, 12, 830. [Google Scholar] [CrossRef]
- Zarei, M.; Soltanirad, S.; Kazemi, A.; Hoogenboom, B.J.; Hosseinzadeh, M. Composite Functional Movement Screen Score Predicts Injuries in Youth Volleyball Players: A Prospective Cohort Study. Sci. Rep. 2022, 12, 20207. [Google Scholar] [CrossRef] [PubMed]
- Bagherian, S.; Ghasempoor, K.; Rahnama, N.; Wikstrom, E.A. The Effect of Core Stability Training on Functional Movement Patterns in College Athletes. J. Sport. Rehabil. 2019, 28, 444–449. [Google Scholar] [CrossRef] [PubMed]
- Vera-Garcia, F.J.; López-Plaza, D.; Juan-Recio, C.; Barbado, D. Tests to Measure Core Stability in Laboratory and Field Settings: Reliability and Correlation Analyses. J. Appl. Biomech. 2019, 35, 223–231. [Google Scholar] [CrossRef] [PubMed]
- Spyrou, K.; Alcaraz, P.E.; Marín-Cascales, E.; Herrero-Carrasco, R.; Cohen, D.D.; Freitas, T.T. Neuromuscular Performance Changes in Elite Futsal Players Over a Competitive Season. J. Strength. Cond. Res. 2023, 37, 1111–1116. [Google Scholar] [CrossRef] [PubMed]
- De Bruin, M.; Coetzee, D.; Schall, R. The Relationship between Core Stability and Athletic Performance in Female University Athletes. S. Afr. J. Sports Med. 2021, 33, v33i1a10825. [Google Scholar] [CrossRef] [PubMed]
- Torreblanca-Martínez, V.; Nevado-Garrosa, F.; Otero-Saborido, F.M.; Gonzalez-Jurado, J.A. Effects of Fatigue Induced by Repeated-Sprint on Kicking Accuracy and Velocity in Female Soccer Players. PLoS ONE 2020, 15, e0227214. [Google Scholar] [CrossRef] [PubMed]
- Saki, F.; Shafiee, H.; Tahayori, B.; Ramezani, F. The Effects of Core Stabilization Exercises on the Neuromuscular Function of Athletes with ACL Reconstruction. Sci. Rep. 2023, 13, 2202. [Google Scholar] [CrossRef]
- Kang, M.; Kim, G.; Kwon, O.; Weon, J.; Oh, J.; An, D. Relationship Between the Kinematics of the Trunk and Lower Extremity and Performance on the Y-Balance Test. PM&R 2015, 7, 1152–1158. [Google Scholar] [CrossRef]
- Padua, D.A.; DiStefano, L.J.; Marshall, S.W.; Beutler, A.I.; De La Motte, S.J.; DiStefano, M.J. Retention of Movement Pattern Changes After a Lower Extremity Injury Prevention Program Is Affected by Program Duration. Am. J. Sports Med. 2012, 40, 300–306. [Google Scholar] [CrossRef]





Disclaimer/Publisher’s Note: The statements, opinions and data contained in all publications are solely those of the individual author(s) and contributor(s) and not of MDPI and/or the editor(s). MDPI and/or the editor(s) disclaim responsibility for any injury to people or property resulting from any ideas, methods, instructions or products referred to in the content. |
© 2024 by the authors. Licensee MDPI, Basel, Switzerland. This article is an open access article distributed under the terms and conditions of the Creative Commons Attribution (CC BY) license (https://creativecommons.org/licenses/by/4.0/).
Share and Cite
Weber, T.A.; Duchene, Y.; Simon, F.R.; Mornieux, G.; Gauchard, G.C. Evolution of Core Stability, Athletic Performance, and ACL Injury Risk across a Soccer Season. Appl. Sci. 2024, 14, 4116. https://doi.org/10.3390/app14104116
Weber TA, Duchene Y, Simon FR, Mornieux G, Gauchard GC. Evolution of Core Stability, Athletic Performance, and ACL Injury Risk across a Soccer Season. Applied Sciences. 2024; 14(10):4116. https://doi.org/10.3390/app14104116
Chicago/Turabian StyleWeber, Théo A., Youri Duchene, Frédéric R. Simon, Guillaume Mornieux, and Gerôme C. Gauchard. 2024. "Evolution of Core Stability, Athletic Performance, and ACL Injury Risk across a Soccer Season" Applied Sciences 14, no. 10: 4116. https://doi.org/10.3390/app14104116
APA StyleWeber, T. A., Duchene, Y., Simon, F. R., Mornieux, G., & Gauchard, G. C. (2024). Evolution of Core Stability, Athletic Performance, and ACL Injury Risk across a Soccer Season. Applied Sciences, 14(10), 4116. https://doi.org/10.3390/app14104116

