Comparative Study of the Sprint Start Biomechanics of Men’s 100 m Athletes of Different Levels
Abstract
1. Introduction
2. Materials and Methods
2.1. Participants
2.2. Measurements
2.3. Procedures
2.4. Data Analysis
3. Results
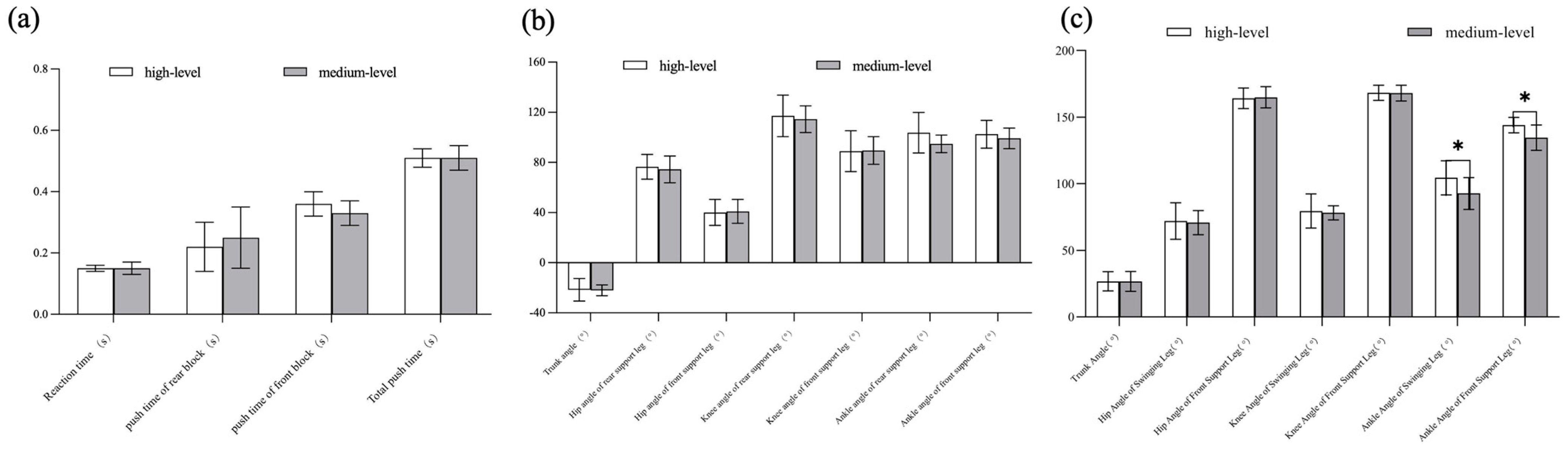
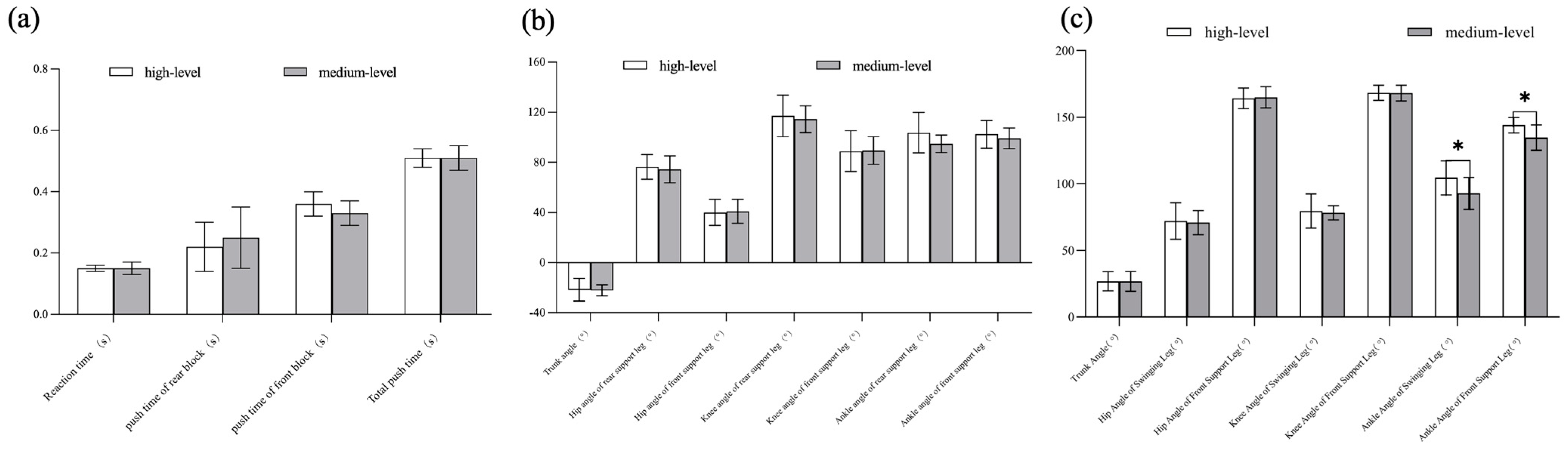
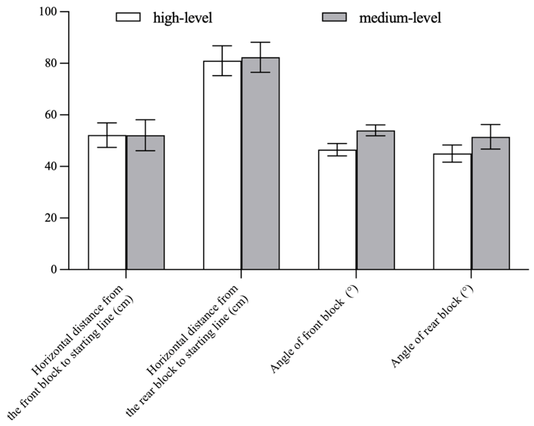
3.1. Starting Block
3.2. Kinematics
3.3. Kinetics
4. Discussion
5. Conclusions and Suggestion
Author Contributions
Funding
Institutional Review Board Statement
Informed Consent Statement
Data Availability Statement
Conflicts of Interest
References
- Bezodis, N.E.; Willwacher, S.; Salo, A.I.T. The biomechanics of the track and field sprint start: A narrative review. Sports Med. 2019, 49, 1345–1364. [Google Scholar] [CrossRef] [PubMed]
- Ciacci, S.; Merni, F.; Bartolomei, S.; Di Michele, R. Sprint start kinematics during competition in elite and world-class male and female sprinters. J. Sports Sci. 2017, 35, 1270–1278. [Google Scholar] [CrossRef] [PubMed]
- Cavedon, V.; Bezodis, N.E.; Sandri, M.; Golia, S.; Zancanaro, C.; Milanese, C. Effect of different anthropometry-driven block settings on sprint start performance. Eur. J. Sport Sci. 2023, 23, 1110–1120. [Google Scholar] [CrossRef] [PubMed]
- Cavedon, V.; Bezodis, N.E.; Sandri, M.; Pirlo, M.; Zancanaro, C.; Milanese, C. Relationships between anthropometric characteristics, block settings, and block clearance technique during the sprint start. J. Sports Sci. 2022, 40, 1097–1109. [Google Scholar] [CrossRef] [PubMed]
- Gleadhill, S.; Nagahara, R. Kinetic and kinematic determinants of female sprint performance. J. Sports Sci. 2021, 39, 609–617. [Google Scholar] [CrossRef]
- Dickinson, A. The effect of foot spacing on the starting time and speed in sprinting and the relation of physical measurements to foot spacing. Res. Q. Am. Phys. Educ. Assoc. 1934, 5, 12–19. [Google Scholar] [CrossRef]
- Harland, M.; Steele, J.R. Biomechanics of the sprint start. Sports Med. 1997, 23, 11–20. [Google Scholar] [CrossRef] [PubMed]
- Otsuka, M.; Kurihara, T.; Isaka, T. Effect of a wide stance on block start performance in sprint running. PLoS ONE 2015, 10, e0142230. [Google Scholar] [CrossRef]
- Schot, P.K.; Knutzen, K.M. A biomechanical analysis of four sprint start positions. Res. Q. Exerc. Sport 1992, 63, 137–147. [Google Scholar] [CrossRef]
- Slawinski, J.; Dumas, R.; Cheze, L.; Ontanon, G.; Miller, C.; Mazure-Bonnefoy, A. 3D kinematic of bunched, medium and elongated sprint start. Int. J. Sports Med. 2012, 33, 555–560. [Google Scholar] [CrossRef]
- Mero, A.; Kuitunen, S.; Harland, M.; Kyröläinen, H.; Komi, P.V. Effects of muscle–tendon length on joint moment and power during sprint starts. J. Sports Sci. 2006, 24, 165–173. [Google Scholar] [CrossRef] [PubMed]
- Schrödter, E.; Brüggemann, G.-P.; Willwacher, S. Is soleus muscle-tendon-unit behavior related to ground-force application during the sprint start? Int. J. Sports Physiol. Perform. 2017, 12, 448–454. [Google Scholar] [CrossRef]
- Slawinski, J.; Dumas, R.; Cheze, L.; Ontanon, G.; Miller, C.; Mazure-Bonnefoy, A. Effect of postural changes on 3D joint angular velocity during starting block phase. J. Sports Sci. 2013, 31, 256–263. [Google Scholar] [CrossRef] [PubMed]
- Slawinski, J.; Bonnefoy, A.; Levêque, J.M.; Ontanon, G.; Riquet, A.; Dumas, R.; Chèze, L. Kinematic and kinetic comparisons of elite and well-trained sprinters during sprint start. J. Strength. Cond. Res. 2010, 24, 896–905. [Google Scholar] [CrossRef]
- Mero, A.; Luhtanen, P.; Komi, P.V. A biomechanical study of the sprint start. Scand. J. Sports Sci. 1983, 5, 20–28. [Google Scholar]
- Coh, M.; Jošt, B.; Škof, B.; Tomažin, K.; Dolenec, A. Kinematic and Kinetic Parameters of the Sprint Start and Start Acceleration Model of Top Sprinters. Gymnica 1998, 28, 33–42. [Google Scholar]
- Hoster, M.; May, E. Notes on the biomechanics of the sprint start. Athl. Coach 1979, 13, 2–7. [Google Scholar]
- Mero, A.; Komi, P.V. Reaction time and electromyographic activity during a sprint start. Eur. J. Appl. Physiol. Occup. Physiol. 1990, 61, 73–80. [Google Scholar] [CrossRef] [PubMed]
- Collet, C. Strategic aspects of reaction time in world-class sprinters. Percept. Mot. Ski. 1999, 88, 65–75. [Google Scholar] [CrossRef]
- Xie, H.S. Modern Track and Field Event Speed Research; Beijing Sport University Press: Beijing, China, 2006. [Google Scholar]
- Milanese, C.; Bertucco, M.; Zancanaro, C. The effects of three different rear knee angles on kinematics in the sprint start. Biol. Sport 2014, 31, 209–215. [Google Scholar] [CrossRef]
- Mann, R.V.; Murphy, A. The Mechanics of Sprinting and Hurdling; CreatSpace Independent Platform: Charleston, SC, USA, 2022. [Google Scholar]
- Bezodis, N.E.; Salo, A.I.; Trewartha, G. Choice of sprint start performance measure affects the performance-based ranking within a group of sprinters: Which is the most appropriate measure? Sports Biomech. 2010, 9, 258–269. [Google Scholar] [CrossRef] [PubMed]
- Čoh, M.; Peharec, S.; Bačić, P.; Mackala, K. Biomechanical differences in the sprint start between faster and slower high-level sprinters. J. Hum. Kinet. 2017, 56, 29. [Google Scholar] [CrossRef] [PubMed][Green Version]
- Slawinski, J.; Bonnefoy, A.; Ontanon, G.; Lévêque, J.-M.; Miller, C.; Riquet, A.; Cheze, L.; Dumas, R. Segment-interaction in sprint start: Analysis of 3D angular velocity and kinetic energy in elite sprinters. J. Biomech. 2010, 43, 1494–1502. [Google Scholar] [CrossRef] [PubMed]
- Henry, F.M. Force-time characteristics of the sprint start. Res. Q. Am. Assoc. Health Phys. Educ. Recreat. 1952, 23, 301–318. [Google Scholar] [CrossRef]
- Sigerseth, P.O.; Grinaker, V.F. Effect of foot spacing on velocity in sprints. Res. Q. Am. Assoc. Health Phys. Educ. Recreat. 1962, 33, 599–606. [Google Scholar] [CrossRef]
- Chen, Y.; Wu, K.-Y.; Tsai, Y.-J.; Yang, W.-T.; Chang, J.-H. The kinematic differences of three types of crouched positions during a sprint start. J. Mech. Med. Biol. 2016, 16, 1650099. [Google Scholar] [CrossRef]
- Xu, M. Biomechanical Analysis of Crouch Starting Position. Sports Sci. Res. 2008, 12, 63–65. [Google Scholar]
- Susanka. Scientific Report on the Biomechanical Study of Sports at the First IAAF World Youth Athletics Championships; Tianjin Publishing Press: Tianjin, China, 1987. [Google Scholar]
- Walker, J.; Pollitt, L.; Paradisis, G.; Bezodis, I.; Bissas, A.; Merlino, S. Biomechanical Report for the IAAF World Indoor Championships 2018: 60 Metres Hurdles Men; International Association of Athletics Federations: Birmingham, UK, 2019. [Google Scholar]
- Borzov, V. Optimal starting position. Mod. Athl. Coach. 1980, 18, 4–5. [Google Scholar]
- Bezodis, N.E.; Salo, A.I.T.; Trewartha, G. Relationships between lower-limb kinematics and block phase performance in a cross section of sprinters. Eur. J. Sport Sci. 2015, 15, 118–124. [Google Scholar] [CrossRef]
- Brazil, A.; Exell, T.; Wilson, C.; Willwacher, S.; Bezodis, I.; Irwin, G. Lower limb joint kinetics in the starting blocks and first stance in athletic sprinting. J. Sports Sci. 2017, 35, 1629–1635. [Google Scholar] [CrossRef]
- Baumann, W. Kinematic and dynamic characteristics of the sprint start. In Biomechanics VB; University Park Press: Baltimore, MD, USA, 1976; pp. 194–199. [Google Scholar]
- Wang, Q. Research and Establishment of Diagnosis and Monitoring System of Athletic Ability Status of Chinese Outstanding Athletes; People’s Sports Press: Beijing, China, 2004. [Google Scholar]
- Jin, J. Advanced Course on Sports Biomechanics; Beijing Sport University Press: Beijing, China, 2007. [Google Scholar]
- Willwacher, S.; Herrmann, V.; Heinrich, K.; Funken, J.; Strutzenberger, G.; Goldmann, J.P.; Braunstein, B.; Brazil, A.; Irwin, G.; Potthast, W.; et al. Sprint Start Kinetics of Amputee and Non-Amputee Sprinters. PLoS ONE 2016, 11, e0166219. [Google Scholar] [CrossRef] [PubMed][Green Version]
- Bezodis, N.E.; Walton, S.P.; Nagahara, R. Understanding the track and field sprint start through a functional analysis of the external force features which contribute to higher levels of block phase performance. J. Sports Sci. 2019, 37, 560–567. [Google Scholar] [CrossRef] [PubMed]
- Vagenas, G.; Hoshizaki, T.B. Optimization of an Asymmetrical Motor Skill: Sprint Start. Int. J. Sport Biomech. 1986, 2, 29–40. [Google Scholar] [CrossRef]
- Guissard, N.; Duchateau, J. Electromyography of the sprint start. J. Hum. Mov. Stud. 1990, 18, 97–106. [Google Scholar]
- Coh, M.; Peharec, S.; Bačič, P.; Kampmiller, T. Dynamic factors and electromyographic activity in a sprint start. Biol. Sport 2009, 26, 137–147. [Google Scholar] [CrossRef]







| Age (years) | Height (cm) | Weight (kg) | Block Velocity (m/s) | 100 m Personal Best (s) | |
|---|---|---|---|---|---|
| High-level group (n = 10) | 21.40 ± 1.58 | 177.86 ± 4.32 | 69.13 ± 6.95 | 3.42 ± 0.27 | 10.51 ± 0.19 |
| Medium-level group (n = 10) | 20.00 ± 3.06 | 178.95 ± 3.29 | 68.86 ± 4.98 | 3.16 ± 0.23 | 11.49 ± 0.36 |
| High-Level | Medium-Level | F | p | η2 | |
|---|---|---|---|---|---|
| Horizontal RFD of Rear Block (N/s·kg) | 15.31 ± 7.46 | 21.79 ± 10.32 | 2.59 | 0.13 | 0.13 |
| Horizontal RFD of Front Block (N/s·kg) | 4.10 ± 0.55 | 3.90 ± 0.72 | 0.45 | 0.51 | 0.02 |
| Vertical RFD of Rear Block (N/s·kg) | 7.77 ± 3.26 | 13.87 ± 7.08 | 6.12 | 0.02 * | 0.25 |
| Vertical RFD of Front Block (N/s·kg) | 4.53 ± 0.94 | 4.68 ± 1.35 | 0.08 | 0.78 | 0.00 |
| RFD of Rear Block (N/s·kg) | 15.57 ± 6.09 | 22.92 ± 8.84 | 4.69 | 0.04 * | 0.21 |
| RFD of Front Block (N/s·kg) | 6.03 ± 1.03 | 6.04 ± 1.46 | 0.00 | 0.98 | 0.00 |
| Maximum Horizontal Force of Rear Block (N/kg) | 1.14 ± 0.33 | 1.30 ± 0.21 | 1.84 | 0.19 | 0.09 |
| Maximum Horizontal Force of Front Block (N/kg) | 1.18 ± 0.09 | 1.03 ± 0.16 | 5.90 | 0.03 * | 0.25 |
| Maximum Vertical Force of Rear Block (N/kg) | 0.88 ± 0.24 | 1.12 ± 0.26 | 4.42 | 0.05 * | 0.20 |
| Maximum Vertical Force of Front Block (N/kg) | 1.3 5± 0.16 | 1.24 ± 0.23 | 1.46 | 0.24 | 0.08 |
| Maximum Total Force of Rear Block (N/kg) | 1.42 ± 0.38 | 1.71 ± 0.29 | 3.59 | 0.07 | 0.17 |
| Maximum Combined Force of Front Block (N/kg) | 1.78 ± 0.17 | 1.61 ± 0.27 | 2.98 | 0.10 | 0.14 |
Disclaimer/Publisher’s Note: The statements, opinions and data contained in all publications are solely those of the individual author(s) and contributor(s) and not of MDPI and/or the editor(s). MDPI and/or the editor(s) disclaim responsibility for any injury to people or property resulting from any ideas, methods, instructions or products referred to in the content. |
© 2024 by the authors. Licensee MDPI, Basel, Switzerland. This article is an open access article distributed under the terms and conditions of the Creative Commons Attribution (CC BY) license (https://creativecommons.org/licenses/by/4.0/).
Share and Cite
Li, Z.; Peng, Y.; Li, Q. Comparative Study of the Sprint Start Biomechanics of Men’s 100 m Athletes of Different Levels. Appl. Sci. 2024, 14, 4083. https://doi.org/10.3390/app14104083
Li Z, Peng Y, Li Q. Comparative Study of the Sprint Start Biomechanics of Men’s 100 m Athletes of Different Levels. Applied Sciences. 2024; 14(10):4083. https://doi.org/10.3390/app14104083
Chicago/Turabian StyleLi, Zhao, Yan Peng, and Qing Li. 2024. "Comparative Study of the Sprint Start Biomechanics of Men’s 100 m Athletes of Different Levels" Applied Sciences 14, no. 10: 4083. https://doi.org/10.3390/app14104083
APA StyleLi, Z., Peng, Y., & Li, Q. (2024). Comparative Study of the Sprint Start Biomechanics of Men’s 100 m Athletes of Different Levels. Applied Sciences, 14(10), 4083. https://doi.org/10.3390/app14104083
