Changes in Temperature and Precipitation Trends in Selected Polish Cities Based on the Results of Regional EURO-CORDEX Climate Models in the 2030–2050 Horizon
Abstract
:1. Introduction
2. Materials and Methods
2.1. Research Area
2.2. Input Data
| GCM Institution | GCM | RCM Institution | RCM | RCM Version | Realization Number |
|---|---|---|---|---|---|
| CNRM 1, CERFACS 2 | CNRM-CM5 | CLMcom 3 | CCLM4-8-17 [42] | v1 | r1i1p1 |
| CNRM 1, CERFACS 2 | CNRM-CM5 | CNRM 1 | ALADIN53 [43] | v1 | r1i1p1 |
| CNRM 1, CERFACS 2 | CNRM-CM5 | RMIB-UGent 4 | ALARO [44] | v1 | r1i1p1 |
| CNRM 1, CERFACS 2 | CNRM-CM5 | SMHI 5 | RCA4 [45] | v1 | r1i1p1 |
| ICHEC 6 | EC-EARTH | KNMI 7 | RACMO22E [46] | v1 | r1i1p1 |
| ICHEC 6 | EC-EARTH | DMI 8 | HIRHAM5 [47] | v1 | r3i1p1 |
| ICHEC 6 | EC-EARTH | CLMcom 3 | CCLM4-8-17 [48] | v1 | r12i1p1 |
| ICHEC 6 | EC-EARTH | SMHI 5 | RCA4 [43] | v1 | r12i1p1 |
| IPSL 9 | IPSL-CM5A-MR | IPSL 9-INERIS 10 | WRF331F [49] | v1 | r1i1p1 |
| IPSL 9 | IPSL-CM5A-MR | SMHI 5 | RCA4 [45] | v1 | r1i1p1 |
| MPI-M-MPI 11 | ESM-LR | CLMcom 3 | CCLM4-8-17 [42] | v1 | r1i1p1 |
| MPI-M-MPI 11 | ESM-LR | MPI 11-CSC 12 | REMO2009 [50] | v1 | r1i1p1 |
| MPI-M-MPI 11 | ESM-LR | MPI 11-CSC 12 | REMO2009 [50] | v1 | r2i1p1 |
| MPI-M-MPI 11 | ESM-LR | SMHI 5 | RCA4 [45] | v1a | r1i1p1 |
2.3. Climate Indices
- The annual average temperature.
- The number of hot days per year is calculated as the sum of all days in a selected year with a maximum daily temperature above 30 °C.
- The number of frost days per year is calculated as the sum of all days in a selected year with a minimum daily temperature below 0 °C.
- The number of cold days per year is calculated as the sum of all days with a maximum daily temperature lower than 0 °C in the selected year.
- The annual sum of precipitation.
- The number of days with precipitation is calculated as the sum of days in a year with a daily sum exceeding 1 mm.
- The number of days with extreme precipitation is calculated as the number of days in the selected year with a daily sum of precipitation exceeding 10 mm.
3. Results and Discussion
3.1. Temperature Indices
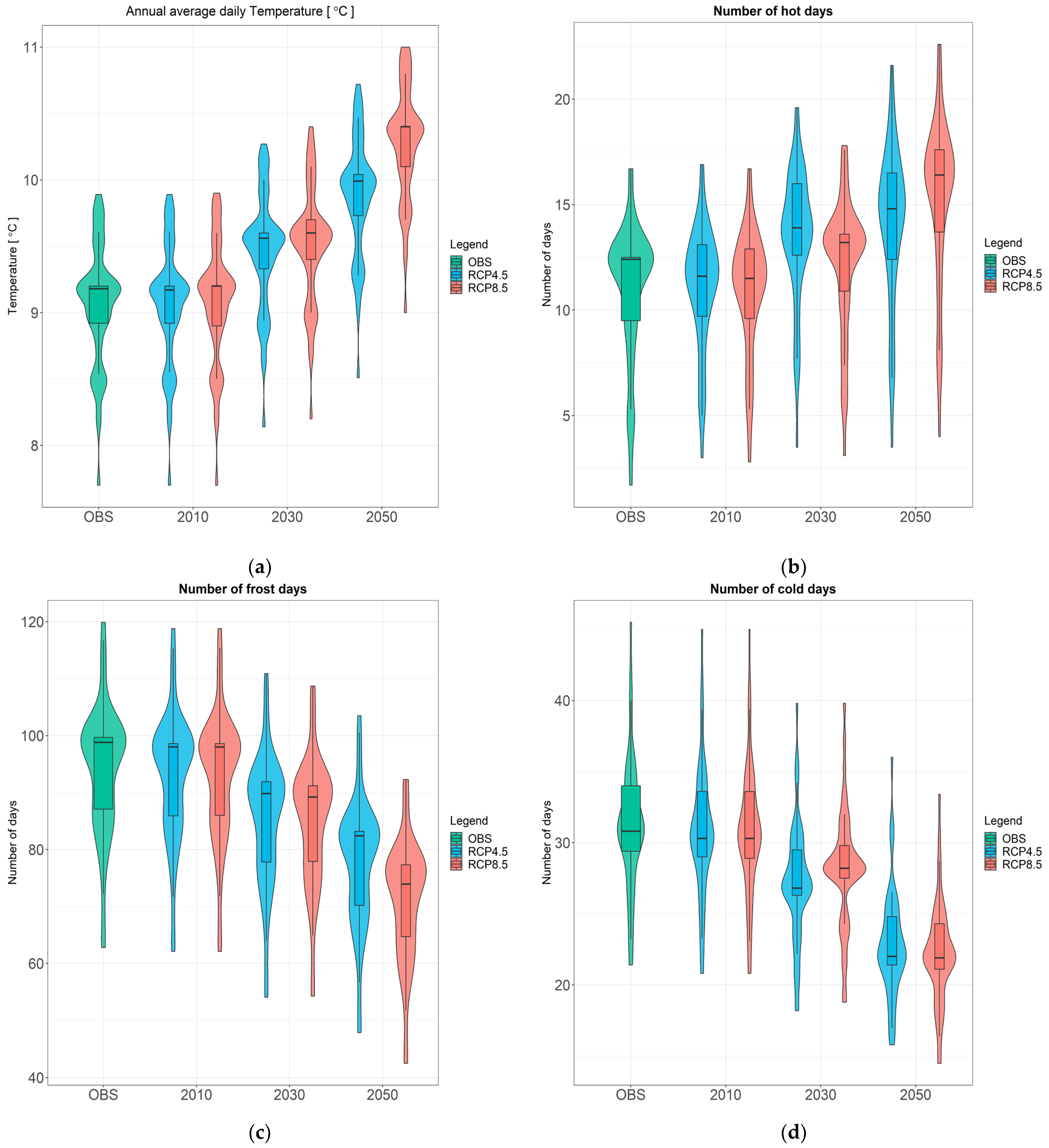
3.1.1. Annual Average Temperature
3.1.2. Number of Hot Days (Tmax > 30 °C)
3.1.3. Number of Frost Days (Tmin < 0 °C)
3.1.4. Number of Cold Days (Tmax < 0 °C)
3.2. Precipitation Indices
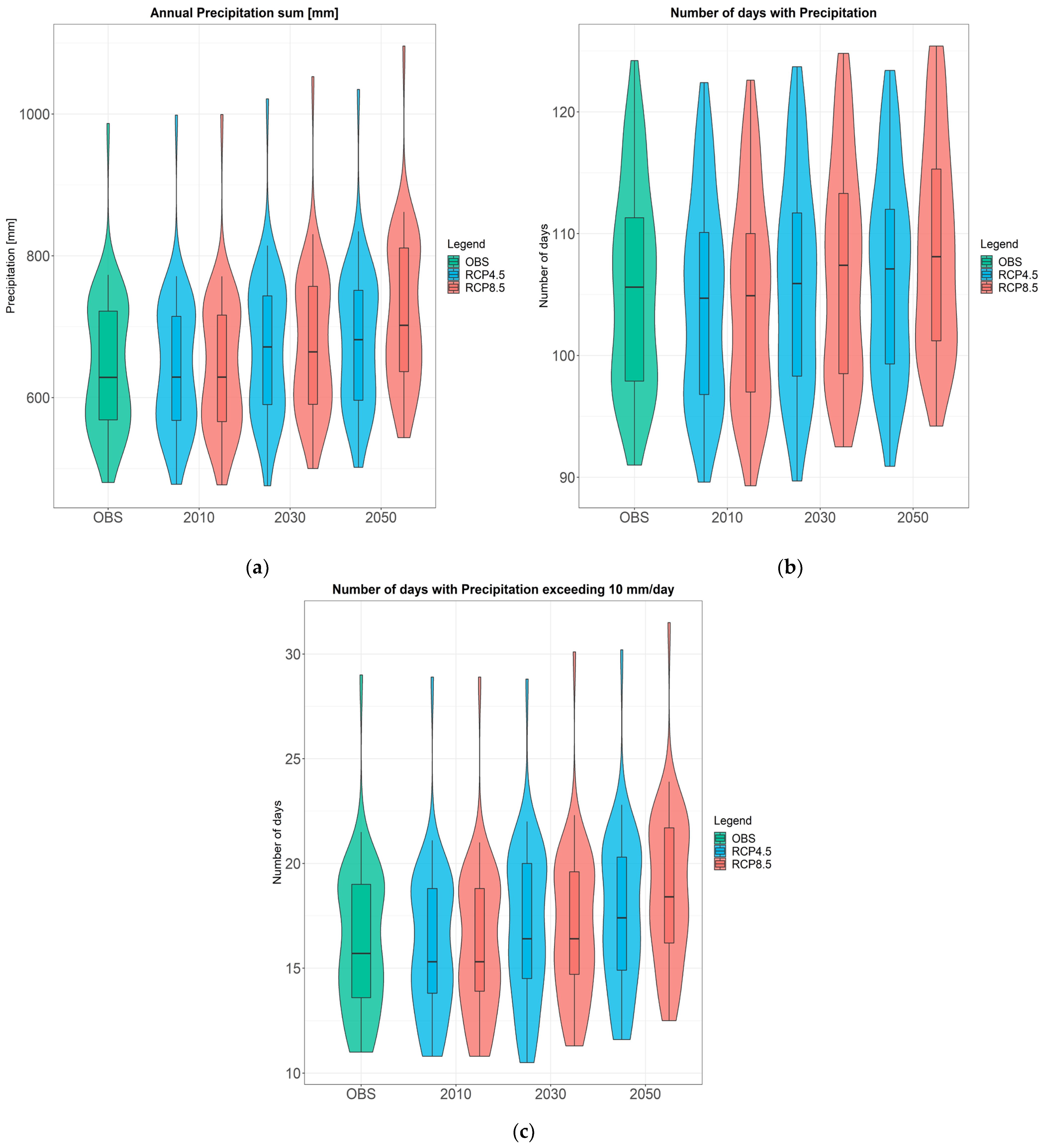
3.2.1. Total Annual Precipitation
3.2.2. Number of Days with Precipitation
3.2.3. Number of Days with Extreme Precipitation (PR > 10 mm/day)
3.3. Evaluation and Trends
4. Conclusions
- The country’s average annual temperature shows an upward tendency. A slightly higher temperature increase is expected to occur in northeast Poland. The temperature increase by 2050 is expected to be equal to approx. 1 °C (0.83 in RCP 4.5 and 1.2 in RCP 8.5).
- The number of hot days is expected to increase, with the most significant increase in the country’s north. On average, the number of hot days could increase by 3.7 days (3.0 in RCP 4.5 and 4.4 in RCP 8.5).
- In both scenarios, the decrease in the number of frost days is slightly higher in the country’s north. By 2050, the number of frost days could decrease by around 19 (15.3 in RCP 4.5 and 21.9 in RCP 8.5).
- The number of cold days is expected to decrease throughout the country. The most significant decrease in this scenario occurs in the country’s northeast. The number of cold days in the 2050 horizon could decrease on average by around 8 days (8 in RCP 4.5 and 8.6 in RCP 8.5) compared to 2010.
- The annual precipitation increases mainly in cities in the eastern part of Poland. The smallest increase is expected in locations in the western part of the country, where it could be below 5%. By 2050, the annual precipitation is expected to increase by an average of 40 mm in RCP 4.5 to 80 mm in RCP 8.5.
- A slight increase, by approx. 3.3 days (2.1 in RCP 4.5 and 4.5 in RCP 8.5) is the total number of days with precipitation expected.
- Both RCP scenarios predict an increase in the number of days with extreme precipitation, mainly in eastern Poland, for approximately 2 days (1.4 in RCP 4.5 and 2.7 in RCP 8.5).
Author Contributions
Funding
Institutional Review Board Statement
Informed Consent Statement
Data Availability Statement
Acknowledgments
Conflicts of Interest
References
- Dickinson, R.E.; Errico, R.M.; Giorgi, F.; Bates, G.T. A regional climate model for the western United States. Clim. Chang. 1989, 15, 383–422. [Google Scholar] [CrossRef]
- Giorgi, F.; Bates, G.T. The climatological skill of a regional model over complex terrain. Mon. Weather Rev. 1989, 117, 2325–2347. [Google Scholar] [CrossRef]
- Giorgi, F. Simulation of regional climate using a limited area model nested in a general circulation model. J. Clim. 1990, 3, 941–963. [Google Scholar] [CrossRef]
- Kida, H.; Koide, T.; Sasaki, H.; Chiba, M. A new approach for coupling a limited area model to a GCM for regional climate simulations. J. Meteorol. Soc. Jpn. Ser. II 1991, 69, 723–728. [Google Scholar] [CrossRef]
- UNPD (United Nations, Department of Economic and Social Affairs, Population Division). World Urbanization Prospects: The 2018 Revision, Online Edition. Available online: https://population.un.org/wup/Download/Files/WUP2018-F02-Proportion_Urban.xls (accessed on 12 December 2023).
- Abarca-Alvarez, F.J.; Navarro-Ligero, M.L.; Valenzuela-Montes, L.M.; Campos-Sánchez, F.S. European strategies for adaptation to climate change with the mayors adapt initiative by self-organizing maps. Appl. Sci. 2019, 9, 3859. [Google Scholar] [CrossRef]
- IPCC. Climate Change 2013: The Physical Science Basis. Contribution of Working Group I to the Fifth Assessment Report of the Intergovernmental Panel on Climate Change; Stocker, T.F., Qin, D., Plattner, G.-K., Tignor, M., Allen, S.K., Boschung, J., Nauels, A., Xia, Y., Bex, V., Midgley, P.M., Eds.; Cambridge University Press: Cambridge, UK; New York, NY, USA, 2013; 1535p. [Google Scholar] [CrossRef]
- IPCC. Climate Change 2021: The Physical Science Basis. Contribution of Working Group I to the Sixth Assessment Report of the Intergovernmental Panel on Climate Change; Masson-Delmotte, V., Zhai, P., Pirani, A., Connors, S.L., Péan, C., Berger, S., Caud, N., Chen, Y., Goldfarb, L., Gomis, M.I., et al., Eds.; Cambridge University Press: Cambridge, UK; New York, NY, USA, 2021; in press. [Google Scholar] [CrossRef]
- Meehl, G.A.; Tebaldi, C. More intense, more frequent, and longer lasting heat waves in the 21st century. Science 2004, 305, 994–997. [Google Scholar] [CrossRef]
- Schär, C.; Vidale, P.L.; Lüthi, D.; Frei, C.; Häberli, C.; Liniger, M.A.; Appenzeller, C. The role of increasing temperature variability in European summer heatwaves. Nature 2004, 427, 332–336. [Google Scholar] [CrossRef]
- Koffi, B.; Koffi, E. Heat waves across Europe by the end of the 21st century: Multiregional climate simulations. Clim. Res. 2008, 36, 153–168. [Google Scholar] [CrossRef]
- Madsen, H.; Lawrence, D.; Lang, M.; Martinkova, M.; Kjeldsen, T.R. Review of trend analysis and climate change projections of extreme precipitation and floods in Europe. J. Hydrol. 2014, 519, 3634–3650. [Google Scholar] [CrossRef]
- Kundzewicz, Z.W.; Ulbrich, U.; Graczyk, D.; Krüger, A.; Leckebusch, G.C.; Menzel, L.; Pińskwar, I.; Radziejewski, M.; Szwed, M. Summer floods in Central Europe–climate change track? Nat. Hazards 2005, 36, 165–189. [Google Scholar] [CrossRef]
- Kundzewicz, Z.W.; Radziejewski, M.; Pinskwar, I. Precipitation Extremes in the Changing Climate of Europe. Clim. Res. 2006, 31, 51–58. [Google Scholar] [CrossRef]
- Rojas, R.; Feyen, L.; Bianchi, A.; Dosio, A. Assessment of future flood hazard in Europe using a large ensemble of bias-corrected regional climate simulations. J. Geophys. Res. 2012, 117, D17109. [Google Scholar] [CrossRef]
- Bokwa, A.; Dobrovolný, P.; Gál, T.; Geletič, J.; Gulyás, Á.; Hajto, M.J.; Holec, J.; Hollosi, B.; Kielar, R.; Lehnert, M.; et al. Urban climate in Central European cities and global climate change. Acta Climatol. 2018, 51, 7–35. [Google Scholar] [CrossRef]
- Milner, J.; Harpham, C.; Taylor, J.; Davies, M.; Le Quéré, C.; Haines, A.; Wilkinson, P. The challenge of urban heat exposure under climate change: An analysis of cities in the Sustainable Healthy Urban Environments (SHUE) database. Climate 2019, 5, 93. [Google Scholar] [CrossRef] [PubMed]
- Kosatsky, T. The 2003 European heat waves. Eurosurveillance 2005, 10, 3–4. [Google Scholar] [CrossRef]
- Bouchama, A.; Dehbi, M.; Mohamed, G.; Matthies, F.; Shoukri, M.; Menne, B. Prognostic factors in heat wave–related deaths: A meta-analysis. Arch. Intern. Med. 2007, 167, 2170–2176. [Google Scholar] [CrossRef]
- Metzger, K.B.; Ito, K.; Matte, T.D. Summer heat and mortality in New York City: How hot is too hot? Environ. Health Perspect. 2010, 118, 80–86. [Google Scholar] [CrossRef]
- Madrigano, J.; Ito, K.; Johnson, S.; Kinney, P.L.; Matte, T. A Case-Only Study of Vulnerability to Heat Wave-Related Mortality in New York City (2000–2011). Environ. Health Perspect. 2015, 123, 672–678. [Google Scholar] [CrossRef]
- IPCC. Climate Change 2014: Synthesis Report. Contribution of Working Groups I, II and III to the Fifth Assessment Report of the Intergovernmental Panel on Climate Change; Core Writing Team, Pachauri, R.K., Meyer, L.A., Eds.; IPCC: Geneva, Switzerland, 2014; 151p. [Google Scholar]
- Moss, R.H.; Edmonds, J.A.; Hibbard, K.A.; Manning, M.R.; Rose, S.K.; Van Vuuren, D.P.; Carter, T.R.; Emori, S.; Kainuma, M.; Kram, T.; et al. The next generation of scenarios for climate change research and assessment. Nature 2010, 463, 747–756. [Google Scholar] [CrossRef]
- Kalbarczyk, E.; Kalbarczyk, R. Typology of Climate Change Adaptation Measures in Polish Cities up to 2030. Land 2020, 9, 351. [Google Scholar] [CrossRef]
- Riahi, K.; Rao, S.; Krey, V.; Cho, C.; Chirkov, V.; Fischer, G.; Kindermann, G.; Nakicenovic, N.; Rafaj, P. RCP 8.5—A scenario of comparatively high greenhouse gas emissions. Clim. Chang. 2011, 109, 33–57. [Google Scholar] [CrossRef]
- Clarke, L.E. Scenarios of Greenhouse Gas Emissions and Atmospheric Concentrations: Report (Vol. 2); US Climate Change Science Program; US EPA: Washington, DC, USA, 2007.
- Riahi, K.; Grübler, A.; Nakicenovic, N. Scenarios of long-term socio-economic and environmental development under climate stabilisation. Technol. Forecast. Soc. Chang. 2007, 74, 887–935. [Google Scholar] [CrossRef]
- Thomson, A.M.; Calvin, K.V.; Smith, S.J.; Kyle, G.P.; Volke, A.; Patel, P.; Delgado-Arias, S.; Bond-Lamberty, B.; Wise, M.A.; Clarke, L.E.; et al. RCP4. 5: A pathway for stabilisation of radiative forcing by 2100. Clim. Chang. 2011, 109, 77–94. [Google Scholar] [CrossRef]
- Hausfather, Z.; Peters, G.P. Emissions—The business as usual story is misleading. Nature 2020, 577, 618–620. [Google Scholar] [CrossRef] [PubMed]
- Giorgi, F.; Jones, C.; Asrar, G.R. Addressing climate information needs at the regional level: The CORDEX framework. World Meteorol. Organ. (WMO) Bull. 2009, 58, 175. [Google Scholar]
- Jacob, D.; Petersen, J.; Eggert, B.; Alias, A.; Christensen, O.B.; Bouwer, L.M.; Braun, A.; Colette, A.; Déqué, M.; Georgievski, G.; et al. EURO-CORDEX: New high-resolution climate change projections for European impact research. Reg. Environ. Chang. 2014, 14, 563–578. [Google Scholar] [CrossRef]
- Taylor, K.E. Summarising multiple aspects of model performance in a single diagram. J. Geophys. Res. Atmos. 2001, 106, 7183–7192. [Google Scholar] [CrossRef]
- Available online: https://www.euro-cordex.net/ (accessed on 12 December 2023).
- Evin, G.; Somot, S.; Hingray, B. Balanced estimate and uncertainty assessment of European climate change using the large EURO-CORDEX regional climate model ensemble. Earth Syst. Dynam. 2021, 12, 1543–1569. [Google Scholar] [CrossRef]
- Gudmundsson, L.; Bremnes, J.B.; Haugen, J.E.; Engen-Skaugen, T. Downscaling RCM precipitation to the station scale using statistical transformations—A comparison of methods. Hydrol. Earth Syst. Sci. 2012, 16, 3383–3390. [Google Scholar] [CrossRef]
- Villani, V.; Rianna, G.; Mercogliano, P.; Zollo, A.L.; Schiano, P. Statistical approaches versus weather generator to downscale rcm outputs to point scale. J. Urban Environ. Eng. 2014, 8, 142–154. [Google Scholar]
- Mezghani, A.; Dobler, A.; Haugen, J.E.; Benestad, R.E.; Parding, K.M.; Piniewski, M.; Kardel, I.; Kundzewicz, Z.W. CHASE-PL Climate Projection dataset over Poland–bias adjustment of EURO-CORDEX simulations. Earth Syst. Sci. Data 2017, 9, 905–925. [Google Scholar] [CrossRef]
- Ahmad, B.; Rasul, G. Statistically downscaled projections of CORDEX South Asia using quantile mapping approach over Pakistan region. Int. J. Glob. Warm. 2018, 16, 435–460. [Google Scholar] [CrossRef]
- Enayati, M.; Bozorg-Haddad, O.; Bazrafshan, J.; Hejabi, S.; Chu, X. Bias correction capabilities of quantile mapping methods for rainfall and temperature variables. J. Water Clim. Chang. 2021, 12, 401–419. [Google Scholar] [CrossRef]
- Tong, Y.; Gao, X.; Han, Z.; Xu, Y.; Xu, Y.; Giorgi, F. Bias correction of temperature and precipitation over China for RCM simulations using the QM and QDM methods. Clim. Dyn. 2021, 57, 1425–1443. [Google Scholar] [CrossRef]
- Alaminie, A.A.; Tilahun, S.A.; Legesse, S.A.; Zimale, F.A.; Tarkegn, G.B.; Jury, M.R. Evaluation of past and future climate trends under CMIP6 scenarios for the UBNB (Abay), Ethiopia. Water 2021, 13, 2110. [Google Scholar] [CrossRef]
- CLMCom (CLMCom). CLMcom CORDEX Data for Europe (EUR-11) Based on CCLM4-8-17 Model Simulations. World Data Center for Climate (WDCC) at DKRZ. Available online: https://hdl.handle.net/21.14106/65c6e1e7d10dae63cfaf35b7d456c0973348be6f (accessed on 12 December 2023).
- Centre National de Recherches Météorologiques (Meteo-France/CNRM). CNRM CORDEX data for Europe (EUR-44) Based on ALADIN53 Model Simulations. World Data Center for Climate (WDCC) at DKRZ. Available online: https://hdl.handle.net/21.14106/262f8764af9b94a8452090ba38e6343c47e56d1a (accessed on 12 December 2023).
- Berckmans, J.; Caluwaerts, S.; De Cruz, L.; De Meutter, P.; De Troch, R.; Deckmyn, A.; Degrauwe, D.; Gerard, L.; Giot, O.; Smet, G.; et al. CORDEX Simulations (Evaluation, Historical, rcp85, rcp45 and rcp26) on a ca. 12.5 km Grid Over Europe Based on ALARO-0 Forced by CNRM-CM5. World Data Center for Climate (WDCC) at DKRZ. Available online: https://www.wdc-climate.de/ui/entry?acronym=CXEU11RUA1 (accessed on 12 December 2023).
- Swedish Meteorological and Hydrological Institute (SMHI). Cordex EUR-11 SMHI RCA4. World Data Center for Climate (WDCC) at DKRZ. Available online: https://hdl.handle.net/21.14106/5b6f4dfdf6e61d8ac8ea85dc968ff0921b17b8fc (accessed on 12 December 2023).
- Royal Netherlands Meteorological Institute (KNMI). Cordex EUR-11 KNMI RACMO22E. World Data Center for Climate (WDCC) at DKRZ. Available online: https://hdl.handle.net/21.14106/3da82a0eabc05fbf334d180445f312d431b8b4b9 (accessed on 12 December 2023).
- Danish Meteorological Institute (DMI). Cordex EUR-11 DMI HIRHAM5. World Data Center for Climate (WDCC) at DKRZ. Available online: https://hdl.handle.net/21.14106/73f8fff0d315c72dbcb120e007414c687fbd3a98 (accessed on 12 December 2023).
- CLMCom (CLMCom). Cordex EUR-44 CLMcom CCLM4-8-17. World Data Center for Climate (WDCC) at DKRZ. Available online: https://hdl.handle.net/21.14106/5144c214de52e153be1110cad8ba130a141316aa (accessed on 12 December 2023).
- Institut Pierre-Simon Laplace (IPSL); Institut National de l Environnement Industriel et des RISques (INERIS). Cordex EUR-11 IPSL-INERIS WRF331F. World Data Center for Climate (WDCC) at DKRZ. Available online: https://hdl.handle.net/21.14106/18e69890450ec5ddcf9fe7c25ec887625ce25623 (accessed on 12 December 2023).
- Climate Service Center Germany (GERICS). Cordex EUR-11 MPI-CSC REMO2009. World Data Center for Climate (WDCC) at DKRZ. Available online: https://hdl.handle.net/21.14106/64bf48fa23cae9263da6c76ece1872870bb14180 (accessed on 12 December 2023).
- Kundzewicz, Z.W.; Piniewski, M.; Mezghani, A.; Okruszko, T.; Pińskwar, I.; Kardel, I.; Hov, Ø.; Szcześniak, M.; Szwed, M.; Benestad, R.E.; et al. Assessment of climate change and associated impact on selected sectors in Poland. Acta Geophys. 2017, 66, 1509–1523. [Google Scholar] [CrossRef]
- Giorgi, F.; Bi, X.; Pal, J. Mean, interannual variability and trends in a regional climate change experiment over Europe. II: Climate change scenarios (2071–2100). Clim. Dyn. 2018, 23, 839–858. [Google Scholar] [CrossRef]
- Kjellström, E.; Bärring, L.; Jacob, D.; Jones, R.; Lenderink, G.; Schär, C. Modelling daily temperature extremes: Recent climate and future changes over Europe. Climatic Chang. 2004, 81 (Suppl. 1), 249–265. [Google Scholar] [CrossRef]
- Anders, I.; Stagl, J.; Auer, I.; Pavlik, D. Climate change in Central and Eastern Europe. In Managing Protected Areas in Central and Eastern Europe under Climate Change; Springer Nature: Berlin, Germany, 2014; pp. 17–30. [Google Scholar] [CrossRef]
- Lhotka, O.; Kyselý, J.; Farda, A. Climate change scenarios of heat waves in Central Europe and their uncertainties. Theor. Appl. Climatol. 2018, 131, 1043–1054. [Google Scholar] [CrossRef]










| City | Latitude | Longitude |
|---|---|---|
| Bialystok | 53.1325° N | 23.1688° E |
| Bielsko-Biala | 49.8224° N | 19.0583° E |
| Bydgoszcz | 53.1235° N | 18.0084° E |
| Bytom | 50.3484° N | 18.9158° E |
| Chorzow | 50.2950° N | 18.9748° E |
| Czeladz | 50.2973° N | 19.0760° E |
| Czestochowa | 50.8110° N | 19.1207° E |
| Dabrowa Gornicza | 50.3328° N | 19.2241° E |
| Elblag | 54.1534° N | 19.4085° E |
| Gdansk | 54.3520° N | 18.6466° E |
| Gdynia | 54.5189° N | 18.5305° E |
| Gliwice | 50.2946° N | 18.6718° E |
| Gorzow Wielkopolski | 52.7320° N | 15.2431° E |
| Grudziadz | 53.4840° N | 18.7539° E |
| Jaworzno | 50.2104° N | 19.2729° E |
| Kalisz | 51.7617° N | 18.0919° E |
| Katowice | 50.2649° N | 19.0238° E |
| Kielce | 50.8703° N | 20.6275° E |
| Krakow | 50.0647° N | 19.9450° E |
| Legnica | 51.2108° N | 16.1615° E |
| Lodz | 51.7592° N | 19.4550° E |
| Lublin | 51.2465° N | 22.5684° E |
| Myslowice | 50.2422° N | 19.1370° E |
| Olsztyn | 53.7784° N | 20.4801° E |
| Opole | 50.6710° N | 17.9266° E |
| Plock | 52.5461° N | 19.7060° E |
| Poznan | 52.4080° N | 16.9334° E |
| Radom | 51.4027° N | 21.1471° E |
| Ruda Slaska | 50.2599° N | 18.8624° E |
| Rybnik | 50.0979° N | 18.5416° E |
| Rzeszow | 50.0412° N | 21.9991° E |
| Siemienowice Slaskie | 50.3163° N | 19.0239° E |
| Slupsk | 54.4641° N | 17.0282° E |
| Sopot | 54.4419° N | 18.5601° E |
| Sosnowiec | 50.2866° N | 19.1044° E |
| Szczecin | 53.4285° N | 14.5528° E |
| Tarnow | 50.0138° N | 20.9868° E |
| Torun | 53.0138° N | 18.5984° E |
| Tychy | 50.1303° N | 18.9664° E |
| Walbrzych | 50.7714° N | 16.2843° E |
| Wloclawek | 52.6481° N | 19.0678° E |
| Wroclaw | 51.1079° N | 17.0385° E |
| Zabrze | 50.3169° N | 18.7858° E |
| Zielona Gora | 51.9356° N | 15.5064° E |
| Belchatow | 51.3608° N | 19.3622° E |
| Nowy Sacz | 49.6251° N | 20.7150° E |
| Ostroleka | 53.0921° N | 21.5737° E |
| Siedlce | 52.1679° N | 22.2900° E |
| Tomaszow Mazowiecki | 51.5293° N | 20.0167° E |
Disclaimer/Publisher’s Note: The statements, opinions and data contained in all publications are solely those of the individual author(s) and contributor(s) and not of MDPI and/or the editor(s). MDPI and/or the editor(s) disclaim responsibility for any injury to people or property resulting from any ideas, methods, instructions or products referred to in the content. |
© 2023 by the authors. Licensee MDPI, Basel, Switzerland. This article is an open access article distributed under the terms and conditions of the Creative Commons Attribution (CC BY) license (https://creativecommons.org/licenses/by/4.0/).
Share and Cite
Struzewska, J.; Kaminski, J.W.; Jefimow, M. Changes in Temperature and Precipitation Trends in Selected Polish Cities Based on the Results of Regional EURO-CORDEX Climate Models in the 2030–2050 Horizon. Appl. Sci. 2024, 14, 9. https://doi.org/10.3390/app14010009
Struzewska J, Kaminski JW, Jefimow M. Changes in Temperature and Precipitation Trends in Selected Polish Cities Based on the Results of Regional EURO-CORDEX Climate Models in the 2030–2050 Horizon. Applied Sciences. 2024; 14(1):9. https://doi.org/10.3390/app14010009
Chicago/Turabian StyleStruzewska, Joanna, Jacek W. Kaminski, and Maciej Jefimow. 2024. "Changes in Temperature and Precipitation Trends in Selected Polish Cities Based on the Results of Regional EURO-CORDEX Climate Models in the 2030–2050 Horizon" Applied Sciences 14, no. 1: 9. https://doi.org/10.3390/app14010009
APA StyleStruzewska, J., Kaminski, J. W., & Jefimow, M. (2024). Changes in Temperature and Precipitation Trends in Selected Polish Cities Based on the Results of Regional EURO-CORDEX Climate Models in the 2030–2050 Horizon. Applied Sciences, 14(1), 9. https://doi.org/10.3390/app14010009

