nmODE-Unet: A Novel Network for Semantic Segmentation of Medical Images
Abstract
1. Introduction
- (1)
- We proposed an nmODE to address the difficulty of segmenting DR lesions in fundus images. The nmODE has a unique global attractor, which exhibits strong resistance to noise, facilitating the extraction of lesion features.
- (2)
- We have constructed a new segmentation framework named nmODE-Unet. Experimental results on two different datasets demonstrate that nmODE-Unet exhibits an excellent performance in DR lesion segmentation tasks and displays strong robustness.
2. Related Works
2.1. Deep Neural Networks in DR Lesion Segmentations
2.2. Neural Ordinary Differential Equation
3. Methodology
3.1. nmODE
3.2. Network Architecture
4. Experiments and Results
4.1. Dataset
4.2. Experimental Setup
4.3. Results
4.3.1. Comparison with Baseline Models
4.3.2. Comparison with IDRiD Challenge Teams
4.3.3. Comparison with State-of-the-Art Segmentation Methods
4.4. Discussion
5. Conclusions
Author Contributions
Funding
Data Availability Statement
Conflicts of Interest
References
- Ting, D.S.W.; Cheung, G.C.M.; Wong, T.Y. Diabetic retinopathy: Global prevalence, major risk factors, screening practices and public health challenges: A review. Clin. Exp. Ophthalmol. 2016, 44, 260–277. [Google Scholar] [CrossRef] [PubMed]
- Ciulla, T.A.; Amador, A.G.; Zinman, B. Diabetic retinopathy and diabetic macular edema: Pathophysiology, screening, and novel therapies. Diabetes Care 2003, 26, 2653–2664. [Google Scholar] [CrossRef] [PubMed]
- Avula Benzamin and Chandan Chakraborty. Detection of hard exudates in retinal fundus images using deep learning. In Proceedings of the 2018 Joint 7th International Conference on Informatics, Electronics & Vision (ICIEV) and 2018 2nd International Conference on Imaging, Vision & Pattern Recognition (icIVPR), Kitakyushu, Japan, 25–29 June 2018; IEEE: Piscataway, NJ, USA, 2018; pp. 465–469.
- Huang, C.; Zong, Y.; Ding, Y.; Luo, X.; Clawson, K.; Peng, Y. A new deep learning approach for the retinal hard exudates detection based on superpixel multi-feature extraction and patch-based cnn. Neurocomputing 2021, 452, 521–533. [Google Scholar] [CrossRef]
- Joshi, S.; Karule, P.T. A review on exudates detection methods for diabetic retinopathy. Biomed. Pharmacother. 2018, 97, 1454–1460. [Google Scholar] [CrossRef] [PubMed]
- Si, Z.; Fu, D.; Liu, Y.; Huang, Z. Hard exudate segmentation in retinal image with attention mechanism. IET Image Process. 2021, 15, 587–597. [Google Scholar] [CrossRef]
- Kaur, J.; Kaur, P. Uniconv: An enhanced u-net based inceptionv3 convolutional model for dr semantic segmentation in retinal fundus images. Concurr. Comput. Pract. Exp. 2022, 34, e7138. [Google Scholar] [CrossRef]
- Sambyal, N.; Saini, P.; Syal, R.; Gupta, V. Modified u-net architecture for semantic segmentation of diabetic retinopathy images. Biocybern. Biomed. Eng. 2020, 40, 1094–1109. [Google Scholar] [CrossRef]
- Gupta, A.; Chhikara, R. Diabetic retinopathy: Present and past. Procedia Comput. Sci. 2018, 132, 1432–1440. [Google Scholar] [CrossRef]
- Dai, L.; Fang, R.; Li, H.; Hou, X.; Sheng, B.; Wu, Q.; Jia, W. Clinical report guided retinal microaneurysm detection with multi-sieving deep learning. IEEE Trans. Med. Imaging 2018, 37, 1149–1161. [Google Scholar] [CrossRef]
- Chudzik, P.; Majumdar, S.; Caliva, F.; Al-Diri, B.; Hunter, A. Microaneurysm detection using deep learning and interleaved freezing. In Medical Imaging 2018: Image Processing; SPIE: Bellingham, WA, USA, 2018; Volume 10574, pp. 379–387. [Google Scholar]
- Sarhan, M.H.; Albarqouni, S.; Yigitsoy, M.; Navab, N.; Eslami, A. Multi-scale microaneurysms segmentation using embedding triplet loss. In Proceedings of the International Conference on Medical Image Computing and Computer-Assisted Intervention, Shenzhen, China, 13–17 October 2019; Springer: Berlin/Heidelberg, Germany, 2019; pp. 174–182. [Google Scholar]
- Perumal, T.S.R.; Jayachandran, A.; Kumar, S.R. Microaneurysms detection in fundus images using local fourier transform and neighbourhood analysis. Knowl. Inf. Syst. 2023, 1–21. [Google Scholar] [CrossRef]
- Xue, J.; Yan, S.; Qu, J.; Qi, F.; Qiu, C.; Zhang, H.; Chen, M.; Liu, T.; Li, D.; Liu, X. Deep membrane systems for multitask segmentation in diabetic retinopathy. Knowl.-Based Syst. 2019, 183, 104887. [Google Scholar] [CrossRef]
- Lin, T.; Dollár, P.; Girshick, R.; He, K.; Hariharan, B.; Belongie, S. Feature pyramid networks for object detection. In Proceedings of the IEEE Conference on Computer Vision and Pattern Recognition, Honolulu, HI, USA, 21–26 July 2017; pp. 2117–2125. [Google Scholar]
- Xie, S.; Girshick, R.; Dollár, P.; Tu, Z.; He, K. Aggregated residual transformations for deep neural networks. In Proceedings of the IEEE Conference on Computer Vision and Pattern Recognition, Honolulu, HI, USA, 21–26 July 2017; pp. 1492–1500. [Google Scholar]
- He, K.; Gkioxari, G.; Dollár, P.; Girshick, R. Mask r-cnn. In Proceedings of the IEEE International Conference on Computer Vision, Venice, Italy, 22–29 October 2017; pp. 2961–2969. [Google Scholar]
- Guo, S.; Li, T.; Kang, H.; Li, N.; Zhang, Y.; Wang, K. L-seg: An end-to-end unified framework for multi-lesion segmentation of fundus images. Neurocomputing 2019, 349, 52–63. [Google Scholar] [CrossRef]
- Simonyan, K.; Zisserman, A. Very deep convolutional networks for large-scale image recognition. arXiv 2014, arXiv:1409.1556. [Google Scholar]
- Liu, Q.; Liu, H.; Ke, W.; Liang, Y. Automated lesion segmentation in fundus images with many-to-many reassembly of features. Pattern Recognit. 2023, 136, 109191. [Google Scholar] [CrossRef]
- Wang, J.; Sun, K.; Cheng, T.; Jiang, B.; Deng, C.; Zhao, Y.; Liu, D.; Mu, Y.; Tan, M.; Wang, X.; et al. Deep high-resolution representation learning for visual recognition. IEEE Trans. Pattern Anal. Mach. Intell. 2020, 43, 3349–3364. [Google Scholar] [CrossRef] [PubMed]
- Chen, R.T.Q.; Rubanova, Y.; Bettencourt, J.; Duvenaud, D.K. Neural ordinary differential equations. In Advances in Neural Information Processing Systems; Curran Associates, Inc.: Red Hook, NY, USA, 2018; Volume 31. [Google Scholar]
- Poli, M.; Massaroli, S.; Park, J.; Yamashita, A.; Asama, H.; Park, J. Graph neural ordinary differential equations. arXiv 2019, arXiv:1911.07532. [Google Scholar]
- Li, X.; Wong, T.L.; Chen, R.T.Q.; Duvenaud, D. Scalable gradients for stochastic differential equations. In Proceedings of the International Conference on Artificial Intelligence and Statistics, Palermo, Italy, 26–28 August 2020; pp. 3870–3882. [Google Scholar]
- Yi, Z. nmode: Neural memory ordinary differential equation. Artif. Intell. Rev. 2023, 56, 14403–14438. [Google Scholar] [CrossRef]
- Ronneberger, O.; Fischer, P.; Brox, T. U-net: Convolutional networks for biomedical image segmentation. In Proceedings of the Medical Image Computing and Computer-Assisted Intervention–MICCAI 2015: 18th International Conference, Munich, Germany, 5–9 October 2015; Proceedings, Part III 18. Springer: Berlin/Heidelberg, Germany, 2015; pp. 234–241. [Google Scholar]
- Porwal, P.; Pachade, S.; Kamble, R.; Kokare, M.; Deshmukh, G.; Sahasrabuddhe, V.; Meriaudeau, F. Indian diabetic retinopathy image dataset (idrid): A database for diabetic retinopathy screening research. Data 2018, 3, 25. [Google Scholar] [CrossRef]
- Decencière, E.; Cazuguel, G.; Zhang, X.; Thibault, G.; Klein, J.-C.; Meyer, F.; Marcotegui, B.; Quellec, G.; Lamard, M.; Danno, R.; et al. Teleophta: Machine learning and image processing methods for teleophthalmology. IRBM 2013, 34, 196–203. [Google Scholar] [CrossRef]
- Mazurowski, M.A.; Clark, K.; Czarnek, N.M.; Shamsesfandabadi, P.; Peters, K.B.; Saha, A. Radiogenomics of lower-grade glioma: Algorithmically-assessed tumor shape is associated with tumor genomic subtypes and patient outcomes in a multi-institutional study with the cancer genome atlas data. J. Neuro-Oncol. 2017, 133, 27–35. [Google Scholar] [CrossRef]
- Buda, M.; Saha, A.; Mazurowski, M.A. Association of genomic subtypes of lower-grade gliomas with shape features automatically extracted by a deep learning algorithm. Comput. Biol. Med. 2019, 109, 218–225. [Google Scholar] [CrossRef] [PubMed]
- Long, J.; Shelhamer, E.; Darrell, T. Fully convolutional networks for semantic segmentation. In Proceedings of the IEEE Conference on Computer Vision and Pattern Recognition, Boston, MA, USA, 7–12 June 2015; pp. 3431–3440. [Google Scholar]
- Chen, L.; Zhu, Y.; Papandreou, G.; Schroff, F.; Adam, H. Encoder-decoder with atrous separable convolution for semantic image segmentation. In Proceedings of the European Conference on Computer Vision (ECCV), Munich, Germany, 8–14 September 2018; pp. 801–818. [Google Scholar]
- Zhou, Z.; Siddiquee, M.M.R.; Tajbakhsh, N.; Liang, J. Unet++: A nested u-net architecture for medical image segmentation. In Proceedings of the Deep Learning in Medical Image Analysis and Multimodal Learning for Clinical Decision Support: 4th International Workshop, DLMIA 2018, and 8th International Workshop, ML-CDS 2018, Held in Conjunction with MICCAI 2018, Granada, Spain, 20 September 2018; Proceedings 4. Springer: Berlin/Heidelberg, Germany, 2018; pp. 3–11. [Google Scholar]
- Bo, W.; Li, T.; Liu, X.; Wang, K. Saa: Scale-aware attention block for multi-lesion segmentation of fundus images. In Proceedings of the 2022 IEEE 19th International Symposium on Biomedical Imaging (ISBI), Kolkata, India, 28–31 March 2022; IEEE: Piscataway, NJ, USA, 2022; pp. 1–5. [Google Scholar]
- Guo, Y.; Peng, Y. Carnet: Cascade attentive refinenet for multi-lesion segmentation of diabetic retinopathy images. Complex Intell. Syst. 2022, 8, 1681–1701. [Google Scholar] [CrossRef]
- Ma, J.; Wang, B. Segment anything in medical images. arXiv 2023, arXiv:2304.12306. [Google Scholar]







| Model | Dice | IoU | ||||||||
|---|---|---|---|---|---|---|---|---|---|---|
| EX | SE | HE | MA | mDice | EX | SE | HE | MA | mIoU | |
| FCN [31] | 0.6304 | 0.5835 | 0.4952 | 0.3805 | 0.5224 | 0.5055 | 0.4623 | 0.3522 | 0.2379 | 0.3898 |
| DeepLab v3+ [32] | 0.6741 | 0.5709 | 0.5394 | 0.4155 | 0.5500 | 0.5845 | 0.4977 | 0.3882 | 0.2813 | 0.4379 |
| U-net [26] | 0.6770 | 0.4645 | 0.5620 | 0.4376 | 0.5353 | 0.5654 | 0.3696 | 0.4205 | 0.2845 | 0.4100 |
| Unet++ [33] | 0.6552 | 0.5861 | 0.5896 | 0.5087 | 0.5849 | 0.5520 | 0.4624 | 0.4240 | 0.3465 | 0.4462 |
| nmODE-Unet | 0.7515 | 0.6981 | 0.6037 | 0.5262 | 0.6449 | 0.6424 | 0.5372 | 0.4473 | 0.3617 | 0.4972 |
| Model | ROC-AUC | AUPR | ||||||||
|---|---|---|---|---|---|---|---|---|---|---|
| EX | SE | HE | MA | mROC-AUC | EX | SE | HE | MA | mAUPR | |
| FCN [31] | 0.8954 | 0.9584 | 0.8150 | 0.7571 | 0.8561 | 0.6624 | 0.6658 | 0.4885 | 0.3255 | 0.5356 |
| DeepLab v3+ [32] | 0.9415 | 0.9030 | 0.8724 | 0.8291 | 0.8865 | 0.7694 | 0.6779 | 0.5417 | 0.3200 | 0.5773 |
| U-net [26] | 0.9374 | 0.8005 | 0.8964 | 0.8948 | 0.8823 | 0.7620 | 0.4350 | 0.5739 | 0.3803 | 0.5334 |
| Unet++ [33] | 0.9473 | 0.9089 | 0.8638 | 0.8506 | 0.8927 | 0.7610 | 0.6103 | 0.5670 | 0.4367 | 0.5938 |
| nmODE-Unet | 0.9624 | 0.9590 | 0.8909 | 0.9395 | 0.9380 | 0.8361 | 0.7381 | 0.6262 | 0.5177 | 0.6795 |
| Model | Dice | IoU | ||||
|---|---|---|---|---|---|---|
| EX | MA | mDice | EX | MA | mIoU | |
| FCN [31] | 0.3841 | 0.2580 | 0.3211 | 0.2451 | 0.1480 | 0.1930 |
| DeepLab v3+ [32] | 0.5402 | 0.2033 | 0.3718 | 0.3633 | 0.1148 | 0.2391 |
| U-net [26] | 0.5157 | 0.2062 | 0.3610 | 0.3412 | 0.1182 | 0.2438 |
| Unet++ [33] | 0.5626 | 0.2514 | 0.4070 | 0.3764 | 0.1464 | 0.2614 |
| nmODE-Unet | 0.6659 | 0.4332 | 0.5496 | 0.5064 | 0.2774 | 0.3919 |
| Model | ROC-AUC | AUPR | ||||
|---|---|---|---|---|---|---|
| EX | MA | mROC-AUC | EX | MA | mAUPR | |
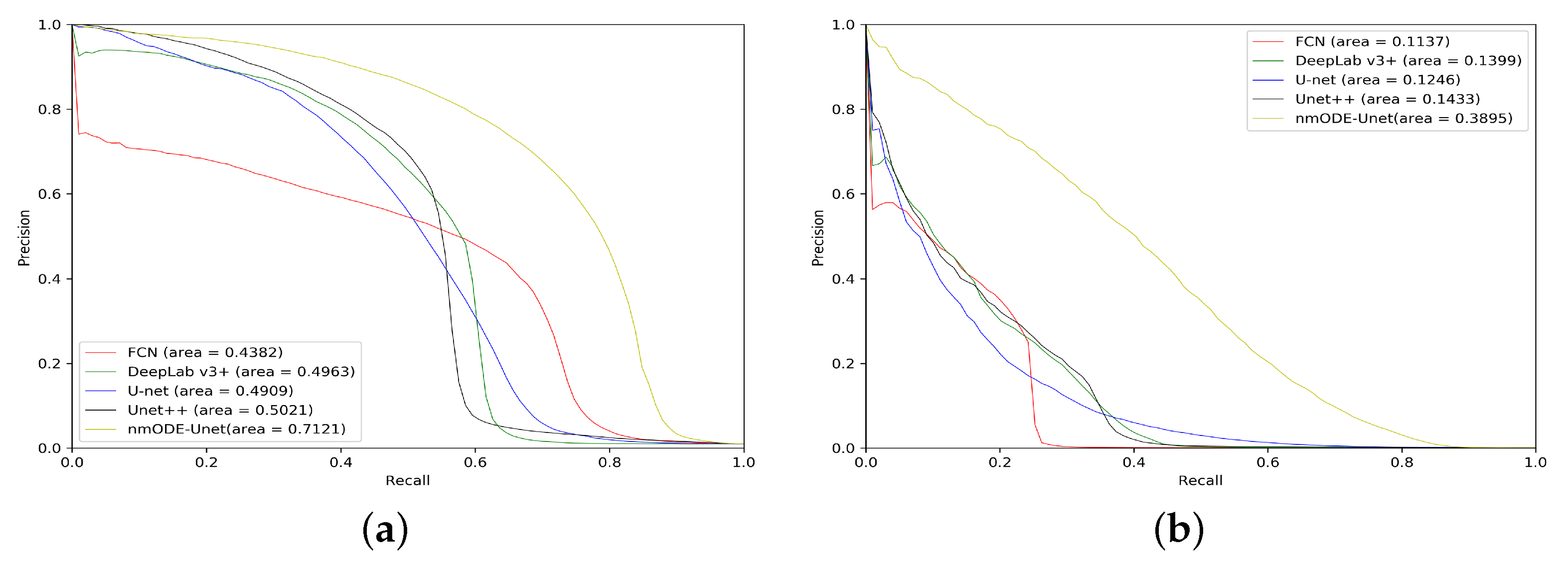
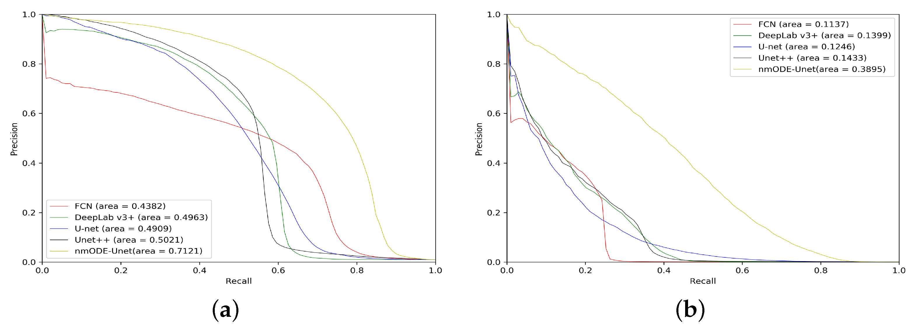
| FCN [31] | 0.8648 | 0.5772 | 0.7120 | 0.4382 | 0.1137 | 0.2760 |
| DeepLab v3+ [32] | 0.7321 | 0.7383 | 0.7352 | 0.4963 | 0.1399 | 0.3181 |
| U-net [26] | 0.8163 | 0.8710 | 0.8437 | 0.4909 | 0.1246 | 0.3078 |
| Unet++ [33] | 0.8402 | 0.8205 | 0.8304 | 0.5021 | 0.1433 | 0.3227 |
| nmODE-Unet | 0.9251 | 0.9153 | 0.9202 | 0.7121 | 0.3895 | 0.5508 |
| Model | Dice | IoU | ROC-AUC | AUPR |
|---|---|---|---|---|
| FCN [31] | 0.7591 | 0.6066 | 0.8536 | 0.6977 |
| DeepLab v3+ [32] | 0.8228 | 0.7005 | 0.9534 | 0.8615 |
| U-net [26] | 0.8057 | 0.6748 | 0.8988 | 0.8024 |
| Unet++ [33] | 0.8352 | 0.7185 | 0.9188 | 0.8028 |
| nmODE-Unet | 0.8470 | 0.7441 | 0.9583 | 0.8825 |
| Team | EX | SE | HE | MA | mAUPR |
|---|---|---|---|---|---|
| VRT (1st) | 0.7127 | 0.6995 | 0.6804 | 0.4951 | 0.6469 |
| PATech (2nd) | 0.8850 | - | 0.6490 | 0.4740 | - |
| iFLYTEK-MIG (3rd) | 0.8471 | 0.6588 | 0.5588 | 0.5017 | 0.6484 |
| SOONER (4th) | 0.7390 | 0.5396 | 0.5395 | 0.4003 | 0.5539 |
| SAIHST (5th) | 0.8582 | - | - | - | - |
| lzyuncc_fusion (6th) | 0.8202 | 0.6259 | - | - | - |
| SDNU (7th) | 0.5018 | 0.5374 | 0.4572 | 0.4111 | 0.4769 |
| CIL (8th) | 0.7554 | 0.5024 | 0.4886 | 0.3920 | 0.5346 |
| MedLabs (9th) | 0.7863 | 0.2637 | 0.3705 | 0.3397 | 0.4401 |
| AIMIA (10th) | 0.7662 | 0.2733 | 0.3283 | 0.4627 | 0.4367 |
| nmODE-Unet | 0.8361 | 0.7381 | 0.6262 | 0.5177 | 0.6795 |
Disclaimer/Publisher’s Note: The statements, opinions and data contained in all publications are solely those of the individual author(s) and contributor(s) and not of MDPI and/or the editor(s). MDPI and/or the editor(s) disclaim responsibility for any injury to people or property resulting from any ideas, methods, instructions or products referred to in the content. |
© 2024 by the authors. Licensee MDPI, Basel, Switzerland. This article is an open access article distributed under the terms and conditions of the Creative Commons Attribution (CC BY) license (https://creativecommons.org/licenses/by/4.0/).
Share and Cite
Wang, S.; Chen, Y.; Yi, Z. nmODE-Unet: A Novel Network for Semantic Segmentation of Medical Images. Appl. Sci. 2024, 14, 411. https://doi.org/10.3390/app14010411
Wang S, Chen Y, Yi Z. nmODE-Unet: A Novel Network for Semantic Segmentation of Medical Images. Applied Sciences. 2024; 14(1):411. https://doi.org/10.3390/app14010411
Chicago/Turabian StyleWang, Shubin, Yuanyuan Chen, and Zhang Yi. 2024. "nmODE-Unet: A Novel Network for Semantic Segmentation of Medical Images" Applied Sciences 14, no. 1: 411. https://doi.org/10.3390/app14010411
APA StyleWang, S., Chen, Y., & Yi, Z. (2024). nmODE-Unet: A Novel Network for Semantic Segmentation of Medical Images. Applied Sciences, 14(1), 411. https://doi.org/10.3390/app14010411

