Next Article in Journal
The Logistics of Volkswagen Development Center Applies Operations Research to Optimize Transshipments
Previous Article in Journal
Investigation and Utilization of Alkali-Activated Grouting Materials Incorporating Engineering Waste Soil and Fly Ash/Slag
Previous Article in Special Issue
Aerodynamic Performance Assessment of Distributed Electric Propulsion after the Wing Trailing Edge
 
 
Font Type:
Arial Georgia Verdana
Font Size:
Aa Aa Aa
Line Spacing:
Column Width:
Background:
Article

Influence of Incident Shock on Fuel Mixing in Scramjet

Hypersonic Technology Laboratory, National University of Defense Technology, Changsha 410073, China
*
Author to whom correspondence should be addressed.
Appl. Sci. 2024, 14(11), 4916; https://doi.org/10.3390/app14114916
Submission received: 7 May 2024 / Revised: 3 June 2024 / Accepted: 3 June 2024 / Published: 5 June 2024
(This article belongs to the Special Issue Application of Aerodynamics in Aerospace)

Abstract

During the operation of hypersonic vehicles, a reciprocal coupling effect is manifested between the inlet and the combustion chamber. This results in an unavoidable non-uniformity of conditions at the combustion chamber’s entrance, which, in turn, influences the fuel mixing within the chamber. The present study employed the Reynolds-averaged Navier–Stokes (RANS) equations to perform a numerical simulation of an X-51-like vehicle, with a focus on examining the impact of isolation section length and multi-injection strategies on the fuel mixing characteristics within the combustion chamber under conditions of non-uniform inflow. The findings indicated that a supersonic non-uniform inlet triggers incident shock waves, leading to a non-uniform pressure distribution across the flow section. Moreover, the position of injection was found to be pivotal in regulating penetration depth and mixing efficiency. The incident shock wave, bow shock, and boundary layer separation shock interacted with each other to increase local pressure. The coupling of high and low pressures generated an adverse pressure gradient that led to boundary layer separation, which further enhanced fuel penetration depth.

1. Introduction

The scramjet is an important solution for future high-speed flight [1,2,3]; it is usually composed of an inlet, an isolator, a combustion chamber, and a nozzle. As an important component of the scramjet, the performance of the combustion chamber has a significant impact on the entire propulsion system and even the hypersonic aircraft. The air enters the combustion chamber at supersonic speed, and the residence time of fuel in the combustion chamber is very short. How to efficiently mix the fuel is a major challenge in solving the scramjet problem [4].
The transverse jet is a simple and effective method to enhance mixing. Techer et al. [5], Zhao et al. [6], and Sun et al. [7] studied supersonic transverse jets using numerical simulations, analyzed the generation and transfer process of vortex structures in the flow field through high-precision numerical simulation methods, and described the fuel mixing mechanism based on the structural characteristics of the flow field. Gerdroodbary et al. [8,9,10] studied supersonic transverse jets and found that multiple air jets can improve the penetration depth of fuel and increase the efficiency of fuel mixing through various arrangements of air and fuel jets. Zhang et al. [11,12] studied the fuel mixing characteristics of air–hydrogen coaxial jets and reached similar conclusions. Sebastain et al. [13] studied a spanwise inclined jet in supersonic crossflow and found that the asymmetric flow caused by the spanwise inclined jet leads to the interaction between the main counter-rotating vortex and the separated flow, resulting in a clockwise vortex. Jiang et al. [14] studied the laws of fuel penetration depth and mixing efficiency by varying the incoming flow angle and found that the incoming flow angle significantly altered the flow field structure. A positive incoming flow angle increased the mixing efficiency, while a negative angle restricted fuel mixing.
However, it is difficult to maintain stable combustion of fuel in the combustion chamber with only a transverse jet, and a cavity is a solution to this problem [15]. The low-velocity recirculation zone in the cavity allows the fuel to stay in the combustion chamber for more time, which also provides a low-velocity region for ignition in the combustion chamber, with low total pressure loss [16]. However, the coupling of the jet and the cavity can produce complex flow field structures; so researchers have conducted many studies combining the cavity with transverse jets. Kannaiyan et al. [17] used numerical simulation to investigate the influence of the shape of the cavity (square and trapezoidal) on the mixing of ethylene fuel with a transverse jet and found that a trapezoidal cavity enhances fuel mixing and flame stability. Liu et al. [18] researched the transverse jet flow in a cavity and found that due to the interaction between the shear layer and the jet wakes, new streamwise vortices were formed, which enhanced mass exchange inside and outside the cavity. Ma et al. [19] found that by adjusting the position of the transverse jet and the depth of the cavity, the shear layer structure changes when the jet is injected near the cavity leading edge, which enhances the interaction between the shear layer and the fuel, increases the mass of fuel inside the cavity, and enhances fuel mixing and combustion performance. Jiang et al. [20] studied the influence of injection position and cavity trailing edge height on fuel mixing. In order to achieve higher mixing efficiency, jetting on the leading wall of the cavity is suitable for lower cavity trailing edge conditions; while injection of the opposing multi-jets on the trailing edge of the cavity requires a higher cavity trailing edge to achieve higher mixing efficiency. One of the factors affecting mixing is the structure of the recirculation zone in the cavity. Roos et al. [21] studied the influence of the cavity structure on the jet flow. Compared with the flow field of a typical transverse jet, it was found that the shock wave induced by the cavity reduced the velocity of the main flow, which affected the bow shock wave generated by the downstream jet, resulting in increased penetration depth and mixing efficiency. Zuo et al. [22] researched on transverse jets with a cavity structure by numerical simulation, found that oblique shock waves help transport fuel into the cavity to improve mixing efficiency, and enhance fuel diffusion. Choubey et al. [23] found that the double shock wave generator could increase the mixing efficiency more than the single shock wave generator by changing the number and position of the shock wave generator in the supersonic transverse jet injection.
The supersonic transverse jet with cavity structures has been widely studied, but most of the research has been conducted under the premise of uniform inflow. In the actual operation of scramjets, in fact, the reflected shock wave and complex vortex will affect the flow field structures, and the inflow and outlet conditions of the inlet are obviously non-uniform [24,25]. The influence of non-uniform inlet conditions on fuel mixing in a combustion chamber with a cavity structure is currently unclear. Therefore, it is necessary to conduct research on the supersonic transverse jet with cavity structures under non-uniform inflow conditions.
Due to the flight attack angle and the compression of the aircraft body surface, the airflow entering the combustion chamber is non-uniform. This study used the Reynolds-averaged Navier–Stokes (RANS) equations to perform numerical simulations on an X-51-like vehicle. By adjusting the isolator length and injection scheme, it analyzed the mixing characteristics of fuel in the combustion chamber from the perspectives of the interaction between the incident shock wave and the bow shock wave, as well as the non-uniform pressure distribution. The influence of the injection position on mixing efficiency was also investigated.

2. Numerical Method

2.1. Governing Equations

The equations for the conservation of mass and momentum are as follows [26]:
ρ t + ρ u j x j = 0
ρ u i t + ρ u i u j + p δ i j τ i j x j = 0
The vectors u i is the component of velocity, x j is the position, ρ is the density, p is the pressure, and τ i j is the viscous stress tensor defined as follows:
τ i j = 2 μ S i j 1 3 u k x k δ i j
where μ is molecular viscosity, δ i j is the Kronecker delta, and S i j is the strain-rate tensor given by:
S i j = 1 2 ( u i x j + u j x i )
Since this work has focused on fuel mixing, the species transport equation is considered as follows:
ρ Y n t + ρ Y n u i + V i , n x j = ω ˙ n
V i , n = D n Y n Y n x i
where Y n is the mass fraction of species n and n is the number of chemical species, ω ˙ n is the reaction rate for species n, and D n is the species diffusion coefficient. The energy equation is given by:
( ρ E ) t + ( ρ E + p ) u i + q i u j τ j i x i = 0
E = e + 1 2 u k u k
e = n = 1 N Y n h n p ρ
where q i is the heat flux vector, and h n is the specific enthalpy of species n.

2.2. Reynolds-Averaged Navier–Stokes (RANS)

The RANS simulation has been widely used in engineering and academic research due to its excellent characteristics such as strong robustness and low computational cost [27]. In the simulation of jet mixing in a scramjet, it has been proven to be a reliable calculation method due to its accuracy [28,29]. After performing Favre averaging on the instantaneous system of Equations (1), (2), (5), and (7), the RANS equation can be obtained as follows [30]:
ρ ¯ t + ρ ¯ u ˜ j x j = 0
ρ ¯ u ˜ i t + ρ ¯ u ˜ i u ˜ j x j = p ¯ x i + τ ¯ i j x j + x j ( ρ ¯ u ˜ i u ˜ j ρ ¯ u i u j ˜ )
ρ ¯ E ˜ t + ρ ¯ E ˜ u ˜ j + p ¯ u ˜ j x j = x j q j ¯ + u ˜ i τ i j ¯ x j ρ ¯ E u j ˜ ρ ¯ E ˜ u ˜ j + p u j ¯ p ¯ u ˜ j + x j u i τ i j ¯ u ˜ i τ i j ¯
ρ ¯ Y ˜ n t + ρ ¯ u ˜ j Y ˜ n x j = ω ˙ ¯ n x j ρ V i , n Y n ¯ + ρ ¯ u j Y n
The viscous stress tensor after Reynolds averaging is expressed as follows:
τ ¯ i j = 2 μ ˜ S ˜ i j 1 3 u ˜ k x k δ i j
The strain force tensor after Reynolds averaging is expressed as follows:
S ˜ i j = 1 2 u ˜ i x j + u ˜ j x i
ρ ¯ E ˜ t + ρ ¯ E ˜ u ˜ j + p ¯ u ˜ j x j = x j q j ¯ + u ˜ i τ i j ¯ x j ρ ¯ E u j ˜ ρ ¯ E ˜ u ˜ j + p u j ¯ p ¯ u ˜ j + x j u i τ i j ¯ u ˜ i τ i j ¯
In Equation (15), E ˜ is the mass-averaged specific total energy derived as follows:
E ˜ = e ˜ + 1 2 u i ˜ u i ˜ + k
where e ˜ is the specific energy of the mixture expressed as follows:
e ˜ = n = 1 N Y ˜ n h ˜ n p ¯ ρ ¯
The heat flux vector is expressed as follows:
q ¯ i = λ ¯ T ˜ x i + ρ ¯ n = 1 N Y ˜ n h ˜ n V ˜ i , n
where λ ¯ is the thermal conductivity of multi-component mixed gas.
Boussinesq believes that turbulence fluctuation affects the momentum exchange in a way analogous to molecular thermal motion, and the eddy viscosity coefficient is introduced to associate Reynolds stress with the average velocity strain rate, resulting in the expression for the Reynolds stress as follows:
( ρ ¯ u ˜ i u ˜ j ) x j = μ t u ˜ i x j + u ˜ j x i 2 3 u ˜     k x k δ i j 2 3 ρ ¯ δ i j k 2 μ t S ˜ i j

2.3. Turbulence Model

The SST model is insensitive to initial values and can accurately predict the characteristics of the mixing layer and jet flow [31,32]. The equations are as follows [33]:
( ρ ¯ k ) t + ( ρ ¯ k u ˜ j ) x j = P k β * ρ ¯ ω k + x j μ l + σ k μ t k x j
( ρ ¯ ω ) t + ( ρ ¯ ω u ˜ j ) x j = P ω β ρ ¯ ω 2 + x j μ l + σ ω μ t ω x j + 2 1 F 1 ρ ¯ σ ω 2 1 ω k x j ω x j
P k = τ i j   T u i x j = μ t S ¯ i j   2 , P ω = γ ρ P k μ T
The expression for the eddy viscosity coefficient is obtained as follows:
μ t = ρ a 1 k max a 1 ω , Ω F 2
where the function switches F 1 and F 2 are defined as follows:
F 1 = tanh η 1 4 , η 1 = min max k 0.09 ω y , 500 ν ω y 2 , 4 ρ ¯ σ ω 2 k C D k ω y 2
F 2 = tanh η 2 2 , η 2 = max 2 k 0.09 ω y , 500 ν ω y 2
C D k ω = max 2 ρ ¯ σ ω 2 1 ω k x j ω x j , 10 10
where y is the distance to the wall and ν is the kinematic molecular viscosity, and value for the constant σ k , σ ω , σ ω 2 , β * , β , γ can be found in previous study [33]. Wang [34], based on the SST model, improved the turbulence model for adverse pressure separation flow, which had good effects on the prediction of the separation region before the jet and the penetration depth of the jet. The modification in the structural parameter a 1 is provided as follows:
a 1 = 0.31 P k D k 1.1 P k D k β * P k D k > 1.1

2.4. Numerical Simulations and Boundary Conditions

To solve the equations, a finite volume method-based in-house code has been generated, which is a hybrid structured/unstructured Navier–Stokes flow solver. The spatial inviscid term is solved using the AUSM + UP scheme, and the second-order center scheme is used for viscous fluxes. The explicit four-step second-order Runge–Kutta method is used for time advancement. This in-house code has been validated, and the results are satisfactory [35]. The relative difference between the inflow and jet fuel and the outflow mass flux is less than 0.1%; it is considered that the flow field has reached a stable state.
Boundary conditions must be designed to ensure compatibility with the true physical characteristics of the flow. Additionally, they need to satisfy the criteria for mathematical well-posedness. Moreover, these conditions should be crafted in such a way that they have minimal negative impact on the precision and stability of numerical solutions at internal points. Virtual grids are auxiliary grid elements that are conceptually positioned on the opposite side of the flow field boundary. The determination of the number of layers is based on the precision demands of the numerical scheme; as shown in Figure 1, the solid line represented the physical grid, while the dashed line represented the virtual grid and the number 0 indicated the boundary. Since this article adopted second-order accuracy, the virtual grid was limited to only the first layer.

2.4.1. Wall Boundary Conditions

For the boundary conditions at wall surfaces, velocity calculations adhered to the no-penetration condition, which meant that the normal component of the fluid velocity at the wall surface is 0, as follows:
( U n ) wall = 0
At no-slip wall boundaries, the tangential component of the fluid velocity at the wall surface remained 0, as follows:
( U τ ) wall ,   no - slip = 0
For adiabatic walls, the boundary condition values are at the virtual grid of the wall surface.
u v w p T ρ 1 = 2 u 0 u 1 2 v 0 v 1 2 w 0 w 1 p 1 T 1 2 ρ 0 ρ 1

2.4.2. Inlet and Jet Conditions

For hypersonic flows, all flow parameters at the inlet are fixed at the freestream values, as is the supersonic injection:
u v w p T ρ 1 = u v w p T ρ

2.4.3. Outflow Conditions

For flows dominated by supersonic conditions, the flow parameters at the outflow can be obtained through extrapolation from points in the computational domain.
u v w p T ρ 1 = u 1 v 1 w 1 p 1 T 1 ρ 1

2.5. Formula for Comparing Results

This article utilized the formula for penetration depth as follows [36]:
Y p = ρ u α C 10 H 20 y d A ρ u α C 10 H 20 d A
where α C 10 H 20 represents the mass fraction of gaseous kerosene, and y is the vertical distance from the channel’s bottom wall. ρ and u represent velocity and density, respectively, and “A” is the cross-sectional area of the flow.
Used the equation to calculate the mixing efficiency as follows:
η mix   ( x ) = A ( x ) ρ u Y C 10 H 20 , mix d A / A ( x ) ρ u Y C 10 H 20 d A
where A(x) is the area of the pipeline cross-section at x. ρ is the density, u is the velocity, and Y C 10 H 20 , mix is the composition of gaseous kerosene C10H20, defined as follows:
Y C 10 H 20 , mix   = Y C 10 H 20 , Y C 10 H 20 Y C 10 H 20 ,   s t   Y C 10 H 20 ,   s t   1 Y C 10 H 20 1 Y C 10 H 20 ,   s t   , Y C 10 H 20 > Y C 10 H 20 ,   s t  
where Y C 10 H 20 ,   s t   is the mass fraction of fuel at the appropriate stoichiometric ratio for kerosene/air combustion. Y C 10 H 20 ,   s t   = 0.0677 .

2.6. Code Validation

In order to verify the reliability of numerical simulation, it is crucial to conduct validation. Due to the lack of real integrated experimental data for aircraft, this article selected the numerical simulation examples of the inlet of Tang et al. [37] to verify the flow simulation capability of aircraft. This section selected experimental conditions with a flight Mach number of 4 and angles of attack of 4° and 12° for numerical simulation; as shown in Figure 2, the abscissa represented the dimensionless flow direction distance normalized by the characteristic length l of the aircraft, and the symbols Exp-1, 2, 3, and 4 denoted the measured pressure recovery coefficients at the upper and lower surfaces for angles of attack of 4 degrees and 12 degrees, respectively. In correspondence, the calculated pressure recovery coefficients are designated as cal-1, 2, 3, and 4, and the simulation results of the pressure recovery coefficient C p on the upper and lower wall surfaces of the inlet are basically consistent with the experimental results. This indicates that the numerical simulation data for the compressed air entering the inlet through the aircraft’s compression surface are reliable. Furthermore, due to the lack of experimental validation for gaseous kerosene injection, this section chose the ethylene transverse jet simulation scenarios depicted by Lin et al. [38] to substantiate the fuel injection simulation aptitude. Throughout these jet simulation scenarios, an illustration of the jet was exhibited in Figure 3, air flowed through the flat plate from the inlet, and ethylene was injected from a nozzle with a diameter of 4.8 mm; the mesh was shown in Figure 4. Within Figure 5a, the horizontal axis signified the distance aligning with the flow direction, while the vertical axis indicated the wall pressure. Conversely, in Figure 5b, the variable y embodied the elevation of the jet. A juxtaposition of the wall pressure and penetrative depth fitting curves with the empirical findings was conducted. The outcomes were nearly congruent with the empirical data, attesting to the precision of the jet mixing process. Combined with the two cases, these validations reaffirmed the feasibility of using this in-house code to evaluate the integrated internal and external flow fields of ramjet for fuel mixing.

3. Grid and Condition

This study used the X-51-like vehicle, with specific dimensions shown in Figure 6, which includes an inlet, an isolator, a combustion chamber, and a nozzle. The aircraft’s external flow utilized a blended mesh of unstructured and structured grids, while the internal flow used a structured grid in order to capture the details accurately of fuel mixing. To acquire detailed information about the boundary layer, a denser grid is required near the wall. The size of the first layer grid is set at 0.003 mm. The grid near the shear layer and the injection hole is generated with a specific growth rate to ensure a more rational flow field and more precise computational results. To assess grid independence, numerical simulations were performed on an X-51-like vehicle using 16.81 million, 25.18 million, and 35.63 million cells as shown in Figure 7. Figure 8 illustrated the wall pressure distribution, revealing discrepancies between the pressure distribution computed with 16.81 million cells and that with 25.18 million or 35.63 million cells. Nevertheless, the results from the 25.18 million cells are almost identical to those from the 35.63 million cells. Therefore, to optimize computational resources, in the following section, computations used the 25.18 million cells.
To investigate the effect of isolator length variations on fuel mixing in the combustor, based on the longest isolator (504 mm), the distances from the leading edge of the cavity to the exit of the inlet were reduced by half, and one reflection period of the incident shock wave, resulting in distances of 263.56 mm and 388.15 mm, as shown in Figure 9.
The schematic diagram of the cavity and injection is shown in Figure 10. The cavity, measuring 120.6 mm in length and 25 mm in height, was located on the lower wall of the scramjet. Along the spanwise direction, 46 mm from the leading edge of the cavity, there was one set of three injection holes, each with a diameter of 2.8 mm, spaced 85.16 mm apart. The term “center injection” referred to injection solely from the central hole, while “3-injection” represented injection from all three holes.
In order to obtain stable combustor inlet conditions, the cruising parameters of an X-51A-like vehicle at an altitude of 26.5 km, flying at Mach 5.5 with a 1-degree angle of attack, were chosen as the integrated computational conditions. Gaseous kerosene C10H20 was selected as the fuel, which was injected into the combustion chamber at an equivalent ratio of 1. The inlet and injection parameters are given in Table 1.
The research conditions for the case are given in Table 2, where “Number of jets” refers to the number of injection holes. Cases 1, 2, and 3 represent “center injection”, while cases 4, 5, and 6 are “3-injection”, in which the injection pressure is maintained constant for both single and multiple injection cases.

4. Results and Discussion

Shock waves, as a common phenomenon in supersonic flow, cause significant changes in the flow structure of supersonic channels [27]. To analyze the shock structure in the flow field, this article used numerical schlieren to represent the distribution of shock waves in the scramjet using density gradient ρ / x . The greater the density gradient, the stronger the shock wave intensity.
As shown in Figure 11, the oblique shock wave, which originates from the compression caused by the aircraft’s front body surface, is situated just upstream of the inlet lip’s leading edge. As the incident shock wave interacts with the wall surface, it triggers boundary layer separation, leading to the formation of a separation bubble in the vicinity of the wall and the generation of the first reflected shock wave. After passing through the inlet, the airflow was compressed and converged, resulting in an oblique shock wave. As the air traversed this chock wave, its velocity decreased while pressure and temperature were simultaneously elevated. This process effectively conditioned the airflow into the combustion chamber, where it will be mixed with fuel. As can be seen from Figure 11, the intensity of the shock wave gradually diminishes with the number of reflections. The non-uniformity of the airflow entering the inlet is exacerbated by the flight’s angle of attack and the asymmetry of the aircraft’s front body surface along the vertical axis.

4.1. Cold Flow Structure

The design of the aircraft’s forebody and inlet was symmetrical along the spanwise axis, with the flight attitude maintaining a zero-sideslip angle. In the scramjet, the reflected shock waves exhibited quasi-two-dimensional characteristics in the core flow, unaffected by corner region interference. As shown in Figure 12, the results revealed that the intensity of the reflected shock waves and their interactions with the upper and lower wall surfaces were virtually identical between the central plane of the jet (z = 0) and the midplane between the two jets (z = 0.042). Given this consistency, the z = 0 plane was selected for subsequent analyses of the cold flow field, as it provided a representative view without introducing complexity from variations across different planes.
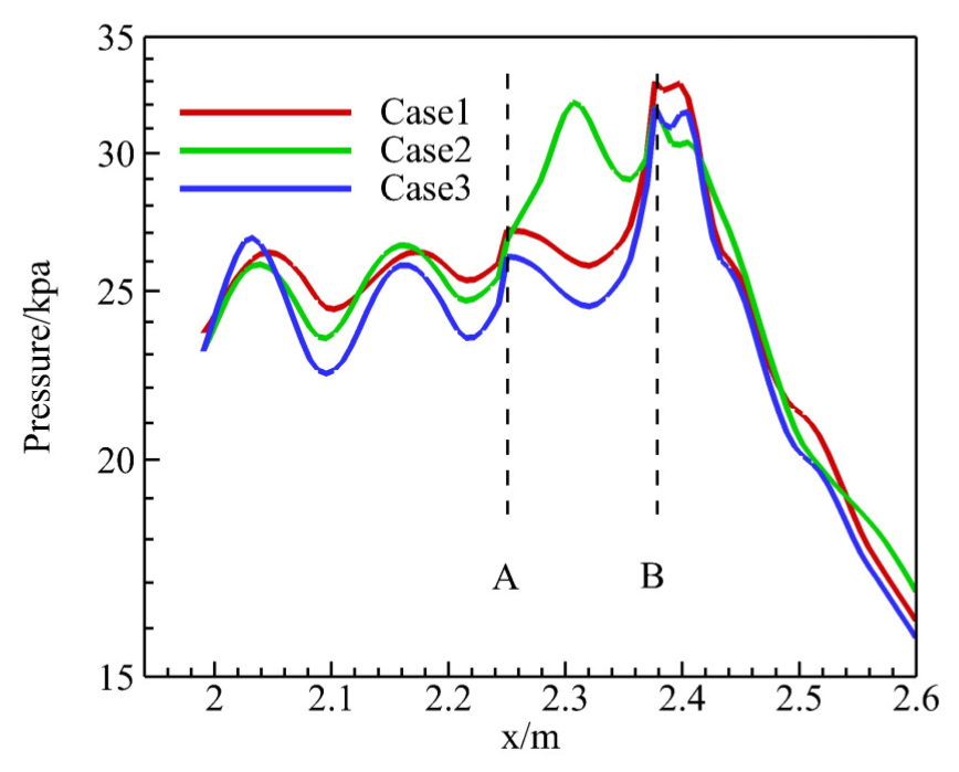
To investigate the effects of isolator length variations on the mixing of a jet cavity under non-uniform inflow conditions, the leading edge of the cavities for three different conditions has been aligned in Figure 13, to compare the flow field changes in the injection segment and the cavity segment. Notably, case 3, when contrasted with case 1, exhibits a reduction in the isolator length by approximately one period of the incident shock wave. As can be seen from Figure 13, the shock wave distributions of both are almost identical. The primary distinction arose from the increased length of the isolator, which led to more frequent reflections of the incident shock wave. This increased reflection diminished the shock compression effect, thereby causing variations in the magnitude of density gradients. Consequently, the compression impact of the reflected shock wave positioned in front of the cavity was notably stronger in case 3 compared to case 1 [39]. However, the distinction in shock wave compression effects between case 1 and case 3 was relatively minor, exerting a negligible influence on the turbulent boundary layer, the channel’s core flow, and the flow field within the cavity recirculation zone. This resulted in a highly comparable flow structure, as shown in Figure 14. In cases 1 and 3, the incident shock wave was reflected from the lower wall towards the upper wall, positioned between the injection hole and the leading edge of the cavity. Consequently, as the airflow encountered this shock wave, there was a marked pressure increase, which resulted in a higher pressure just ahead of the cavity compared to the pressure inside the cavity, as illustrated in Figure 15. This elevated pressure created a localized expansion zone, encouraging the airflow to expand into the cavity and inducing the shear layer’s collapse into it. Furthermore, Figure 16 demonstrated a decrease in average pressure subsequent to the airflow’s passage through the cavity.
Due to the reduction in the length of the isolation section, the occurrence of shock wave reflections was reduced by approximately half a cycle compared to cases 1 and 3. As a result, the flow field structure in case 2 significantly differed from that observed in the previous cases. More specifically, as the airflow neared the cavity, it encountered a localized low-pressure zone. In contrast, the internal cavity pressure remained comparatively elevated, prompting the formation of a compression shock wave at the leading edge of the cavity. During the transit of the shock wave, the airflow undergone a significant compression, causing the shear layer above the cavity to be uplifted and merged with the main flow. Concurrently, the shock wave that was generated at the leading edge of the cavity interacted with the reflected shock wave above the cavity. This interaction intensified the compression effect in the adjacent area, thereby forming a pronounced local high-pressure zone in this region. This phenomenon was notably different from what had been observed in cases 1 and 3; as the airflow passed the leading edge of the cavity, it experienced a sharp increase in average pressure, as demonstrated in Figure 16. When the high-speed airflow collided with the trailing edge of the cavity, its velocity decreased sharply, and the pressure rapidly climbed to a peak. Subsequently, with the expansion of the flow channel located behind the cavity, the airflow entered a phase of expansion and acceleration, during which the pressure gradually diminished until the air was eventually discharged.
It is imperative to note that the incoming flow exhibited pronounced non-uniformity characteristics, with significant variations in pressure distribution across the entire flow cross-section. The injection was confined to the lower wall surface, and the location of shock wave reflection notably influenced the pressure distribution near the injection region. As illustrated in Figure 17, the wall surface pressure before the injection in case 2 was substantially higher than that in cases 1 and 3. Moreover, the reduced frequency of shock wave reflections in case 3 enhanced the compression effect, which subsequently led to a more intense expansion following the shock wave, resulting in lower wall surface pressure.

4.2. JET Flow Structure

The high-speed airflow encountered the jet stream from the injection hole, creating a phenomenon akin to a “wall of resistance”, resulting in a reduction in flow speed and an increase in pressure. This high-pressure environment, together with the low-pressure area upstream of the injection hole, formed a significant adverse pressure gradient, facilitating the formation of a recirculation zone upstream of the injection. As shown in Figure 18, the label “S” indicated the starting point of separation, and we could see that in case 6, the separation point was located further upstream due to the lower pressure before injection. Conversely, in case 5, since the injection was situated in a localized high-pressure area, the separation region prior to the injection was relatively smaller. This indicated that the pressure environment where the injection was located had a significant impact on the flow field characteristics nearby.
During the injection process, fuel was discharged from the injection hole, leading to a swift reduction in both velocity and pressure on the leeward side of the jet [40]. Owing to the closeness of the injection hole to the leading edge of the cavity, the entire flow structure within the cavity was markedly affected by the injection. The shear layer that formed from the injection intermixed with the cavity’s recirculation zone, moving upwards towards the core flow and consequently enlarging the area of recirculation. When compared with the cold flow cases, the recirculation zone shifted closer to the core flow and further toward the cavity’s leading edge. Such alteration enhanced the conveyance of fuel to the upper wall region, ensuring earlier fuel entry into the cavity [15]. In case 5, it is notable that the boundary layer at the leading edge of the cavity experienced separation. This detached region subsequently merged with the cavity’s internal recirculation zone, engendering a pronounced region of reverse flow anterior to the cavity. This, in turn, led to the elevation of the jet shear layer proximal to the core flow.
To elucidate this phenomenon, the study scrutinized it through the lens of shock wave structure. Figure 19 depicted a three-dimensional representation of the jet shock structure, delineated by iso-surfaces colored according to density, utilizing a density gradient of 5 to demarcate the shock waves. The z = 0 m plane denoted the central longitudinal section of the jet, while the z = 0.042 m signified the interaction plane where the bow shock waves from two jets intersected. Figure 20 provided an illustration of the shock waves and velocity contours at the z = 0 m and z = 0.042 m planes, with black solid lines signifying the u = 1000 m/s contour lines.
In case 4, the pronounced separation region ahead of the injection orifice induced a separation shock with a relatively gentle slope. This separation shock engaged in an interactive process with the bow shock and was concurrently influenced by the incident shock, resulting in a diminished intensity and reduced angle of inclination for the bow shock. As illustrated in Figure 15, the non-uniformity of the flow cross-section resulted in an elevated pressure distribution near the upper wall surface before the bow shock, which consequently had a significant impact on the shape of the bow shock. It is notable that at both the z = 0 and z = 0.042 planes, the initiation angle and starting position of the bow shock were highly comparable, closely resembling the characteristics of a two-dimensional profile, as shown in Figure 19. In case 5, the reduced size of the separation region caused by the jet led to a more pronounced inclination of the separation shock; due to the similar angles between the separation shock and the bow shock, they rapidly merged. Additionally, the point at which the incident shock wave intersected with the bow shock was located near the upper wall surface, close to the terminal end of the bow shock. Consequently, this intersection had a negligible effect on both the strength and the inclination angle of the bow shock. Figure 20 illustrates that, in case 5, the bow shocks produced by the injection manifested an arcuate configuration. The position in which these shocks intersected differed across planes, with the intersection at the z = 0.042 plane notably situated further downstream than its counterpart at the z = 0 plane. Conversely, in case 4, the points of interaction between the incident shock wave and the bow shocks on both the z = 0 and z = 0.042 planes exhibited a near-complete congruence in the streamwise and vertical axes. This phenomenon could be ascribed to the more expansive separation region preceding the injection culminating in a comparatively diminished arc of the bow shock.
The interaction between the bow shock and the boundary layer present on the upper wall surface has the potential to modify the characteristics of the boundary layer. Under the influence of a sufficiently strong shock, the boundary layer may exhibit thickening or experience separation from the wall [41]. As illustrated in Figure 19, at planes z = 0 m and z = 0.042 m, the interaction between the bow shock and the boundary layer on the upper wall results in a modification of the velocity distribution in the boundary layer.
Figure 21 presents an iso-surface where the streamwise velocity is constant at 1000 m/s, colored by the distance from the upper wall surface. This coloration method aimed to reveal the magnitude of changes in the boundary layer due to its interaction with the bow shock wave, offering a clearer visualization of the shockwave’s impact on the boundary layer at the upper wall. In Figure 21, two distinct black lines specifically identified the projected locations of the z = 0 and z = 0.042 planes onto the aforementioned upper wall surface, thereby delineating the precise spanwise positions of these respective planes. Within the context of case 5, a discernible interaction between the shock wave and the boundary layer was evident at point A. At this juncture, the spanwise expansion of the boundary layer’s thickening manifested as a linear formation. Upon cross-reference with Figure 15, it became unequivocally clear that the observed modification in the boundary layer’s thickness at this specific juncture could be conclusively attributed to the reflection phenomenon of the incident shock wave.
At point B, a noticeable change in boundary layer velocity re-emerged, marked by a substantial thickening and an arc-like pattern of thickness alteration. This characteristic highlighted the location as a zone of interaction between the bow shock wave, produced by the jet flow, and the boundary layer along the upper wall surface—an area analogous to point A in case 4. Due to the period of the incident shock wave, the upstream region of the interaction between the bow shock wave and the upper wall surface was not influenced by the incident shock wave, resulting in no significant change in boundary layer velocity. However, in case 5, the scenario differed: The incident shock wave engaged with the boundary layer prior to the bow shock wave’s arrival at the upper wall. This early interaction prompted a thickening of the boundary layer ahead of the bow shock wave’s contact point. Furthermore, the more compact separation region in case 5 lessened the separation shock’s influence on the bow shock wave, enabling it to retain its intensity. As a result, an increased amount of energy was imparted to the boundary layer, significantly increasing the boundary layer’s thickness. The effects of these factors culminated in a substantially larger augmentation of boundary layer thickness in case 5 than observed in case 4. Interestingly, in case 4 and case 5, the boundary layer thickness varies most significantly at the z = 0.043 m plane, a phenomenon not observed in case 1 and case 2. This is because, in case 1 and case 2, far from the center jet, the bow shock intensity is low, diminishing its impact on the boundary layer thickness. However, at the z = 0.043 m plane, cases 4 and 5 exhibit a significant thickening of the boundary layer due to the interaction of the bow shocks from the side jets with the bow shock of the central jet. This convergence intensifies the bow shock compared to cases 1 and 2, leading to an enhanced thickening of the boundary layer beyond what is observed in case 1 and case 2. Differing from case 4, there is also point C in case 5, where the boundary layer continues to thicken due to the interaction of the separation shock caused by the boundary layer separation on the lower wall after the injection with the upper wall.
In case 4 and case 5, it was observed that an increase in boundary layer thickness or its separation exerted a compressive effect on the flow channel area, sufficient to induce the formation of shockwaves. There is a positive correlation between the extent of boundary layer thickening and the compressive effect of shockwaves: The thicker the boundary layer, the more pronounced the local compressive effect caused by the shockwaves. Particularly, at the z = 0.043 plane, the pressure increase exceeded that at the z = 0 plane, as demonstrated in Figure 22. This discrepancy can be attributed to the wall surface boundary layer at the z = 0.043 plane undergoing the maximum thickness variation. Additionally, the interaction between different shockwaves exacerbated the local compressive effects, subsequently leading to an elevation of pressure beyond the points of their intersection.
In case 5, it was noted that the incident shock wave coincidentally acted at the intersection where the bow shock interacted with the separation shock generated from the upper wall surface. This interaction further intensified the shock compression effect, resulting in an elevated pressure behind the shock waves. The period of incident shock waves in case 5 caused the jet to be positioned within a local low-pressure area. Combined with the obstruction effect of the jet, this led to a relatively lower pressure region behind the jet. Additionally, the interaction region of the incident shock wave, bow shock, and the shock from the upper wall boundary layer in case 5 was closer to the lower wall than in case 4. This indicates higher pressure near the leading edge of the cavity in case 5. The high-pressure zone near the cavity, combined with the low-pressure area behind the jet, created an adverse pressure gradient. This induced the separation of the boundary layer at the leading edge of the cavity, as shown in Figure 23. Simultaneously, the separation shock wave caused by the boundary layer separation interacted with other shock waves, further exacerbating the pressure within the localized area, as demonstrated in Figure 22.
In Figure 24, dashed lines A, B, and C indicated the positions of the jet, the leading edge of the cavity, and the trailing edge of the cavity, respectively. The pressure was observed to have risen sharply before reaching point A, a phenomenon that was primarily due to the obstructive effect of the jet. In cases 4 and 6, this pressure increase occurred earlier compared to case 5. This difference highlighted that the separation zone preceding the jet was more extensive in these two cases, thereby exerting a more significant influence on the pressure. Conversely, the average pressure within the cavity section in case 5 was found to be higher than in cases 4 and 6. This elevation can be attributed to the intensified compression resulting from the interaction of multiple shockwaves, leading to an increase in pressure. Following this, as the boundary layer on the upper wall recovered, the flow underwent slight expansion, resulting in a rapid drop in pressure. This precipitous change in pressure was noticeably less pronounced in cases 4 and 6.

4.3. Jet Penetration

In the study of fuel mixing, penetration depth stands as a crucial measure. To further investigate the effect of varying isolator lengths on the jet penetration with non-uniform inflow conditions, the penetration depth is calculated using Equation (29).
In Figure 25, the black line represents the isoline where the mass fraction of gaseous kerosene is 0.7. It can be observed that in case 5, the separation zone before the jet at the z = 0 plane is minimal. Consequently, the bow shock exhibits a sharper incline when compared with case 4 and case 6, which enhanced fuel plume transfer towards the core flow. In case 4 and case 6, the slanted bow shocks limit the fuel’s upward dispersal, directing the areas of higher mass fraction towards the lower wall. Therefore, as depicted in Figure 26, with A representing the leading edge of the cavity and B the trailing edge, part (b) offered a detailed enlargement of the area shown in part (a). It was observed that the penetration depth for both case 4 and case 6 diminished after the injection site. In these cases, the jet’s wake merged with the cavity’s shear layer. Owing to the recirculating flow, the fuel is conveyed to areas located further away from the lower wall surface. Influenced by the recirculating flow, the fuel is transported to regions further from the lower wall surface. As a result, the penetration depth commenced its ascent at the leading edge of the cavity. In case 5, the boundary layer separation at the leading edge of the cavity induced a separation shock wave. Subsequently, the fuel plume is redirected upon interacting with this shock wave, persisting its upward transport towards the upper wall surface. As a result, the inception of penetration depth’s ascent precedes that observed in case 4 and case 6. Interestingly, in case 2, the absence of side injections resulted in a weaker bow shock compression effect, leading to the formation of a less intense separation shock wave at the leading edge of the cavity. The fuel plume, upon passing through this separation shock wave, was also redirected and transported upwards towards the upper wall surface. However, as shown in Figure 25, there were differences in the extent of separation and the intensity of the separation shock wave compared to case 5. Conversely, in the corresponding cases 1 and 4, as well as case 3 and case 6, the interaction of shock waves did not significantly affect the surge in cavity pressure due to the period of the reflected shock; hence, these cases exhibited similar behaviors.
Figure 27 illustrates an iso-surface representation with a mass fraction value of 0.0677, where the coloring corresponds to the distance  from the lower wall surface. Given the similarity in flow field structures between case 4 and case 6, Figure 27 exclusively shows a comparison of case 4 with case 5 and case 1 with case 2. It can be observed that case 4, characterized by a larger separation zone, results in increased spanwise fuel entrainment due to the interaction between the boundary layers of the side jets and the central jet. This effect enhances the spanwise penetration depth of the jet when compared to case 1. Therefore, from the jet to the leading edge of the cavity, the difference in penetration depth between case 4 and case 1 gradually increased, as in case 3 and case 6. In case 5, the smaller separation zone resulted in a relatively thinner boundary layer, so there was almost no interference between the boundary layers of the side jets and the central jet. This meant that before being affected by the separation shock wave at the leading edge of the cavity, the penetration depth in case 2 and case 5 was nearly identical. It is also noteworthy that, compared to the single injection cases of cases 1, 2, and 3, the increase in penetration depth within the cavity was significantly faster in the multiple injection cases of cases 4, 5, and 6. This was due to the interaction between the bow shocks of the jets, which enhanced the local pressure behind the leading edge of the cavity. Consequently, the recirculation region in the cavity protruded more towards the core flow, allowing the fuel to be more effectively entrained into the core flow. As the flow passed the trailing edge of the cavity, the penetration depth continued to increase.

4.4. Mixing Efficiency

Mixing efficiency is an important indicator for assessing combustion based on fuel mixing. In order to further explore the influence of uniform and non-uniform incoming conditions on mixing, this section will quantitatively compare the mixing efficiency under different inflow conditions. To measure the mixing degree of fuel and oxygen in the flow, the mixing efficiency is calculated using Equations (30) and (31).
As shown in Figure 28, where A denoted the leading edge of the cavity and B denoted the trailing edge, (b) provided a detailed magnification of the region in (a), the mixing efficiency of fuel started to mix with air from the injection hole on the lower wall surface, and as the air continues to flow downstream, the mixture of fuel and air becomes more complete gradually, and the mixing efficiency increases accordingly. The horseshoe vortex, formed due to the impingement of the jet, plays a pivotal role in the vicinity of the downstream wall. In comparison with case 1, the jet in case 3 induces a more extensive separation zone. This enlarged separation zone leads to a broader influence of the horseshoe vortex and intensifies the “stirring” effect. As illustrated in Figure 29, the counter-rotating vortex pair facilitates the transport of fuel to more distant areas, leading to an enhanced uniformity in the fuel distribution across the engine’s span. Furthermore, as the boundary layer becomes thicker, the collision between the side jets and the central jet becomes more intense as they follow the vortices toward the spanwise direction. This increased interaction leads to the formation of new vortices, which in turn enhance fuel transport. Therefore, when the penetration depths are similar, the mixing efficiency of case 3 is higher than that of case 1. Despite having the smallest separation zone and thus the narrowest fuel propagation area in the spanwise direction, case 2 exhibits the deepest penetration depth. This indicates that, upon reaching the leading edge of the cavity, a deeper penetration depth can locally facilitate a higher mixing efficiency, surpassing the effect of fuel dispersing along the spanwise direction due to vortices, so as in case 5, where the mixing efficiency at the cavity leading edge is higher than that in cases 4 and 6. In case 5, an interesting phenomenon was observed: The interaction between the side jets and the cavity sidewalls, as well as with the central jet, was relatively weak. This diminished interaction resulted in the jet morphology on both sides remaining highly similar to that of the jets located on the central plane, and this similarity persisted, causing nearly identical mixing efficiencies between case 2 and case 5 for an extended period before reaching the leading edge of the cavity. During the downstream propagation of the fuel, it was observed that a greater amount of fuel from the sides was entrained into the corner regions, resulting in a lower mixing efficiency for case 5 compared to case 2 starting from x = 2.21. In case 4 and case 6, the jets generated larger separation zones, prompting an earlier interaction between the side jets and the sidewalls. Consequently, more fuel from the sides was channeled into the corner areas. Despite maintaining identical flow direction, injection location, and injection conditions, the mixing efficiency before the leading edge of the cavity was reduced compared to case 1 and case 3. In case 3, the larger separation zone enhanced the fuel transport capacity along the spanwise direction, thereby achieving higher mixing efficiency compared to case 1. However, the same factor in case 6 led to more side fuel being entrained into the corner areas, increasing the fuel concentration in these zones and reducing the mixing efficiency compared to case 4.
As the fuel spread downstream in case 5, a further deflection of the fuel occurs due to the separation shock wave, as shown in Figure 30, leading to a greater penetration depth of the fuel and an increase in mixing efficiency by nearly 50% compared to cases 4 and 6. In case 2, it was observed that the weaker separation shock wave formed before the cavity led to a less pronounced secondary deflection of the fuel plume. Additionally, the relatively thinner boundary layer limited the fuel transport capacity in the spanwise direction, significantly inferior to that of case 1 and case 3. As the fuel propagated downstream, these factors collectively resulted in a gradual decrease in the mixing efficiency of case 2, ultimately falling below that of case 1 and case 3.

5. Conclusions

This study utilized the RANS equations to perform a numerical simulation of an X-51-like vehicle. With non-uniform incoming conditions, the research examined the behavior of fuel mixing in the combustion by varying the length of the isolator section and the number of injections. The following conclusions are obtained:
1. The supersonic non-uniform incoming flow generates incident shock waves, resulting in an uneven pressure distribution across the flow cross-section. The selection of injection locations significantly impacts fuel mixing performance. When injection holes are placed in local high-pressure regions, the separation zone before the jet is smaller, leading to a 15% increase in penetration depth. Conversely, choosing injection holes in local low-pressure areas results in a larger separation zone and a broader spanwise propagation range, enabling a more uniform fuel distribution.
2. The interaction between shock waves and the boundary layer can induce the formation of a separation shock. This intricate interplay among incident shocks, the bow shocks emanating from multiple jet injections, and the boundary layer-induced separation shock creates localized high-pressure zones downstream. These high-pressure zones behind the wave coupled with the low pressure on the leeward side of the jet form a pronounced adverse pressure gradient. The boundary layer separated on the leeward side of the jet, inducing a separation shock wave. As the fuel plume traverses this separation shock, it is redirected toward the core flow, achieving a deeper penetration. This process significantly enhances the mixing efficiency by nearly 50%.
3. An increase in the separation zone ahead of the jet and a thickening of the jet boundary layer facilitate the spanwise transport of fuel by the horseshoe vortices. Nevertheless, in cases of multiple injections, an intensified spanwise transport can cause fuel to accumulate in the corner areas, ultimately resulting in a 10–25% reduction in mixing efficiency.
Fuel mixing constitutes merely one aspect of scramjet performance research; the influence of shockwaves on combustion will be addressed in the subsequent phase of the work.

Author Contributions

Conceptualization, C.W., Y.Y. and H.W.; methodology, C.W. and Y.Y.; software, C.W. and H.W.; validation, C.W. and Y.Y.; formal analysis, C.W., H.W. and Y.Y.; investigation, C.W. and H.W.; resources, H.W. and Y.Y.; data curation, C.W., X.L. and H.W.; writing—original draft preparation, C.W.; writing—review and editing, H.W.; visualization, C.W.; supervision, Y.Y., X.L. and H.W.; project administration, Y.Y. and H.W.; funding acquisition, H.W. and Y.Y. All authors have read and agreed to the published version of the manuscript.

Funding

This work was supported by the National Natural Science Foundation of China under Grant number (Nos. 11925207, 12102471, and 92252206).

Institutional Review Board Statement

Not applicable.

Informed Consent Statement

Not applicable.

Data Availability Statement

The raw data supporting the conclusions of this article will be made available by the authors on request.

Conflicts of Interest

The authors declare no conflict of interest.

References

  1. Stephen, N.; Apostolos, P. Modeling of Supersonic Combustion Systems for Sustained Hypersonic Flight. Energies 2017, 10, 1900. [Google Scholar] [CrossRef]
  2. Zhang, C.; Chang, J.; Zhang, J.; Bao, W.; Yu, D. Effect of continuous Mach number variation of incoming flow on ram–scram transition in a dual-mode combustor. Aerosp. Sci. Technol. 2018, 76, 433–441. [Google Scholar] [CrossRef]
  3. Sharma, V.; Eswaran, V.; Chakraborty, D. Influence of isolator section on the shock augmented mixing in SCRAMJET engine. Aerosp. Sci. Technol. 2022, 130, 107900. [Google Scholar] [CrossRef]
  4. Seiner, J.M.; Dash, S.M.; Kenzakowski, D.C. Historical Survey on Enhanced Mixing in Scramjet Engines. J. Propuls. Power 2001, 17, 1273–1286. [Google Scholar] [CrossRef]
  5. Techer, A.; Moule, Y.; Lehnasch, G.; Mura, A. Mixing of Fuel Jet in Supersonic Crossflow: Estimation of Subgrid-Scale Scalar Fluctuations. AIAA J. 2017, 56, 465–481. [Google Scholar] [CrossRef]
  6. Zhao, M.; Bian, Y.; Li, Q.; Ye, T. Large eddy simulation of transverse single/double jet in supersonic crossflow. Aerosp. Sci. Technol. 2019, 89, 31–45. [Google Scholar] [CrossRef]
  7. Sun, M.; Hu, Z. Formation of surface trailing counter-rotating vortex pairs downstream of a sonic jet in a supersonic cross-flow. J. Fluid Mech. 2018, 850, 551–583. [Google Scholar] [CrossRef]
  8. Barzegar Gerdroodbary, M.; Fallah, K.; Pourmirzaagha, H. Characteristics of transverse hydrogen jet in presence of multi air jets within scramjet combustor. Acta Astronaut. 2017, 132, 25–32. [Google Scholar] [CrossRef]
  9. Barzegar Gerdroodbary, M.; Mokhtari, M.; Fallah, K.; Pourmirzaagha, H. The influence of micro air jets on mixing augmentation of transverse hydrogen jet in supersonic flow. Int. J. Hydrogen Energy 2016, 41, 22497–22508. [Google Scholar] [CrossRef]
  10. Barzegar Gerdroodbary, M.; Amini, Y.; Ganji, D.D.; Takam, M.R. The flow feature of transverse hydrogen jet in presence of micro air jets in supersonic flow. Adv. Space Res. 2017, 59, 1330–1340. [Google Scholar] [CrossRef]
  11. Zhang, Y.; Rana, P.; Moradi, R.; Li, Z. Mixing performance of transverse hydrogen/air multi-jet through coaxial injector arrays in supersonic crossflow. Int. J. Hydrogen Energy 2021, 46, 19645–19656. [Google Scholar] [CrossRef]
  12. Zhang, Y.; Gerdroodbary, M.B.; Hosseini, S.; Abazari, A.M.; Li, Z. Effect of hybrid coaxial air and hydrogen jets on fuel mixing at supersonic crossflow. Int. J. Hydrogen Energy 2021, 46, 16048–16062. [Google Scholar] [CrossRef]
  13. Sebastian, R.; Lürkens, T.; Schreyer, A.M. Flow field around a spanwise-inclined jet in supersonic crossflow. Aerosp. Sci. Technol. 2020, 106, 106209. [Google Scholar] [CrossRef]
  14. Jiang, Y.; Gerdroodbary, M.B.; Sheikholeslami, M.; Babazadeh, H.; Li, Z. Effect of free stream angle on mixing performance of hydrogen multi-jets in supersonic combustion chamber. Int. J. Hydrogen Energy 2020, 45, 25426–25437. [Google Scholar] [CrossRef]
  15. Jian, D.; Yude, Y. Effect of non-uniform incoming flow on the mixing enhancement in a scramjet cavity combustor. Int. J. Hydrogen Energy 2023, 50, 758–771. [Google Scholar] [CrossRef]
  16. Mathur, T.; Gruber, M.; Jackson, K.; Donbar, J.; Donaldson, W.; Jackson, T.; Billig, F. Supersonic combustion experiments with a cavity-based fuel injector. J. Propuls. Power 2001, 17, 1305–1312. [Google Scholar] [CrossRef]
  17. Kannaiyan, K. Computational study of the effect of cavity geometry on the supersonic mixing and combustion of ethylene. J. Comput. Sci. 2020, 47, 101243. [Google Scholar] [CrossRef]
  18. Liu, C.; Zhao, Y.; Wang, Z.; Wang, H.; Sun, M. Dynamics and mixing mechanism of transverse jet injection into a supersonic combustor with cavity flameholder. Acta Astronaut. 2017, 136, 90–100. [Google Scholar] [CrossRef]
  19. Ma, G.; Sun, M.; Li, F.; Yang, Y.; Wang, H. Effect of fuel injection distance and cavity depth on the mixing and combustion characteristics of a scramjet combustor with a rear-wall-expansion cavity. Acta Astronaut. 2021, 182, 432–445. [Google Scholar] [CrossRef]
  20. Jiang, Y.; Poozesh, A.; Marashi, S.M.; Moradi, R.; Gerdroodbary, M.B.; Shafee, A.; Li, Z.; Babazadeh, H. Effect of cavity back height on mixing efficiency of hydrogen multi-jets at supersonic combustion chamber. Int. J. Hydrogen Energy 2020, 45, 27828–27836. [Google Scholar] [CrossRef]
  21. Roos, T.; Pudsey, A.; Bricalli, M.; Ogawa, H. Cavity enhanced jet interactions in a scramjet combustor. Acta Astronaut. 2018, 157, 162–179. [Google Scholar] [CrossRef]
  22. Qiuru, Z.; Huanli, Y.; Jian, D. Effects of cavity-induced mixing enhancement under oblique shock wave interference: Numerical study. Int. J. Hydrogen Energy 2021, 46, 35706–35717. [Google Scholar] [CrossRef]
  23. Choubey, G.; Yadav, P.M.; Devarajan, Y.; Huang, W. Numerical investigation on mixing improvement mechanism of transverse injection based scramjet combustor. Acta Astronaut. 2021, 188, 426–437. [Google Scholar] [CrossRef]
  24. Huang, T.; Yue, L.; Shenghu, M.A.; Zhang, Q.; Zhang, P.; Chang, X. Numerical investigation on flow nonuniformity-induced hysteresis in scramjet isolator. Chin. J. Aeronaut. 2020, 33, 3176–3188. [Google Scholar] [CrossRef]
  25. Bricalli, M.G.; Brown, L.; Boyce, R.R.; Gollan, R.; Vanyai, T.; Pudsey, A.S. Scramjet Performance with Nonuniform Flow and Swept Nozzles. AIAA J. 2018, 56, 3988–4003. [Google Scholar] [CrossRef]
  26. Li, D.; Komperda, J.; Peyvan, A.; Ghiasi, Z.; Mashayek, F. Assessment of turbulence models using DNS data of compressible plane free shear layer flow. J. Fluid Mech. 2021, 931, A10. [Google Scholar]
  27. Jian, D.; Chao, H.; Qiuru, Z.; Fei, X. A numerical study on flow structure and combustion mechanism of supersonic mixed inflow with transverse jet. Aerosp. Sci. Technol. 2021, 116, 106865. [Google Scholar] [CrossRef]
  28. Kummitha, O.R.; Pandey, K.M.; Gupta, R. CFD analysis of a scramjet combustor with cavity based flame holders. Acta Astronaut. 2018, 144, 244–253. [Google Scholar] [CrossRef]
  29. Ma, G.; Sun, M.; Zhao, G.; Liu, P.; Tang, T.; Fan, L.; Wang, H. Numerical Investigation of an Axisymmetric Model Scramjet Assisted with Cavity of Different Aft Wall Angles. Int. J. Aerosp. Eng. 2021, 2021, 1–17. [Google Scholar] [CrossRef]
  30. Wilcox, D.C. Turbulence Modeling for CFD, 3rd ed.; Hardcover; D C W Industries: La Canada, CA, USA, 2006. [Google Scholar]
  31. Song, X.; Wang, H.; Sun, M.; Cai, Z.; Liu, C.; Yu, J. Mixing and combustion characteristics in a cavity-based supersonic combustor with different injection schemes. Acta Astronaut. 2019, 159, 584–592. [Google Scholar] [CrossRef]
  32. Swain, T.K.; Anil, K.P.; Kumar, S. Evaluation of Fuel and Air Mixing in a Scramjet Engine Using an Asymmetric Strut-Based Fuel Injection Using CFD. Combust. Sci. Technol. 2020, 194, 898–918. [Google Scholar] [CrossRef]
  33. Menter, F.R. Two-equation eddy-viscosity turbulence models for engineering applications. AIAA J. 1994, 32, 1598–1605. [Google Scholar] [CrossRef]
  34. Wang, C.; Sun, M.; Yang, Y.; Wang, H.; Liu, X.; Xiong, D.; Wang, Y. Improved SST turbulence model for supersonic flows with APG/separation. Comput. Fluids 2024, 274, 106237. [Google Scholar] [CrossRef]
  35. Tang, T.; Wang, H.; Sun, M.; Zhao, G.; Yu, J.; Wang, Z.; Fan, Z. Evaluation of flamelet/progress variable model for the applications in supersonic combustion using hybrid RANS/LES approach. Aerosp. Sci. Technol. 2022, 126, 107633. [Google Scholar] [CrossRef]
  36. Roos, T.; Pudsey, A.; Bricalli, M.; Ogawa, H. Numerical investigation of upstream cavity enhanced fuel mixing in scramjet combustors. Acta Astronaut. 2020, 169, 50–65. [Google Scholar] [CrossRef]
  37. Tang, X.; Fan, X.; Xiong, B.; Chen, L.; Chen, J. Study of multiple solution phenomenon for hypersonic air inlet. Aerosp. Sci. Technol. 2023, 136, 108236. [Google Scholar] [CrossRef]
  38. Lin, K.-C.; Ryan, M.; Carter, C.; Gruber, M.; Raffoul, C. Raman Scattering Measurements of Gaseous Ethylene Jets in a Mach 2 Supersonic Crossflow. J. Propuls. Power 2010, 26, 503–513. [Google Scholar] [CrossRef]
  39. Schuelein, E. Skin Friction and Heat Flux Measurements in Shock Boundary Layer Interaction Flows. AIAA J. 2006, 44, 1732–1741. [Google Scholar] [CrossRef]
  40. Yang, Y.; Wang, H.; Sun, M.; Wang, Z.; Wang, Y. Numerical investigation of transverse jet in supersonic crossflow using a high-order nonlinear filter scheme. Acta Astronaut. 2019, 154, 74–81. [Google Scholar] [CrossRef]
  41. Li, G.X.; Sun, M.B.; Yu, J.F.; Liang, C.H.; Huang, Y.H. Effect of Injection Mach Number on Penetration in a Supersonic Crossflow. AIAA J. 2019, 58, 1216–1226. [Google Scholar] [CrossRef]
Figure 1. Schematic of computational domain boundaries.
Figure 1. Schematic of computational domain boundaries.
Applsci 14 04916 g001
Figure 2. Comparison of numerical and experimental results of pressure recovery coefficient.
Figure 2. Comparison of numerical and experimental results of pressure recovery coefficient.
Applsci 14 04916 g002
Figure 3. Schematic for the transverse jet.
Figure 3. Schematic for the transverse jet.
Applsci 14 04916 g003
Figure 4. Jet grid distribution.
Figure 4. Jet grid distribution.
Applsci 14 04916 g004
Figure 5. Comparison of transverse jet and calculated data.
Figure 5. Comparison of transverse jet and calculated data.
Applsci 14 04916 g005
Figure 6. Structural diagram of an X-51-like vehicle. (a) 3D schematic diagram of the X-51-like vehicle. (b) Schematic diagram of the internal structure of the X-51-like vehicle.
Figure 6. Structural diagram of an X-51-like vehicle. (a) 3D schematic diagram of the X-51-like vehicle. (b) Schematic diagram of the internal structure of the X-51-like vehicle.
Applsci 14 04916 g006
Figure 7. Scramjet grid distribution of different scales.
Figure 7. Scramjet grid distribution of different scales.
Applsci 14 04916 g007
Figure 8. Pressure distribution of three different scale grids.
Figure 8. Pressure distribution of three different scale grids.
Applsci 14 04916 g008
Figure 9. Variation in isolator length.
Figure 9. Variation in isolator length.
Applsci 14 04916 g009
Figure 10. Schematic diagram of combustion chamber cavity and jet flow.
Figure 10. Schematic diagram of combustion chamber cavity and jet flow.
Applsci 14 04916 g010
Figure 11. Shock wave distribution of the vehicle integration of internal and external flows.
Figure 11. Shock wave distribution of the vehicle integration of internal and external flows.
Applsci 14 04916 g011
Figure 12. Shock wave comparison across different sections.
Figure 12. Shock wave comparison across different sections.
Applsci 14 04916 g012
Figure 13. Shock wave distribution for different cases.
Figure 13. Shock wave distribution for different cases.
Applsci 14 04916 g013
Figure 14. Streamline distribution for different cases.
Figure 14. Streamline distribution for different cases.
Applsci 14 04916 g014
Figure 15. Pressure distribution for different cases.
Figure 15. Pressure distribution for different cases.
Applsci 14 04916 g015
Figure 16. Mass-weighted average pressure distribution.
Figure 16. Mass-weighted average pressure distribution.
Applsci 14 04916 g016
Figure 17. Pressure distribution of the lower wall surface.
Figure 17. Pressure distribution of the lower wall surface.
Applsci 14 04916 g017
Figure 18. Streamlines distribution for different cases of z = 0 with point of separation.
Figure 18. Streamlines distribution for different cases of z = 0 with point of separation.
Applsci 14 04916 g018
Figure 19. Shock wave with velocity isolines for different planes.
Figure 19. Shock wave with velocity isolines for different planes.
Applsci 14 04916 g019
Figure 20. D shock wave.
Figure 20. D shock wave.
Applsci 14 04916 g020
Figure 21. U = 1000 m/s iso-surface.
Figure 21. U = 1000 m/s iso-surface.
Applsci 14 04916 g021
Figure 22. Pressure distribution for different plans.
Figure 22. Pressure distribution for different plans.
Applsci 14 04916 g022
Figure 23. Y = −0.207m pressure gradient distribution (red dashed line represented the leading edge of the cavity).
Figure 23. Y = −0.207m pressure gradient distribution (red dashed line represented the leading edge of the cavity).
Applsci 14 04916 g023
Figure 24. Mass-weighted average pressure in the x-direction for all the cases.
Figure 24. Mass-weighted average pressure in the x-direction for all the cases.
Applsci 14 04916 g024
Figure 25. Shock wave and fuel iso-line for different cases.
Figure 25. Shock wave and fuel iso-line for different cases.
Applsci 14 04916 g025
Figure 26. Penetration depth for all cases.
Figure 26. Penetration depth for all cases.
Applsci 14 04916 g026
Figure 27. Fuel iso-surface distribution for different cases.
Figure 27. Fuel iso-surface distribution for different cases.
Applsci 14 04916 g027
Figure 28. Mixing efficiency for all cases.
Figure 28. Mixing efficiency for all cases.
Applsci 14 04916 g028
Figure 29. X = 2.22 m fuel distribution with streamlines for all cases.
Figure 29. X = 2.22 m fuel distribution with streamlines for all cases.
Applsci 14 04916 g029
Figure 30. X = 2.244 m fuel distribution with streamlines for all cases.
Figure 30. X = 2.244 m fuel distribution with streamlines for all cases.
Applsci 14 04916 g030
Table 1. Incoming conditions.
Table 1. Incoming conditions.
ParameterP/PaT/KMaAttack
X-51-like vehicle2028.14223.045.511
Fuel jet1,600,0009231None
Table 2. Schemes of fuel injectors and inflow.
Table 2. Schemes of fuel injectors and inflow.
Length of IsolatorNumber of Jets
Case 1263.56 mm1 (center)
Case 2388.15 mm1 (center)
Case 3504 mm1 (center)
Case 4263.56 mm3
Case 5388.15 mm3
Case 6504 mm3
Disclaimer/Publisher’s Note: The statements, opinions and data contained in all publications are solely those of the individual author(s) and contributor(s) and not of MDPI and/or the editor(s). MDPI and/or the editor(s) disclaim responsibility for any injury to people or property resulting from any ideas, methods, instructions or products referred to in the content.

Share and Cite

MDPI and ACS Style

Wang, C.; Wang, H.; Yang, Y.; Liu, X. Influence of Incident Shock on Fuel Mixing in Scramjet. Appl. Sci. 2024, 14, 4916. https://doi.org/10.3390/app14114916

AMA Style

Wang C, Wang H, Yang Y, Liu X. Influence of Incident Shock on Fuel Mixing in Scramjet. Applied Sciences. 2024; 14(11):4916. https://doi.org/10.3390/app14114916

Chicago/Turabian Style

Wang, Chao, Hongbo Wang, Yixin Yang, and Xu Liu. 2024. "Influence of Incident Shock on Fuel Mixing in Scramjet" Applied Sciences 14, no. 11: 4916. https://doi.org/10.3390/app14114916

APA Style

Wang, C., Wang, H., Yang, Y., & Liu, X. (2024). Influence of Incident Shock on Fuel Mixing in Scramjet. Applied Sciences, 14(11), 4916. https://doi.org/10.3390/app14114916

Note that from the first issue of 2016, this journal uses article numbers instead of page numbers. See further details here.

Article Metrics

Back to TopTop