Mechanical Properties and Penetration Characteristics of Mudstone Slag-Based Waterproof Composites under Cyclic Loading
Abstract
:Featured Application
Abstract
1. Introduction
2. Test Materials and Test Methods
2.1. Test Materials
2.2. Sample Preparation
2.3. Test Methods
2.3.1. Uniaxial Cyclic Loading and Unloading Tests of MSWC
2.3.2. Uniaxial Compression Test of MSWCs
2.3.3. SEM Scanning Test of MSWCs
2.3.4. Penetration Test of MSWCs
3. Results and Discussion
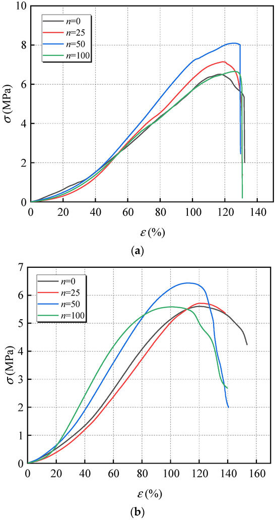
3.1. Changes in Damage to MSWCs after Uniaxial Cyclic Loading and Unloading
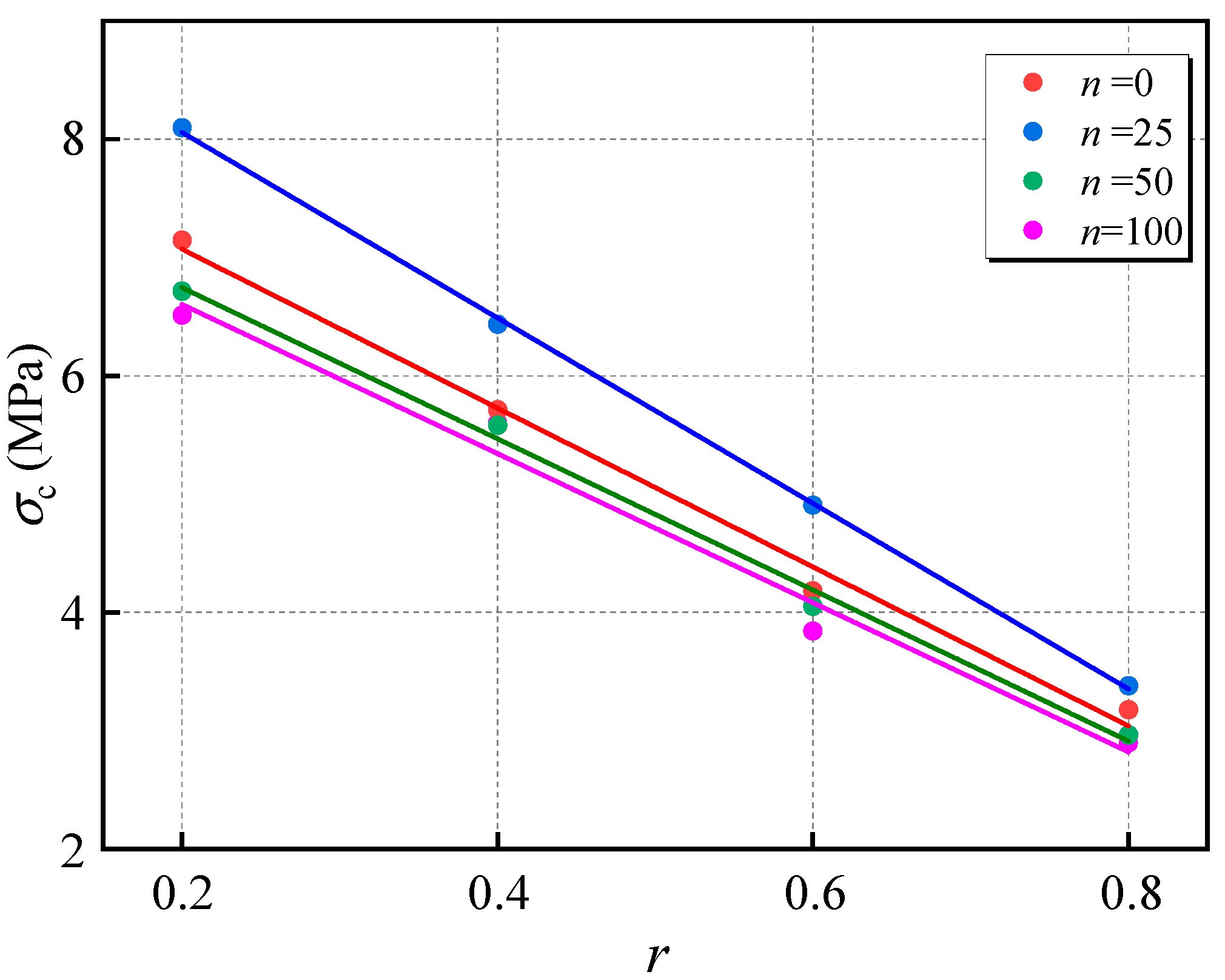
3.2. UCS of MSWCs after Uniaxial Cyclic Loading and Unloading
3.3. Micro-Structure Analysis of MSWC after Uniaxial Cyclic Loading and Unloading
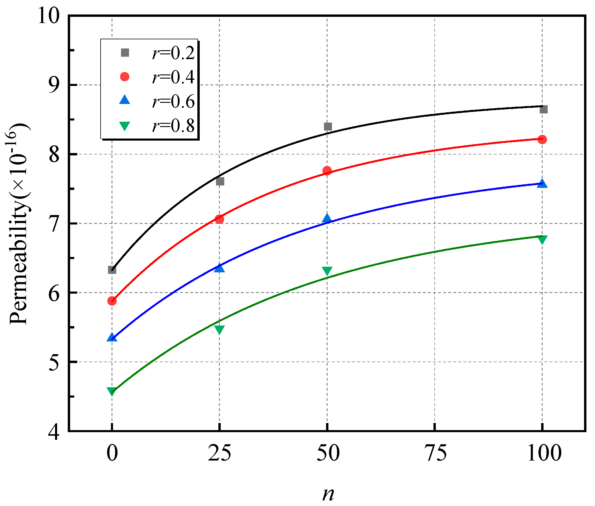
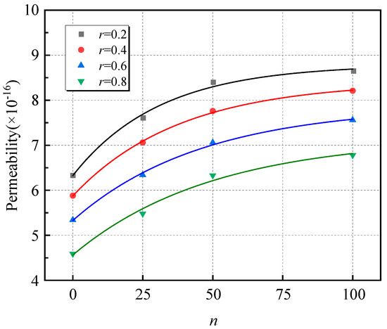
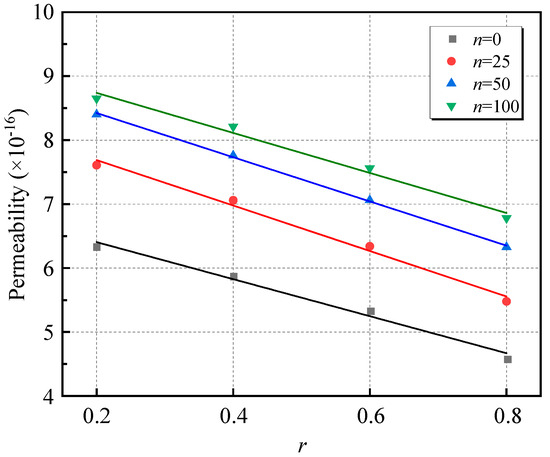
3.4. Permeability of MSWC Uniaxial Cyclic Loading and Unloading
3.5. Prospects of MSWC
4. Conclusions
- The MSWCs have qualified uniaxial compressive strength and low permeability, which fulfils the basic requirements of being a water barrier layer for a spoil disposal site, proving that mudstone and slag can be used as cementitious materials to construct artificial water barrier layers in mining areas.
- The failure modes of MSWC specimens changed from brittle failures to plastic failures with an increasing percentage of mudstone and number of uniaxial cyclic loading and unloading.
- Based on the proportion of mudstone and the number of uniaxial cyclic loading and unloading as variables, a coupling model of uniaxial compressive strength of the MSWC is established. With an increase of mudstone proportion, the uniaxial compressive strength of the MSWC gradually decreases; and with an increase of uniaxial cyclic loading and unloading times, the uniaxial compressive strength of the MSWC shows a trend of increasing first and then decreasing, and the uniaxial compressive strength reaches a maximum at about 50 cycles.
- The microstructure of the MSWCs showed that mudstone cementitious material develops relatively slowly and has strong plastic characteristics, low uniaxial compressive strength, and low permeability; while slag cementitious material develops relatively fast and has strong resistance to deformation, high uniaxial compressive strength, and low permeability.
- When the mudstone proportion is 0.6, the MSWC has strong uniaxial compressive strength and low permeability, which fulfils the requirements of reconstructing a water barrier layer for a spoil disposal site in a mining area.
Author Contributions
Funding
Institutional Review Board Statement
Informed Consent Statement
Data Availability Statement
Conflicts of Interest
References
- Ruan, Y.; Jamil, T.; Hu, C.; Gautam, B.P.; Yu, J. Microstructure and mechanical properties of sustainable cementitious materials with ultra-high substitution level of calcined clay and limestone powder. Constr. Build. Mater. 2022, 314, 125416. [Google Scholar] [CrossRef]
- Ramanathan, S.; Tuen, M.; Suraneni, P. Influence of supplementary cementitious material and filler fineness on their reactivity in model systems and cementitious pastes. Mater. Struct. 2022, 55, 136. [Google Scholar] [CrossRef]
- Madani, H.; Ramezanianpour, A.A.; Shahbazinia, M.; Ahmadi, E. Geopolymer bricks made from less active waste materials. Constr. Build. Mater. 2020, 247, 118441. [Google Scholar] [CrossRef]
- Wu, M.; Zhang, Y.; Liu, G.; Wu, Z.; Yang, Y.; Sun, W. Experimental study on the performance of lime-based low carbon cementitious materials. Constr. Build. Mater. 2018, 168, 780–793. [Google Scholar] [CrossRef]
- Liu, Z.; Hansen, W. Aggregate and slag cement effects on autogenous shrinkage in cementitious materials. Constr. Build. Mater. 2016, 121, 429–436. [Google Scholar] [CrossRef]
- Zhuang, W.; Li, S.; Yu, Q. The effect of supplementary cementitious material systems on dynamic compressive properties of ultra-high performance concrete paste. Constr. Build. Mater. 2022, 321, 126361. [Google Scholar] [CrossRef]
- Wang, H.; Hou, P.; Li, Q.; Adu-Amankwah, S.; Chen, H.; Xie, N.; Zhao, P.; Huang, Y.; Wang, S.; Cheng, X. Synergistic effects of supplementary cementitious materials in limestone and calcined clay-replaced slag cement. Constr. Build. Mater. 2021, 282, 122648. [Google Scholar] [CrossRef]
- Choi, Y.C.; Choi, S. Alkali–silica reactivity of cementitious materials using ferro-nickel slag fine aggregates produced in different cooling conditions. Constr. Build. Mater. 2015, 99, 279–287. [Google Scholar] [CrossRef]
- Sun, X.; Li, Y.; Wei, X.; Yu, J.; Wang, M. High contents of steel slag in the road concrete: Hydration mechanism, mechanical property and durability performance. Constr. Build. Mater. 2023, 400, 132703. [Google Scholar] [CrossRef]
- Liu, Y.; Su, Y.; Xu, G.; Chen, Y.; You, G. Research Progress on Controlled Low-Strength Materials: Metallurgical Waste Slag as Cementitious Materials. Materials 2022, 15, 727. [Google Scholar] [CrossRef]
- Zhang, N.; Tang, B.; Liu, X. Cementitious activity of iron ore tailing and its utilization in cementitious materials, bricks and concrete. Constr. Build. Mater. 2021, 288, 123022. [Google Scholar] [CrossRef]
- Guo, Z.; Jiang, T.; Zhang, J.; Kong, X.; Chen, C.; Lehman, D.E. Mechanical and durability properties of sustainable self-compacting concrete with recycled concrete aggregate and fly ash, slag and silica fume. Constr. Build. Mater. 2020, 231, 117115. [Google Scholar] [CrossRef]
- Cheng, X.; Long, D.; Zhang, C.; Gao, X.; Yu, Y.; Mei, K.; Zhang, C.; Guo, X.; Chen, Z. Utilization of red mud, slag and waste drilling fluid for the synthesis of slag-red mud cementitious material. J. Clean. Prod. 2019, 238, 117902. [Google Scholar] [CrossRef]
- Tsai, C.; Huang, R.; Lin, W.; Wang, H. Mechanical and cementitious characteristics of ground granulated blast furnace slag and basic oxygen furnace slag blended mortar. Mater. Des. 2014, 60, 267–273. [Google Scholar] [CrossRef]
- Pan, Z.; Li, D.; Yu, J.; Yang, N. Properties and microstructure of the hardened alkali-activated red mud–slag cementitious material. Cem. Concr. Res. 2003, 33, 1437–1441. [Google Scholar] [CrossRef]
- Luo, X.; Huang, X.; Liu, Y.; Tao, J.; Xiao, S.; Peng, B. Performance characterization and optimization of cement-lithium powder-grain slag composite cementitious materials. Constr. Build. Mater. 2023, 409, 133851. [Google Scholar] [CrossRef]
- Mo, K.H.; Ling, T.; Alengaram, U.J.; Yap, S.P.; Yuen, C.W. Overview of supplementary cementitious materials usage in lightweight aggregate concrete. Constr. Build. Mater. 2017, 139, 403–418. [Google Scholar] [CrossRef]
- Zhu, H.; Wen, C.; Wang, Z.; Li, L. Study on the Permeability of Recycled Aggregate Pervious Concrete with Fibers. Materials 2020, 13, 321. [Google Scholar] [CrossRef]
- Zha, H.; Fu, H.; Chen, C.; Yang, J.; Wang, H.; Zhu, X.; Yuan, D.; Jia, C. The use of eco-friendly lignin as a cementitious material to improve the engineering properties of disintegrated carbonaceous mudstone. Constr. Build. Mater. 2022, 359, 129456. [Google Scholar] [CrossRef]
- Yang, G.; Chen, Y.; Liu, X.; Yang, R.; Zhang, Y.; Zhang, J. Stability analysis of a slope containing water-sensitive mudstone considering different rainfall conditions at an open-pit mine. Int. J. Coal Sci. Technol. 2023, 10, 64. [Google Scholar] [CrossRef]
- Li, X.; Liu, X.; Tan, Y.; Chen, A.; Wang, H.; Wang, X.; Yang, S. Rheological mechanical properties and its constitutive relation of soft rock considering influence of clay mineral composition and content. Int. J. Coal Sci. Technol. 2023, 10, 48. [Google Scholar] [CrossRef]
- Sun, C.; Li, G.; Gomah, M.E.; Xu, J.; Rong, H. Experimental investigation on the nanoindentation viscoelastic constitutive model of quartz and kaolinite in mudstone. Int. J. Coal Sci. Technol. 2021, 8, 925–937. [Google Scholar] [CrossRef]
- Yang, Y.; Aplin, A.C. Influence of lithology and compaction on the pore size distribution and modelled permeability of some mudstones from the Norwegian margin. Mar. Pet. Geol. 1998, 15, 163–175. [Google Scholar] [CrossRef]
- Huang, Y.; Zhao, A.; Guo, W.; Yang, W.; Zhang, T. Experimental study on groutability and reconstructability of broken mudstone and their relationship. Arab. J. Geosci. 2020, 13, 774. [Google Scholar] [CrossRef]
- Pan, Z.; Cheng, L.; Lu, Y.; Yang, N. Hydration products of alkali-activated slag–red mud cementitious material. Cem. Concr. Res. 2002, 32, 357–362. [Google Scholar] [CrossRef]
- Iyare, U.C.; Blake, O.O.; Frash, L.P.; Carey, J.W.; Jones, D.; Ramjarrie, K. Water-Weakening Effects on the Failure Behavior of Mudstones. Rock Mech. Rock Eng. 2023, 56, 9171–9185. [Google Scholar] [CrossRef]
- Dessouki, M.; Hathon, L.; Myers, M. Permeability and porosity modelling for resedimented mudrocks—Applications for compaction dominated mudrock systems. Mar. Pet. Geol. 2021, 128, 104945. [Google Scholar] [CrossRef]
- Aghaeipour, A.; Madhkhan, M. Effect of ground granulated blast furnace slag (GGBFS) on RCCP durability. Constr. Build. Mater. 2017, 141, 533–541. [Google Scholar] [CrossRef]
- Guo, W.; Zhao, Q.; Sun, Y.; Xue, C.; Bai, Y.; Shi, Y. Effects of various curing methods on the compressive strength and microstructure of blast furnace slag-fly ash-based cementitious material activated by alkaline solid wastes. Constr. Build. Mater. 2022, 357, 129397. [Google Scholar] [CrossRef]
- Ramanathan, S.; Croly, M.; Suraneni, P. Comparison of the effects that supplementary cementitious materials replacement levels have on cementitious paste properties. Cem. Concr. Compos. 2020, 112, 103678. [Google Scholar] [CrossRef]
- Aziz, I.H.; Abdullah, M.M.A.B.; Mohd Salleh, M.A.A.; Azimi, E.A.; Chaiprapa, J.; Sandu, A.V. Strength development of solely ground granulated blast furnace slag geopolymers. Constr. Build. Mater. 2020, 250, 118720. [Google Scholar] [CrossRef]
- Liu, L.; Yao, Y.; Zhang, L. Study on properties and soil solidification mechanism of alkali—activated cementitious materials. Mater. Today Commun. 2023, 37, 107556. [Google Scholar] [CrossRef]
- Xu, Y.; Zhang, H.; Schlangen, E.; Luković, M.; Aavija, B. Cementitious cellular composites with auxetic behavior. Cem. Concr. Compos. 2020, 111, 103624. [Google Scholar] [CrossRef]
- Shen, X.; Li, L.; Wang, Y. Simple Fully Automatic Testing Method of Seepage Indices for Low-Permeability Materials. Water 2021, 13, 477. [Google Scholar] [CrossRef]
- Lv, G.; He, C.; Du, X.; Li, Y. Simulation Study on Hydrological Process of Soil Cracks in Open-Pit Coal Mine Dump. Water 2022, 14, 2302. [Google Scholar] [CrossRef]
- Liu, X.; Wei, J.; Wei, G.; Wu, C.; Liu, C.; Ni, X. Combined control of fluid adsorption capacity and initial permeability on coal permeability. Int. J. Coal Sci. Technol. 2022, 9, 85. [Google Scholar] [CrossRef]
- Nazari, S.; Hassanlourad, M.; Chavoshi, E.; Mirzaii, A.; Tamagnini, C. Experimental Investigation of Unsaturated Silt-Sand Soil Permeability. Adv. Civ. Eng. 2018, 2018, 4946956. [Google Scholar] [CrossRef]
















| Chemical Composition (%) | SiO2 | Al2O3 | CaO | Fe2O3 | MgO | K2O | Na2O | TiO2 | MnO |
|---|---|---|---|---|---|---|---|---|---|
| Mudstone | 61.28 | 15.82 | 13.58 | 5.34 | 3.98 | ||||
| Slag | 34..61 | 16.34 | 36.72 | 0.96 | 8.34 | 0.43 | 1.96 | 0.64 |
| Components | Gelling Material | Alkaline Exciter | Waste Rock Aggregate (g) | Total Mass (g) | |||||
|---|---|---|---|---|---|---|---|---|---|
| Mudstone (%) | Slag (%) | Mudstone (g) | Slag (g) | Sodium Silicate (g) | NaOH (g) | Water (g) | |||
| 20 | 20 | 80 | 280 | 1120 | 1183 | 292 | 1325 | 4200 | 8400 |
| 40 | 40 | 60 | 560 | 840 | 1183 | 292 | 1325 | 4200 | 8400 |
| 60 | 60 | 40 | 840 | 560 | 1183 | 292 | 1325 | 4200 | 8400 |
| 80 | 80 | 20 | 1120 | 280 | 1183 | 292 | 1325 | 4200 | 8400 |
| Technical Specifications | Value | Accurate | |
|---|---|---|---|
| 1 | Maximum axial test force | 2000 KN | ±0.1% |
| 2 | Axial piston stroke | 0~500 mm | - |
| 3 | Axial deformation range | 0~10 mm | ±0.05% |
| Technical Specifications | Value | Accurate | |
|---|---|---|---|
| 1 | Magnifying power | 2.5~1,000,000× | - |
| 2 | Acceleration voltage | 0.2~30 KV | - |
| 3 | Electron beam current | 1 pA–2 uA | - |
| 4 | Sample chamber internal dimensions | 230 mm (width) × 148 mm (depth) | - |
| Name | Numerical Value | Accurate | |
|---|---|---|---|
| 1 | Maximum circumferential pressure | 60.0 MPa | ±0.015% |
| 2 | Maximum pressure for gas transmission | 20.0 MPa | ±0.01% |
Disclaimer/Publisher’s Note: The statements, opinions and data contained in all publications are solely those of the individual author(s) and contributor(s) and not of MDPI and/or the editor(s). MDPI and/or the editor(s) disclaim responsibility for any injury to people or property resulting from any ideas, methods, instructions or products referred to in the content. |
© 2023 by the authors. Licensee MDPI, Basel, Switzerland. This article is an open access article distributed under the terms and conditions of the Creative Commons Attribution (CC BY) license (https://creativecommons.org/licenses/by/4.0/).
Share and Cite
Chen, Y.; Chen, Y.; Zhang, Y.; Zhang, J.; Chen, T. Mechanical Properties and Penetration Characteristics of Mudstone Slag-Based Waterproof Composites under Cyclic Loading. Appl. Sci. 2024, 14, 198. https://doi.org/10.3390/app14010198
Chen Y, Chen Y, Zhang Y, Zhang J, Chen T. Mechanical Properties and Penetration Characteristics of Mudstone Slag-Based Waterproof Composites under Cyclic Loading. Applied Sciences. 2024; 14(1):198. https://doi.org/10.3390/app14010198
Chicago/Turabian StyleChen, Yuanguang, Yanlong Chen, Yafei Zhang, Jialong Zhang, and Tian Chen. 2024. "Mechanical Properties and Penetration Characteristics of Mudstone Slag-Based Waterproof Composites under Cyclic Loading" Applied Sciences 14, no. 1: 198. https://doi.org/10.3390/app14010198
APA StyleChen, Y., Chen, Y., Zhang, Y., Zhang, J., & Chen, T. (2024). Mechanical Properties and Penetration Characteristics of Mudstone Slag-Based Waterproof Composites under Cyclic Loading. Applied Sciences, 14(1), 198. https://doi.org/10.3390/app14010198
