Next Article in Journal
Full Antiferroelectric Performance and GMR Effect in Multiferroic La0.75Ba0.25Fe12O19 Ceramic
Previous Article in Journal
Assessing the Efficacy of Coagulation (Al3+) and Chlorination in Water Treatment Plant Processes: Inactivating Chironomid Larvae for Improved Tap Water Quality
 
 
Font Type:
Arial Georgia Verdana
Font Size:
Aa Aa Aa
Line Spacing:
Column Width:
Background:
Article

Near-Surface Defects Identification of Polyethylene Pipes Based on Synchro-Squeezing Transform and Deep Learning

1
Institute of Particle and Two-Phase Flow Measurement/Shanghai Key Laboratory of Multiphase Flow and Heat Transfer in Power Engineering, University of Shanghai for Science and Technology, Shanghai 200093, China
2
Shanghai Engineering Research Center of Physical Vapor Deposition (PVD) Superhard Coating and Equipment, Shanghai Institute of Technology, Shanghai 201418, China
*
Authors to whom correspondence should be addressed.
Appl. Sci. 2023, 13(9), 5717; https://doi.org/10.3390/app13095717
Submission received: 11 April 2023 / Revised: 1 May 2023 / Accepted: 3 May 2023 / Published: 5 May 2023

Abstract

To conduct the ultrasonic weld inspection of polyethylene pipes, it is necessary to use low-frequency transducers due to the high sound energy attenuation of polyethylene. However, one of the challenges in this process is that the blind zone of the ultrasonic transducer may cover a part of the workpiece being tested. This leads to a situation where if a defect appears near the surface of the workpiece, its signal will be buried by the blind zone signal. This hinders the early identification of defects, which is not favorable in such a scenario. To address this issue, we propose a new approach to detect and locate the near-surface defects. We begin by performing a synchro-squeezing transform on the original A-scan signal to obtain an accurate time-frequency distribution. While successful in detecting and localizing near-surface defects, the method alone fails to identify the specific type of defect directly: a limitation shared with other signal processing methods. Thus, an effective and lightweight defect identification model was established that combines depth-wise separable convolution and an attention mechanism. Finally, the performance of the proposed model was compared and visually analyzed with other models. This paper successfully achieves the detection, localization, and identification of near-surface defects through the synchro-squeezing transform and the defect identification model. The results show that our model can identify both general and near-surface defects with an accuracy of 99.50% while having a model size of only 1.14 MB.

1. Introduction

Polyethylene (PE) is widely utilized in oil and gas transmission pipelines due to its high-impact strength, heat resistance, corrosion resistance, ease of installation, and excellent electrical properties. Hot melt welding is a commonly used method for welding PE pipes. However, due to PE’s low sound speed and significant sound energy attenuation, it is necessary to inspect the weld quality using a low-frequency ultrasonic transducer after hot melt welding [1]. The transducer’s blind zone widens with decreasing frequency, making it difficult to identify near surface defects that are buried within this zone. This issue also affects inspectors using water immersion ultrasonic testing [2], where near-surface defect signals can overlap with front-wall echoes, causing inaccurate evaluations of workpiece quality.
Scholars have attempted to address the issue of near-surface defect testing from two main perspectives. Firstly, some researchers have attempted to reduce the influence of the blind zone by enhancing the performance of the transducer. Hernández et al. [3] presented a new coding mode based on Golay complementary pairs, which helped to reduce the range of the blind zone. Another study by Qi et al. [4] utilized an opposite phase superposition method to reduce the pulse signal duration, and Wang et al. [5] proposed a novel ultrasonic transducer that utilized a rectangular membrane with a large aspect ratio and multiple resonant modes to obtain a wide-band signal. However, despite these hardware modifications, the elimination of the blind zone remains challenging. At the same time, many researchers have turned to signal processing methods to analyze the features of the defect echoes, including Hilbert transform [6], energy cepstrum [7], split spectrum [8], cross-correlation functions [6], wavelet packet decomposition [9], deconvolution [10,11,12], and pulse compression [13]. Nonetheless, these methods require strict linearity of the defect signals. Thus, Fritsch et al. [14] used a time-domain phase analysis method for detecting blind zone defects; however, the amplitude information was not retained during the binary processing. Song [15] designed a low-pass digital filter to filter out signals unrelated to defects, but it required horizontal movement of the defect signal and reference signal to align the peaks for defect detection. Also, Huang et al. [2] used a pulse-echo transverse wave backscatter measurement to detect near-surface defects with sub-wavelength. Guan et al. [16] employed intrinsic time-scale decomposition to decompose an ultrasonic signal into proper rotation components and a monotone trend signal. These components were then combined with a genetic algorithm-optimization support vector machine (GA-SVM) to allow for quantitative testing of near-surface defects. Zilidou et al. [17] used the analytic signal and its instantaneous parameters to suppress the front- and back-surface reflections of the ultrasonic echoes through response subtraction and substitution. These methods effectively demonstrate the potential of signal processing to extract useful information regarding near-surface defects. Although synchro-squeezing transform (SST) is a promising signal processing technique, it has not been extensively employed for ultrasonic defect detection. Inspired by the aforementioned studies, the synchro-squeezing transform (SST) [18] was introduced to detect and locate near-surface defects in this paper. However, it should be noted that like prior studies, this method is unable to directly identify the specific type of defect.
A convolutional neural network (CNN) [19] is a classifier that contains multiple layers and adapts the filters by learning the information of the signal. The ability of CNN for image object detection has been verified in many aspects, such as fabric defect detection [20], wood defect detection [21], surface scratch defect detection during sheet metal forming [22], and surface defect detection of engine parts [23]. Therefore, in recent years, CNN has also been introduced into ultrasonic testing signal classification. Research by Munir et al. [24] showed that CNN successfully classified ultrasonic weldment flaw A-scan signals while maintaining good performance in the presence of noise. Virupakshappa et al. [25] proposed a CNN architecture to detect defects in ultrasonic signals. They first decomposed the A-scan signal using discrete wavelet transform with four-level decomposition and then reorganized the wavelet coefficients as a two-dimensional input for the model. In addition, Soński et al. [26] applied a pre-trained neural network to detect flaws in concrete from images of the ultrasonic B-scan. Yan et al. [27] proposed a CNN structure that integrated a support vector machine to identify cracking-related A-scan signals obtained from pipeline girth welds. Alavijeh et al. [28] conducted a study to compare the effectiveness of machine learning techniques, specifically deep learning, for automating the assessment of ultrasonic A-scan signals from butt-fused joints in PE pipes. Their findings suggest that CNN was the most performant machine learning approach. Zhao et al. [29] proposed an intelligent recognition method based on wavelet packet transform (WPT) and CNN for concrete ultrasonic detection, which resulted in outstanding recognition performance. Shi et al. [30] obtained a classification accuracy rate of up to 0.982 using CNN and ultrasonic A-scan to evaluate circumferential welds composed of austenitic and martensitic stainless steel with internal slots. These studies illustrate the capability of deep learning, specifically CNN, for identifying different types of ultrasonic defect signals. As the defect signal in the blind zone is not easy to distinguish in the time domain, converting the signal to the time-frequency domain can provide more abundant information. On this basis, CNN can potentially be applied to the classification of near-surface defects by learning the key information of signals in the time-frequency domain.
This paper proposes a new approach to detect and locate near-surface defects by leveraging SST while also designing a lightweight CNN model to identify the types of defects. Through the integration of these two techniques, our approach accomplishes near-surface defect detection, localization, and identification with high accuracy. The proposed model employs DenseNet [31] as the backbone to reuse model features, employs depthwise separable convolution (DSC) [32] instead of ordinary convolution to reduce the model parameters, and incorporates the convolutional block attention module (CBAM) [33] to highlight key information with high weights in the final decision. The subsequent sections are structured as follows: Section 2 presents the theory of SST. Section 3 outlines the equipment used and the preparation of the dataset. Section 4 provides details on the near-surface defect detection method based on SST and the architecture of the defect identification model, which includes DenseNet structure, DSC, and CBAM. Section 5 illustrates the results of the experiments on the proposed model. Finally, Section 6 concludes the paper and presents a summary.

2. The Theory of SST

Commonly used time-frequency analysis methods, such as short-time Fourier transform [34], wavelet transform [35,36], Wigner–Ville distribution [37,38], and s-transform [39], are limited by the Heisenberg uncertainty principle [40].To improve the precision of the time-frequency plane, researchers have combined the rearrangement algorithm [41] with these methods [18,42,43,44]. One such transformation that has shown good time-frequency resolution is the SST [18], which recalculates a position near the real coordinates of the time-frequency energy spectrum from continuous wavelet transform (CWT) and rearranges the energy accordingly.
The CWT of the signal s(t) is defined by
W s a , b = s t 1 a ψ * t b a d t ,
where ψ*(t) is the complex conjugate of the mother wavelet ψ(t), and b is a time shift factor, which is scaled by a. However, the energy of wavelet coefficients often diffuses along the scale in a direction, which generates the smearing effect in the time-frequency representation. Previous research [45] revealed that smearing has an insignificant effect along the time b-axis. Therefore, it is possible to estimate the instantaneous frequency ws(a, b) by calculating partial derivatives for all Ws(a, b) ≠ 0, as indicated below.
w s a , b = i W s a , b 1 b W s a , b .
Notably, each point (a, b) can be mapped to (b, ws(a, b)) using this equation. To improve the smearing problem, we can convert the sum of every wavelet coefficient at the point (b, a) to (b, ws(a, b)). As a and b are discrete values, we can define a scale step Δaj = ajaj−1 and frequency step ∆wi = wiwi−1. As a result, the time-frequency spectrum after SST can be expressed as follows:
T s w i , b = Δ w 1 a j : w a j , b w i Δ w / 2 W s a j , b a j 3 / 2 Δ a j .
In essence, SST redistributes the energy of the time-scale plane to the time-frequency plane, where it is rearranged to concentrate the energy. For ultrasonic signals, SST allows for better visualization of instantaneous energy changes when defects appear, which can be very helpful in resolving the defect signal overlapping with blind zone signals.

3. Dataset Preparation and Training Environment

3.1. Dataset Preparation

The original signal used in this study was obtained from the PE80 pipe sample with a wall thickness of 20 mm. The specimens were deliberately created to include different sizes of weld defects by cardboard and side drill holes. The imitated cardboard cracks while the side drill holes represented volumetric defects like porosity and slag inclusion. To obtain the near-surface defect signal in the blind zone and the general defect signal, two positions were designated for each defect, located at 1/4 near the outer wall and 1/2 near the inner wall, respectively. The signals were gathered using transducers with a central frequency of 1 MHz, a refracting angle of 60°, and a chip size of 10 × 10 mm. Other pieces of equipment for the ultrasonic testing platform include an ultrasonic signal generation receiver (5072PR), an A/D card (PCI-5114), an industrial computer, and detection software. By varying the transducer’s position, an original dataset of 719 signals was collected with each signal having 12,500 sampling points.
Because of uneven proportion in the amount of each type of defect signal, the original dataset was enhanced by time shifting and adding white Gaussian noise. Each type of signal was expanded to 200. Physically, time-shifting refers to the change in the distance between the transducer chip and the defect, while white Gaussian noise represents the electrical noise of the circuit during signal transmission [24]. Gaussian noise addition is a feasible method for enhancing all five types of defect signals: data enhancement mainly relies on this method. Segmenting defect signals in blind zones is challenging, and thus the time shifting method is only suitable for general defects. Additionally, as the initial wave pulse in the signal often contains a region consisting solely of electrical noise, the noise signals are randomly selected and added to the tail of the signals during the data enhancement process. This technique provides a similar enhancing effect to the time shifting method. During the actual operation process, we found that it was not easy to evaluate the accuracy performance of the model on large datasets. Therefore, the decision was made to expand the number of each signal type to 200. The number of signals for each weld defect is presented in Table 1. Figure 1 illustrates the different types of defect signals that were considered, while Figure 2 showcases the impact of applying white Gaussian noise addition and time shifting techniques to the signal.
SST processing was performed on all signals to obtain a 256 × 256 pixel image, which was then shuffled, and the training dataset and testing dataset were divided into an 8:2 ratio. The training dataset was used for model training and parameter adjustment, while the testing dataset was used to evaluate the model’s performance.

3.2. Training Environment and Parameter Setting

This study utilized a desktop computer with an Intel Core i7-10700 CPU, RTX 3060Ti GPU with 8 GB independent video memory, and 32 GB memory capacity as the model training and testing platform. The software environment comprised Windows 10, CUDA 11.6, and Pytorch 1.13.1 deep learning framework. During the model training, the initial learning rate was set at 1.5 × 10−4, and the batch size was 32 with a total of 100 iterations. The Adaptive Motion Estimation (Adam) [46] algorithm was uniformly used as the optimization method to obtain the optimal training model. The cross-entropy loss function was employed to calculate the loss value, and the dynamic attenuation strategy was used to update the learning rate, reducing the learning rate by half every 20 iteration cycles.

4. Near-Surface Defect Detection and Identification

Figure 3 depicts the proposed method’s flowchart. Firstly, the signal undergoes SST to obtain precise time-frequency distribution results. The method then proceeds in two parts—the signal detection section and the signal identification section. During the signal detection section, the algorithm analyses blind zone areas in the low-frequency band of the time-frequency results, and determines the location of defects based on the maximum value of the SST transformation results. In the signal identification section, the trained defect identification model analyzes the time-frequency map without requiring manual feature extraction. The model outputs the presence of defects and identifies their type based on the trained parameters.

4.1. Near-Surface Defect Detection Based on SST

The Complex Morlet wavelet is utilized for CWT and SST. Results for the signal processing of all five types of defect signals are presented in Figure 4, Figure 5, Figure 6, Figure 7 and Figure 8, respectively. The general defect signals are slightly distanced from the blind zone signal, whereas the blind zone defect signals are overlaps with each other. The maximum curves of CWT and SST of the defect area were compared.
The original signal’s main frequency component is approximately 1.25 MHz, which is basically consistent with the transducer’s center frequency. In Figure 4c, the maximum values of SST and CWT near the blind zone both gradually decrease without observable drastic changes. In Figure 5 and Figure 6, there is a noticeable energy dispersion and convergence phenomenon between the defect signal and blind zone signal, as shown in the zoomed CWT and SST results. In Figure 7 and Figure 8, the CWT result shows that the energy is nearly smooth and gradually decreases, but the SST result shows that there is an area with high brightness when the defect signal appears, indicating that the energy has converged in the defect area. The maximum curves of the defect area show that both CWT and SST can accurately determine the presence of general defects. However, when analyzing the blind zone defect signal, the maximum curve of CWT steadily decreases, while SST has more obvious convex areas. Additionally, the location of the defect can be clearly seen by SST. Therefore, SST is more suitable for detecting defects, especially blind zone defects, due to its excellent energy concentration ability.
Another noteworthy point is that CWT transforms the entire signal, resulting in every time-frequency position having a value, where some values may be close to zero. On the other hand, SST concentrates the energy along the frequency direction, transforming some time-frequency points to zero. The results obtained indicate that the ratio of zero value increases from 0 to 45% of the original time-frequency result after SST processing, which removes nearly half of the values that are close to zero, ultimately making the time-frequency distribution more precise.
Although SST can detect and locate near-surface defects, it cannot directly determine the type of defect. Therefore, this paper proposed a CNN model for identifying the defect types, which can achieve the identification of general and blind zone defects.

4.2. DenseNet Model

To address the degradation problem in deep neural networks, the DenseNet model was developed, which promotes better backpropagation of gradients during training by establishing dense connections between front and back layers. This allows for the creation of deeper convolutional neural networks that explore the potential of the network through feature graph reuse, enabling better performance with fewer parameters and computations. The model’s overall structure is depicted in Figure 9.
The DenseNet architecture comprises two core structures: the dense block and the transition layer. Each dense block contains several dense layers, where the input of each layer comprises the output feature maps of all preceding layers. Within the same dense block, the feature layer’s height and width remain constant, and the number of channels is increased according to the designated growth rate. The output feature maps of the i-th dense layer are:
x i = H i x 0 , x 1 , , x i 1 i = 0 , 1 , 2 , ,
where H is a nonlinear transformation function comprising three operations: batch normalization (BN), activation function (ReLU) [47], and convolution (Conv).
The transition layer module is employed to connect different dense blocks and reduce the width and height of the last dense block to integrate the features of previous dense blocks. The transition layer comprises BN, ReLU, 1x1 Conv, and average pooling (AvgPool).

4.3. Depthwise Separable Convolution

In traditional convolutional layers, each filter applies at least one single convolution operation to all values of the input channels to obtain a two-dimensional feature map. Depending on the number of channels, n, in the output feature map, means each kernel performs n calculations on this basis. The depthwise separable convolution (DSC) separates the convolution operation into two parts: depthwise convolution and pointwise convolution. The depthwise convolution employs only one convolution kernel for each channel in the input feature map with the number of convolution kernels matching the number of input channels. This step reduces the number of parameters because each filter only operates on a single channel without the need to pay attention to other feature channels. Feature maps of all convolution kernels are then concatenated as the output. Then, pointwise convolution performs 1 × 1 convolution on the output feature map, allowing for the free determination of the output channel and fusion of different channel information. Compared to using a 3 × 3 convolutional kernel, the number of parameters sharply decreases. Each 1 × 1 convolutional kernel generates only one output two-dimension feature map. Based on the difference in the number of channels in the output feature map, n 1 × 1 convolutional kernels are used. The structure diagram of DSC is shown in Figure 10.
Assuming that the input feature map’s dimension is Hin × Win × Cin and the output feature map’s dimension is Hout × Wout × Cout, ordinary convolution has a kernel size of Kh × Kw and Cout output feature maps. If each feature map’s point is convolved once, a single convolution kernel’s calculation amount is Hin × Win × Kh × Kw × Cin. The total computation for Cout convolution kernels is Hin × Win × Kh × Kw × Cin × Cout. In comparison, DSC employs Cin convolution kernels with a kernel size of Kh × Kw in depthwise convolution, where each kernel convolves only one feature map, resulting in a calculation amount of Hin × Win × Kh × Kw × Cin. The pointwise convolution, on the other hand, employs Cout convolution kernels with a kernel size of 1 × 1 × Cin, resulting in a calculation amount of Hout × Wout × 1 × 1 × Cin × Cout. Consequently, the total computation amount for DSC is Hin × Win × Kh × Kw × Cin + Hout × Wout × Cin × Cout. If the input and output feature maps have the same width and height, a simplified ratio of DSC to ordinary convolution is
H i n × W i n × K h × K w × C i n + H o u t × W o u t × C i n × C o u t H i n × W i n × K h × K w × C i n × C o u t = K h × K w + C o u t K h × K w × C o u t = 1 C o u t + 1 K h × K w .
It demonstrates that the computation of DSC is more efficient than that of ordinary convolution. Thus, this paper replaces 3 × 3 convolution in the dense layer with DSC.

4.4. Attention Mechanism

After the feature extraction module in the convolution neural network, the attention mechanism can dynamically weigh the features via autonomous learning and then focus on more useful information for classification. During feature extraction, the channel attention mechanism (CAM) assigns the corresponding weight coefficient based on the importance of the feature channel, while the spatial attention mechanism (SAM) performs an information space transformation in the image space domain (height, width) to extract the key feature information for classification. To obtain more useful information in the space domain and channel simultaneously, the two are serially combined to form a lightweight CBAM module.
As illustrated in Figure 11, the CAM module is responsible for attention weight on the feature channel, while SAM is responsible for attention weight on the feature space. In the CAM module, the input feature map (8 × 8 × 166) is subjected to maximum and average pooling to obtain two 1 × 1 × 166 feature maps. These feature maps are subsequently input into a two-layer Multilayer Perceptron (MLP) to add and multiply each element. After activating the sigmoid function, the channel attention weight MC is obtained, which changes the weight of each channel. The channel attention weight is multiplied by the input feature map to obtain the input of the SAM module.
In the SAM module, the multiplied feature map is first pooled by maximum and average, resulting in two 8 × 8 × 1 feature maps. A 3 × 3 convolution is then used to further reduce the dimension of the feature map channel, resulting in an 8 × 8 × 1 feature map. The spatial attention weight MS is obtained after activation of the sigmoid function. Finally, the spatial attention weight is multiplied by the initial input feature map to obtain the feature map strengthened by the CBAM module.

4.5. Near-Surface Defect Identification Model Based on DenseNet-DSC-CBAM

DenseNet is a well-designed structure that incorporates continuous backward transmission of shallow features allowing for feature reuse, and thereby improving image classification accuracy. Despite this, its parameter count remains high at approximately seven million, presenting significant complexities for hardware deployment. Further optimization is therefore required. To address this issue, this paper proposes replacing the 3 × 3 convolution used in each dense layer with DSC, resulting in reduced computation. Moreover, as the dense layer at the lower end of the network relies on the features of all previous layers, an attention mechanism is introduced to mitigate the interference of non-critical information and enable the network to focus on key information. In particular, a lightweight and effective attention mechanism module, CBAM, is integrated into the classification network, ultimately resulting in an improved blind zone defect recognition model, DenseNet-DSC-CBAM, as illustrated in Figure 12.
The present study utilized a convolutional neural network designed in Pytorch. The network’s input layer accepts an RGB three-channel signal SST diagram with an input pixel size of 256 × 256. Shallow feature extraction involves the application of a 7 × 7 convolution layer and a 3 × 3 maximum pooling layer, resulting in feature maps with 64 channels (64 × 64 × 64) and a reduction in input image dimensions. To enhance the extraction of image information and improve the reusability of features, the DenseNet structure was employed, consisting of four dense block modules and three transition layer modules. The number of dense layers in each of the four dense blocks was 3, 6, 8, and 4, respectively. The dense layer utilized single-point convolution and DSC for feature extraction with a growth rate of 16, leading to the output of 16-channel feature maps per dense layer. The transition layer performs channel dimensionality reduction with a compression ratio of 0.5. This implies that the number of channels transmitted into the next dense block is half of the input, resulting in a change in feature map size from 64 × 64 to 32 × 32, 16 × 16, and 8 × 8, through three layers. To reinforce the feature extraction component’s channel and space attention, CBAM is incorporated before they are sent to the classification network, which consists of the activation function, global average pooling, and full connection processing. The softmax function is employed to determine the probabilities of an image belonging to a specific defect type with the number of nodes in the output layer equaling the number of possible defects for classification.
Figure 13 illustrates the impact of different network structures and learning rates on model accuracy.
The structure of the original DenseNet121 model was adjusted by reducing the number of layers in each denseblock. The denseblocks in the original model had 6, 12, 24, and 16 layers. However, it was observed that reducing the number of layers beyond 3, 6, 8, and 4 resulted in decreased accuracy. This suggested that decreasing parameters beyond a certain threshold would lead to a loss in accuracy. Therefore, the model was settled with 3, 6, 8, and 4 dense layers. Multiple comparisons were conducted when making learning rate choices, and the model achieved the highest accuracy at a learning rate of 0.00015. Any value higher or lower than this level led to a decrease in accuracy; hence, 0.00015 was selected as the preferred learning rate.

4.6. Evaluation Indexes

This paper utilizes various evaluation metrics such as accuracy, loss, recall, precision, F1-score, Floating Point Operations (FLOPs), parameters, and model size to assess the efficacy of the model. Accuracy measures the proportion of accurately predicted samples among all the samples. The recall evaluates the proportion of positively predicted samples out of all the samples. On the other hand, precision reflects the proportion of accurately predicted real samples among all accurately predicted samples. The F1-score considers both precision and recall to find a balance between the two. FLOPs is a crucial index used to assess the computational complexity held by the model. The smaller the FLOPs, the simpler the model’s calculations. The parameters signify the total number of parameters in the model and is used to assess the size of the model.
Table 2 showcases the confusion matrix for a classification problem, where true positive (TP) denotes the correct identification of a positive sample, true negative (TN) reflects the correct identification of a negative sample, false positive (FP) indicates the negative sample being falsely identified as positive, and false negative (FN) implies the inaccurate identification of a positive sample as negative.
The calculation formula for each index is as follows:
A c c u r a c y = T P + T N T P + T N + F P + F N × 100 % ,
R e c a l l = T P T P + F N ,
P r e c i s i o n = T P T P + F P ,
F 1 s c o r e = 2 P r e c i s i o n R e c a l l P r e c i s i o n + R e c a l l × 100 % .
The FLOPs calculation formula for models in ordinary convolution layer, DSC layer, and fully connected layer are as follows:
F L O P s o r d i n a r y = 2 H o u t W o u t K h K w C i n C o u t ,
F L O P s D S C = 2 H o u t W o u t C i n K h K w + C o u t ,
F L O P s F C = 2 C i n C o u t ,
where Hout represents the height of the output feature maps, Wout represents the width of the output feature maps, Kh represents the height of the kernel size, Kw represents the width of the kernel size, Cin represents the number of input channels, and Cout represents the number of output channels.

5. Results and Discussion

The training process and evaluation metrics are compared to demonstrate the feasibility of employing DSC instead of ordinary convolution and the effectiveness of the attention module, and furthermore, we also compared the visual results of the output feature maps obtained from several typical models’ last layer to illustrate the model’s decision-making basis.

5.1. Comparison of Training Processes and Evaluation Indexes

To evaluate the potential impact of replacing the 3 × 3 convolution kernel with DSC on the performance of network models, we trained ResNet18, ResNet50 [48], VGG16 [49], Inception-v3 [50], DenseNet121 [31], and DenseNet121 using DSC under the same dataset and experimental setup. The values of accuracy and loss on the testing dataset were recorded after each iteration of each model during the training process, as shown in Figure 14.
The results demonstrate that the accuracy of the five models increases as the number of iterations grows. Most models achieve stability after several iterations, typically about 20 epochs, except VGG16, which gradually reaches stability after approximately 80 iterations. DenseNet121 exhibited the fastest rise and attained stability after several iterations. Interestingly, the rising trend and convergence of accuracy of DenseNet121 using DSC were essentially the same as that of DenseNet121 itself. These findings indicate that replacing the convolution kernel with DSC did not negatively impact the performance of the model.
Although ResNet50 contains more parameters than ResNet18, the accuracy of ResNet18 after convergence remains stable at 100%, whereas that of ResNet50 stabilizes at 98.50%. This suggests that a higher number of parameters do not guarantee better model performance. Moreover, a larger model may contain redundant parameters. This is one of the reasons we opted to modify the model. The accuracy of VGG16 and Inception-v3 also stabilizes at 98.5%, demonstrating that an increase in parameter quantity is not necessarily the only way to enhance model performance.
Table 3 illustrates that after implementing DSC, the parameter quantity, model size, and FLOPs of DenseNet121 reduced to 73.78%, 74.54%, and 63.30%, respectively. This reduction did not affect the model’s performance, indicating that the use of DSC can effectively reduce the number of parameters and computational complexity without sacrificing the accuracy of the original model. Although DenseNet is a dense connection model that achieves ResNet’s performance with fewer parameters through feature reuse, its million-parameters quantity and 1 × 109-FLOPs remain high. Therefore, a modified DenseNet was developed for identifying blind zone defects.
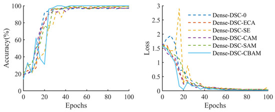
After conducting numerous experiments, it was determined that constructing Dense-DSC-0 with four dense blocks, each containing 3, 6, 8, and 4 dense layers, provides optimal results. To minimize the impact of model modification, an attention module was added before the classification network of Dense-DSC-0. The effects of five attention mechanisms: efficient channel attention (ECA) [51], squeeze and extraction (SE) [52], CAM, SAM, and CBAM, and additionally, three lightweight models: SqueezeNet [53], ShuffleNet-v2 [54], and MobileNet-v3-small [55], were compared. Figure 15 shows the accuracy and loss curve of the testing dataset after each iteration of the model with different attention mechanisms during the training process. As the performances of the lightweight models were significantly weaker than that of the model with an attention mechanism, they are not shown in Figure 15.
According to Figure 15, it is evident that the modified DenseNet model, along with the added attention module, faces initial difficulty as it struggles to determine the appropriate direction. However, the accuracy rate gradually improves after ten epochs, indicating a better understanding of crucial feature information. The model’s accuracy eventually stabilizes after approximately 30 to 40 iterations. It is worth noting that these models’ convergence speed is relatively weaker than common models due to the simplified model, which impacts the feature information’s learning speed. Nevertheless, the loss curve demonstrates that the model’s maximum amplitude of oscillation decreases after the model is modified. Ultimately, the models with various attention mechanisms maintain stable accuracy rates of approximately 98.5% with losses remaining relatively constant at 0.05. Table 4 shows the model’s evaluation metrics.
Table 4 reveals that after the model is modified, its performance deteriorates due to the reduced ability to learn key information. The implemented attention mechanism, furthermore, showed a 2% improvement in accuracy under the addition of the CAM, a 0.5% improvement under the addition of the SAM, and a 1.5% improvement under the addition of the SE, revealing the potential for attention modules to enhance the model’s learning ability. The Dense-DSC-CBAM model has only 3.6% of the parameter quantity of the DenseNet121 model, yet the accuracy is only 0.5% lower. Additionally, the FLOPs and model size have greatly reduced, being only 1/10 and 4.2%, respectively.
Moreover, in comparison to other lightweight models, the Dense-DSC-CBAM model has similar FLOPs but fewer parameters and a smaller model size. The evaluation indexes such as model accuracy, loss, and F1-score remain nearly unchanged, making the Dense-DSC-CBAM model a more favorable option. Due to these advantages, the model could be readily deployed on hardware terminal devices with weaker performance.
The comparison with other models indicates that the performance of the model designed in this paper is superior to traditional machine learning algorithms, indicating that the feature value constructed by deep learning is better than traditional machine learning algorithms.

5.2. Comparison of Visualization Effects

One of the primary reasons why machine learning, especially deep learning, has not gained widespread trust is due to the fact that the inner workings of the model are often deemed an “invisible black box.” To address this concern, researchers have proposed a range of class activation mapping methods to analyze the decision-making criteria of the model. In this paper, the gradient-weighted class activation mapping (Grad-CAM) [56] method is employed to visually compare multiple models. Specifically, five samples from each category are randomly selected from the testing dataset and input into the model. The feature information after the last convolution is visualized. The darker the color of the red area within the activation map, the more important that area is deemed for decision-making. Firstly, we focus on visualizing the DenseNet121-DSC model, which is compared to ResNet18 and DenseNet121: two commonly used models with the best performance. Figure 16 shows the comparison.
Figure 16 shows that the concentration of focus areas for all three models is within the lower left corner of the SST image, an area with low-frequency where both the blind zone and defect signals are present in the time domain. However, these models’ red areas are slightly focused toward the upper right with only a partially yellow-green area near the lower boundary. This area is the primary area of concentration for the blind zone and defect signal, indicating that it is important for these models but not weighted heavily. Out of the three models, only ResNet18 focuses on PDBZ and GPD located in the lower left corner and are physically significant near the lower boundary.
Finally, the same five pictures are utilized to visualize three models with different attention mechanisms, and the results are presented accordingly.
Figure 17 reveals that the focus areas for Dense-DSC-0 and Dense-DSC-SE are similar to that of DenseNet121. While the area of the blind zone signal and defect signal is also observed, they are depicted only in yellow and green with the overall red area leaning towards the upper right. Notably, the focus area for Dense-DSC-CBAM lies close to the lower boundary, signifying its emphasis on low-frequency regions. The red range encompasses the entire area from the blind zone signal to the defect signal outside the blind zone. Furthermore, the yellow-green transition area for Dense-DSC-CBAM is narrower than that seen in other models, which highlights the effectiveness of the CBAM module in enhancing the model’s focus on critical time-frequency feature information of SST and refining the model’s focus area.
Figure 18 shows the focus areas of the Dense-DSC-CBAM model in each module. From front to back, the resolution of the thermal map gradually decreases from 64 × 64 to 32 × 32, 16 × 16, and 8 × 8, so the red area becomes larger and larger. Our area of interest is in the low-frequency region in the lower left corner where near-surface defects often appear.
As can be seen from Figure 18, the shallow convolution layer for feature extraction is focused on the key information of low-frequency positions. With the continuous backward transmission of features, the focus area of the convolution layer of the third dense block gradually expands. As for the fourth dense block, its focus area has deviated from the feature area containing critical information about the defect signal, which is due to the feature reusability of the DenseNet structure. However, the CBAM module redistributes the weight of space and channels, returning the focus area of the entire model to true key feature areas.
The results indicate that the defect detection method based on SST can accurately detect and locate the defects, and the proposed Dense-DSC-CBAM model is lightweight and accurate in identifying the defect type. The Dense-DSC-CBAM model is very effective in capturing key time-frequency information. Compared with VGG and ResNet, it is evident that a high level of accuracy does not necessarily guarantee its effectiveness in image classification tasks with physical significance. Achieving optimal results in such tasks requires consideration of a range of indexes beyond conventional metrics like accuracy, F1-score, and FLOPs. It is equally important to assess the model’s decision-making basis, which involves analyzing the focus area and whether it appropriately targets the most critical information. Evaluating a model’s interpretability is essential for assessing its performance.

6. Conclusions

This paper investigated the ultrasonic testing of near-surface defects in the polyethylene pipeline hot-melt butt welds. Firstly, a novel method for detecting and locating near-surface defects through SST was proposed. Then, a lightweight CNN model was designed for identifying the type of near-surface defects, employing the DenseNet structure as the backbone network and combining DSC and CBAM. The combination of these two techniques has facilitated the detection, localization, and identification of both near-surface defects and general defects. Here are three conclusions that can be drawn:
  • The SST, which combines CWT and rearrangement algorithms, achieves a more refined time-frequency distribution of the near-surface defect signal through energy concentration. By extracting the maximum of time-frequency distribution of the near-surface defect area, clearer instantaneous energy changes can be obtained for locating the defect. Significantly, the SST’s notable benefits extend beyond the detection of near-surface defects and can be applied to a broader range of similar overlapping signal analysis problems.
  • The proposed model is capable of achieving accurate identification of defects regardless of whether they overlap with blind zone signals. Moreover, the model features significantly lower parameter quantity, computational complexity, and model size than classical models, including ResNet18, VGG16, and Inception-v3. Additionally, it also outperforms lightweight models like SqueezeNet, ShuffleNet-v2, and MobileNet-v3-small in terms of accuracy. This suggests that many large models contain an array of redundant parameters.
  • The visualization results have demonstrated that the model excels in capturing the essential time-frequency information compared to other models, making it a reliable choice. Meanwhile, the visualization has also revealed that even models showcasing excellent performance may miss out on vital information areas. Therefore, researchers must conduct an interpretable analysis of the model in addition to traditional evaluation indices, particularly when analyzing images with physical significance. Such analysis will help them investigate the reliability of the model’s underlying judgment-making process.
This study conducted the detection and identification of typical volumetric defects and planar defects within and outside the transducer’s blind zone, but further consideration of defect size, other defect types and other pipeline materials could yield valuable insights into this field. For example, the focus area is becoming broader than the low-frequency range in deep dense layers (0-5MHz), which already encompasses a frequency of 10MHz. This prompts the question of whether there are any changes occurring near 10MHz that are related to the presence of defects, but are currently unknown to us. This is also a necessary area of investigation for future studies. The error of the model mainly comes from pure manual operation when collecting signals. In this case, if there is a change in the handheld posture, the waveform will be inconsistent, so the defect position can only be obtained from the post-processing or defect positioning method, resulting in deviation. If mechanical devices, such as stepper motors, can be used to control the distance of each movement, then it is easier to achieve the accurate labeling of defect positions. Finally, dataset expansion, movement step control and model performance improvement still need to be carried out.

Author Contributions

Conceptualization, C.C., H.H. and M.S.; Data curation, C.C. and S.Z.; Formal analysis, C.C. and S.Z.; Funding acquisition, H.H. and M.S.; Investigation, C.C. and S.Z.; Methodology, C.C. and S.Z.; Project administration, M.S.; Resources, H.H. and M.S.; Software, C.J.; Supervision, M.S.; Validation, C.J. and Z.Z.; Visualization, Z.Z.; Writing—original draft, C.C.; Writing—review & editing, S.Z. All authors have read and agreed to the published version of the manuscript.

Funding

This work was funded by the National Natural Science Foundation of China (Grant No. 51776129), and the National Science and Technology Major Project of China (Grant No. 2017-V-0016-0069).

Institutional Review Board Statement

Not applicable.

Informed Consent Statement

Not applicable.

Data Availability Statement

The data that support the findings of this study are available from the corresponding author upon reasonable request.

Acknowledgments

The authors would like to thank Shanghai Haijiao Electromechanical Engineering Co., Ltd. for providing PE samples in this work.

Conflicts of Interest

The authors declare no conflict of interest.

References

  1. Bruce, H.; Jacek, J. Ultrasonic hysteresis absorption in polymers. J. Appl. Phys. 1972, 43, 4304–4312. [Google Scholar]
  2. Huang, Y.; Turner, J.A.; Song, Y.; Ni, P.; Li, X. Enhanced ultrasonic detection of near-surface flaws using transverse-wave backscatter. Ultrasonics 2019, 98, 20–27. [Google Scholar] [CrossRef] [PubMed]
  3. Hernández, Á.; Ureña, J.; Mazo, M.; García, J.; Jiménez, A.; Álvarez, F.J. Reduction of blind zone in ultrasonic transmitter/receiver transducers. Sens. Actuator A Phys. 2007, 133, 96–103. [Google Scholar] [CrossRef]
  4. Qi, F.; Chen, J.J.; Wang, R.T. The opposite phase superposition method of decreasing blind zone in ultrasonic detection. Tech. Acoust. 2011, 30, 325–329. [Google Scholar]
  5. Wang, T.; Kobayashi, T.; Lee, C. Micromachined piezoelectric ultrasonic transducer with ultra-wide frequency bandwidth. Appl. Phys. Lett. 2015, 106, 013501. [Google Scholar] [CrossRef]
  6. Drai, R.; Sellidj, F.; Khelil, M.; Benchaala, A. Elaboration of some signal processing algorithms in ultrasonic techniques: Application to materials NDT. Ultrasonics 2000, 38, 503–507. [Google Scholar] [CrossRef]
  7. Lu, X.M.; Reid, J.M.; Soetanto, K.; Weng, L.; Genis, V. Cepstrum technique for multilayer structure characterization. Ultrason. Symp. Proc. 1990, 3, 1571–1574. [Google Scholar]
  8. Bilgutay, N.M.; Newhouse, V.L.; Furgason, E.S. Flaw visibility enhancement by split spectrum processing techniques. In Proceedings of the 1981 IEEE Ultrasonics Symposium, Chicago, IL, USA, 14–16 October 1981. [Google Scholar]
  9. Bettayeb, F.; Haciane, S.; Aoudia, S. Improving the time resolution and signal noise ratio of ultrasonic testing of welds by the wavelet packet. NDT&E Int. 2005, 38, 478–484. [Google Scholar]
  10. Li, X.; Li, X.B.; Liang, W.; Chen, L. ℓ0−norm regularized minimum entropy deconvolution for ultrasonic NDT & E. NDT&E Int. 2012, 47, 80–87. [Google Scholar]
  11. Li, M.; Li, X.; Gao, C.X.; Song, Y.N. Acoustic microscopy signal processing method for detecting near-surface defects in metal materials. NDT&E Int. 2019, 103, 130–144. [Google Scholar]
  12. Chapon, A.; Pereira, D.; Toews, M.; Belanger, P. Deconvolution of ultrasonic signals using a convolutional neural network. Ultrasonics 2021, 111, 106312. [Google Scholar] [CrossRef]
  13. Ermolov, V.; Stor-Pellinen, J.; Luukkala, M. Analog pulse compression system for real-time ultrasonic non-destructive testing. Ultrasonics 1996, 34, 655–660. [Google Scholar] [CrossRef]
  14. Fritsch, C.; Veca, A. Detecting small flaws near the interface in pulse-echo. Ultrasonics 2004, 42, 797–801. [Google Scholar] [CrossRef]
  15. Song, S. A new signal processing technique for detecting flaw echoes close to the material surface in ultrasonic NDT. Russ. J. Nondestruct. Test. 2010, 46, 69–74. [Google Scholar] [CrossRef]
  16. Guan, S.Y.; Wang, X.K.; Hua, L.; Li, L. Quantitative ultrasonic testing for near-surface defects of large ring forgings using feature extraction and GA-SVM. Appl. Acoust. 2021, 173, 107714. [Google Scholar] [CrossRef]
  17. Zilidou, M.; Smith, R.A.; Wilcox, P.D. Suppression of front and back surface reflections in ultrasonic analytic-signal responses from composites. Ultrasonics 2022, 126, 106815. [Google Scholar] [CrossRef]
  18. Daubechies, I.; Lu, J.; Wu, H.T. Synchrosqueezed wavelet transforms: An empirical mode decomposition-like tool. Appl. Comput. Harmon. Anal. 2011, 30, 243–261. [Google Scholar] [CrossRef]
  19. Hinton, G.E.; Salakhutdinov, R.R. Reducing the Dimensionality of Data with Neural Networks. Science 2006, 313, 504–507. [Google Scholar] [CrossRef]
  20. Mei, S.; Wang, Y.; Wen, G. Automatic Fabric Defect Detection with a Multi-Scale Convolutional Denoising Autoencoder Network Model. Sensors 2018, 18, 1064. [Google Scholar] [CrossRef]
  21. He, T.; Liu, Y.; Yu, Y.; Zhao, Q.; Hu, Z. Application of deep convolutional neural network on feature extraction and detection of wood defects. Measurement 2020, 152, 107357. [Google Scholar] [CrossRef]
  22. Li, W.; Zhang, L.; Wu, C.; Cui, Z.; Niu, C. A new lightweight deep neural network for surface scratch detection. Int. J. Adv. Manuf. Technol. 2022, 123, 1999–2015. [Google Scholar] [CrossRef] [PubMed]
  23. Zhu, H.; Wang, Y.; Fan, J. IA-Mask R-CNN: Improved Anchor Design Mask R-CNN for Surface Defect Detection of Automotive Engine Parts. Appl. Sci. 2022, 12, 6633. [Google Scholar] [CrossRef]
  24. Munir, N.; Kim, H.J.; Park, J.; Song, S.J.; Kang, S.S. Convolutional neural network for ultrasonic weldment flaw classification in noisy conditions. Ultrasonics 2019, 94, 74–81. [Google Scholar] [CrossRef] [PubMed]
  25. Virupakshappa, K.; Marino, M.; Oruklu, E. A Multi-Resolution Convolutional Neural Network Architecture for Ultrasonic Flaw Detection. In Proceedings of the IEEE International Ultrasonics Symposium, Kobe, Japan, 22–25 October 2018. [Google Scholar]
  26. Soński, M.; Schabowicz, K.; Krawczyk, E. Detection of Flaws in Concrete Using Ultrasonic Tomography and Convolutional Neural Networks. Materials 2020, 13, 1557. [Google Scholar] [CrossRef] [PubMed]
  27. Yan, Y.; Liu, D.; Gao, B.; Tian, G.Y.; Cai, Z. A Deep Learning-Based Ultrasonic Pattern Recognition Method for Inspecting Girth Weld Cracking of Gas Pipeline. IEEE Sens. J. 2020, 20, 7997–8006. [Google Scholar] [CrossRef]
  28. Alavijeh, M.S.; Scott, R.; Seviaryn, F.; Maev, R.G. Using machine learning to automate ultrasound-based classification of butt-fused joints in medium-density polyethylene gas pipes. J. Acoust. Soc. Am. 2021, 150, 561–572. [Google Scholar] [CrossRef]
  29. Zhao, J.; Hu, T.; Zhang, Q. A Wavelet Packet Transform and Convolutional Neural Network Method Based Ultrasonic Detection Signals Recognition of Concrete. Sensors 2022, 22, 3863. [Google Scholar] [CrossRef]
  30. Shi, Y.; Xu, W.; Zhang, J.; Li, X. Automated Classification of Ultrasonic Signal via a Convolutional Neural Network. Appl. Sci. 2022, 12, 4179. [Google Scholar] [CrossRef]
  31. Huang, G.; Liu, Z.; Laurens, V.D.M.; Weinberger, K.Q. Densely Connected Convolutional Networks. In Proceedings of the IEEE Conference on Computer Vision and Pattern Recognition (CVPR), Honolulu, HI, USA, 21–26 July 2017; pp. 2261–2269. [Google Scholar]
  32. Howard, A.G.; Zhu, M.; Chen, B.; Kalenichenko, D.; Wang, W.; Weyand, T.; Andreetto, M.; Adam, H. MobileNets: Efficient Convolutional Neural Networks for Mobile Vision Applications. In Proceedings of the IEEE Conference on Computer Vision and Pattern Recognition (CVPR), Honolulu, HI, USA, 21–26 July 2017. [Google Scholar]
  33. Woo, S.; Park, J.; Lee, J.Y.; Kweon, I.S. CBAM: Convolutional Block Attention Module. In Proceedings of the 2018 IEEE/CVF Conference on Computer Vision and Pattern Recognition (CVPR), Salt Lake City, UT, USA, 18–23 June 2018; p. 11211. [Google Scholar]
  34. Potter, R.K.; Steinberg, J.C. Toward the Specification of Speech. J. Acoust. Soc. Am. 1950, 22, 807–820. [Google Scholar] [CrossRef]
  35. Morlet, J.; Arens, G.; Fourgeau, E.; Glard, D. Wave propagation and sampling theory-Part I: Complex signal and scattering in multilayered media. Geophysics 1982, 47, 203–221. [Google Scholar] [CrossRef]
  36. Morlet, J.; Arens, G.; Fourgeau, E.; Glard, D. Wave propagation and sampling theory-Part II: Sampling theory and complex waves. Geophysics 1982, 47, 222–236. [Google Scholar] [CrossRef]
  37. Ville, J. Théorie et applications de la notion de signal analytique. Cables Transm. 1948, 2, 61–74. [Google Scholar]
  38. Wigner, E. On the Quantum Correction for Thermodynamic Equilibrium. Phys. Rev. 1932, 40, 749. [Google Scholar] [CrossRef]
  39. Stockwell, R.G.; Mansinha, L.; Lowe, R.P. Localization of the complex spectrum: The S transform. IEEE Trans. Signal Process. 1996, 44, 998–1001. [Google Scholar] [CrossRef]
  40. Gabor, D. Theory of communication. J. Inst. Electron. Eng. 1946, 93, 429–457. [Google Scholar] [CrossRef]
  41. Kodera, K.; Villedary, C.D.; Gendrin, R. A new method for the numerical analysis of nonstationary signals. Phys. Earth Planet. Inter. 1976, 12, 142–150. [Google Scholar] [CrossRef]
  42. Oberlin, T.; Meignen, S.; Perrier, V. The Fourier-based synchrosqueezing transform. In Proceedings of the 2014 IEEE International Conference on Acoustics, Speech and Signal Processing (ICASSP), Florence, Italy, 4–9 May 2014; pp. 315–319. [Google Scholar]
  43. Huang, Z.; Zhang, J.; Zhao, T.; Sun, Y. Synchrosqueezing S-transform and its application in seismic spectral decomposition. IEEE Trans. Geosci. Remote Sens. 2016, 54, 817–825. [Google Scholar] [CrossRef]
  44. Wang, Q.; Gao, J.; Liu, N.; Jiang, X. High-resolution seismic time-frequency analysis using the synchrosqueezing generalized s-transform. IEEE Geosci. Remote Sens. Lett. 2018, 15, 374–378. [Google Scholar] [CrossRef]
  45. Daubechies, I.; Maes, S. A Nonlinear Squeezing of the Continuous Wavelet Transform Based on Auditory Nerve Models. In Wavelets in Medicine and Biology, 1st ed.; Routledge: London, UK, 1996; pp. 527–546. [Google Scholar]
  46. Kingma, D.P.; Ba, J. Adam: A Method for Stochastic Optimization. In Proceedings of the International Conference on Learning Representations (ICLR) 2014, Banff, AB, Canada, 14–16 April 2014. [Google Scholar]
  47. Glorot, X.; Bordes, A.; Bengio, Y. Deep Sparse Rectifier Neural Networks. In Proceedings of the Fourteenth International Conference on Artificial Intelligence and Statistics, Montreal, ON, Canada, 20–25 August 1995. [Google Scholar]
  48. He, K.M.; Zhang, X.Y.; Ren, S.Q.; Sun, J. Deep Residual Learning for Image Recognition. In Proceedings of the 2016 IEEE Conference on Computer Vision and Pattern Recognition, Las Vegas, NV, USA, 27–30 June 2016. [Google Scholar]
  49. Simonyan, K.; Zisserman, A. Very Deep Convolutional Networks for Large-Scale Image Recognition. In Proceedings of the 2015 International Conference on Learning Representations, San Diego, CA, USA, 7–9 May 2015. [Google Scholar]
  50. Szegedy, C.; Vanhoucke, V.; Ioffe, S.; Shlens, J.; Wojna, Z. Rethinking the Inception Architecture for Computer Vision. In Proceedings of the 2016 IEEE Conference on Computer Vision and Pattern Recognition, Las Vegas, NV, USA, 27–30 June 2016. [Google Scholar]
  51. Wang, Q.; Wu, B.; Zhu, P.; Li, P.; Zuo, W.; Hu, Q. ECA-Net: Efficient Channel Attention for Deep Convolutional Neural Networks. In Proceedings of the 2020 IEEE/CVF Conference on Computer Vision and Pattern Recognition (CVPR), Seattle, WA, USA, 13–19 June 2020; pp. 11531–11539. [Google Scholar]
  52. Hu, J.; Shen, L.; Albanie, S.; Sun, G.; Wu, E. Squeeze-and-Excitation Networks. In Proceedings of the 2020 IEEE/CVF Conference on Computer Vision and Pattern Recognition (CVPR), Seattle, WA, USA, 13–19 June 2020; Volume 42, pp. 2011–2023. [Google Scholar]
  53. Iandola, F.N.; Moskewicz, M.W.; Ashraf, K.; Han, S.; Dally, W.J.; Keutzer, K. SqueezeNet: AlexNet-level accuracy with 50x fewer parameters and <0.5MB model size. In Proceedings of the 2016 IEEE Conference on Computer Vision and Pattern Recognition (CVPR), Las Vegas, NV, USA, 27–30 June 2016. [Google Scholar]
  54. Ma, N.; Zhang, X.; Zheng, H.T.; Sun, J. ShuffleNet V2: Practical Guidelines for Efficient CNN Architecture Design. In Proceedings of the European Conference on Computer Vision (ECCV), Munich, Germany, 8–14 September 2018; pp. 122–138. [Google Scholar]
  55. Howard, A.; Sandler, M.; Chu, G.; Chen, L.C.; Chen, B.; Tan, M.; Wang, W.; Zhu, Y.; Pang, R.; Vasudevan, V.; et al. Searching for MobileNetV3. In Proceedings of the 2019 IEEE/CVF International Conference on Computer Vision Workshop (ICCVW), Seoul, Republic of Korea, 27–28 October 2019; pp. 1314–1324. [Google Scholar]
  56. Selvaraju, R.R.; Cogswell, M.; Das, A.; Vedantam, R.; Parikh, D.; Batra, D. Grad-CAM: Visual Explanations from Deep Networks via Gradient-Based Localization. Int. J. Comput. Vis. 2020, 128, 336–359. [Google Scholar] [CrossRef]
Figure 1. Ultrasonic signals of five types of defects (blue dashed line represents the blind zone signal, and red dashed line represents the defect signal).
Figure 1. Ultrasonic signals of five types of defects (blue dashed line represents the blind zone signal, and red dashed line represents the defect signal).
Applsci 13 05717 g001
Figure 2. Ultrasonic signals before and after data enhancement.
Figure 2. Ultrasonic signals before and after data enhancement.
Applsci 13 05717 g002
Figure 3. Flowchart of near-surface defect detection (right) and identification (left).
Figure 3. Flowchart of near-surface defect detection (right) and identification (left).
Applsci 13 05717 g003
Figure 4. CWT and SST results of the ND signal and zoomed view of the blind zone: (a) original signal; (b) zoomed signal of the blind zone; (c) maximum curves of the blind zone after CWT and SST; (d) CWT of the signal; (e) zoomed CWT of the blind zone; (f) zoomed CWT-3D of the blind zone; (g) SST of the signal; (h) zoomed SST of the blind zone; and (i) zoomed SST-3D of the blind zone.
Figure 4. CWT and SST results of the ND signal and zoomed view of the blind zone: (a) original signal; (b) zoomed signal of the blind zone; (c) maximum curves of the blind zone after CWT and SST; (d) CWT of the signal; (e) zoomed CWT of the blind zone; (f) zoomed CWT-3D of the blind zone; (g) SST of the signal; (h) zoomed SST of the blind zone; and (i) zoomed SST-3D of the blind zone.
Applsci 13 05717 g004
Figure 5. CWT and SST results of the GPD signal and zoomed view of the defect area: (a) original signal; (b) zoomed signal of the defect area; (c) maximum curves of the defect area after CWT and SST; (d) CWT of the signal; (e) zoomed CWT of the defect area; (f) zoomed CWT-3D of the defect area; (g) SST of the signal; (h) zoomed SST of the defect area; and (i) zoomed SST-3D of the defect area.
Figure 5. CWT and SST results of the GPD signal and zoomed view of the defect area: (a) original signal; (b) zoomed signal of the defect area; (c) maximum curves of the defect area after CWT and SST; (d) CWT of the signal; (e) zoomed CWT of the defect area; (f) zoomed CWT-3D of the defect area; (g) SST of the signal; (h) zoomed SST of the defect area; and (i) zoomed SST-3D of the defect area.
Applsci 13 05717 g005
Figure 6. CWT and SST results of the GVD signal and zoomed view of the defect area: (a) original signal; (b) zoomed signal of the defect area; (c) maximum curves of the defect area after CWT and SST; (d) CWT of the signal; (e) zoomed CWT of the defect area; (f) zoomed CWT-3D of the defect area; (g) SST of the signal; (h) zoomed SST of the defect area; and (i) zoomed SST-3D of the defect area.
Figure 6. CWT and SST results of the GVD signal and zoomed view of the defect area: (a) original signal; (b) zoomed signal of the defect area; (c) maximum curves of the defect area after CWT and SST; (d) CWT of the signal; (e) zoomed CWT of the defect area; (f) zoomed CWT-3D of the defect area; (g) SST of the signal; (h) zoomed SST of the defect area; and (i) zoomed SST-3D of the defect area.
Applsci 13 05717 g006
Figure 7. CWT and SST results of the PDBZ signal and zoomed view of the defect area: (a) original signal; (b) zoomed signal of the defect area; (c) maximum curves of the defect area after CWT and SST; (d) CWT of the signal; (e) zoomed CWT of the defect area; (f) zoomed CWT-3D of the defect area; (g) SST of the signal; (h) zoomed SST of the defect area; and (i) zoomed SST-3D of the defect area.
Figure 7. CWT and SST results of the PDBZ signal and zoomed view of the defect area: (a) original signal; (b) zoomed signal of the defect area; (c) maximum curves of the defect area after CWT and SST; (d) CWT of the signal; (e) zoomed CWT of the defect area; (f) zoomed CWT-3D of the defect area; (g) SST of the signal; (h) zoomed SST of the defect area; and (i) zoomed SST-3D of the defect area.
Applsci 13 05717 g007
Figure 8. CWT and SST results of the VDBZ signal and zoomed view of the defect area: (a) original signal; (b) zoomed signal of the defect area; (c) maximum curves of the defect area after CWT and SST; (d) CWT of the signal; (e) zoomed CWT of the defect area; (f) zoomed CWT-3D of the defect area; (g) SST of the signal; (h) zoomed SST of the defect area; and (i) zoomed SST-3D of the defect area.
Figure 8. CWT and SST results of the VDBZ signal and zoomed view of the defect area: (a) original signal; (b) zoomed signal of the defect area; (c) maximum curves of the defect area after CWT and SST; (d) CWT of the signal; (e) zoomed CWT of the defect area; (f) zoomed CWT-3D of the defect area; (g) SST of the signal; (h) zoomed SST of the defect area; and (i) zoomed SST-3D of the defect area.
Applsci 13 05717 g008
Figure 9. Structure of the DenseNet model.
Figure 9. Structure of the DenseNet model.
Applsci 13 05717 g009
Figure 10. Structure diagram of DSC.
Figure 10. Structure diagram of DSC.
Applsci 13 05717 g010
Figure 11. Structure diagram of CBAM.
Figure 11. Structure diagram of CBAM.
Applsci 13 05717 g011
Figure 12. Structure of near-surface defect identification model.
Figure 12. Structure of near-surface defect identification model.
Applsci 13 05717 g012
Figure 13. Impact of different network structures (left) and learning rates (right) on model accuracy.
Figure 13. Impact of different network structures (left) and learning rates (right) on model accuracy.
Applsci 13 05717 g013
Figure 14. Curves of accuracy and loss during training of different models.
Figure 14. Curves of accuracy and loss during training of different models.
Applsci 13 05717 g014
Figure 15. Curves of accuracy and loss during training of models with different attention mechanisms.
Figure 15. Curves of accuracy and loss during training of models with different attention mechanisms.
Applsci 13 05717 g015
Figure 16. Focus areas of ResNet18, DenseNet121, and DenseNet121-DSC.
Figure 16. Focus areas of ResNet18, DenseNet121, and DenseNet121-DSC.
Applsci 13 05717 g016
Figure 17. Focus areas of models with different attention mechanisms.
Figure 17. Focus areas of models with different attention mechanisms.
Applsci 13 05717 g017
Figure 18. Focus areas of the Dense-DSC-CBAM model in each module.
Figure 18. Focus areas of the Dense-DSC-CBAM model in each module.
Applsci 13 05717 g018
Table 1. Number of signals in the original dataset and the enhanced dataset.
Table 1. Number of signals in the original dataset and the enhanced dataset.
DefectsOriginal DatasetEnhanced Dataset
Planar defects in the blind zone (PDBZ)184200
Volumetric defects in the blind zone (VDBZ)166200
General planar defects (GPD)157200
General volumetric defects (GVD)132200
No defects (ND)80200
Total7191000
Table 2. Confusion matrix.
Table 2. Confusion matrix.
True ClassPredicted Class
PositiveNegative
PositiveTPFN
NegativeFPTN
Table 3. Evaluation metrics of common models.
Table 3. Evaluation metrics of common models.
ModelsAccuracy/%Loss/1 × 10−3F1-Score/%ParametersModel Size/MBFLOPs
ResNet18100.001.12100.0011,179,07742.702.38 G
ResNet5098.500.2998.5023,518,27790.005.38 G
VGG1698.5044.7398.49138,357,544527.8120.21 G
Inception-v398.501.2398.5021,795,81393.293.86 G
DenseNet121100.000.83100.006,958,98127.173.76 G
Dense121-DSC100.001.75100.005,134,53820.302.38 G
Table 4. Evaluation metrics of lightweight models and models with different structures.
Table 4. Evaluation metrics of lightweight models and models with different structures.
ModelsAccuracy/%LossF1-Score/%ParametersModel Size/MBFLOPs
ShuffleNet_v291.500.1091.642,483,7499.70395.3 M
SqueezeNet74.500.9775.11737,9892.82979.95 M
MobileNet_v3_small90.001.2290.031,522,9815.9676.64 M
Dense-DSC-097.000.0397.00245,0551.11368.01 M
Dense-DSC-SE98.500.1398.51248,5511.13368.01 M
Dense-DSC-ECA97.000.0596.99245,0601.12368.01 M
Dense-DSC-SAM99.000.0499.00245,0741.11368.01 M
Dense-DSC-CAM97.500.0497.51252,0471.14368.02 M
Dense-DSC-CBAM99.500.0599.50252,0661.14368.02 M
K nearest neighbors [28]76.50-74.40---
SVM [28]79.40-77.70---
Random forest [28]82.60-79.40---
CNN [28]87.00-87.40---
LSTM [28]81.70-81.00---
BiLSTM [28]80.10-79.70---
WPT-CNN [29]99.78-99.76---
CNN [30]98.20-----
Disclaimer/Publisher’s Note: The statements, opinions and data contained in all publications are solely those of the individual author(s) and contributor(s) and not of MDPI and/or the editor(s). MDPI and/or the editor(s) disclaim responsibility for any injury to people or property resulting from any ideas, methods, instructions or products referred to in the content.

Share and Cite

MDPI and ACS Style

Chen, C.; Hou, H.; Su, M.; Zhang, S.; Jiao, C.; Zhao, Z. Near-Surface Defects Identification of Polyethylene Pipes Based on Synchro-Squeezing Transform and Deep Learning. Appl. Sci. 2023, 13, 5717. https://doi.org/10.3390/app13095717

AMA Style

Chen C, Hou H, Su M, Zhang S, Jiao C, Zhao Z. Near-Surface Defects Identification of Polyethylene Pipes Based on Synchro-Squeezing Transform and Deep Learning. Applied Sciences. 2023; 13(9):5717. https://doi.org/10.3390/app13095717

Chicago/Turabian Style

Chen, Chaolei, Huaishu Hou, Mingxu Su, Shiwei Zhang, Chaofei Jiao, and Zhifan Zhao. 2023. "Near-Surface Defects Identification of Polyethylene Pipes Based on Synchro-Squeezing Transform and Deep Learning" Applied Sciences 13, no. 9: 5717. https://doi.org/10.3390/app13095717

APA Style

Chen, C., Hou, H., Su, M., Zhang, S., Jiao, C., & Zhao, Z. (2023). Near-Surface Defects Identification of Polyethylene Pipes Based on Synchro-Squeezing Transform and Deep Learning. Applied Sciences, 13(9), 5717. https://doi.org/10.3390/app13095717

Note that from the first issue of 2016, this journal uses article numbers instead of page numbers. See further details here.

Article Metrics

Back to TopTop