Next Article in Journal
Near-Surface Defects Identification of Polyethylene Pipes Based on Synchro-Squeezing Transform and Deep Learning
Next Article in Special Issue
Water and Sediment Quality Changes in Mangrove Systems with Shrimp Farms in the Northern Ecuadorean Coast
Previous Article in Journal
Performance Evaluation of Steel Slag Asphalt Mixtures for Sustainable Road Pavement Rehabilitation
Previous Article in Special Issue
Is the Slag Heap of a Former Ferrochromium Plant a Significant Environmental Hazard?
 
 
Font Type:
Arial Georgia Verdana
Font Size:
Aa Aa Aa
Line Spacing:
Column Width:
Background:
Article

Assessing the Efficacy of Coagulation (Al3+) and Chlorination in Water Treatment Plant Processes: Inactivating Chironomid Larvae for Improved Tap Water Quality

1
Department of Environmental Science, Keimyung University, Daegu 42601, Republic of Korea
2
National Research and Innovation Agency, Central Jakarta 10340, Indonesia
*
Authors to whom correspondence should be addressed.
Appl. Sci. 2023, 13(9), 5715; https://doi.org/10.3390/app13095715
Submission received: 5 April 2023 / Revised: 3 May 2023 / Accepted: 4 May 2023 / Published: 5 May 2023
(This article belongs to the Special Issue Aquatic Toxicology and Aquaculture: Questions and Advances)

Abstract

In response to the finding of chironomid larvae in tap water, South Korea’s water treatment system has stepped up water quality monitoring. However, due to the challenging nature of larval behavior, effective elimination remains difficult despite the use of various purification techniques such as coagulation, sedimentation, filtration, and disinfection. Based on it, the aim of this study is to evaluate the effectiveness of coagulation and chlorination in inactivating chironomid larvae and investigate their behavior. The coagulation experiment tested how the behavior of the larvae changed in water with a high turbidity level of ±100 mg/L and 2 mg/L Al3+ as a coagulant, compared to water with a lower turbidity level of ±30 mg/L and 1 mg/L of Al3+ as a coagulant. The larvae were exposed to various doses of chlorine (0.5–20 mg/L as Cl) in 500 mL beaker glasses. The behavioral activity of the larvae was observed at different time points for 5 days. It was found that chironomid larvae exhibit different responses to exposure to coagulant and chlorine, with coagulation causing the formation of flocs that cover the larval body as a protective measure. Conversely, exposure to chlorine causes a decrease in activity and growth, leading to the death of the larvae and subsequent melting. The results showed that the first instar larvae dead after 48 h of exposure to coagulation treatment, while the first instar larvae exposed to chlorination experienced mortality after a mere 5 min of exposure to 10–20 mg/L as Cl. The larvae can still grow and transform into pupae and adults, especially during the third and fourth instars, even after exposure to coagulant and chlorine with low dosage. These findings suggest that the floc generated during coagulation must be thoroughly cleaned, as it may contain larvae that can persist and develop further. Furthermore, the presence of larvae during the chlorination process highlights the need for alternative, more effective oxidants to be utilized in place of the conventional chlorine treatment.

1. Introduction

Chironomid larvae are a highly adaptable and widespread species that can thrive in almost any aquatic environment where there is an abundant supply of phytoplankton and zooplankton to serve as their food source [1]. Their ability to adapt to a wide range of aquatic environments is largely due to their unique life cycle, which consists of four distinct stages: the egg, larva, pupae, and adult stages. During the larval stage, chironomid larvae undergo four juvenile stages, known as instars, during which they grow in size and complexity. The first instar larvae are small and planktonic, and as they progress through the second, third, and fourth instar, they grow in size and develop more specialized body parts, such as a head capsule and prolegs, which allow them to move and feed more efficiently. Within a few days of completing their fourth instar, chironomid larvae emerge as adults, with males and females meeting to mate and begin the life cycle anew [2]. Chironomid larvae have the ability to thrive in water sources used for water treatment due to their wide distribution and rapid life cycle. As a result, these larvae may infiltrate the clean water treatment system, ultimately leading to their presence in tap water. Several significant incidents of chironomid larvae contamination in water treatment systems have been reported in various countries, including the United Kingdom, the United States, and China [3]. Recently, the detection of macroinvertebrates, specifically chironomid larvae, in tap water supplied by Korean water treatment facilities in July 2020 has prompted apprehension. A nationwide investigation that ensued following the initial discovery revealed that chironomid larvae were present in seven out of the 49 sites inspected [4]. The presence of these organisms in the water supply suggests that there may be issues with the water treatment process, as larvae can easily penetrate sand filters and end up in waterworks reservoirs [5]. Usually, the larvae are found in small numbers, visible to the naked eye, and have an aesthetic impact on tap water quality.
Water treatment plants use various purification methods to remove microorganisms, including coagulation with chemical additives, sedimentation, and filtration. Additionally, some water treatment plants also use disinfection processes, such as chlorination or ultraviolet irradiation, to further ensure the safety of drinking water [6]. Currently, there is a lack of research investigating the efficacy of the coagulation process in independently inactivating chironomid larvae. However, several studies have shown that chironomid larvae are resistant to inactivation by free chlorine at standard doses. A previous study has reported that chlorine dioxide (ClO2) is used in water treatment processes as it is a potent oxidant and disinfectant at relatively low concentrations. However, if not carefully controlled, its application can result in untreated chlorite or excessive chlorine levels in treated water, leading to the formation of chlorate or chlorinated disinfection byproducts. Studies on chlorine dioxide have also reported issues with taste and odor [3]. Several previous studies have conducted experiments to inactivate chironomid larvae using a combination of coagulation with other oxidizing agents. Sun et al. [3] revealed that the coagulation process can inactivate larvae with an efficiency rate of 75.5%. Substituting chlorine with chlorine dioxide can significantly inactivate chironomid larvae at a dose of 24.8 mg min/L. Sun and Cui [7] experimented with inactivating chironomid larvae, which showed that exposure to 8 mg/L of chlorine could inactivate larvae for 30 min. Another method used to inactivate larvae is Bacillus thuringiensis subsp. Israelensis (Bti), where 100% inactivation of the first instar larvae of chironomid was obtained. The required Bti concentration was 0.5 mg/L, while 1.0 mg/L was required due to the high resistance of the fourth instar larvae of chironomid [8]. Although these studies successfully demonstrated their ability to inactivate larvae, most water treatment plants still use chlorine as an oxidant to kill bacteria and other microorganisms. However, there has been no research conducted on the relationship between the process of inactivating larvae and their behavioral response. Understanding the behavioral response of chironomid larvae during the inactivation process is essential for developing effective strategies to ensure the production of clean tap water. Therefore, the purpose of this study is to evaluate and compare the efficacy of coagulation and chlorination in inactivating chironomid larvae in water treatment plants. Additionally, this study seeks to investigate the behavior of chironomid larvae when exposed to commonly used coagulants and chlorine. The results of this study are expected to provide valuable information regarding the optimization of coagulation and chlorination processes for ensuring the quality and quantity of clean water that meets consumer needs.

2. Materials and Methods

2.1. Larvae Preparation

The chironomid larvae were found near the Nakdong River or in the drainage system, where they form domestic wastewater (Figure S1). The larvae were kept in a plastic container and covered with mesh fabric filled with fine sand, constant oxygen was pumped into the container using an aerator, and the water temperature was maintained at 28 ± 1 °C, which is an average temperature for the summer season in Daegu, Republic of Korea. In order to maintain the presence of larva in the container, floating dead adults and exuviae were cleaned from the surface water, and any decaying material was brushed every 2 days. In addition, larvae were fed with tetramin fish food suspension daily. Larvae growth can be identified by observing the morphology related to body length and head width. The average development time of larvae stage with sufficient food supply is approximately 11 days with a minimum and maximum of 8 and 14 days, respectively (Table 1) [9]. Before the experiment, each larvae stage was selected manually using the plastic pasteur pipettes and placed in the beaker (Figure 1). Since the larvae growth is longer under resource-limited conditions, there was no change in the larval stage development at 3–5 days of the experiment [9,10].

2.2. Preparation of Synthetic Turbid Water and Oxidant

This study was conducted using jar test equipment at a laboratory scale for a coagulation experiment. Two ranges of turbidity were used, including low turbidity (approximately 30 mg/L) and high turbidity (approximately 100 mg/L) [11,12]. The synthetic turbid water samples were prepared by mixing kaolin, a type of clay from Katayama Chemical, into 1 L of tap water. The suspension was stirred for an hour to ensure uniform dispersion of kaolin particles before being directly used as a low organic content sample. Turbidity measurements were taken using a turbid meter (HACH, 2100Q), PH values of samples were measured using a pH meter (Ohaus, ST20), and jar test equipment (WiseStir JT-M6) was used. The initial pH of the suspension was 7.1 ± 0.1. For the chlorination experiment, the stock solutions of chlorine were prepared by diluting a commercial solution of sodium hypochlorite (NaOCl, 11–14% active chlorine). The characteristics of the raw water are shown in Table 2.

2.3. Coagulation Experiment

The coagulation process is an essential step in water treatment, aimed at removing suspended particles from the water to improve its quality. In this study, aluminum sulfate was used as a coagulant and synthetic turbid water samples were prepared in 1000 mL beakers. The dose of coagulant used in the experiment varied based on the level of turbidity. For low turbidity levels (30 mg/L), a dose of 1 mg/L as Al3+ was used, while for high turbidity levels (100 mg/L), a dose of 2 mg/L as Al3+ was used. At each level of water turbidity, 40 chironomid larvae were placed prior to the coagulation process, with 10 larvae assigned to each instar stage (Figure S2). The jar tests were conducted by rapidly mixing the contents of the beakers at 140 rpm for 1 min, followed by slow mixing at 40 rpm for 10 min [13]. Rapid mixing and slow mixing are two key stages in the coagulation process. The purpose of rapid mixing is to disperse the coagulant evenly throughout the water to initiate the coagulation process. During rapid mixing, the coagulant is added to the water and mixed rapidly to ensure that it is uniformly distributed. The purpose of slow mixing is to promote the formation of flocs by allowing the coagulated particles to come into contact and aggregate with each other. Slow mixing allows the coagulated particles to form larger and more settleable flocs, which can be removed more easily by sedimentation or filtration. After the stirring process, the flocs were allowed to settle for ten minutes, and the activity of the chironomid larvae was observed to determine the efficiency of the coagulant to inactivate them from the synthetic turbid water samples [14]. The pH parameter during the coagulation process is around 7, and this condition is consistently maintained throughout the duration of the study.

2.4. Chlorination Experiment

In order to conduct the chlorination procedure, a series of controlled experiments were carried out. The distilled water solution was used as the medium, and the experiments were conducted using three different ranges of chlorine doses: low (0, 0.5, 1, and 1.5 mg/L as Cl), medium (2, 4, 6, and 8 mg/L as Cl), and high (10, 15, and 20 mg/L as Cl). For each dose and instar stage, 10 chironomid larvae were randomly selected and transferred to each 500 mL beaker glass using a plastic pipette. In total, 44 beaker glasses were used for each dose and instar stage, providing a comprehensive examination of the impact of chlorination on chironomid larvae. Throughout the course of the experiments, the inactivity of the larvae was carefully observed as an indicator of their response to the chlorination treatment.

2.5. Observation of Larval Inactivity

In order to investigate the effect of coagulation and chlorination on chironomid larvae, the inactivity of larvae was observed at various time points, including 5, 10, 20, 30, 40, and 50 min, as well as 1 h (60 min), 2 days, 3 days, 4 days, and 5 days post-exposure. Behavioral activities such as crawling, looping, and eventual death of the larvae were meticulously recorded. The larvae were considered dead if they could not sustain coordinated movements involving at least 25% of their total body length. The behavior of chironomid larvae was observed by visual observation, image capture, and video recording. All the activities of the larvae during the exposure to coagulant and chlorine were recorded and tabulated in the data table. The setup was performed in two replicas. The monitoring of larval inactivation stages represents a valuable approach for assessing water quality, and further analysis through toxicological investigations can provide insights into potential contaminants present in the water.

3. Results

3.1. The Inactivity of Larvae with Coagulation

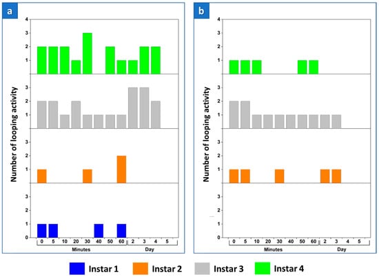
To evaluate the effectiveness of the coagulation process using different doses of coagulant on inactive larvae of varying turbidity, jar coagulation tests were conducted with chironomid larvae in synthetic turbid water. The behavior of looping larvae was investigated in relation to turbidity levels, with a particular focus on their activity over time. The results show that the looping activity is significantly reduced after the completion of the sedimentation process, regardless of the turbidity level. When examining the looping activity of different instars, it was observed that only instars 3 and 4 remained active looping until day 4, regardless of turbidity levels. In contrast, instar 1 only demonstrated active looping behavior at low turbidity levels and only for the first hour. At high turbidity levels, only instar 2 demonstrated looping behavior for the first hour (Figure 2).
The behavior of the inactive larvae was observed for up to 60 min, during which they were seen crawling at the bottom of the beaker and attempting to catch the flocs that formed. However, counting the number of crawling larvae proved difficult as the first instar larvae covered their bodies with floc after 30 min, while the second to fourth instars continued to do so for up to an hour. By the second to the fourth day, almost all the larvae had covered their bodies with floc, and by the fifth day, all the inactive larvae were completely covered with floc, and there was no crawling activity (Figure 3).
The results in Figure 4 revealed that exposure to the coagulant caused larvae mortality after 2 days. In low turbidity, one instar 3 larvae was found dead, while in high turbidity, two larvae (instar 3 and 4) were dead. After 5 days, a total of 2 larvae were found dead in low turbidity and 3 larvae in high turbidity. Visual observations of the dead larvae revealed that their body was not covered with floc, and their color had turned pale red. When compared to larvae without coagulant exposure at both turbidity levels, only two larvae died by visual observation from day 3 to day 5.

3.2. The Inactivity of Larvae with Chlorination

The effect of chlorination on the behavioral responses of chironomid larvae was investigated in this study. The average percentage values of behavioral responses in chlorination compared to the control sample showed that chlorination had a negative impact on the behavior of the larvae (Table 3). Looping behavior was found to decrease with increasing doses of chlorine. At low doses (0.5–2 mg/L as Cl), the looping activity for instar 1 was 78.92 ± 6.1%, and instar 2 showed 78.92 ± 7.2%, while instar 3 and instar 4 had a looping activity of around 88.21 ± 7% and 89.64 ± 8.2%, respectively. However, the looping activity decreased with increasing observation time. At medium doses (2–10 mg/L) and high doses (15–20 mL), the looping activity decreased during both 1 h of observation and after 2–5 days of observation. On the fifth day of observation, looping activity fell below 50%, and instar 1 showed only 8.75 ± 11.1% of looping activity. At high doses, the looping activity dropped dramatically during 1 h of observation, and after 5 days of observation, there was no looping activity from instar 1 and instar 2, while only 1.66 ± 3.7% and 7.5% of the looping activity remained in the third and fourth instars, respectively.
In the case of crawling behavior, at low doses of chlorine and after 1 h of observation, the percentage of chironomid larvae in instar 1 and 2 was 21.07 ± 6.1% and 21.07 ± 7.2%, respectively. The percentages of larvae in instars 3 and 4 were 11.78 ± 7% and 10.35 ± 8.2%, respectively. However, after 5 days of observation at low doses of chlorine, the percentage of larvae in instar 1 and 2 increased to 51.25 ± 3.3% and 50.62 ± 7.4%, respectively. In contrast, the percentage of larvae in instars 3 and 4 decreased to 32.5 ± 11.9% and 17.5 ± 6.6%, respectively. At medium doses of chlorine and after 1 h of observation, the percentage of larvae in instar 1 and 2 increased to 60.35 ± 24.7% and 59.64 ± 20.6%, respectively. Meanwhile, the percentages of larvae in instars 3 and 4 were 40.35 ± 15.2% and 33.21 ± 10%, respectively. After 5 days of observation at medium doses of chlorine, the percentage of larvae in instars 1 and 3 were 47.5 ± 16.3% and 50.62 ± 10.8%, respectively. The percentage of larvae in instar 2 decreased to 52.5 ± 13.9%, while the percentage of larvae in instar 4 decreased to 25 ± 7%. At high doses of chlorine and after 1 h of observation, the percentage of larvae in instar 1 and 2 increased to 75.71 ± 7.2% and 77.61 ± 11.9%, respectively, while the percentage of larvae in instar 3 and 4 were 61.9 ± 7.3% and 42.85 ± 11.6%, respectively. However, after 5 days of observation at high doses of chlorine, the percentage of larvae in instar 1 decreased significantly to 7.5 ± 10.8%, and the percentage of larvae in instar 2, 3, and 4 were 15.83 ± 23.6%, 17.5 ± 24.8%, and 12.5 ± 12.3%, respectively.
The mortality of chironomid larvae showed that low doses of chlorine had minimal impact on the larvae’s mortality after 1 h of exposure, with no dead larvae observed in any instar. However, after 5 days of exposure, the mortality rates for instar 1–instar 4 were 11.25%, 5.62%, 4.37%, and 6.25%, respectively. Medium doses of chlorine resulted in very low mortality rates after 1 h of exposure, with only instar 1 and instar 2 showing 0.35% mortality. However, after 5 days of exposure, the mortality rates for instar 1–instar 4 were 43.75%, 31.87%, 26.87%, and 23.75%, respectively. High doses of chlorine resulted in higher mortality rates, with instar 1, instar 2, instar 3, and instar 4 showing mortality rates of 16.19%, 11.9%, 9.52%, and 10%, respectively, after 1 h of exposure. Additionally, instar 1 showed death after only 5 min of exposure to high doses of chlorine, while instar 2–instar 4 showed death after 30 min of exposure (Figure S3). After 5 days of exposure to high doses of chlorine, the mortality rates for instar 1–instar 4 were 92.5%, 84.16%, 80%, and 79.16%, respectively.

4. Discussion

This research investigates the effectiveness of inactivating larval chironomid, an aquatic insect commonly found in water treatment processes, specifically in coagulation and chlorination units. The study aims to determine the most effective approach for inactivating the larvae by observing their behavior when exposed to coagulants and chlorine. The results show that the behavior of the larvae changes when subjected to different doses of coagulants and chlorine over a period of one hour to five days. Larvae exhibit different behaviors, such as looping and crawling. After being exposed to high doses of chemicals, some of the larvae die. Similar results indicated that the population of larval chironomids when exposed to a polluted environment, exhibits specific responses in the form of changes in larval behavior and morphology [15,16,17]. The effects of the pesticide as a pollutant also change the morphology and behavior of chironomus riparius larvae. Since larvae are exposed to pollutants, high doses of which can change their behavior, extended exposure can also result in morphological changes in the larvae. These changes may manifest as a reduction in size, as well as changes in the shape of the head and thorax. Additionally, changes in larval behavior include decreased movement and changes in feeding behavior [18].
The effectiveness of coagulation in inactivating chironomid larvae in water treatment processes has been the focus of recent research. The results of this research show that although coagulation can lead to a significant reduction in the number of larvae present in water, the death of the larvae may not occur immediately. Even up to five days after exposure to the coagulant, the larvae may exhibit normal activities, such as looping and crawling, and may even actively cover their bodies with floc. This study confirmed that the death of the larvae can be visually determined by their inability to cover their bodies with floc. However, it is also possible that some larvae may have died even if they were covered by floc. The study by Sun et al. [3] further supported the effectiveness of coagulation in removing chironomid larvae, with 75.5% of the larvae being removed. The death of the larvae was also attributed to the fact that the first instar larvae, which resembles a planktonic form, can easily settle together with the floc formed during coagulation. This highlights the need for more research to determine the underlying mechanisms involved in the inactivation of chironomid larvae through coagulation.
This study revealed some interesting findings on the development of chironomid larvae exposed to the coagulation process. The observation that larvae continued to develop even after the settling process is particularly significant as it suggests that the coagulation process may not be effective in completely inhibiting the growth and development of chironomid larvae. It is possible that some larvae are able to survive and thrive in the presence of coagulants. Moreover, the fact that larvae in samples with high turbidity exhibited more pronounced development and some even reached maturity highlights the importance of considering other factors, such as water quality and environmental conditions, in the control of chironomid larvae in water treatment processes [19]. Our study also provides useful insights into the potential limitations of the coagulation process in controlling chironomid larvae in water treatment. The presence of larval skin on the fifth day of observation indicates that chironomid larvae may be more resilient than previously thought and that other treatment methods may need to be explored to ensure the complete removal of these organisms from water. Moreover, based on these findings, it is recommended that the floc produced during the coagulation process should be cleaned meticulously. This is because the floc may harbor larvae that have the potential to persist and continue their development.
The chlorination process negatively affects the behavior and mortality of chironomid larvae. As the chlorine dose increases, there is a decrease in the behavior of chironomid larvae, which becomes more significant at higher doses. The impact on larval mortality varies depending on the dose of chlorine used. Low doses of chlorine have minimal impact on larval mortality, while medium and high doses result in much higher mortality rates, especially after five days of exposure. The mortality rate is highest in instar 1 and gradually decreases in instars 2 to 4, suggesting that larvae at earlier stages of development are more susceptible to the toxic effects of chlorine. This is due to the fact that the surface of Chironomid larvae is comprised of several layers of cell tissue, which offers them significant resistance against oxidative agents. To effectively inactivate chironomid larvae using chlorine, it is necessary for the oxidizing agent to penetrate through the surface structure and access the inner portion of the organism. However, at lower doses and longer exposure times, chlorine may not be able to fully penetrate the chironomid larvae surface, leading to decreased efficacy of the treatment. These findings are consistent with a previous study conducted by Sun et al. [3], which compared the effectiveness of chlorine dioxide and chlorine in inactivating chironomid larvae in raw water.
The color change of larvae is also a useful indicator for detecting dead body larvae, as they often exhibit a green to dark green coloration (Figure 5a). This color change occurs as a result of the decomposition of the larval tissue, which produces pigments that cause the color change. Additionally, the addition of high doses of chlorine to water can accelerate the physical or chemical breakdown of the larvae tissues and structure, causing larvae to die and “melt” within a few days [20]. This is because chlorine is a strong oxidizing agent that can be harmful to the environment and cause severe damage or death to larvae or other organisms.
In our study, we observed that the first melting larvae was instar 1, and this occurred when a chlorine dose of 4 mg/L was used. As the chlorine dose increased, the number of melting larvae in instars 1 and 2 also increased. After 5 days of observation, a total of 7 melting instar 1 and 6 melting instar 2 larvae. However, only 2 melting larvae for each instar 3 and instar 4 after 5 days of exposure to chlorine (Figure S4). The melting of larvae after exposure to a high dose of chlorine is likely due to the chlorine causing a change in the structure or physical properties of the larvae that leads to their melting (Figure 5b). This change can occur because chlorine reacts with components in the larval body, such as protein, lipid, or carbohydrate, causing a change in the structure or chemical composition of the larval body.
Similar to the coagulation process, larvae can continue to develop during exposure to chlorine, particularly at low doses. This finding suggests that chlorine may not effectively eliminate all chironomid larvae during the water treatment process. During chlorination, especially in stages 3 and 4, the larvae have the potential to develop into adult mosquitoes after only two days (Figure S5).
Chlorination is one of the most widely used methods for disinfecting water, but it is not without its drawbacks. This study has highlighted the potential negative impacts of chlorination on aquatic organisms, particularly on chironomid larvae. While high doses of chlorine can effectively inactive chironomid larvae, they can also cause taste and odor problems in drinking water. In addition, excessive amounts of chlorine in water can combine with naturally occurring organic material to form disinfection byproducts (DBPs) during water treatment, which can have potential long-term health impacts. The World Health Organization Drinking Water Guidelines recognize the importance of disinfection but also emphasize the need to balance the benefits of disinfection with potential negative impacts [21]. As such, it is important to carefully consider the use of chlorine and other disinfectants and to explore alternative methods for disinfecting water that may be more environmentally friendly and have fewer potential negative impacts.

5. Conclusions

Thorough studies have been conducted to assess the efficacy of coagulation and chlorination processes in inactivating chironomid larvae in bench-scale experiments. The research findings indicate that the behavior of the larvae varies during the inactivation process, particularly during coagulation and chlorination. Instar 1 larvae are likely to settle along with the floc during coagulation, whereas instars 2–4 tend to cover their bodies with floc. This can be attributed to the fact that chironomid larvae typically inhabit sediments in turbid waters. As a result, it is challenging to observe the behavior of the larvae during the coagulation process, such as looping, crawling, or death, as the floc covers their bodies. Conversely, the inactivation of chironomid larvae during chlorination can be easily monitored. Inactivation of the larvae with low doses of chlorination does not yield significant results, as the larvae can continue to develop into adults, particularly in instars 3–4. However, at medium and high doses, the larvae can be readily inactivated. Medium doses of chlorine exposure for 30 min result in the death of instar 1 larvae, while at high doses, instar 1 larvae die within 5 min of exposure. Additionally, instars 3 and 4 can dissolve due to strong oxidation exposure resulting from the breakdown of organic matter in larval tissues, leading to the disintegration of the body structure. Nevertheless, high doses of chlorine cannot be used in water treatment as they can cause taste and odor problems in drinking water. Moreover, excessive chlorine amounts can combine with naturally occurring organic substances during water treatment to produce disinfection byproducts (DBPs), which can have long-term health implications. Therefore, another oxidant agent is necessary that is effective in inactivating the larvae at low doses.

Supplementary Materials

The following supporting information can be downloaded at: https://www.mdpi.com/article/10.3390/app13095715/s1, Figure S1: The collection site for chironomid larvae.; Figure S2: Inactivate chironomid larvae through coagulation process; Figure S3: The larvae died after being exposed to the coagulant for 5 days; Figure S4: Total of melted larva after 5-day observation; Figure S5: The total number of larvae that became adults after five days.

Author Contributions

Conceptualization, methodology, and writing original draft preparation: H.H.; writing and validation: H.J.K.; formal analysis: Y.B.; formal analysis, S.G.P.; supervision; T.G.L.; supervision, project administration, funding acquisition, T.G.L. All authors have read and agreed to the published version of the manuscript.

Funding

This research was supported by the Korean Ministry of Environment.

Institutional Review Board Statement

Not applicable.

Informed Consent Statement

Not applicable.

Data Availability Statement

Not applicable.

Acknowledgments

The authors greatly acknowledge the financial support provided by the Korean Ministry of Environment.

Conflicts of Interest

The authors declare no conflict of interest.

References

  1. Stanković, N.; Kostić, I.; Jovanović, B.; Savić-Zdravković, D.; Matić, S.; Bašić, J.; Cvetković, T.; Simeunović, J.; Milošević, D. Can Phytoplankton Blooming Be Harmful to Benthic Organisms? The Toxic Influence of Anabaena sp. and Chlorella sp. on Chironomus riparius Larvae. Sci. Total Environ. 2020, 729, 138666. [Google Scholar] [CrossRef] [PubMed]
  2. Kang, H.J.; Baek, M.J.; Kang, J.H.; Bae, Y.J. DNA Barcoding of Chironomid Larvae (Diptera: Chironomidae) from Large Rivers in South Korea to Facilitate Freshwater Biomonitoring and Public Health Surveillance. Int. J. Environ. Res. Public Health 2022, 19, 12035. [Google Scholar] [CrossRef] [PubMed]
  3. Sun, X.B.; Cui, F.Y.; Zhang, J.S.; Xu, F.; Liu, L.J. Inactivation of Chironomid Larvae with Chlorine Dioxide. J. Hazard. Mater. 2007, 142, 348–353. [Google Scholar] [CrossRef] [PubMed]
  4. Lee, C.Y.; Byeon, J.; Kim, M.K.; Lee, T.; Kim, D.G. Passability of Chironomid Larvae in Granular Activated Carbon. Int. J. Environ. Res. Public Health 2022, 19, 1005. [Google Scholar] [CrossRef] [PubMed]
  5. Sun, X.-B.; Cui, F.-Y.; Zhang, J.-S.; Guo, Z.; Zhao, K.; Liu, L.; Lv, W. Pilot-Scale Study of Removal Effect on Chironomid Larvae with Chlorine Dioxide. J. Environ. Sci. 2006, 18, 248–253. [Google Scholar]
  6. Koul, B.; Yadav, D.; Singh, S.; Kumar, M.; Song, M. Insights into the Domestic Wastewater Treatment (DWWT) Regimes: A Review. Water 2022, 14, 3542. [Google Scholar] [CrossRef]
  7. Sun, X.-B.; Cui, F.-Y. Inactivation of Chironomid Larvae with Ozone. Water Supply 2008, 8, 355–361. [Google Scholar] [CrossRef]
  8. Pan, J.; Yu, L.; Shan, Q.; Yu, J.; Guo, Y. Inactivation of Chironomid Larva in Water with Bacillus Thuringiensis Subsp. Israelensis. Int. J. Water Wastewater Treat. 2015, 1, 1–4. [Google Scholar]
  9. Reyes-Maldonado, R.; Marie, B.; Ramírez, A. Rearing Methods and Life Cycle Characteristics of Chironomus sp. Florida (Chironomidae: Diptera): A Rapid-Developing Species for Laboratory Studies. PLoS ONE 2021, 16, e0247382. [Google Scholar] [CrossRef] [PubMed]
  10. Bartlett, J.C.; Convey, P.; Hayward, S.A.L. Life Cycle and Phenology of an Antarctic Invader: The Flightless Chironomid Midge, Eretmoptera murphyi. Polar Biol. 2019, 42, 115–130. [Google Scholar] [CrossRef] [PubMed]
  11. Putra, R.S.; Amri, R.Y.; Ayu, M. Turbidity Removal of Synthetic Wastewater Using Biocoagulants Based on Protein and Tannin; AIP: Melville, NY, USA, 2020; p. 040028. [Google Scholar]
  12. Asrafuzzaman, M.; Fakhruddin, A.N.M.; Hossain, M.A. Reduction of Turbidity of Water Using Locally Available Natural Coagulants. ISRN Microbiol. 2011, 2011, 632189. [Google Scholar] [CrossRef] [PubMed]
  13. Alawamleh, H.S.K.; Mousavi, S.; Ashoori, D.; Salman, H.M.; Zahmatkesh, S.; Sillanpää, M. Wastewater Management Using Coagulation and Surface Adsorption through Different Polyferrics in the Presence of TiO2-g-PMAA Particles. Water 2022, 15, 145. [Google Scholar] [CrossRef]
  14. American Water Works Association. Water Treatment Plant Design, 5th ed.; Randtke, S.J., Horsley, M.B., Eds.; McGraw-Hill: New York, NY, USA, 2012; ISBN 978-0-07-174573-4. [Google Scholar]
  15. Szczerkowska-Majchrzak, E.; Jarosiewicz, M. A Comparative Study of the Oxidative System in Chironomidae Larvae with Contrasting Feeding Strategies. Eur. Zool. J. 2020, 87, 463–474. [Google Scholar] [CrossRef]
  16. Antczak-Orlewska, O.; Płóciennik, M.; Sobczyk, R.; Okupny, D.; Stachowicz-Rybka, R.; Rzodkiewicz, M.; Siciński, J.; Mroczkowska, A.; Krąpiec, M.; Słowiński, M.; et al. Chironomidae Morphological Types and Functional Feeding Groups as a Habitat Complexity Vestige. Front. Ecol. Evol. 2021, 8, 583831. [Google Scholar] [CrossRef]
  17. Bhunia, D.; Sarkar, S.; Banerjee, K.; Nandy, A.; Talapatra, S.N. Behavioural Toxicology of Midge Larvae Chironomous sp. after Acute In Situ Exposure of Different Industrial Effluents and Drinking Water. Int. Lett. Nat. Sci. 2014, 19, 11–20. [Google Scholar] [CrossRef]
  18. Azevedo-Pereira, H.M.V.S.; Lemos, M.F.L.; Soares, A.M.V.M. Behaviour and Growth of Chironomus riparius Meigen (Diptera: Chironomidae) under Imidacloprid Pulse and Constant Exposure Scenarios. Water Air Soil Pollut. 2011, 219, 215–224. [Google Scholar] [CrossRef]
  19. Podder, R.; Nath, S.; Modak, B.K.; Weltje, L.; Malakar, B. Tube Length of Chironomid Larvae as an Indicator for Dissolved Oxygen in Water Bodies. Sci. Rep. 2022, 12, 19971. [Google Scholar] [CrossRef] [PubMed]
  20. Luan, X.; Liu, X.; Fang, C.; Chu, W.; Xu, Z. Ecotoxicological Effects of Disinfected Wastewater Effluents: A Short Review of in vivo Toxicity Bioassays on Aquatic Organisms. Environ. Sci. Water Res. Technol. 2020, 6, 2275–2286. [Google Scholar] [CrossRef]
  21. World Health Organization. Guidelines for Drinking-Water Quality: Fourth Edition. World Health 2011, 1, 104–108. [Google Scholar]
Figure 1. Types of instar larvae: (a) instar 1; (b) instar 2; (c) instar 3; (d) instar 4.
Figure 1. Types of instar larvae: (a) instar 1; (b) instar 2; (c) instar 3; (d) instar 4.
Applsci 13 05715 g001
Figure 2. Chironomid larvae looping activity after 5 days of the coagulation process. (a) Low turbidity, (b) high turbidity.
Figure 2. Chironomid larvae looping activity after 5 days of the coagulation process. (a) Low turbidity, (b) high turbidity.
Applsci 13 05715 g002
Figure 3. Chironomid larvae looping activity since (a) sedimentation process (after slow mixing), (b) 0 min after sedimentation (c) after 4 days (d) after 5 days of the coagulation process. Arrow symbol indicates individual larvae with looping activity.
Figure 3. Chironomid larvae looping activity since (a) sedimentation process (after slow mixing), (b) 0 min after sedimentation (c) after 4 days (d) after 5 days of the coagulation process. Arrow symbol indicates individual larvae with looping activity.
Applsci 13 05715 g003
Figure 4. The accumulated number of dead larvae since coagulant exposure. (a) Low turbidity, (b) high turbidity.
Figure 4. The accumulated number of dead larvae since coagulant exposure. (a) Low turbidity, (b) high turbidity.
Applsci 13 05715 g004
Figure 5. Visual identification of dead larvae and melting lava. (a) Instar 4 larvae died with marked discoloration, (b) melting larvae after being exposed to high doses of chlorine for 5 days.
Figure 5. Visual identification of dead larvae and melting lava. (a) Instar 4 larvae died with marked discoloration, (b) melting larvae after being exposed to high doses of chlorine for 5 days.
Applsci 13 05715 g005
Table 1. Stage description and larvae size range.
Table 1. Stage description and larvae size range.
StageDescriptionLarvae Size Range
Body Length (mm)Head Width (mm)
Instar 1White to pinkish color0.83–1.680.09–0.12
Instar 2Pink color1.94–3.470.17–0.24
Instar 3Pink to reddish color3.52–6.670.23–0.37
Instar 4Bright red color6.38–14.190.39–0.58
PupaeBright red with evident thoracic horns. Swim actively before emergenceAlmost similar to larvae stage 4
Adult
  • Male with plumose antenna and slender abdomen.
  • Female with simple antenna and broad abdomen
Body size of more than 1.5 cm
Table 2. Raw water quality characteristics.
Table 2. Raw water quality characteristics.
ParameterValue
pH6.7–7.3
Turbidity (NTU)2.56–5.44
Temperature (°C)24–26
Hardness (mg/L)54–80
Chlorine (mg/L)<1
Table 3. Behavioral activity in chironomid larvae exposed to different chlorine concentrations.
Table 3. Behavioral activity in chironomid larvae exposed to different chlorine concentrations.
DoseBehavioral
Responses
For 1 h2–5 Days
Instar 1Instar 2Instar 3Instar 4Instar 1Instar 2Instar 3Instar 4
Low
chlorine
dose
Looping78.92 ± 6.178.92 ± 7.288.21 ± 7.089.64 ± 8.237.5 ± 7.543.75 ± 9.251.87 ± 19.455.62 ± 12.7
Crawling21.07 ± 6.121.07 ± 7.211.78 ± 7.010.35 ± 8.251.25 ± 3.350.62 ± 7.432.5 ± 11.917.50 ± 6.6
Death0 ± 00 ± 00 ± 00 ± 011.25 ± 7.85.62 ± 4.94.37 ± 4.96.25 ± 4.8
Medium
chlorine
dose
Looping39.28 ± 25.040.00 ± 20.859.64 ± 15.266.78 ± 10.08.75 ± 11.115.62 ± 7.817.50 ± 20.142.50 ± 9.0
Crawling60.35 ± 24.759.64 ± 20.640.35 ± 15.233.21 ± 1047.50 ± 16.352.50 ± 13.950.62 ± 10.825.00 ± 7.0
Death0.35 ± 1.80.35 ± 1.80 ± 00 ± 043.75 ± 22.631.87 ± 19.426.87 ± 8.423.75 ± 9.9
High
chlorine
dose
Looping8.09 ± 7.310.47 ± 6.528.57 ± 10.347.14 ± 8.80 ± 00 ± 01.66 ± 3.77.50 ± 11.6
Crawling75.71 ± 7.277.61 ± 11.961.90 ± 7.342.85 ± 11.67.500 ± 10.815.83 ± 23.617.50 ± 24.812.50 ± 12.3
Death16.19 ± 7.811.90 ± 13.69.52 ± 11.710.00 ± 11.992.5 ± 10.884.16 ± 23.680.00 ± 28.279.16 ± 22.8
Disclaimer/Publisher’s Note: The statements, opinions and data contained in all publications are solely those of the individual author(s) and contributor(s) and not of MDPI and/or the editor(s). MDPI and/or the editor(s) disclaim responsibility for any injury to people or property resulting from any ideas, methods, instructions or products referred to in the content.

Share and Cite

MDPI and ACS Style

Hidayaturrahman, H.; Kwon, H.J.; Bao, Y.; Peera, S.G.; Lee, T.G. Assessing the Efficacy of Coagulation (Al3+) and Chlorination in Water Treatment Plant Processes: Inactivating Chironomid Larvae for Improved Tap Water Quality. Appl. Sci. 2023, 13, 5715. https://doi.org/10.3390/app13095715

AMA Style

Hidayaturrahman H, Kwon HJ, Bao Y, Peera SG, Lee TG. Assessing the Efficacy of Coagulation (Al3+) and Chlorination in Water Treatment Plant Processes: Inactivating Chironomid Larvae for Improved Tap Water Quality. Applied Sciences. 2023; 13(9):5715. https://doi.org/10.3390/app13095715

Chicago/Turabian Style

Hidayaturrahman, Haerul, Hyuk Jun Kwon, Yumeng Bao, Shaik Gouse Peera, and Tae Gwan Lee. 2023. "Assessing the Efficacy of Coagulation (Al3+) and Chlorination in Water Treatment Plant Processes: Inactivating Chironomid Larvae for Improved Tap Water Quality" Applied Sciences 13, no. 9: 5715. https://doi.org/10.3390/app13095715

APA Style

Hidayaturrahman, H., Kwon, H. J., Bao, Y., Peera, S. G., & Lee, T. G. (2023). Assessing the Efficacy of Coagulation (Al3+) and Chlorination in Water Treatment Plant Processes: Inactivating Chironomid Larvae for Improved Tap Water Quality. Applied Sciences, 13(9), 5715. https://doi.org/10.3390/app13095715

Note that from the first issue of 2016, this journal uses article numbers instead of page numbers. See further details here.

Article Metrics

Back to TopTop