Colon Delivery of Nutraceutical Ingredients by Food-Grade Polymeric Systems: An Overview of Technological Characterization and Biological Evaluation
Abstract
Featured Application
Abstract
1. Introduction
2. Food-Grade Polymers
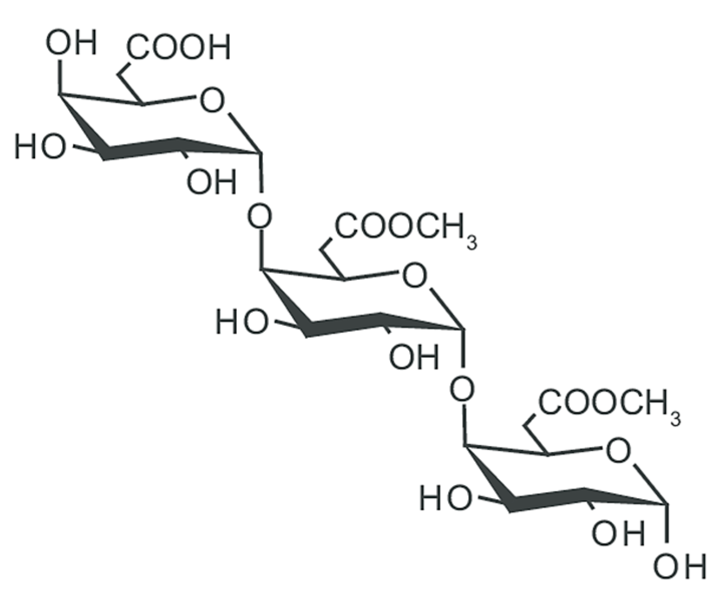
2.1. Alginates
2.2. Chitosans
2.3. Zein
2.4. Pectins
2.5. Inulins
2.6. Shellac Gum
2.7. Eudraguard® Copolymers
2.8. Natural Gums
3. Characterization of Food-Grade Systems
3.1. Technological Characterization
3.1.1. Morphology and Size of Carriers
3.1.2. Surface Charge and Mucoadhesion
3.1.3. Encapsulation Yield and Solid-State Characterization
3.1.4. In Vitro Release Testing
3.1.5. Stability
3.2. Biological Evaluation
3.2.1. In Vitro Assays
3.2.2. In Vivo Studies
4. Conclusions
Author Contributions
Funding
Institutional Review Board Statement
Informed Consent Statement
Conflicts of Interest
References
- Teruel, A.H.; Gonzalez-Alvarez, I.; Bermejo, M.; Merino, V.; Marcos, M.D.; Sancenon, F.; Gonzalez-Alvarez, M.; Martinez-Mañez, R. New Insights of Oral Colonic Drug Delivery Systems for Inflammatory Bowel Disease Therapy. Int. J. Mol. Sci. 2020, 21, 6502. [Google Scholar] [CrossRef] [PubMed]
- Yasmin, F.; Najeeb, H.; Shaikh, S.; Hasanain, M.; Naeem, U.; Moeed, A.; Koritala, T.; Hasan, S.; Surani, S. Novel Drug Delivery Systems for Inflammatory Bowel Disease. World J. Gastroenterol. 2022, 28, 1922–1933. [Google Scholar] [CrossRef] [PubMed]
- Rajpurohit, H.; Sharma, P.; Sharma, S.; Bhandari, A. Polymers for Colon Targeted Drug Delivery. Indian J. Pharm. Sci. 2010, 72, 689. [Google Scholar] [CrossRef] [PubMed]
- Joye, I.J.; Corradini, M.G.; Duizer, L.M.; Bohrer, B.M.; LaPointe, G.; Farber, J.M.; Spagnuolo, P.A.; Rogers, M.A. A Comprehensive Perspective of Food Nanomaterials. Adv. Food Nutr. Res. 2019, 88, 1–45. [Google Scholar] [CrossRef]
- Sarangi, M.K.; Rao, M.E.B.; Parcha, V. Smart Polymers for Colon Targeted Drug Delivery Systems: A Review. Int. J. Polym. Mater. 2020, 70, 1130–1166. [Google Scholar] [CrossRef]
- Arévalo-Pérez, R.; Maderuelo, C.; Lanao, J.M. Recent Advances in Colon Drug Delivery Systems. J. Control Release 2020, 327, 703–724. [Google Scholar] [CrossRef]
- Gazzaniga, A.; Moutaharrik, S.; Filippin, I.; Foppoli, A.; Palugan, L.; Maroni, A.; Cerea, M. Time-Based Formulation Strategies for Colon Drug Delivery. Pharmaceutics 2022, 14, 2762. [Google Scholar] [CrossRef]
- Zhang, L.; McClements, D.J.; Wei, Z.; Wang, G.; Liu, X.; Liu, F. Delivery of Synergistic Polyphenol Combinations Using Biopolymer-Based Systems: Advances in Physicochemical Properties, Stability and Bioavailability. Crit. Rev. Food Sci. Nutr. 2020, 60, 2083–2097. [Google Scholar] [CrossRef]
- Kumar, R.; Islam, T.; Nurunnabi, M. Mucoadhesive Carriers for Oral Drug Delivery. J. Control. Release 2022, 351, 504–559. [Google Scholar] [CrossRef]
- Bakshi, H.A.; Quinn, G.A.; Aljabali, A.A.A.; Hakkim, F.L.; Farzand, R.; Nasef, M.M.; Abuglela, N.; Ansari, P.; Mishra, V.; Serrano-Aroca, Á.; et al. Exploiting the Metabolism of the Gut Microbiome as a Vehicle for Targeted Drug Delivery to the Colon. Pharmaceuticals 2021, 14, 1211. [Google Scholar] [CrossRef]
- Ibrahim, I.M. Advances in Polysaccharide-Based Oral Colon-Targeted Delivery Systems: The Journey So Far and the Road Ahead. Cureus 2023, 15, e33636. [Google Scholar] [CrossRef] [PubMed]
- Balaji, A.B.; Pakalapati, H.; Khalid, M.; Walvekar, R.; Siddiqui, H. Natural and Synthetic Biocompatible and Biodegradable Polymers. In Biodegradable and Biocompatible Polymer Composites: Processing, Properties and Applications; Elsevier: Amsterdam, The Netherlands, 2017; Volume 286, pp. 3–32. [Google Scholar] [CrossRef]
- Flores-Hernández, C.G.; Cornejo-Villegas, M.d.L.A.; Moreno-Martell, A.; Del Real, A. Del Synthesis of a Biodegradable Polymer of Poly (Sodium Alginate/Ethyl Acrylate). Polymers 2021, 13, 504. [Google Scholar] [CrossRef] [PubMed]
- Paradies, H.H.; Wagner, D.; Fischer, W.R. Multicomponent diffusion of sodium alginate solutions with added salt. II. Charged vs. uncharged system. Ber. Bunsenges. Phys. Chem. 1996, 100, 1299–1307. [Google Scholar] [CrossRef]
- Alirezalu, K.; Yaghoubi, M.; Poorsharif, L.; Aminnia, S.; Kahve, H.I.; Pateiro, M.; Lorenzo, J.M.; Munekata, P.E.S. Antimicrobial Polyamide-Alginate Casing Incorporated with Nisin and ε-Polylysine Nanoparticles Combined with Plant Extract for Inactivation of Selected Bacteria in Nitrite-Free Frankfurter-Type Sausage. Foods 2021, 10, 1003. [Google Scholar] [CrossRef]
- Soares, J.D.P.; Santos, J.E.; Chierice, G.O.; Cavalheiro, E.T.G. Thermal behavior of alginic acid and its sodium salt. Eclética Química 2004, 29, 57–64. [Google Scholar] [CrossRef]
- Mensink, M.A.; Frijlink, H.W.; Van Der Voort Maarschalk, K.; Hinrichs, W.L.J. Inulin, a Flexible Oligosaccharide I: Review of Its Physicochemical Characteristics. Carbohydr. Polym. 2015, 130, 405–419. [Google Scholar] [CrossRef]
- Cao, T.L.; Yang, S.Y.; Song, K. Bin Development of Burdock Root Inulin/Chitosan Blend Films Containing Oregano and Thyme Essential Oils. Int. J. Mol. Sci. 2018, 19, 131. [Google Scholar] [CrossRef]
- de Gennaro, S.; Birch, G.G.; Parke, S.A.; Stancher, B. Studies on the physicochemical properties of inulin and inulin oligomers. Food Chem. 2000, 68, 179–183. [Google Scholar] [CrossRef]
- Leyva-Porras, C.; Saavedra–Leos, M.Z.; López-Pablos, A.L.; Soto-Guerrero, J.J.; Toxqui-Terán, A.; Fozado-Quiroz, R.E. Chemical, Thermal and Physical Characterization of Inulin for Its Technological Application Based on the Degree of Polymerization. J. Food Process. Eng. 2017, 40, e12333. [Google Scholar] [CrossRef]
- El-Kholy, W.M.; Aamer, R.A.; Ali, A.N.A. Utilization of Inulin Extracted from Chicory (Cichorium Intybus L.) Roots to Improve the Properties of Low-Fat Synbiotic Yoghurt. Ann. Agric. Sci. 2020, 65, 59–67. [Google Scholar] [CrossRef]
- Miranda, S.P.; Garnica, O.; Lara-Sagahon, V.; Cárdenas, G. Water Vapor Permeability and Mechanical Properties of Chitosan Composite Films. J. Chil. Chem. Soc. 2004, 49, 173–178. [Google Scholar] [CrossRef]
- Szymańska, E.; Winnicka, K. Stability of Chitosan-A Challenge for Pharmaceutical and Biomedical Applications. Mar. Drugs 2015, 13, 1819–1846. [Google Scholar] [CrossRef] [PubMed]
- Wang, S.T.; Tsai, C.C.; Shih, M.C.; Tsai, M.L. Flavor-Related Applications of Chitin and Chitosan in Foods: Effect of Structure and Properties on the Efficacy. In Advances in Polymer Science; Springer Science and Business Media Deutschland GmbH: Berlin, Germany, 2021; Volume 287, pp. 169–202. [Google Scholar] [CrossRef]
- Georgieva, V.; Zvezdova, D.; Vlaev, L. Non-isothermal kinetics of thermal degradation of chitosan. Chem. Cent. J. 2012, 6, 1–10. [Google Scholar] [CrossRef] [PubMed]
- Diaz, J.V.; Anthon, G.E.; Barrett, D.M. Nonenzymatic Degradation of Citrus Pectin and Pectate during Prolonged Heating: Effects of PH, Temperature, and Degree of Methyl Esterification. J. Agric. Food Chem. 2007, 55, 5131–5136. [Google Scholar] [CrossRef] [PubMed]
- Basu, S.; Shivhare, U.S.; Muley, S. Moisture Adsorption Isotherms and Glass Transition Temperature of Pectin. J. Food Sci. Technol. 2013, 50, 585–589. [Google Scholar] [CrossRef] [PubMed]
- Saikia, M.; Badwaik, L.S. Characterization and Antimicrobial Property of Casein, Gelatin and Pectin Based Active Composite Films. J. Packag. Technol. Res. 2018, 2, 233–242. [Google Scholar] [CrossRef]
- Nesic, A.; Meseldzija, S.; Cabrera-Barjas, G.; Onjia, A. Novel Biocomposite Films Based on High Methoxyl Pectin Reinforced with Zeolite Y for Food Packaging Applications. Foods 2022, 11, 360. [Google Scholar] [CrossRef]
- Chen, Y.; Ye, R.; Liu, J. Effects of Different Concentrations of Ethanol and Isopropanol on Physicochemical Properties of Zein-Based Films. Ind. Crops Prod. 2014, 53, 140–147. [Google Scholar] [CrossRef]
- Pérez-Guzmán, C.J.; Castro-Muñoz, R. A Review of Zein as a Potential Biopolymer for Tissue Engineering and Nanotechnological Applications. Processes 2020, 8, 1376. [Google Scholar] [CrossRef]
- Zhang, L.; Liu, Z.; Sun, Y.; Wang, X.; Li, L. Effect of α-Tocopherol Antioxidant on Rheological and Physicochemical Properties of Chitosan/Zein Edible Films. LWT 2020, 118, 108799. [Google Scholar] [CrossRef]
- Rezaei, A.; Tavanai, H.; Nasirpour, A. Fabrication of Electrospun Almond Gum/PVA Nanofibers as a Thermostable Delivery System for Vanillin. Int. J. Biol. Macromol. 2016, 91, 536–543. [Google Scholar] [CrossRef] [PubMed]
- Tahsiri, Z.; Mirzaei, H.; Hosseini, S.M.H.; Khalesi, M. Gum Arabic Improves the Mechanical Properties of Wild Almond Protein Film. Carbohydr. Polym. 2019, 222, 114994. [Google Scholar] [CrossRef]
- Farooq, U.; Sharma, K.; Malviya, R. Extraction and Characterization of Almond (Prunus Sulcis) Gum as Pharmaceutical Excipient. J. Agric. Environ. Sci. 2014, 14, 269–274. [Google Scholar] [CrossRef]
- Seck, M.; Diallo, A.K.; Erouel, M.; Saadi, M.; Tiss, B.; Wederni, M.A.; Tall, A.; Babacar Ly, E.H.; Kobor, D.; Bouguila, N.; et al. Dielectric Investigation and Material Properties of Almond Gum Thin Films Deposited by Spray Pyrolysis. Mater. Chem. Phys. 2021, 272, 124917. [Google Scholar] [CrossRef]
- Bouaziz, F.; Helbert, C.B.; Ben Romdhane, M.; Koubaa, M.; Bhiri, F.; Kallel, F.; Chaari, F.; Driss, D.; Buon, L.; Chaabouni, S.E. Structural Data and Biological Properties of Almond Gum Oligosaccharide: Application to Beef Meat Preservation. Int. J. Biol. Macromol. 2014, 72, 472–479. [Google Scholar] [CrossRef] [PubMed]
- Alvarado-González, J.S.; Chanona-Pérez, J.J.; Welti-Chanes, J.S.; Calderón-Domínguez, G.; Arzate-Vázquez, I.; Pacheco-Alcalá, S.U.; Garibay-Febles, V.; Gutiérrez-López, G.F. Optical, microstructural, functional and nanomechanical properties of Aloe vera gel/gellan gum edible films. Rev. Mex. Ing. Química 2012, 11, 193–210. [Google Scholar]
- Omoto, T.; Uno, Y.; Asai, I. The latest technologies for the application of gellan gum. In Physical Chemistry and Industrial Application of Gellan Gum; Springer: Berlin/Heidelberg, Germany, 1999; Volume 114, pp. 123–126. [Google Scholar] [CrossRef]
- EUDRAGUARD® Portfolio of Supplement Coatings. Available online: https://healthcare.evonik.com/en/nutrition/supplement-coatings/eudraguard-portfolio (accessed on 8 March 2023).
- Curcio, C.; Greco, A.S.; Rizzo, S.; Saitta, L.; Musumeci, T.; Ruozi, B.; Pignatello, R. Development, Optimization and Characterization of Eudraguard®-Based Microparticles for Colon Delivery. Pharmaceuticals 2020, 13, 131. [Google Scholar] [CrossRef] [PubMed]
- Weinberger, H.; Gardner, W.H. Chemical composition of shellac. Ind. Eng. Chem. 1938, 30, 454–458. [Google Scholar] [CrossRef]
- Sameni, J.; Krigstin, S.; Sain, M. Solubility of lignin and acetylated lignin in organic solvents. BioResources 2017, 12, 1548–1565. [Google Scholar] [CrossRef]
- Guggenberger, M.; Sumerskii, I.; Rosenau, T.; Böhmdorfer, S.; Potthast, A. The Return of the Smell: The Instability of Lignin’s Odor. ACS Sustain. Chem. Eng. 2023, 11, 689–695. [Google Scholar] [CrossRef]
- Dhamecha, D.; Movsas, R.; Sano, U.; Menon, J.U. Applications of Alginate Microspheres in Therapeutics Delivery and Cell Culture: Past, Present and Future. Int. J. Pharm. 2019, 569, 118627. [Google Scholar] [CrossRef] [PubMed]
- Yu, L.; Sun, Q.; Hui, Y.; Seth, A.; Petrovsky, N.; Zhao, C.X. Microfluidic Formation of Core-Shell Alginate Microparticles for Protein Encapsulation and Controlled Release. J. Colloid Interface Sci. 2019, 539, 497–503. [Google Scholar] [CrossRef] [PubMed]
- Sinha, V.R.; Singla, A.K.; Wadhawan, S.; Kaushik, R.; Kumria, R.; Bansal, K.; Dhawan, S. Chitosan Microspheres as a Potential Carrier for Drugs. Int. J. Pharm. 2004, 274, 1–33. [Google Scholar] [CrossRef] [PubMed]
- El Kadib, A. Green and Functional Aerogels by Macromolecular and Textural Engineering of Chitosan Microspheres. Chem. Rec. 2020, 20, 753–772. [Google Scholar] [CrossRef]
- Jafernik, K.; Ładniak, A.; Blicharska, E.; Czarnek, K.; Ekiert, H.; Wiącek, A.E.; Szopa, A. Chitosan-Based Nanoparticles as Effective Drug Delivery Systems-A Review. Molecules 2023, 28, 1963. [Google Scholar] [CrossRef]
- Tie, S.; Su, W.; Zhang, X.; Chen, Y.; Zhao, X.; Tan, M. PH-Responsive Core-Shell Microparticles Prepared by a Microfluidic Chip for the Encapsulation and Controlled Release of Procyanidins. J. Agric. Food Chem. 2021, 69, 1466–1477. [Google Scholar] [CrossRef] [PubMed]
- Paliwal, R.; Palakurthi, S. Zein in Controlled Drug Delivery and Tissue Engineering. J. Control. Release 2014, 189, 108–122. [Google Scholar] [CrossRef]
- Hu, Q.; Bae, M.; Fleming, E.; Lee, J.Y.; Luo, Y. Biocompatible Polymeric Nanoparticles with Exceptional Gastrointestinal Stability as Oral Delivery Vehicles for Lipophilic Bioactives. Food Hydrocoll. 2019, 89, 386–395. [Google Scholar] [CrossRef]
- Wei, Y.; Guo, A.; Liu, Z.; Mao, L.; Yuan, F.; Gao, Y.; Mackie, A. Structural Design of Zein-Cellulose Nanocrystals Core–Shell Microparticles for Delivery of Curcumin. Food Chem. 2021, 357, 129849. [Google Scholar] [CrossRef]
- Kedir, W.M.; Deresa, E.M.; Diriba, T.F. Pharmaceutical and Drug Delivery Applications of Pectin and Its Modified Nanocomposites. Heliyon 2022, 8, e10654. [Google Scholar] [CrossRef]
- Mohnen, D. Pectin Structure and Biosynthesis. Curr. Opin. Plant Biol. 2008, 11, 266–277. [Google Scholar] [CrossRef] [PubMed]
- Khotimchenko, M. Pectin Polymers for Colon-Targeted Antitumor Drug Delivery. Int. J. Biol. Macromol. 2020, 158, 1110–1124. [Google Scholar] [CrossRef] [PubMed]
- Lee, T.; Chang, Y.H. Structural, Physicochemical, and In-Vitro Release Properties of Hydrogel Beads Produced by Oligochitosan and de-Esterified Pectin from Yuzu (Citrus Junos) Peel as a Quercetin Delivery System for Colon Target. Food Hydrocoll. 2020, 108, 106086. [Google Scholar] [CrossRef]
- Giri, S.; Dutta, P.; Giri, T.K. Inulin-Based Carriers for Colon Drug Targeting. J. Drug Deliv. Sci. Technol. 2021, 64, 102595. [Google Scholar] [CrossRef]
- Wang, D.; Sun, F.; Lu, C.; Chen, P.; Wang, Z.; Qiu, Y.; Mu, H.; Miao, Z.; Duan, J. Inulin Based Glutathione-Responsive Delivery System for Colon Cancer Treatment. Int. J. Biol. Macromol. 2018, 111, 1264–1272. [Google Scholar] [CrossRef] [PubMed]
- Yuan, Y.; He, N.; Dong, L.; Guo, Q.; Zhang, X.; Li, B.; Li, L. Multiscale Shellac-Based Delivery Systems: From Macro: From Nanoscale. ACS Nano 2021, 15, 18794–18821. [Google Scholar] [CrossRef] [PubMed]
- Yuan, Y.; Li, H.; Zhu, J.; Liu, C.; Sun, X.; Wang, D.; Xu, Y. Fabrication and Characterization of Zein Nanoparticles by Dextran Sulfate Coating as Vehicles for Delivery of Curcumin. Int. J. Biol. Macromol. 2020, 151, 1074–1083. [Google Scholar] [CrossRef]
- Wang, X.; Yu, D.G.; Li, X.Y.; Bligh, S.W.A.; Williams, G.R. Electrospun Medicated Shellac Nanofibers for Colon-Targeted Drug Delivery. Int. J. Pharm. 2015, 490, 384–390. [Google Scholar] [CrossRef]
- Lauro, M.R.; Picerno, P.; Franceschelli, S.; Pecoraro, M.; Aquino, R.P.; Pignatello, R. Eudraguard® Natural and Protect: New “Food Grade” Matrices for the Delivery of an Extract from Sorbus Domestica L. Leaves Active on the α-Glucosidase Enzyme. Pharmaceutics 2023, 15, 295. [Google Scholar] [CrossRef]
- EUDRAGIT® Functional Polymers for Oral Solid Dosage Forms. Available online: https://healthcare.evonik.com/en/drugdelivery/oral-drug-delivery/oral-excipients/eudragit-portfolio (accessed on 8 March 2023).
- Curcio, C.; Bonaccorso, A.; Musumeci, T.; Pignatello, R. Oral Controlled Delivery of Natural Compounds Using Food-Grade Polymer Microparticles. Curr. Nutraceuticals 2020, 2, 145–153. [Google Scholar] [CrossRef]
- Yus, C.; Gracia, R.; Larrea, A.; Andreu, V.; Irusta, S.; Sebastian, V.; Mendoza, G.; Arruebo, M. Targeted Release of Probiotics from Enteric Microparticulated Formulations. Polymers 2019, 11, 1668. [Google Scholar] [CrossRef] [PubMed]
- Verma, D.; Sharma, S.K. Recent Advances in Guar Gum Based Drug Delivery Systems and Their Administrative Routes. Int. J. Biol. Macromol. 2021, 181, 653–671. [Google Scholar] [CrossRef] [PubMed]
- Soleimani, K.; Derakhshankhah, H.; Jaymand, M.; Samadian, H. Stimuli-Responsive Natural Gums-Based Drug Delivery Systems for Cancer Treatment. Carbohydr. Polym. 2021, 254, 117422. [Google Scholar] [CrossRef] [PubMed]
- Sagbas, S.; Sahiner, N. Modifiable Natural Gum Based Microgel Capsules as Sustainable Drug Delivery Systems. Carbohydr. Polym. 2018, 200, 128–136. [Google Scholar] [CrossRef]
- Palumbo, F.S.; Federico, S.; Pitarresi, G.; Fiorica, C.; Giammona, G. Gellan Gum-Based Delivery Systems of Therapeutic Agents and Cells. Carbohydr. Polym. 2020, 229, 115430. [Google Scholar] [CrossRef] [PubMed]
- Jadav, M.; Pooja, D.; Adams, D.J.; Kulhari, H. Advances in Xanthan Gum-Based Systems for the Delivery of Therapeutic Agents. Pharmaceutics 2023, 15, 402. [Google Scholar] [CrossRef] [PubMed]
- Bhosale, R.R.; Gangadharappa, H.V.; Osmani, R.A.M.; Gowda, D.V. Design and Development of Polymethylmethacrylate-Grafted Gellan Gum (PMMA-g-GG)-Based PH-Sensitive Novel Drug Delivery System for Antidiabetic Therapy. Drug Deliv. Transl. Res. 2020, 10, 1002–1018. [Google Scholar] [CrossRef]
- Hashemi, K.; Hosseini, E. The Stabilizing and Prebiotic Potential of Water-Soluble Phase of Bitter Almond Gum Exudate in Probiotic Yogurt Drink. Carbohydr. Polym. 2021, 255, 117395. [Google Scholar] [CrossRef]
- Venkatesan, R.; Sekar, S.; Raorane, C.J.; Raj, V.; Kim, S.C. Hydrophilic Composites of Chitosan with Almond Gum: Characterization and Mechanical, and Antimicrobial Activity for Compostable Food Packaging. Antibiotics 2022, 11, 1502. [Google Scholar] [CrossRef]
- Amani, F.; Rezaei, A.; Damavandi, M.S.; Doost, A.S.; Jafari, S.M. Colloidal Carriers of Almond Gum/Gelatin Coacervates for Rosemary Essential Oil: Characterization and in-Vitro Cytotoxicity. Food Chem. 2022, 377, 131998. [Google Scholar] [CrossRef]
- Kanteti, R.V.; Sarheed, O.; Yadav, H.; Islam, Q.; Boateng, J. Studies on Almond Gum and Gelucire-Based Pellets Prepared by Extrusion and Spheronization for Sustained Release. Turk. J. Pharm. Sci. 2022, 19, 521–529. [Google Scholar] [CrossRef] [PubMed]
- Salehi, A.; Rezaei, A.; Damavandi, M.S.; Kharazmi, M.S.; Jafari, S.M. Almond Gum-Sodium Caseinate Complexes for Loading Propolis Extract: Characterization, Antibacterial Activity, Release, and In-Vitro Cytotoxicity. Food Chem. 2023, 405, 134801. [Google Scholar] [CrossRef] [PubMed]
- Oliveira, A.L.C.d.S.L.; Schomann, T.; de Geus-Oei, L.-F.; Kapiteijn, E.; Cruz, L.J.; Junior, R.F.d.A. Nanocarriers as a Tool for the Treatment of Colorectal Cancer. Pharmaceutics 2021, 13, 1321. [Google Scholar] [CrossRef] [PubMed]
- Liu, S.; Fang, Z.; Ng, K. Incorporating Inulin and Chitosan in Alginate-Based Microspheres for Targeted Delivery and Release of Quercetin to Colon. Food Res. Int. 2022, 160, 111749. [Google Scholar] [CrossRef]
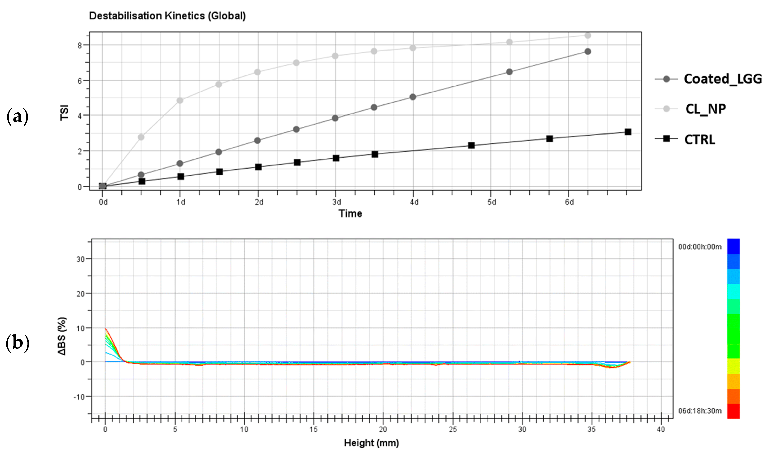
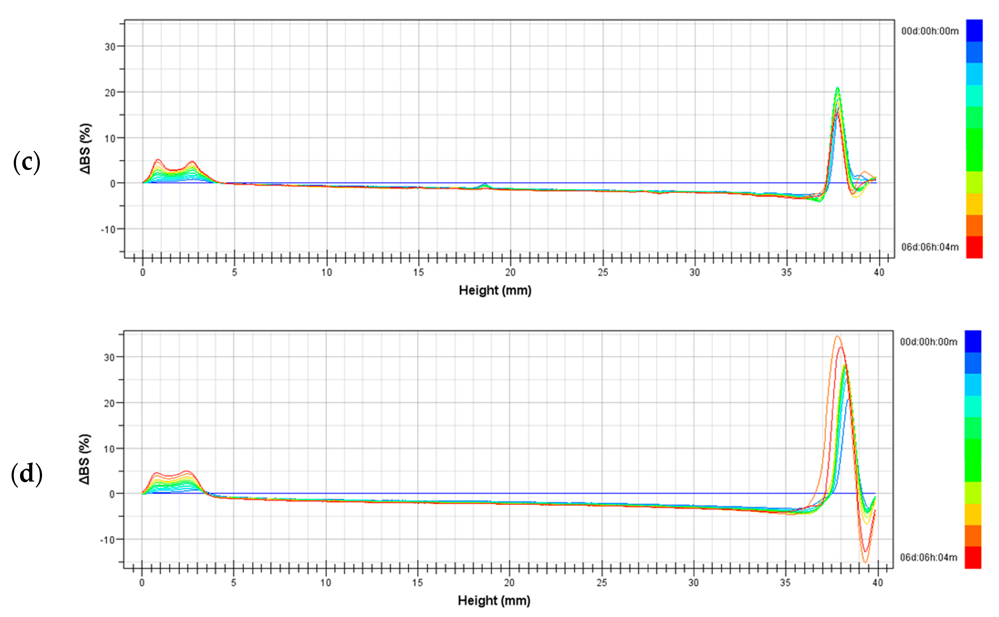
- Rizzo, S.; Cosentino, G.; Zingale, E.; Bonaccorso, A.; Petralia, S.; Monforte, F.; Condorelli, G.G.; Carbone, C.; Pignatello, R. Microscopic Evidence of the Behavior of PH-Sensitive Food-Grade Polymeric Delivery Systems. Curr. Nutraceuticals 2023, 4. pressview. [Google Scholar]
- Sarma, S.; Agarwal, S.; Bhuyan, P.; Hazarika, J.; Ganguly, M. Resveratrol-Loaded Chitosan-Pectin Core-Shell Nanoparticles as Novel Drug Delivery Vehicle for Sustained Release and Improved Antioxidant Activities. R. Soc. Open Sci. 2022, 9, 210784. [Google Scholar] [CrossRef]
- Tizro, P.; Choi, C.; Khanlou, N. Sample Preparation for Transmission Electron Microscopy. In Methods in Molecular Biology; Humana Press Inc.: Totowa, NJ, USA, 2019; Volume 1897, pp. 417–424. [Google Scholar] [CrossRef]
- Kulbacka, J.; Wilk, K.A.; Bazylińska, U.; Dubińska-Magiera, M.; Potoczek, S.; Saczko, J. Curcumin Loaded Nanocarriers with Varying Charges Augmented with Electroporation Designed for Colon Cancer Therapy. Int. J. Mol. Sci. 2022, 23, 1377. [Google Scholar] [CrossRef]
- Wang, D.; Sha, L.; Xu, C.; Huang, Y.; Tang, C.; Xu, T.; Li, X.; Di, D.; Liu, J.; Yang, L. Natural Saponin and Cholesterol Assembled Nanostructures as the Promising Delivery Method for Saponin. Colloids Surf. B Biointerfaces 2022, 214, 112448. [Google Scholar] [CrossRef]
- Bootz, A.; Vogel, V.; Schubert, D.; Kreuter, J. Comparison of Scanning Electron Microscopy, Dynamic Light Scattering and Analytical Ultracentrifugation for the Sizing of Poly(Butyl Cyanoacrylate) Nanoparticles. Eur. J. Pharm. Biopharm. 2004, 57, 369–375. [Google Scholar] [CrossRef]
- Doost, S.A.; Kassozi, V.; Grootaert, C.; Claeys, M.; Dewettinck, K.; van Camp, J.; van der Meeren, P. Self-Assembly, Functionality, and in-Vitro Properties of Quercetin Loaded Nanoparticles Based on Shellac-Almond Gum Biological Macromolecules. Int. J. Biol. Macromol. 2019, 129, 1024–1033. [Google Scholar] [CrossRef]
- Lu, L.; Chen, G.; Qiu, Y.; Li, M.; Liu, D.; Hu, D.; Gu, X.; Xiao, Z. Nanoparticle-Based Oral Delivery Systems for Colon Targeting: Principles and Design Strategies. Sci. Bull. 2016, 61, 670–681. [Google Scholar] [CrossRef]
- Kumar, S.C.; Thangam, R.; Mary, S.A.; Kannan, P.R.; Arun, G.; Madhan, B. Targeted Delivery and Apoptosis Induction of Trans-Resveratrol-Ferulic Acid Loaded Chitosan Coated Folic Acid Conjugate Solid Lipid Nanoparticles in Colon Cancer Cells. Carbohydr. Polym. 2020, 231, 115682. [Google Scholar] [CrossRef] [PubMed]
- Maisel, K.; Ensign, L.; Reddy, M.; Cone, R.; Hanes, J. Effect of Surface Chemistry on Nanoparticle Interaction with Gastrointestinal Mucus and Distribution in the Gastrointestinal Tract Following Oral and Rectal Administration in the Mouse. J. Control Release 2015, 197, 48–57. [Google Scholar] [CrossRef] [PubMed]
- Salah, N.; Dubuquoy, L.; Carpentier, R.; Betbeder, D. Starch Nanoparticles Improve Curcumin-Induced Production of Anti-Inflammatory Cytokines in Intestinal Epithelial Cells. Int. J. Pharm. X 2022, 4, 100114. [Google Scholar] [CrossRef]
- Mohanbhai, S.J.; Sardoiwala, M.N.; Gupta, S.; Shrimali, N.; Choudhury, S.R.; Sharma, S.S.; Guchhait, P.; Karmakar, S. Colon Targeted Chitosan-Melatonin Nanotherapy for Preclinical Inflammatory Bowel Disease. Biomater. Adv. 2022, 136, 212796. [Google Scholar] [CrossRef] [PubMed]
- Sun, L.; Nie, X.; Lu, W.; Zhang, Q.; Fang, W.; Gao, S.; Chen, S.; Hu, R. Mucus-Penetrating Alginate-Chitosan Nanoparticles Loaded with Berberine Hydrochloride for Oral Delivery to the Inflammation Site of Ulcerative Colitis. AAPS PharmSciTech 2022, 23, 179. [Google Scholar] [CrossRef] [PubMed]
- Alkhader, E.; Billa, N.; Roberts, C.J. Mucoadhesive Chitosan-Pectinate Nanoparticles for the Delivery of Curcumin to the Colon. AAPS PharmSciTech 2017, 18, 1009–1018. [Google Scholar] [CrossRef] [PubMed]
- Wang, W.; Yan, X.; Li, Q.; Chen, Z.; Wang, Z.; Hu, H. Adapted nano-carriers for gastrointestinal defense components: Surface strategies and challenges. Nanomed. Nanotechnol. Biol. Med. 2020, 29, 102277. [Google Scholar] [CrossRef] [PubMed]
- Abbas, Q.; Yousaf, B.; Amina; Ali, M.U.; Munir, M.A.M.; El-Naggar, A.; Rinklebe, J.; Naushad, M. Transformation Pathways and Fate of Engineered Nanoparticles (ENPs) in Distinct Interactive Environmental Compartments: A Review. Environ. Int. 2020, 138, 105646. [Google Scholar] [CrossRef] [PubMed]
- Wang, T.X.; Li, X.X.; Chen, L.; Li, L.; Janaswamy, S. Carriers Based on Zein-Dextran Sulfate Sodium Binary Complex for the Sustained Delivery of Quercetin. Front. Chem. 2020, 8, 662. [Google Scholar] [CrossRef]
- Wang, X.; Peng, F.; Liu, F.; Xiao, Y.; Li, F.; Lei, H.; Wang, J.; Li, M.; Xu, H. Zein-Pectin Composite Nanoparticles as an Efficient Hyperoside Delivery System: Fabrication, Characterization, and in Vitro Release Property. LWT 2020, 133, 109869. [Google Scholar] [CrossRef]
- Yun, P.; Devahastin, S.; Chiewchan, N. Microstructures of Encapsulates and Their Relations with Encapsulation Efficiency and Controlled Release of Bioactive Constituents: A Review. Compr. Rev. Food Sci. Food Saf. 2021, 20, 1768–1799. [Google Scholar] [CrossRef] [PubMed]
- Sorasitthiyanukarn, F.N.; Ratnatilaka Na Bhuket, P.; Muangnoi, C.; Rojsitthisak, P.; Rojsitthisak, P. Chitosan/Alginate Nanoparticles as a Promising Carrier of Novel Curcumin Diethyl Diglutarate. Int. J. Biol. Macromol. 2019, 131, 1125–1136. [Google Scholar] [CrossRef] [PubMed]
- Kurra, P.; Narra, K.; Puttugunta, S.B.; Kilaru, N.B.; Mandava, B.R. Development and Optimization of Sustained Release Mucoadhesive Composite Beads for Colon Targeting. Int. J. Biol. Macromol. 2019, 139, 320–331. [Google Scholar] [CrossRef]
- Zhang, S.; Kang, L.; Hu, S.; Hu, J.; Fu, Y.; Hu, Y.; Yang, X. Carboxymethyl Chitosan Microspheres Loaded Hyaluronic Acid/Gelatin Hydrogels for Controlled Drug Delivery and the Treatment of Inflammatory Bowel Disease. Int. J. Biol. Macromol. 2021, 167, 1598–1612. [Google Scholar] [CrossRef]
- Karakas, C.Y.; Ordu, H.R.; Bozkurt, F.; Karadag, A. Electrosprayed Chitosan-Coated Alginate–Pectin Beads as Potential System for Colon-Targeted Delivery of Ellagic Acid. J. Sci. Food Agric. 2022, 102, 965–975. [Google Scholar] [CrossRef]
- Agarwal, T.; Narayana, S.G.H.; Pal, K.; Pramanik, K.; Giri, S.; Banerjee, I. Calcium alginate-carboxymethyl cellulose beads for colon-targeted drug delivery. Int. J. Biol. Macromol. 2015, 75, 409–417. [Google Scholar] [CrossRef]
- Kulsoom, R.; Sarfraz, M.; Afzal, A.; Farooq, M.; Adnan, S.; Ashraf, M.U.; Khan, S.A. Synthesis of Calcium Carbonate-Quince Bio-Composite for Programmed and on-Demand Drug Release of Paracetamol at Target Site: A Green Chemistry Approach. Polym. Bull. 2022, 30, 1–24. [Google Scholar] [CrossRef]
- Ullah, K.; Khan, S.A.; Murtaza, G.; Sohail, M.; Manan, A.; Afzal, A. Gelatin-based hydrogels as potential biomaterials for colonic delivery of oxaliplatin. Int. J. Pharm. 2019, 556, 236–245. [Google Scholar] [CrossRef]
- Natrajan, D.; Srinivasan, S.; Sundar, K.; Ravindran, A. Formulation of Essential Oil-Loaded Chitosan-Alginate Nanocapsules. J. Food Drug Anal. 2015, 23, 560–568. [Google Scholar] [CrossRef]
- Jangid, A.K.; Solanki, R.; Patel, S.; Pooja, D.; Kulhari, H. Genistein Encapsulated Inulin-Stearic Acid Bioconjugate Nanoparticles: Formulation Development, Characterization and Anticancer Activity. Int. J. Biol. Macromol. 2022, 206, 213–221. [Google Scholar] [CrossRef]
- Ali, H.E.; Radwan, R.R. Synthesis, Characterization and Evaluation of Resveratrol-Loaded Functionalized Carbon Nanotubes as a Novel Delivery System in Radiation Enteropathy. Eur. J. Pharm. Sci. 2021, 167, 106002. [Google Scholar] [CrossRef]
- Yingying, M.; Xiu-Xia, L.; Luyun, C.; Jianrong, L. PH-Sensitive ϵ-Polylysine/Polyaspartic Acid/Zein Nanofiber Membranes for the Targeted Release of Polyphenols. Food Funct. 2022, 13, 6792–6801. [Google Scholar] [CrossRef] [PubMed]
- Wasay, S.A.; Jan, S.U.; Akhtar, M.; Noreen, S.; Gul, R. Developed Meloxicam Loaded Microparticles for Colon Targeted Delivery: Statistical Optimization, Physicochemical Characterization, and in-Vivo Toxicity Study. PLoS ONE 2022, 17, e0267306. [Google Scholar] [CrossRef] [PubMed]
- Doost, S.A.; Muhammad, D.R.A.; Stevens, C.V.; Dewettinck, K.; van der Meeren, P. Fabrication and Characterization of Quercetin Loaded Almond Gum-Shellac Nanoparticles Prepared by Antisolvent Precipitation. Food Hydrocoll. 2018, 83, 190–201. [Google Scholar] [CrossRef]
- Shirmohammadli, F.; Nikzad, M.; Ghoreyshi, A.A.; Mohammadi, M.; Poureini, F. Preparation and Characterization of Zein/Sodium Caseinate/Xanthan Gum Complex for Encapsulation of Piperine and Its In Vitro Release Study. Food Biophys. 2021, 16, 254–269. [Google Scholar] [CrossRef]
- Jain, A.K.; Thareja, S. In Vitro and in Vivo Characterization of Pharmaceutical Nanocarriers Used for Drug Delivery. Artif. Cells Nanomed. Biotechnol. 2019, 47, 524–539. [Google Scholar] [CrossRef] [PubMed]
- Lima, L.C.B.; Coelho, C.C.; Silva, F.C.; Meneguin, A.B.; Barud, H.S.; Bezerra, R.D.S.; Viseras, C.; Osajima, J.A.; Silva-Filho, E.C. Hybrid Systems Based on Talc and Chitosan for Controlled Drug Release. Materials 2019, 12, 3634. [Google Scholar] [CrossRef]
- Zhang, X.; Han, Y.; Huang, W.; Jin, M.; Gao, Z. The Influence of the Gut Microbiota on the Bioavailability of Oral Drugs. Acta Pharm. Sin. B 2021, 11, 1789–1812. [Google Scholar] [CrossRef]
- Hanmantrao, M.; Chaterjee, S.; Kumar, R.; Vishwas, S.; Harish, V.; Porwal, O.; Alrouji, M.; Alomeir, O.; Alhajlah, S.; Gulati, M.; et al. Development of Guar Gum-Pectin-Based Colon Targeted Solid Self-Nanoemulsifying Drug Delivery System of Xanthohumol. Pharmaceutics 2022, 14, 2384. [Google Scholar] [CrossRef]
- Bermejo, M.; Sanchez-Dengra, B.; Gonzalez-Alvarez, M.; Gonzalez-Alvarez, I. Oral Controlled Release Dosage Forms: Dissolution versus Diffusion. Expert Opin. Drug Deliv. 2020, 17, 791–803. [Google Scholar] [CrossRef] [PubMed]
- Wang, S.; Liu, R.; Fu, Y.; Kao, W.J. Release Mechanisms and Applications of Drug Delivery Systems for Extended-Release. Expert Opin. Drug Deliv. 2020, 17, 1289–1304. [Google Scholar] [CrossRef]
- Tang, X.F.; Zhang, X.Y.; Zhao, Q.Q. A PH/Time/Pectinase-Dependent Oral Colon-Targeted System Containing Isoliquiritigenin: Pharmacokinetics and Colon Targeting Evaluation in Mice. Eur. J. Drug Metab. Pharmacokinet. 2022, 47, 677–686. [Google Scholar] [CrossRef] [PubMed]
- Hens, B.; Sinko, P.; Job, N.; Dean, M.; Al-Gousous, J.; Salehi, N.; Ziff, R.M.; Tsume, Y.; Bermejo, M.; Paixão, P.; et al. Formulation Predictive Dissolution (FPD) Testing to Advance Oral Drug Product Development: An Introduction to the US FDA Funded ‘21st Century BA/BE’ Project. Int. J. Pharm. 2018, 548, 120–127. [Google Scholar] [CrossRef] [PubMed]
- Ruiz-Picazo, A.; Lozoya-Agullo, I.; González-Álvarez, I.; Bermejo, M.; González-Álvarez, M. Effect of Excipients on Oral Absorption Process According to the Different Gastrointestinal Segments. Expert Opin. Drug Deliv. 2021, 18, 1005–1024. [Google Scholar] [CrossRef]
- Silchenko, S.; Nessah, N.; Li, J.; Li, L.-B.; Huang, Y.; Owen, A.J.; Hidalgo, I.J. In Vitro Dissolution Absorption System (IDAS2): Use for the Prediction of Food Viscosity Effects on Drug Dissolution and Absorption from Oral Solid Dosage Forms. Eur. J. Pharm. Sci. 2020, 143, 105164. [Google Scholar] [CrossRef]
- Andishmand, H.; Tabibiazar, M.; Mohammadifar, M.A.; Hamishehkar, H. Pectin-Zinc-Chitosan-Polyethylene Glycol Colloidal Nano-Suspension as a Food Grade Carrier for Colon Targeted Delivery of Resveratrol. Int. J. Biol. Macromol. 2017, 97, 16–22. [Google Scholar] [CrossRef]
- Zhang, C.; Chen, Z.; He, Y.; Xian, J.; Luo, R.; Zheng, C.; Zhang, J. Oral Colon-Targeting Core–Shell Microparticles Loading Curcumin for Enhanced Ulcerative Colitis Alleviating Efficacy. Chin. Med. 2021, 16, 92. [Google Scholar] [CrossRef]
- Wang, X.; Xie, H.; Shi, C.; Dziugan, P.; Zhao, H.; Zhang, B. Fabrication and Characterization of Gel Beads of Whey Isolate Protein–Pectin Complex for Loading Quercetin and Their Digestion Release. Gels 2022, 8, 18. [Google Scholar] [CrossRef]
- Feng, X.; Xie, Q.; Xu, H.; Zhang, T.; Li, X.; Tian, Y.; Lan, H.; Kong, L.; Zhang, Z. Yeast Microcapsule Mediated Natural Products Delivery for Treating Ulcerative Colitis through Anti-Inflammatory and Regulation of Macrophage Polarization. ACS Appl. Mater. Interfaces 2022, 14, 31085–31098. [Google Scholar] [CrossRef]
- Boukoufi, C.; Boudier, A.; Maincent, P.; Vigneron, J.; Clarot, I. Food-Inspired Innovations to Improve the Stability of Active Pharmaceutical Ingredients. Int. J. Pharm. 2022, 623, 121881. [Google Scholar] [CrossRef] [PubMed]
- Pramar, Y.V.; Mandal, T.K.; Bostanian, L.A.; Le, G.; Morris, T.C.; Graves, R.A. Physicochemical and Microbiological Stability of Compounded Metronidazole Suspensions in PCCA SuspendIt. Int. J. Pharm. Compd. 2021, 25, 169. [Google Scholar] [PubMed]
- González-González, O.; Ramirez, I.O.; Ramirez, B.I.; O’Connell, P.; Ballesteros, M.P.; Torrado, J.J.; Serrano, D.R. Drug Stability: ICH versus Accelerated Predictive Stability Studies. Pharmaceutics 2022, 14, 2324. [Google Scholar] [CrossRef] [PubMed]
- Shao, P.; Feng, J.; Sun, P.; Xiang, N.; Lu, B.; Qiu, D. Recent Advances in Improving Stability of Food Emulsion by Plant Polysaccharides. Food Res. Int. 2020, 137, 109376. [Google Scholar] [CrossRef] [PubMed]
- Lim, L.M.; Hadinoto, K. Enhancing the Stability of Amorphous Drug-Polyelectrolyte Nanoparticle Complex Using a Secondary Small-Molecule Drug as the Stabilizer: A Case Study of Ibuprofen-Stabilized Curcumin-Chitosan Nanoplex. Int. J. Pharm. 2020, 575, 119007. [Google Scholar] [CrossRef]
- Shehzad, Q.; Rehman, A.; Jafari, S.M.; Zuo, M.; Khan, M.A.; Ali, A.; Khan, S.; Karim, A.; Usman, M.; Hussain, A.; et al. Improving the Oxidative Stability of Fish Oil Nanoemulsions by Co-Encapsulation with Curcumin and Resveratrol. Colloids Surf. B Biointerfaces 2021, 199, 111481. [Google Scholar] [CrossRef]
- Sabjan, K.B.; Munawar, S.M.; Rajendiran, D.; Vinoji, S.K.; Kasinathan, K. Nanoemulsion as Oral Drug Delivery-A Review. Curr. Drug Res. Rev. 2019, 12, 4–15. [Google Scholar] [CrossRef]
- Sultana, S.; Alzahrani, N.; Alzahrani, R.; Alshamrani, W.; Aloufi, W.; Ali, A.; Najib, S.; Siddiqui, N.A. Stability Issues and Approaches to Stabilised Nanoparticles Based Drug Delivery System. J. Drug Target 2020, 28, 468–486. [Google Scholar] [CrossRef]
- Zhang, M.; Fan, L.; Liu, Y.; Huang, S.; Li, J. Effects of Proteins on Emulsion Stability: The Role of Proteins at the Oil–Water Interface. Food Chem. 2022, 397, 133726. [Google Scholar] [CrossRef]
- Francke, N.M.; Bunjes, H. Drug Localization and Its Effect on the Physical Stability of Poloxamer 188-Stabilized Colloidal Lipid Emulsions. Int. J. Pharm. 2021, 599, 120394. [Google Scholar] [CrossRef]
- Kong, L.; Jin, X.; Hu, D.; Feng, L.; Chen, D.; Li, H. Functional Delivery Vehicle of Organic Nanoparticles in Inorganic Crystals. Chin. Chem. Lett. 2019, 30, 2351–2354. [Google Scholar] [CrossRef]
- Muhammad, D.R.A.; Sedaghat Doost, A.; Gupta, V.; bin Sintang, M.D.; van de Walle, D.; van der Meeren, P.; Dewettinck, K. Stability and Functionality of Xanthan Gum–Shellac Nanoparticles for the Encapsulation of Cinnamon Bark Extract. Food Hydrocoll. 2020, 100, 105377. [Google Scholar] [CrossRef]
- Wang, X.; Li, M.; Liu, F.; Peng, F.; Li, F.; Lou, X.; Jin, Y.; Wang, J.; Xu, H. Fabrication and Characterization of Zein-Tea Polyphenols-Pectin Ternary Complex Nanoparticles as an Effective Hyperoside Delivery System: Formation Mechanism, Physicochemical Stability, and in Vitro Release Property. Food Chem. 2021, 364, 130335. [Google Scholar] [CrossRef] [PubMed]
- Bonaccorso, A.; Russo, N.; Romeo, A.; Carbone, C.; Grimaudo, M.A.; Alvarez-Lorenzo, C.; Randazzo, C.; Musumeci, T.; Caggia, C. Coating Lacticaseibacillus Rhamnosus GG in Alginate Systems: An Emerging Strategy Towards Improved Viability in Orange Juice. AAPS PharmSciTech 2021, 22, 123. [Google Scholar] [CrossRef] [PubMed]
- Alshawwa, S.Z.; Kassem, A.A.; Farid, R.M.; Mostafa, S.K.; Labib, G.S. Nanocarrier Drug Delivery Systems: Characterization, Limitations, Future Perspectives and Implementation of Artificial Intelligence. Pharmaceutics 2022, 14, 883. [Google Scholar] [CrossRef] [PubMed]
- Wang, C.; Li, J.; Han, X.; Liu, S.; Gao, X.; Guo, C.; Wu, X. Silk sericin stabilized proanthocyanidins for synergetic alleviation of ulcerative colitis. Int. J. Biol. Macromol. 2022, 220, 1021–1030. [Google Scholar] [CrossRef]
- Wang, X.; Gu, H.; Zhang, H.; Xian, J.; Li, J.; Fu, C.; Zhang, C.; Zhang, J. Oral Core-Shell Nanoparticles Embedded in Hydrogel Microspheres for the Efficient Site-Specific Delivery of Magnolol and Enhanced Antiulcerative Colitis Therapy. ACS Appl. Mater. Interfaces 2021, 13, 33948–33961. [Google Scholar] [CrossRef]
- Xiao, M.; Wu, S.; Cheng, Y.; Ma, J.; Luo, X.; Chang, L.; Zhang, C.; Chen, J.; Zou, L.; You, Y.; et al. Colon-specific delivery of isoliquiritigenin by oral ediblezein/caseate nanocomplex for ulcerative colitis treatment. Front. Chem. 2022, 10, 981055. [Google Scholar] [CrossRef]
- Sorasitthiyanukarn, F.N.; Muangnoi, C.; Ratnatilaka Na Bhuket, P.; Rojsitthisak, P.; Rojsitthisak, P. Chitosan/alginate nanoparticles as a promising approach for oral delivery of curcumin diglutaric acid for cancer treatment. Mater. Sci. Eng. C 2018, 93, 178–190. [Google Scholar] [CrossRef]
- Joshi, A.; Soni, A.; Acharya, S. In Vitro models and ex vivo systems used in inflammatory bowel disease. Vitr. Model. 2022, 1, 213–227. [Google Scholar] [CrossRef]
- Araújo, F.; Sarmento, B. Towards the characterization of an in vitro triple co-culture intestine cell model for permeability studies. Int. J. Pharm. 2013, 458, 128–134. [Google Scholar] [CrossRef] [PubMed]
- Prezotti, F.G.; Boni, F.I.; Ferreira, N.N.; de Souza e Silva, D.; Campana-Filho, S.P.; Almeida, A.; Vasconcelos, T.; Gremião, M.P.D.; Cury, B.S.F.; Sarmento, B. Gellan Gum/Pectin Beads Are Safe and Efficient for the Targeted Colonic Delivery of Resveratrol. Polymers 2018, 10, 50. [Google Scholar] [CrossRef] [PubMed]
- Silva, I.; Pinto, R.; Mateus, V. Preclinical Study in Vivo for New Pharmacological Approaches in Inflammatory Bowel Disease: A Systematic Review of Chronic Model of TNBS-Induced Colitis. J. Clin. Med. 2019, 8, 1574. [Google Scholar] [CrossRef] [PubMed]
- Gao, X.; Li, J.; Pang, X.; Cong, K.; Jiang, C.; Han, B.; Gao, J.; Wang, Z.; Hu, J.; Wen, K.; et al. Animal Models and Pathogenesis of Ulcerative Colitis. Comput. Math. Methods Med. 2022, 2022, 1574. [Google Scholar] [CrossRef]
- Luo, R.; Lin, M.; Zhang, C.; Shi, J.; Zhang, S.; Chen, Q.; Hu, Y.; Zhang, M.; Zhang, J.; Gao, F. Genipin-Crosslinked Human Serum Albumin Coating Using a Tannic Acid Layer for Enhanced Oral Administration of Curcumin in the Treatment of Ulcerative Colitis. Food Chem. 2020, 330, 127241. [Google Scholar] [CrossRef]
- Zhang, C.; Wang, X.; Xiao, M.; Ma, J.; Qu, Y.; Zou, L.; Zhang, J. Nano-in-Micro Alginate/Chitosan Hydrogel via Electrospray Technology for Orally Curcumin Delivery to Effectively Alleviate Ulcerative Colitis. Mater. Des. 2022, 221, 110894. [Google Scholar] [CrossRef]
- Zu, M.; Xie, D.; Canup, B.S.B.; Chen, N.; Wang, Y.; Sun, R.; Zhang, Z.; Fu, Y.; Dai, F.; Xiao, B. ‘Green’ Nanotherapeutics from Tea Leaves for Orally Targeted Prevention and Alleviation of Colon Diseases. Biomaterials 2021, 279, 121178. [Google Scholar] [CrossRef]
- Li, L.; Cui, H.; Li, T.; Qi, J.; Chen, H.; Gao, F.; Tian, X.; Mu, Y.; He, R.; Lv, S.; et al. Synergistic Effect of Berberine-Based Chinese Medicine Assembled Nanostructures on Diarrhea-Predominant Irritable Bowel Syndrome In Vivo. Front. Pharmacol. 2020, 11, 1210. [Google Scholar] [CrossRef]
- McCoubrey, L.E.; Favaron, A.; Awad, A.; Orlu, M.; Gaisford, S.; Basit, A.W. Colonic drug delivery: Formulating the next generation of colon-targeted therapeutics. J. Control Release 2023, 353, 1107. [Google Scholar] [CrossRef]
- Nardelli, S.; Pisani, L.F.; Tontini, G.E.; Vecchi, M.; Pastorelli, L. MMX® technology and its applications in gastrointestinal diseases. Therap. Adv. Gastroenterol. 2017, 10, 545. [Google Scholar] [CrossRef]
- Varum, F.; Freire, A.C.; Bravo, R.; Basit, A.W. OPTICORE™, an innovative and accurate colonic targeting technology. Int. J. Pharm. 2020, 583, 119372. [Google Scholar] [CrossRef] [PubMed]
- Varum, F.; Freire, A.C.; Fadda, H.M.; Bravo, R.; Basit, A.W. A dual pH and microbiota-triggered coating (PhloralTM) for fail-safe colonic drug release. Int. J. Pharm. 2020, 583, 119379. [Google Scholar] [CrossRef] [PubMed]
- A Commercially-Proven Colon Targeted Drug Delivery System. Available online: https://healthcare.evonik.com/en/drugdelivery/oral-drug-delivery/oral-drug-delivery-technologies/sustained-colonic-delivery (accessed on 10 April 2023).



















| Polymer (CAS Number) | Ave. MW Range (kDa) | Solubility | WVP and MA | Isoelectric Point (pH) | Thermal Behavior (°C) (a) Tg (b) Tm (c) Td | Color | Odor | Flavor | Origin | Refs. | 
|---|---|---|---|---|---|---|---|---|---|---|
| Alginate (9005-38-3) | 51–173 | Soluble in water. Insoluble in alcohol, chloroform and ether | WVP = 6.16 × 10–7 MA = 60% | 5.4 | (a) 212 (b) 99 (c) ≥300 | White-light beige | Odorless | None | Salt of alginic acid derived by brown algae | [13,14,15,16] | 
| Inulin (9005-80-5) | 0.6–7 | Water (moderately soluble at 25 °C, soluble at 80 °C); ethanol: almost insoluble | WVP = 4.3 MA = 12–15 g/100 g dry inulin | 5–7 | (a) 175 (b)140–180 § (c)190–220 § | White | Odorless | None | Chicory roots | [17,18,19,20,21] | 
| Chitosan (9012-76-4) | 150–600 | Soluble at pH ≤ 6 | WVP = 3.64–6.56 MA = 7–11% | ~9 | (a) ~203 (medium Mw chitosan) (b) 290 (medium Mw chitosan) (c) 380 | White or almost white fine powder | Fishy odor | Astringent taste | Linear polysaccharide derived from crustacean exoskeleton | [22,23,24,25] | 
| Pectin (9000-69-5) | 50–150 | Soluble in water | WVP = 4.47 MA = 48.55% | 3.5 | (a) 16.8 to −24.6 (depending on water content) (b) 174–180 (c) ≥100 (pH-based) | From with to light brown powder | Odorless | None | Fruits (pears, apples, plums, gooseberries) and citrus fruits (oranges) | [26,27,28,29] | 
| α-Zein (9010-66-6) | 22–24 | Soluble in ethanol (60–95%) and in alkaline aqueous solutions (pH ≥ 11) | WVP = ~0.13 MA ≤ 8% | 6.2 | (a) 93 (b) 80–87 (c) 280 | Yellowish | Odorless | None | Cereal seeds and maize | [30,31,32] | 
| Almond gum | 15.9 × 103 | Soluble in water, insoluble in organic solvents, glycerin, paraffin oil | WVP = 18 MA = 14.89% | 4.5–5.5 | (a) 58.5 (b) 174 (c) 410 | Light brown or pale yellow | Odorless | None | Produced by almond trees | [33,34,35,36,37] | 
| Gellan gum (71010-52-1) | 500 | Hot water (>70 °C) | WVP = 16.8 MA = ~28% | 4.5 | (a) ~70–80 (b) n.a. (c) >80 | White | Odorless | None | Produced by Pseudomonas elodea | [38,39] | 
| Eudra-guard Biotic (26936-24-3) | 280 | pH-dependent water-solubility (soluble above pH 7); soluble in acetone, ethanol and isopropyl alcohol | / | / | (a) 48 | White | Odorless | None | Synthetic methacrylate copolymer | [40,41] | 
| Eudra-guard Control (9010-88-2) | 600 | Soluble in acetone, ethanol and isopropyl alcohol. Miscible with water. | / | / | n.a. | White | Odorless | None | Synthetic methacrylate copolymer | [40] | 
| Shellac (gum) (9000-59-3) | 0.58 | Soluble in ethyl alcohol | 4.6 | (b) 75 | Yellow (from blonde color to dark brown) | pretty strong smell—mild alcohol odor | Bitter taste | Refined from a resinous substance excreted by an insect (Laccifer lacca) | [42] | |
| Lignin (8068-05-1) | ≥5 | Poorly soluble in water; soluble in methanol and dioxane | MA = 0.59% | (a) 90 (b) 170 | From black to brown as pH decreases | smoky or sulfurous smell | None | Derived mainly from hydroxy-cinnamyl alcohols | [43,44] | 
| Disclaimer/Publisher’s Note: The statements, opinions and data contained in all publications are solely those of the individual author(s) and contributor(s) and not of MDPI and/or the editor(s). MDPI and/or the editor(s) disclaim responsibility for any injury to people or property resulting from any ideas, methods, instructions or products referred to in the content. | 
© 2023 by the authors. Licensee MDPI, Basel, Switzerland. This article is an open access article distributed under the terms and conditions of the Creative Commons Attribution (CC BY) license (https://creativecommons.org/licenses/by/4.0/).
Share and Cite
Rizzo, S.; Zingale, E.; Romeo, A.; Lombardo, R.; Pignatello, R. Colon Delivery of Nutraceutical Ingredients by Food-Grade Polymeric Systems: An Overview of Technological Characterization and Biological Evaluation. Appl. Sci. 2023, 13, 5443. https://doi.org/10.3390/app13095443
Rizzo S, Zingale E, Romeo A, Lombardo R, Pignatello R. Colon Delivery of Nutraceutical Ingredients by Food-Grade Polymeric Systems: An Overview of Technological Characterization and Biological Evaluation. Applied Sciences. 2023; 13(9):5443. https://doi.org/10.3390/app13095443
Chicago/Turabian StyleRizzo, Salvatore, Elide Zingale, Alessia Romeo, Rosamaria Lombardo, and Rosario Pignatello. 2023. "Colon Delivery of Nutraceutical Ingredients by Food-Grade Polymeric Systems: An Overview of Technological Characterization and Biological Evaluation" Applied Sciences 13, no. 9: 5443. https://doi.org/10.3390/app13095443
APA StyleRizzo, S., Zingale, E., Romeo, A., Lombardo, R., & Pignatello, R. (2023). Colon Delivery of Nutraceutical Ingredients by Food-Grade Polymeric Systems: An Overview of Technological Characterization and Biological Evaluation. Applied Sciences, 13(9), 5443. https://doi.org/10.3390/app13095443
 
        



 
       