Cooperative Guidance Law for the Mother-Cabin of the Anti-UAV Cluster Mother-Son Missile
Abstract
Featured Application
Abstract
1. Introduction
- (1)
- We propose a novel pattern of intercepting UAV cluster: the use of mother-son missiles to in-tercept UAV cluster composed of medium to large UAVs over the range of medium and far distances.
- (2)
- For the proposed operational pattern, we have designed a special guidance law for the mother-cabins of the mother-son missiles with the following characteristics: zero LOS constraint, smooth convergence of each missile velocity, and converge to the same velocity only at the time of impacting the targets. This design allows the controller to have a small and smooth output. In addition, given the weak cluster mobility of the UAV cluster, the controller designed in this paper is simple and easy to implement.
2. Description and Analysis of Cooperative Guidance of Multiple Mother-Cabins
2.1. The Operational Pattern of Cooperative Interception of UAV Clusters by Mother-Son Missiles
2.2. Analysis of the Mother-Cabin Guidance
2.3. Missile-Target Relative Motion Model
2.4. Analysis of Cooperative Guidance
- (1)
- The independently designed controllers only focus on the convergence speed and accuracy of their respective states, but there is a coupling between the missile flight states. The result of the LOS control will affect the time-to-go state. When the control effects of the two controllers do not match, the missile will miss the target or cause significant bending or oscillation of the trajectory.
- (2)
- To achieve good control, the output of the controller is often a large value in the initial stages of cooperation. However, in practice, the output capacity of the missile actuator is limited, and the theoretical guidance output cannot be achieved. This limitation will lead to a poor actual guidance effect or cause instability and non-convergence of the controller.
- (3)
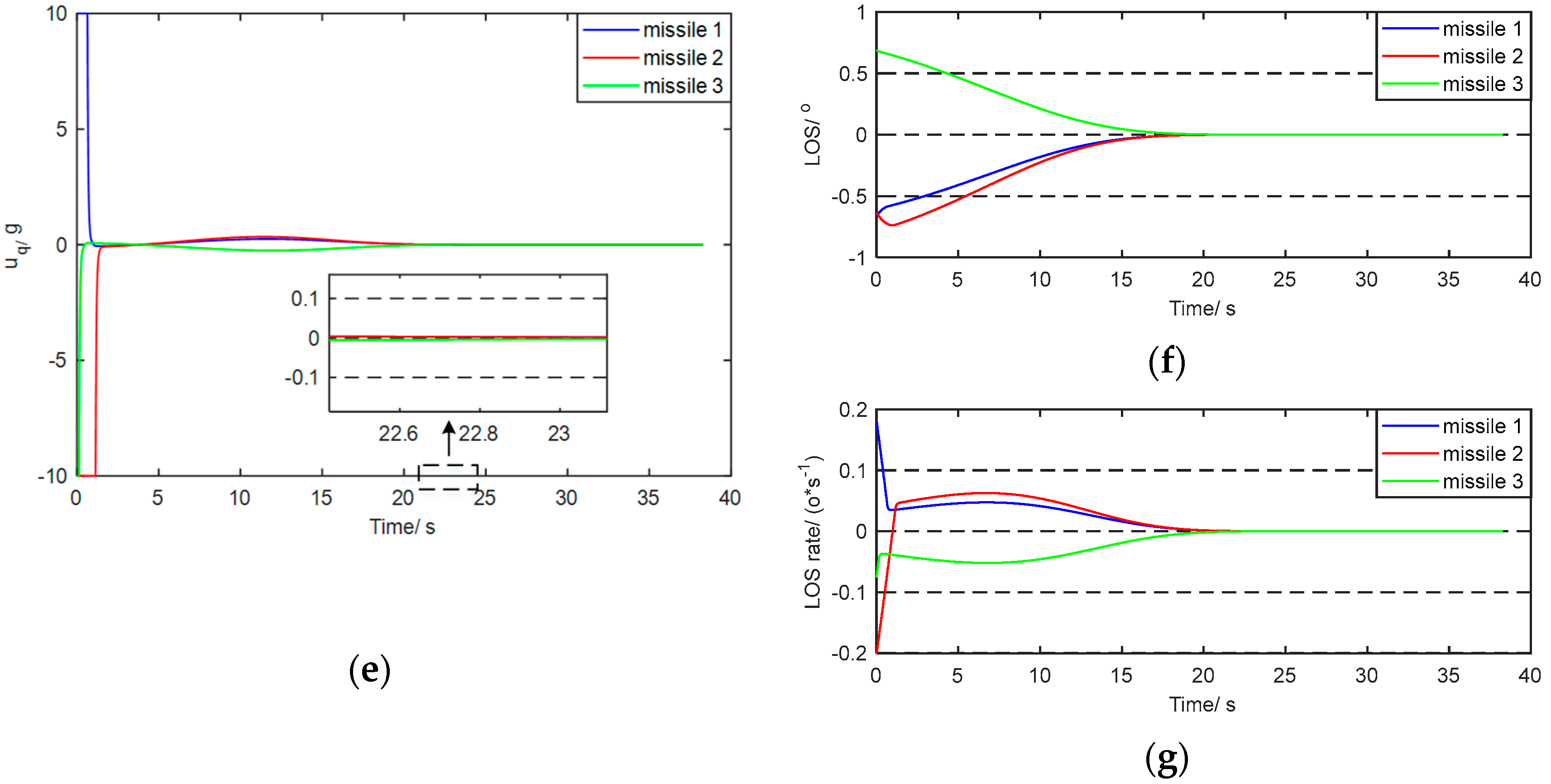
- In the case of the zero LOS constraint, the LOS and LOS rate will only converge to zero when the missile reaches to the same altitude as the target. In our experimental test, we found that the convergence time is the longest under the zero LOS constraint in angle-constrained guidance laws, and the ballistic trajectory is most likely to be significantly bent. Problems (1) and (2) are also the most prominent in this case.
3. Multi-Missile Cooperative Guidance Law Design
3.1. Guidance Law Design in the LOS Direction
3.1.1. Multi-Agent Consistency Theory
3.1.2. Impact Time and Speed Consistency Control of Multi-Missiles
3.2. Guidance Law Design in the Normal Direction of LOS
3.3. Multi-Missile Cooperative Guidance Structure
4. Simulations
5. Conclusions
Author Contributions
Funding
Institutional Review Board Statement
Informed Consent Statement
Data Availability Statement
Conflicts of Interest
References
- Jeon, I.S.; Lee, J.I.; Tahk, M.J. Impact-time-control guidance law for anti-ship missiles. IEEE Trans. Control Syst. Technol. 2006, 14, 260–266. [Google Scholar] [CrossRef]
- Lee, J.I.; Jeon, I.S. Guidance law to control impact time and angle. IEEE Trans. Aerosp. Electron. Syst. 2007, 43, 301–310. [Google Scholar]
- Zhang, Y.A.; Ma, G.X.; Liu, A.L. Guidance law with impact time and impact angle constraints. Chin. J. Aeronaut. 2013, 26, 960–966. [Google Scholar] [CrossRef]
- Kim, M.; Jung, B.; Han, B.; Lee, S.; Kim, Y. Lyapunov-Based Impact Time Control Guidance Laws Against Stationary Targets. IEEE Trans. Aerosp. Electron. Syst. 2015, 51, 1111–1122. [Google Scholar] [CrossRef]
- Zhao, J.B.; Yang, S.X. Review of multi-missile cooperative guidance. Acta Aeronaut. Astronaut. Sin. 2017, 38, 22–34. (In Chinese) [Google Scholar]
- Zhang, Y.A.; Ma, G.X.; Wang, X.P. Time-cooperative guidance for multi-missiles: A leader-follower strategy. Acta Aeronaut. Astronaut. Sin. 2009, 30, 1109–1118. (In Chinese) [Google Scholar]
- Zhao, S.Y.; Zhou, R. Multi-missile cooperative guidance using coordination variables. Acta Aeronaut. Astronaut. Sin. 2008, 29, 1605–1611. (In Chinese) [Google Scholar]
- Yu, J.L.; Dong, X.W.; Li, Q.D.; Lv, J.H.; Ren, Z. Distributed adaptive cooperative time-varying formation tracking guidance for multiple aerial vehicles system. Aerosp. Sci. Technol. 2021, 117, 17. [Google Scholar] [CrossRef]
- Sun, X.J.; Zhou, R.; Wu, J.; Chen, S.D. Distributed cooperative guidance and control for multiple missiles. J. Beijing Univ. Aeronaut. Astronaut. 2014, 40, 120–124. (In Chinese) [Google Scholar]
- Zhao, Q.L.; Chen, J.; Dong, X.W.; Li, Q.D.; Ren, Z. Cooperative guidance law for heterogeneous missiles intercepting hypersonic weapon. Acta Aeronaut. Astronaut. Sin. 2016, 37, 936–948. (In Chinese) [Google Scholar]
- Cong, M.Y.; Cheng, X.H.; Zhao, Z.Q.; Li, Z.J. Studies on Multi-Constraints Cooperative Guidance Method Based on Distributed MPC for Multi-Missiles. Appl. Sci. 2021, 11, 10857. [Google Scholar] [CrossRef]
- Kumar, S.R.; Ghose, D. Cooperative Rendezvous Guidance using Sliding Mode Control for Interception of Stationary Targets. IFAC Proc. Vol. 2014, 47, 477–483. [Google Scholar] [CrossRef]
- Zhao, J.; Zhou, R. Unified approach to cooperative guidance laws against stationary and maneuvering targets. Nonlinear Dyn. 2015, 81, 1635–1647. [Google Scholar] [CrossRef]
- Chen, Z.Y.; Yu, J.L.; Dong, X.W.; Ren, Z. Three-dimensional cooperative guidance strategy and guidance law for intercepting highly maneuvering target. Chin. J. Aeronaut. 2021, 34, 485–495. [Google Scholar] [CrossRef]
- Wang, L.; Xiao, F. Finite-Time Consensus Problems for Networks of Dynamic Agents. IEEE Trans. Autom. Control 2010, 55, 950–955. [Google Scholar] [CrossRef]
- Zhang, P.; Liu, H.H.T.; Li, X.B.; Yao, Y. Fault tolerance of cooperative interception using multiple flight vehicles. J. Frankl. Inst.-Eng. Appl. Math. 2013, 350, 2373–2395. [Google Scholar] [CrossRef]
- Ma, S.; Wang, X.G.; Wang, Z.Y.; Chen, Q. Consensus-Based Finite-Time Cooperative Guidance with Field-of-View Constraint. Int. J. Aeronaut. Space Sci. 2022, 23, 966–979. [Google Scholar] [CrossRef]
- An, K.; Guo, Z.Y.; Huang, W.; Xu, X.P. A Cooperative Guidance Approach Based on the Finite-Time Control Theory for Hypersonic Vehicles. Int. J. Aeronaut. Space Sci. 2022, 23, 169–179. [Google Scholar] [CrossRef]
- Song, J.H.; Song, S.M.; Zhou, H.B. Adaptive Nonsingular Fast Terminal Sliding Mode Guidance Law with Impact Angle Constraints. Int. J. Control Autom. Syst. 2016, 14, 99–114. [Google Scholar] [CrossRef]
- He, S.M.; Lin, D.F. Adaptive nonsingular sliding mode based guidance law with terminal angular constraint. Int. J. Aeronaut. Space Sci. 2014, 15, 146–152. [Google Scholar] [CrossRef]
- Yang, X.Y.; Song, S.M. Three-dimensional consensus algorithm for nonsingular distributed cooperative guidance strategy. Aerosp. Sci. Technol. 2021, 118, 18. [Google Scholar] [CrossRef]
- Shtessel, Y.B.; Moreno, J.A.; Fridman, L.M. Twisting sliding mode control with adaptation: Lyapunov design, methodology and application. Automatica 2017, 75, 229–235. [Google Scholar] [CrossRef]
- Zhang, S.; Guo, Y.; Liu, Z.G.; Wang, S.C.; Hu, X.X. Finite-Time Cooperative Guidance Strategy for Impact Angle and Time Control. IEEE Trans. Aerosp. Electron. Syst. 2021, 57, 806–819. [Google Scholar] [CrossRef]
- Ma, M.C.; Song, S.M. Three-dimensional prescribed performance cooperative guidance law with spatial constraint for intercepting manoeuvring targets. Int. J. Control 2022, 1–12. [Google Scholar] [CrossRef]
- Bu, X.W.; Jiang, B.X.; Lei, H.M. Performance Guaranteed Finite-Time Non-Affine Control of Waverider Vehicles Without Function-Approximation. IEEE Trans. Intell. Transp. Syst. 2023, 24, 3252–3262. [Google Scholar] [CrossRef]
- Bu, X.W.; Jiang, B.X.; Lei, H.M. Non-fragile Quantitative Prescribed Performance Control of Waverider Vehicles With Actuator Saturation. IEEE Trans. Aerosp. Electron. Syst. 2022, 58, 3538–3548. [Google Scholar] [CrossRef]
- Bu, X.W.; Hua, C.C.; Lv, M.L.; Wu, Z.H. Flight Control of Waverider Vehicles with Fragility-avoidance Prescribed Performance. IEEE Trans. Aerosp. Electron. Syst. 2023. [Google Scholar] [CrossRef]
- Bu, X.W.; Lv, M.L.; Lei, H.M.; Cao, J.D. Fuzzy Neural Pseudo Control With Prescribed Performance for Waverider Vehicles: A Fragility-avoidance Approach. IEEE Trans. Cybern. 2023. [Google Scholar] [CrossRef]
- Bu, X.W.; Jiang, B.X.; Lei, H.M. Low-complexity Fuzzy Neural Control Of Constrained Waverider Vehicles Via Fragility-free Prescribed Performance Approach. IEEE Trans. Fuzzy Syst. 2022. [Google Scholar] [CrossRef]
- Li, G.F.; Lu, J.H.; Zhu, G.L.; Liu, K.X. Distributed observer-based cooperative guidance with appointed impact time and collision avoidance. J. Frankl. Inst.-Eng. Appl. Math. 2021, 358, 6976–6993. [Google Scholar] [CrossRef]
- Mukherjee, D.; Kumar, S.R. Finite-Time Heterogeneous Cyclic Pursuit With Application to Cooperative Target Interception. IEEE Trans. Cybern. 2022, 52, 11951–11962. [Google Scholar] [CrossRef] [PubMed]
- Tao, G. Model reference adaptive control with L 1+α tracking. Int. J. Control 1996, 64, 859–870. [Google Scholar] [CrossRef]
- Hosseinzadeh, M.; Yazdanpanah, M.J. Performance enhanced model reference adaptive control through switching non-quadratic Lyapunov functions. Syst. Control Lett. 2015, 76, 47–55. [Google Scholar] [CrossRef]
- Li, J.J.; Luo, C.X.; Huang, W. “Bee Catching”: System Conception of Air Short Range Anti-UAV Bee Colony. Mod. Def. Technol. 2020, 48, 16–22. (In Chinese) [Google Scholar]
- Gao, X.Z.; Wang, K.L.; Peng, X.; Guo, Z.; Hou, Z.X. Drone-smasher: The key technology analysis on the manner of hard kill to counter UAV swarm. Natl. Def. Technol. 2020, 41, 33–38. (In Chinese) [Google Scholar]
- Yan, J.D.; Xie, H.B.; Zhaung, D.Y. Research on threat and countermeasures of UAV cluster for key position air-defense. Aerodyn. Missile J. 2021, 56–61. (In Chinese) [Google Scholar] [CrossRef]
- Song, J.H.; Song, S.M.; Xu, S.L. A Cooperative Guidance Law for Multiple Missiles to Intercept Maneuvering Target. J. Astonautics 2016, 37, 1306–1314. (In Chinese) [Google Scholar]
- Yu, S.H.; Yu, X.H.; Shirinzadeh, B.; Man, Z.H. Continuous finite-time control for robotic manipulators with terminal sliding mode. Automatica 2005, 41, 1957–1964. [Google Scholar] [CrossRef]
- Taleb, M.; Plestan, F. Adaptive robust controller based on integral sliding mode concept. Int. J. Control 2016, 89, 1788–1797. [Google Scholar] [CrossRef]







| Initial Position/m | Initial Speed/m·s−1 | Initial Heading Angle/° |
|---|---|---|
| Missile 1 | (−1000, 2100) | 520 |
| Missile 2 | (0, 1900) | 500 |
| Missile 3 | (0, 1100) | 470 |
| Target 1 | (25,000, 1800) | 200 |
| Target 2 | (27,000, 1600) | 200 |
| Target 3 | (25,000, 1400) | 200 |
| Initial Position/m | Initial Speed/m·s−1 | Initial Heading Angle/° |
|---|---|---|
| Missile 1 | (−500, 2200) | 500 |
| Missile 2 | (800, 1800) | 530 |
| Missile 3 | (0, 1000) | 480 |
| Target 1 | (28,000, 1600) | 200 |
| Target 2 | (25,000, 1500) | 200 |
| Target 3 | (23,000, 1300) | 200 |
| Targets Maneuver | Missiles | Misses/m | Intercept Time/s | Missile Heading Angle/° |
|---|---|---|---|---|
| Non-maneuver | Missile 1 | 0.16 | 38.28 | 0 |
| Missile 2 | 0.37 | 0 | ||
| Missile 3 | 0.08 | 0 | ||
| circular maneuver | Missile 1 | 0.47 | 38.70 | −9.13 |
| Missile 2 | 0.34 | −9.18 | ||
| Missile 3 | 0.63 | −9.20 |
Disclaimer/Publisher’s Note: The statements, opinions and data contained in all publications are solely those of the individual author(s) and contributor(s) and not of MDPI and/or the editor(s). MDPI and/or the editor(s) disclaim responsibility for any injury to people or property resulting from any ideas, methods, instructions or products referred to in the content. |
© 2023 by the authors. Licensee MDPI, Basel, Switzerland. This article is an open access article distributed under the terms and conditions of the Creative Commons Attribution (CC BY) license (https://creativecommons.org/licenses/by/4.0/).
Share and Cite
Luo, R.; He, G.; Bu, X.; Shi, J. Cooperative Guidance Law for the Mother-Cabin of the Anti-UAV Cluster Mother-Son Missile. Appl. Sci. 2023, 13, 5397. https://doi.org/10.3390/app13095397
Luo R, He G, Bu X, Shi J. Cooperative Guidance Law for the Mother-Cabin of the Anti-UAV Cluster Mother-Son Missile. Applied Sciences. 2023; 13(9):5397. https://doi.org/10.3390/app13095397
Chicago/Turabian StyleLuo, Ruining, Guangjun He, Xiangwei Bu, and Jianjun Shi. 2023. "Cooperative Guidance Law for the Mother-Cabin of the Anti-UAV Cluster Mother-Son Missile" Applied Sciences 13, no. 9: 5397. https://doi.org/10.3390/app13095397
APA StyleLuo, R., He, G., Bu, X., & Shi, J. (2023). Cooperative Guidance Law for the Mother-Cabin of the Anti-UAV Cluster Mother-Son Missile. Applied Sciences, 13(9), 5397. https://doi.org/10.3390/app13095397

