Seismic Response Analysis of Reinforced Concrete Frame Structures Considering Slope Effects
Abstract
1. Introduction
2. Establishment of Soil–Structure Interaction Model
2.1. Determination of Boundary Condition
2.2. Consideration of Pile–Soil Interaction
2.3. Establishment of a Reinforced Concrete Frame Structure Model Considering Soil–Structure Interaction
3. Analysis of Structural Response under Near-Field Earthquake
3.1. Select Seismic Wave
3.2. Analysis of Structural Deformation
3.3. Internal Force Analysis of the Structure
4. Conclusions
- Under the action of different seismic waves, the influence of slope rate on the story drift ratio is quite different. There is no qualitative conclusion about the effect of the slope ratio on the structure’s story drift ratio.
- Unlike the influence of the slope rate on the story drift ratio, however, under different seismic waves, the slope rate has the same effect on the top layer displacement. That is, the slope makes the horizontal displacement of the top layer show a negative X-direction trend, namely, the top layer moves toward the slope direction, and the higher the slope rate, the more pronounced this effect is.
- The slope rate has the same effect on the lateral displacement of the pile as on the top layer displacement. The lateral displacement of the soil follows the same pattern.
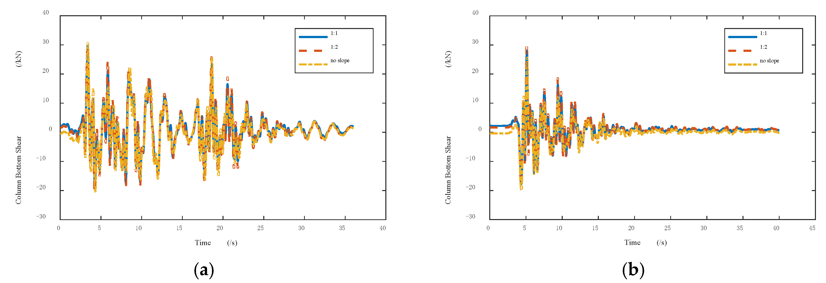
- The shear at the bottom of the column has a positive X trend at the initial stage. This effect is more obvious with an increase in the slope rate. After the initial phase, the impact of the slope on the shear at the bottom of the column and the shear at the base is very small, which can be almost ignored.
- There is no correlation between the degree of impact and the slope gradient on the peak value of internal forces and deformations of the structure.
Author Contributions
Funding
Data Availability Statement
Acknowledgments
Conflicts of Interest
References
- Bahuguna, A.; Firoj, M. Numerical simulation of seismic response of Slope–Foundation–Structure interaction for mid–rise RC buildings at various locations. Structures 2022, 44, 343–356. [Google Scholar] [CrossRef]
- Gu, Q.; Peng, Y.; Zeng, Z. A practical coupling method for analyzing soil-structure interaction. China Earthq. Eng. J. 2015, 37, 845–850. [Google Scholar]
- Zhao, M.; Gao, Z.; Du, X.; Wang, J. Efficient analysis scheme for seismic soil-structure interaction with deep soil layer. Eng. Mech. 2019, 36, 58–65. [Google Scholar]
- Zhang, W.; Liu, R.; Cao, Y. Study on aseismic performance of reinforced concrete frame structures considering the soil-footing-structure interaction. Earthq. Eng. Eng. Dyn. 2019, 39, 86–97. [Google Scholar]
- Zhang, W.; Cai, X.; Liu, R.; Xie, H.; Yi, W. Experimental research on seismic behavior of reinforced concrete frame substructure considering soil-structure interaction. J. Build. Struct. 2021, 42, 72–81. [Google Scholar]
- El Hoseny, M.; Ma, J.; Dawoud, W.; Forcellini, D. The role of soil structure interaction (SSI) on seismic response of tall buildings with variable embedded depths by experimental and numerical approaches. Soil Dyn. Earthq. Eng. 2023, 164, 107583. [Google Scholar] [CrossRef]
- Askouni, P.K.; Karabalis, D.L. SSI influence on the seismic response of asymmetrical small, low-rise R/C buildings. Structures 2021, 32, 1355–1373. [Google Scholar] [CrossRef]
- Yan, C.; Deng, A.; Zeng, X. Interaction numerical analysis of frame structure and raft footing and solpe foundation. Geotech. Investig. Surv. 2009, 37, 24–28. [Google Scholar]
- Li, Y.; Wang, L.; Zhao, Y. Amplification factors of design horizontal ground motions for structures on rock slopes. Earthq. Eng. Eng. Vib. 2010, 30, 159–165. [Google Scholar]
- Liu, L.; Li, Y.; Luo, J.; Xiang, L. Mechanical behavior of structure with uneven foundation built onhillside affected by foundation deformation. China Civ. Eng. J. 2013, 46, 63–67. [Google Scholar]
- Fan, Z.; Liu, T.; Yang, S.; Gao, S. Analysis on performances of frame structures on sloping ground. Build. Struct. 2016, 46, 1–9. [Google Scholar]
- Zhang, J.; Liang, Z.; Li, W.; Liu, J. Dynamic response of interaction between existing pit slope and structure. Rock Soil Mech. 2018, 39, 1227–1235. [Google Scholar]
- Ghosh, R.; Debbarma, R. Effect of slope angle variation on the structures resting on hilly region considering soil–structure interaction. Int. J. Adv. Struct. Eng. 2019, 11, 67–77. [Google Scholar] [CrossRef]
- Shabani, M.J.; Shamsi, M.; Zakerinejad, M. Slope topographic impacts on the nonlinear seismic analysis of soil-foundation-structure interaction for similar MRF buildings. Soil Dyn. Earthq. Eng. 2022, 160, 107365. [Google Scholar] [CrossRef]
- Liu, C.; Su, L. Study on Seismic Response Analysis and Seismic Design Method of Pile Foundation in Liquefied Side Expansion Site; China Building Materials Press: Beijing, China, 2019; pp. 110–111. [Google Scholar]
- Boulanger, R.W.; Curras, C.J.; Kutter, B.L.; Wilson, D.W.; Abghari, A. Soil-Pile-Structure Interaction Experiments and Analyses. J. Geotech. Geoenviron. Eng. 1999, 125, 750–759. [Google Scholar] [CrossRef]
- Ministry of Housing and Urban-Rural Construction of the People’s Republic of China. GB 50011-2010 Code for Seismic Design of Buildings; China Architecture & Building Press: Beijing, China, 2010.
- Editorial Board of Engineering Geology Manual. Handbook of Engineering Geology; China Architecture & Building Press: Beijing, China, 2018; pp. 176–189. [Google Scholar]
- Zhu, Y.; Chen, X.; Sun, Y.; Yu, W.; Li, J.; Su, G.; Xu, Q. Analysis on seismic performance of reinforced concrete frame without and with reinforcement subjected to near-field earthquake. Build. Struct. 2018, 48, 103–110. [Google Scholar]
- Liu, T.; Sun, Y.; Zhang, R. Near-field earthquake records with velocity pulse in PEER ground motion database. J. Disaster Prev. Mitig. Eng. 2018, 38, 367–372. [Google Scholar]














| Structure Type | fc/MPa | εco | fcu/MPa | εcu | 
|---|---|---|---|---|
| Non-Core Concrete | 29.76 | 0.002 | 0 | 0.004 | 
| Core Concrete | 32.57 | 0.0022 | 20.76 | 0.0124 | 
| Structure Type | fy/MPa | E/MPa | 
|---|---|---|
| rebar | 388 | 200,000 | 
| Soil Type | h/m | γ/(kN/m3) | ρ/(ton/m3) | E/MPa | v | Gr/MPa | Br/MPa | c/kPa | φ | 
|---|---|---|---|---|---|---|---|---|---|
| Stone clay | 15 | 20 | 1.9 | 50 | 0.35 | 18.52 | 55.56 | 20 | 14.5 | 
| Sandstone | 18 | 24.6 | 2.1 | 9500 | 0.25 | 3800 | 6333 | 50 | 42 | 
| Condition | Name | Observation Station | Moment Magnitude | Fault Distance/km | 
|---|---|---|---|---|
| 1 | “Imperial Valley-06” | “El Centro-Meloland Geot. Array” | 6.53 | 0.07 | 
| 2 | “Irpinia_ Italy-01” | “Sturno (STN)” | 6.9 | 10.84 | 
| 3 | “Superstition Hills-02” | “Kornbloom Road (temp)” | 6.54 | 18.48 | 
| 4 | “Loma Prieta” | “Gilroy-Historic Bldg.” | 6.93 | 10.97 | 
| 5 | “Loma Prieta” | “Saratoga-Aloha Ave” | 6.93 | 8.5 | 
| 6 | “Cape Mendocino” | “Petrolia” | 7.01 | 8.18 | 
| 7 | “Northridge-01” | “Newhall-W Pico Canyon Rd.” | 6.69 | 5.48 | 
| 8 | “Kocaeli_ Turkey” | “Yarimca” | 7.51 | 4.83 | 
| 9 | “Chi-Chi_ Taiwan” | “CHY024” | 7.62 | 9.62 | 
| 10 | “Chi-Chi_ Taiwan” | “TCU049” | 7.62 | 3.76 | 
| 11 | “Chi-Chi_ Taiwan” | “TCU063” | 7.62 | 9.78 | 
| 12 | “Denali_ Alaska” | “TAPS Pump Station #10” | 7.9 | 2.74 | 
| 13 | “Cape Mendocino” | “Centerville Beach_ Naval Fac” | 7.01 | 18.31 | 
| 14 | “Parkfield-02_ CA” | “PARKFIELD-EADES” | 6 | 2.85 | 
| 15 | “Parkfield-02_ CA” | “Parkfield-Cholame 3E” | 6 | 5.55 | 
| 16 | “Parkfield-02_ CA” | “Parkfield-Fault Zone 12” | 6 | 2.65 | 
| 17 | “Montenegro_ Yugoslavia” | “Bar-Skupstina Opstine” | 7.1 | 6.98 | 
| 18 | “L’Aquila_ Italy” | “L’Aquila-V. Aterno-Centro Valle” | 6.3 | 6.27 | 
| 19 | “Chuetsu-oki_ Japan” | “Joetsu Kakizakiku Kakizaki” | 6.8 | 11.94 | 
| 20 | “Darfield_ New Zealand” | “DSLC” | 7 | 8.46 | 
| Condition | Top Displacement/mm | Maximum Inter-Story Displacement Angle | ||||
|---|---|---|---|---|---|---|
| 1:1 | 1:2 | No Slope | 1:1 | 1:2 | No Slope | |
| 1 | 88.6431 | 87.2133 | 85.0686 | 0.005162 | 0.005030 | 0.005255 | 
| 2 | 86.0306 | 81.3623 | 91.7378 | 0.005043 | 0.004846 | 0.005442 | 
| 3 | 121.0670 | 119.0080 | 120.2630 | 0.007318 | 0.007256 | 0.007330 | 
| 4 | 58.7790 | 59.8172 | 61.8797 | 0.004435 | 0.004453 | 0.004381 | 
| 5 | 56.6783 | 55.3526 | 55.1922 | 0.003392 | 0.003394 | 0.003336 | 
| 6 | 28.9906 | 28.2548 | 29.1686 | 0.002407 | 0.002300 | 0.002862 | 
| 7 | 152.7920 | 150.1290 | 152.8640 | 0.009885 | 0.009820 | 0.009874 | 
| 8 | 123.3040 | 120.5070 | 120.0740 | 0.007278 | 0.007158 | 0.007146 | 
| 9 | 82.1381 | 81.4840 | 83.7088 | 0.005498 | 0.005493 | 0.005132 | 
| 10 | 41.6379 | 42.7502 | 43.9247 | 0.003094 | 0.003042 | 0.003157 | 
| 11 | 134.3620 | 131.1240 | 132.6730 | 0.008390 | 0.008265 | 0.008319 | 
| 12 | 140.6770 | 141.5030 | 142.1080 | 0.008770 | 0.008711 | 0.008865 | 
| 13 | 76.3399 | 76.3586 | 79.5788 | 0.004586 | 0.004561 | 0.004578 | 
| 14 | 37.1906 | 36.2943 | 36.4235 | 0.002077 | 0.002050 | 0.002177 | 
| 15 | 4.7977 | 3.8273 | 3.5885 | 0.000511 | 0.000516 | 0.000492 | 
| 16 | 65.9042 | 64.7746 | 65.9322 | 0.004258 | 0.004242 | 0.004351 | 
| 17 | 70.8350 | 69.2837 | 71.0549 | 0.003835 | 0.003752 | 0.004016 | 
| 18 | 21.2565 | 20.5659 | 18.8895 | 0.001481 | 0.001514 | 0.001548 | 
| 19 | 75.7871 | 73.4891 | 78.4525 | 0.004145 | 0.004136 | 0.004167 | 
| 20 | 38.3799 | 38.7754 | 42.5813 | 0.002723 | 0.002794 | 0.002685 | 
| Condition | Base Shear/kN | Column’s Base Shear/kN | ||||
|---|---|---|---|---|---|---|
| 1:1 | 1:2 | No Slope | 1:1 | 1:2 | No Slope | |
| 1 | 258.1188 | 258.7085 | 270.6870 | 64.6294 | 65.8020 | 66.2971 | 
| 2 | 276.6748 | 272.5098 | 288.7356 | 69.8582 | 69.5527 | 73.1098 | 
| 3 | 314.7402 | 316.0948 | 312.2768 | 78.0602 | 79.0076 | 78.0788 | 
| 4 | 245.8858 | 248.7526 | 248.5819 | 56.3924 | 57.0828 | 57.3976 | 
| 5 | 179.6923 | 181.4757 | 181.2229 | 43.8218 | 44.6971 | 45.4954 | 
| 6 | 116.1666 | 116.6909 | 121.2996 | 29.7034 | 30.2304 | 30.8673 | 
| 7 | 373.3306 | 374.1047 | 373.2631 | 93.6985 | 94.2365 | 94.1401 | 
| 8 | 318.9546 | 318.6235 | 317.0211 | 79.5174 | 79.8410 | 79.7661 | 
| 9 | 286.0369 | 287.6453 | 278.1560 | 65.9058 | 66.8384 | 64.0351 | 
| 10 | 181.5003 | 181.4574 | 192.2615 | 41.1669 | 41.3942 | 43.9225 | 
| 11 | 342.9019 | 343.3873 | 343.1056 | 85.0922 | 85.7891 | 86.1147 | 
| 12 | 370.4145 | 370.2473 | 369.8107 | 92.6915 | 93.0185 | 93.0916 | 
| 13 | 252.7692 | 255.8633 | 250.0474 | 58.3872 | 59.0756 | 57.9525 | 
| 14 | 102.1527 | 103.4188 | 114.7740 | 25.9615 | 27.8515 | 28.8789 | 
| 15 | 22.6516 | 24.6531 | 20.2570 | 7.5895 | 7.5382 | 4.6475 | 
| 16 | 216.2035 | 217.0157 | 222.7302 | 52.3521 | 52.7976 | 55.4414 | 
| 17 | 175.3438 | 175.3393 | 192.8594 | 42.4570 | 43.8822 | 48.1642 | 
| 18 | 105.0791 | 111.9661 | 101.1974 | 27.9771 | 30.7484 | 25.6760 | 
| 19 | 237.8861 | 242.5412 | 232.6821 | 59.9351 | 62.1678 | 58.9211 | 
| 20 | 175.6080 | 182.3061 | 160.3153 | 45.3386 | 47.8601 | 40.9953 | 
| Disclaimer/Publisher’s Note: The statements, opinions and data contained in all publications are solely those of the individual author(s) and contributor(s) and not of MDPI and/or the editor(s). MDPI and/or the editor(s) disclaim responsibility for any injury to people or property resulting from any ideas, methods, instructions or products referred to in the content. | 
© 2023 by the authors. Licensee MDPI, Basel, Switzerland. This article is an open access article distributed under the terms and conditions of the Creative Commons Attribution (CC BY) license (https://creativecommons.org/licenses/by/4.0/).
Share and Cite
Song, P.; Guo, S.; Zhao, W.; Xin, Q. Seismic Response Analysis of Reinforced Concrete Frame Structures Considering Slope Effects. Appl. Sci. 2023, 13, 5149. https://doi.org/10.3390/app13085149
Song P, Guo S, Zhao W, Xin Q. Seismic Response Analysis of Reinforced Concrete Frame Structures Considering Slope Effects. Applied Sciences. 2023; 13(8):5149. https://doi.org/10.3390/app13085149
Chicago/Turabian StyleSong, Pengyan, Shuang Guo, Wenao Zhao, and Qin Xin. 2023. "Seismic Response Analysis of Reinforced Concrete Frame Structures Considering Slope Effects" Applied Sciences 13, no. 8: 5149. https://doi.org/10.3390/app13085149
APA StyleSong, P., Guo, S., Zhao, W., & Xin, Q. (2023). Seismic Response Analysis of Reinforced Concrete Frame Structures Considering Slope Effects. Applied Sciences, 13(8), 5149. https://doi.org/10.3390/app13085149
 
        

 
       