Abstract
The geometric nonlinearity due to static and thermal load can significantly alter the vibration response of structures. This study presents a semi-analytical approach to illustrate the nonlinear vibration of clamped-clamped beams under static and thermal loads. The von Karman strain and Hamilton’s principle are employed to derive the nonlinear static equilibrium equation and nonlinear governing equation. The vibration equation’s coefficient is variable. The transfer-matrix method and local homogenization are used to solve the equation. The proposed method’s accuracy is validated by commercial software and literature. The numerical results indicate that uniform stress caused by thermal load only reduces the structural mode frequencies. The geometric nonlinearity of the structural static deformation affects both the mode frequencies and mode shapes. And the mode shapes cannot be approximated by harmonic functions. When the static deformation is significant, the structure’s local RMS response is substantially affected. The combined loads have a more significant impact on the acceleration response than the superposition of individual load effects.
1. Introduction
During the operation of a hypersonic vehicle, it must endure a highly complex dynamic environment, including high thermal load, high static pressure, and acoustic pressure loads. Clamped-clamped structures demonstrate intricate geometric nonlinear response characteristics under combined loads. Although the strain does not exceed the elastic limit, the static equilibrium and vibration differential equations demonstrate nonlinear characteristics caused by thermal stress and significant deformation [1,2,3].
Structures are prone to experiencing large deformations under high-pressure load, and the geometric nonlinearity that arises can affect the mechanical characteristics of the structure. Takabatake [4] clarified the impact of dead loads on the static characteristics of beams using the energy function and assumed modes method. Additionally, he investigated the effects of dead loads on the dynamic characteristics of both beams [5,6] and plates [7]. Zhou et al. [8] developed a load-induced stiffness matrix that considers the stiffening effect of dead loads, and the natural frequencies of beams were calculated using finite-element methods. Saha et al. [9] studied the large amplitude free vibration of plates based on static analysis through an iterative numerical scheme. Banerjee et al. [10] utilized nonlinear shooting and Adomain decomposition methods to analyze the large deflection of beams. Wang et al. [11] investigated the influence of static loads on the vibro-acoustic characteristics of plates. Carrera et al. [12] developed a geometrically nonlinear total Lagrangian formulation to analyze the vibration modes of beams in the nonlinear regime.
The influence of high temperature on the mechanical characteristics of structures is mainly reflected in two aspects: on the one hand, high temperature can alter the mechanical properties of materials; on the other hand, high temperature can generate thermal stress within the structure, leading to changes in the stiffness characteristics of the structure [13,14]. Numerous researchers work on the mechanical characteristics analysis of structures under thermal environment have been done in past years. Jeyaraj et al. [15] studied the buckling and dynamic characteristics of isotropic plates under different thermal loads using the finite element method. The results showed that the thermal buckling point was closer to the hotter side of the structure. Yu et al. [16] investigated the nonlinear dynamic response characteristics of composite sandwich panels under high-temperature environments based on higher-order shear deformation theory and the two-step perturbation method. Javaheri et al. [17] studied the thermal buckling characteristics of functionally graded plates under thermal loads using classical plate theory. Kumar et al. [18] analyzed the thermal buckling and post-buckling behavior of rectangular composite plates subjected to local thermal heating using a semi-analytical method. Mead et al. [19] studied the influence of different temperature distributions on the mode and buckling characteristics of a simply supported plate based on the Rayleigh-Ritz method. Cui et al. [20] investigated the thermal buckling and vibration response characteristics of the beam with a stick-slip-stop boundary, taking into account assembly pre-tension and thermal expansion clearance.
Nonlinear vibration of structures is an important area of research that deals with the dynamic behavior of beams when subjected to large amplitude vibrations. Ebrahimi et al. [21] proposed a theoretical model for the geometrically nonlinear vibration analysis of functionally graded plates by precise series expansion method and perturbation method. Yaghoobi et al. [22] studied the post-buckling and nonlinear vibration analysis of geometrically defective beams under nonlinear elastic constraints due to axial force. Yeh [23] investigated the large-amplitude thermal-mechanical coupling vibration of simply supported orthotropic rectangular plates. The governing equations are derived by the Galerkin method and simplified into three nonlinear ordinary differential equations. Amabili [24] investigated the large-amplitude vibration of rectangular plates under harmonic excitation. The influence of geometric imperfections on the nonlinear response trend and natural frequency was studied by numerical and experimental methods. Amabili et al. [25,26] compared the classical Von Karman theory, the first-order shear deformation theory, and the higher-order shear deformation theory to study the nonlinear forced vibration of isotropic and laminated composite rectangular plates. Chiang et al. [27] proposed a finite element formulation to determine the large-amplitude free and steady-state forced vibration response of plates. The linearized updating-mode method with nonlinear time function approximation was used to solve the nonlinear eigenvalue equation of the system. Pagani et al. [28] proposed a unified theory of beams that incorporates geometric nonlinearity by utilizing the Carrera Unified Formula. The Newton-Raphson linearization scheme and path-tracking method are employed to solve the problem of geometric nonlinearity. Large amplitude vibration analysis of composite beams is studied by Gunda et al. [29] by using the Rayleigh-Ritz method.
The nonlinear vibration of beams is characterized by the presence of higher-order terms in the equations of motion. The linearization of a nonlinear vibration equation can be done using different methods, including the Taylor series expansion method [30] and the Jacobian matrix method [31]. Both methods involve approximating the nonlinear function with a linear function and then solving the resulting linear equation. Lou et al. [32] proposed a perturbation method based on Ritz expansion to analyze the dynamic characteristics of a modified structure in the reduced modal subspace. Hus et al. [33] studied the free vibration of non-uniform Euler–Bernoulli beams by using the Adomian decomposition method.
The pressure load for the hypersonic vehicle is the combined load of static pressure and acoustic pressure. And the significant deformation of the structure is primarily influenced by static loads. By considering the large deformation as an initial deformation term and incorporating its impact with thermal effects into the dynamic equations of the structure, the response under acoustic pressure loads can be analyzed more efficiently in the frequency domain by the mode-superposition technique. This paper presents a semi-analytical approach to illustrate the linearized vibration of clamped-clamped beams in the nonlinear regime due to the effect of static load and thermal load. The paper is organized as follows.
In Section 2, the nonlinear governing equation of the beam, considering the impact of static load and thermal load, is briefly introduced. Section 3 demonstrates the linearization method of the nonlinear equation. The vibration equation is a variable coefficient partial differential equation. It is solved by the transfer-matrix method and local homogenization technique. The random response analysis is determined using the mode-superposition methods. The accuracy of the proposed method is validated by commercial software ABAQUS 2020 and literature in Section 4. The effect of static load and thermal load on the mechanical characteristics of structures is studied in this section as well. Finally, the main conclusions are reported in Section 5.
2. Analytical Approach for Nonlinear Governing Equations
This study considers a clamped-clamped rectangular beam, as shown in Figure 1, where L, b, and h represent the length, width, and thickness of the beam, respectively, and P denotes the pressure load. The total displacements of a point along the (x, z) coordinates are denoted as (u, w). The equation of motion for bending vibrations, according to the Euler-Bernoulli beam theory, disregards the impact of x-axial displacement under pressure load [34]. The x-axial displacement components in the mid-plane are assumed to be zero. The von Karman strain and Hamilton’s principle are utilized to derive the nonlinear static equilibrium equations and nonlinear governing equations of the beam. The basic assumptions made to derive the equation can be summarized as follows:
Figure 1.
A clamped-clamped rectangular beam under pressure load.
- Assuming that the deformation of the beam obeys the hypothesis of the Bernoulli-Euler beam equation;
- Assuming that all strain components are small enough to satisfy Hooke’s law.
The nonlinear strain–displacement relations can be expressed as
in which εx is the normal strain. Considering the thermal effect, the stress constitutive equations can be written as
where δx is the normal stress, E is the modulus of elasticity, α is the coefficient of expansion, and ∆T is the thermal load. And Hamilton’s principle can be stated as
where δ is the variational operator. δT, δU, and δW represent virtual kinetic energy, virtual strain energy, and virtual work, which can be written as
in which ρ is the density, A is the cross-sectional area, c is damping coefficient and P is the pressure load. The differential equation for nonlinear vibrations of a uniform beam with the effect of thermal load can be stated as
where I = bh3/12 is the cross-sectional moment of inertia. And Nx is the thermal stress resultant, which can be written as
3. Linearized Vibration of Beams with the Effect of Static and Thermal Load
3.1. Formulation
The pressure load P is the combined load of static pressure P0(x) and acoustic pressure P1(x, t). The transverse displacement w can be divided into static deflection w0(x) and vibration w1(x, t), which respectively corresponds to P0(x) and P1(x, t). Then Equation (5) can be expressed as follows:
Due to the static pressure being substantially greater than the acoustic pressure, the vibration amplitude is significantly less than the static deflection. Consequently, the nonlinear vibration problem can be viewed as a linearized oscillation around the nonlinear static equilibrium state. If the rotations under acoustic pressure are a small quantity and ignored, the governing equation can be written as
Omitting the impact of w1 on w0, the static deflection w0, and static pressure P0 can be represented in terms of a relationship:
By inserting Equation (9) into Equation (8), the linearized equation of nonlinear vibrations can be obtained.
Thus the nonlinear dynamic problem is analyzed in two parts: the nonlinear static problem and the linearized vibration around the nonlinear static equilibrium state.
3.2. Solution Procedures
3.2.1. Nonlinear Static Analysis
Approximate shape functions of the following double trigonometric series are assumed as the analytical solution form to the nonlinear static problem, which are suitable for both symmetric structures and loads.
The deflection function conforms the clamped-clamped boundary conditions
The potential energy can be expressed as
According to the Rayleigh-Ritz method, substituting Equation (11) into Equation (13) gives
The value of coefficients am can be solved by numerical methods. Then the static deflection w0 is obtained. The number of assumed shape modes will be determined by conducting a convergence analysis in Section 4.1.
3.2.2. Linearized Modal Analysis
Upon completion of the nonlinear static analysis, the equation of free vibration, which takes into account the influence of static load and thermal load, can be derived from Equation (10) as follows.
Based on the separation of variables, the modal equation can be derived from Equation (15) expressed as Equation (16).
in which ω is the natural frequency of the beam, and ϕ is the mode of vibration. Equation (16) is a variable coefficient partial differential equation and is difficult to obtain an analytical solution. An approximate solution is performed by the transfer-matrix method and local homogenization techniques.
The beam is divided into n segments and the modal equation of the ith segment is
According to the homogenization theory, let
where xi and xi+1 are the left and right x- coordinates of the ith segment. The approximate general solution of Equation (17) is
Among them, Ai, Bi, Ci, and Di are constants determined by boundary conditions. The displacement and force are continuous between the ith segment and the i+1th segment which can be written as
The relations can be expressed by the transfer matrix
in which
The relationship between the nth segment and 1st segment is written as
To determine the natural frequencies of a clamped beam, the roots of the polynomial can be found using the following approach:
in which
The structural mode frequencies can be obtained by numerically solving Equation (25). And the modal equation of each segment can be obtained by substituting the mode frequency into Equations (18) and (22). Then the approximate mode shape of the whole beam can be obtained approximately.
3.2.3. Linearized Random Vibration Analysis
Following the linearized modal analysis, the mode-superposition technique is employed to determine the random response analysis of beams with the effect of both static and thermal loads. The acoustic pressure load is assumed to be a harmonic excitation
in which ωp is the frequency of the acoustic pressure load. The analysis in this study omits the effects of large deformations caused by thermal stress and static forces on structural damping. And the fraction of critical damping is adopted in to evaluate the structural response under noise loading instead damping coefficient. The vibration equation with critical damping is converted into modal form as follows:
where qj is the modal coordinate. ωj and ζj are the natural circular frequency and the fraction of critical damping of the jth mode. Fj is the pressure amplitude in modal coordinates and has the form
where is the jth normal mode in modal coordinates. The complex frequency response function Hj(ωp) of the structure under unit excitation is obtained
in which sj = ωp/ωj.
The displacement complex frequency response function H(x, ωp) is solved by the mode-superposition method using the first n modes.
The acceleration complex frequency response function Hacc(x, ωp) can be obtained by
Considering that the acoustic pressure is a stationary random process and the dynamic acceleration response under random excitations can be calculated by
where the SF and Sacc are the power spectral density (PSD) functions of dynamic excitation and acceleration response, respectively.
4. Numerical Results and Discussions
This section investigates a titanium alloy beam that is firmly supported on both ends, with a length of 300 mm (L), breadth of 5 mm (b), and height of 5 mm (h). The Young’s modulus and coefficient of expansion are provided in Table 1 and Table 2, respectively. By employing linear interpolation, the material parameters between the temperature data points can be determined. In the numerical analysis, the fraction of critical damping has been set at a fixed value of 0.03.
Table 1.
The Young’s modulus of the beam (TA15).
Table 2.
The coefficient of thermal expansion (TA15).
4.1. Verification of the Proposed Method
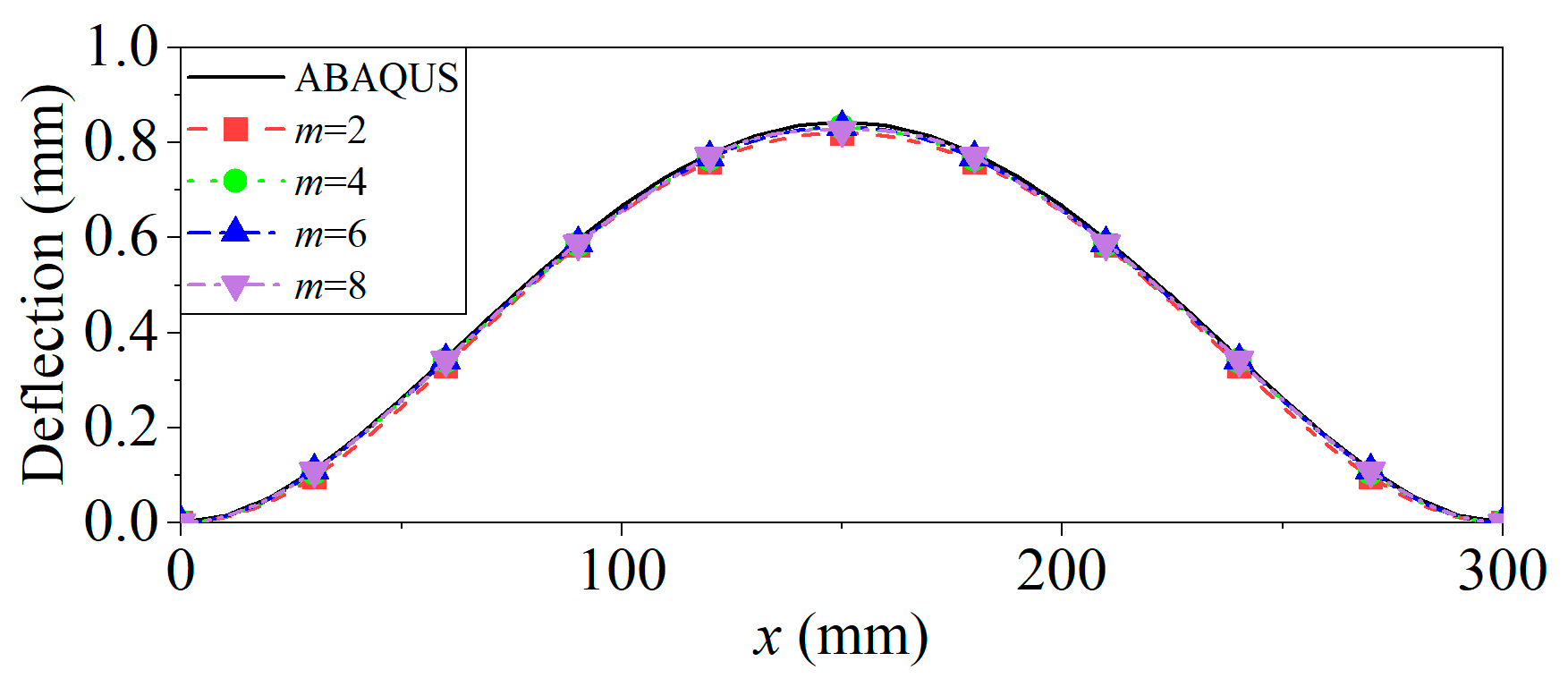
The accuracy of nonlinear static analysis can be validated for a clamped-clamped beam without thermal effects, using commercial software ABAQUS 2020. B31 beam elements are utilized, consisting of 30 elements and 31 nodes, with the “Nlgeom” option enabled during static analysis. A pressure load of 0.25 N/mm is used. The results are displayed in Figure 2, with ‘m’ representing the number of assumed shape solutions. The analysis results exhibit close agreement with those obtained from ABAQUS, which gradually converge as more assumed solutions are considered. Following the convergence analysis, the proposed method adopts sixth-order shape functions for estimating deflection to ensure higher computational efficiency while maintaining accuracy.
Figure 2.
Deflection of a clamped-clamped beam under static load.
After obtaining an accurate equation for the deflection curve, the linearized modal analysis is compared to that of Takabatake [5]. Takabatake studied the effect of dead loads on dynamic responses of uniform elastic beams using the energy function and assumed modes method. The results are listed in Table 3, with “n” representing the number of beam segments in the proposed method. The analysis results are relatively close to those of the literature when n is equal to 5. As the number of segments increases, the mode frequencies gradually converge and n = 30 is chosen for subsequent analysis.
Table 3.
The first five-mode frequencies of beams under static load (Hz).
4.2. Results and Discussion
4.2.1. The Effect of Static Load
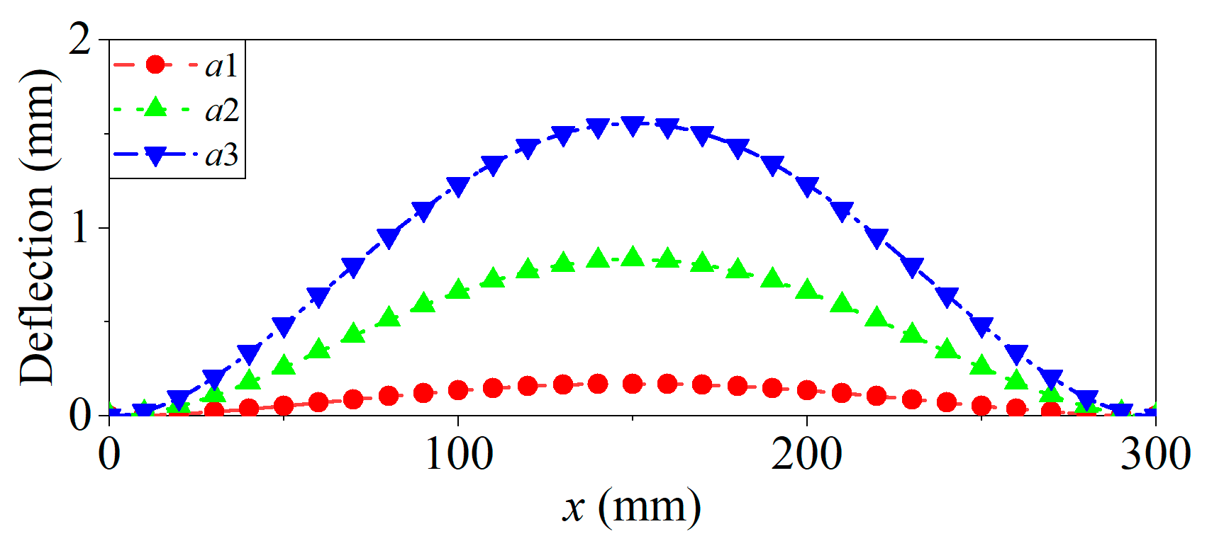
The influence of the deflections of the beam caused by different static loads on the structural response at room temperature is investigated. Table 4 displays the set of static loads, and Figure 3 illustrates the corresponding deflections. It is observed that the deflection increases in a nonlinear fashion with increasing static loads. The maximum deflections for cases al, a2, and a3 are 0.17 mm, 0.83 mm, and 1.56 mm respectively.
Table 4.
Different cases set of static loads.
Figure 3.
Deflections of beams under different static loads.
Table 5 presents the first five-mode frequencies, which demonstrate that the mode frequencies increase with the increase of pressure load. Furthermore, the growth rate increases with the increase of deflection. The deflection under uniform pressure load is comparable to the fundamental mode shapes. Additionally, the lower-order mode frequencies are more sensitive to pressure load than higher-order ones. Moreover, there is a slight variation in the 3rd and 4th mode shapes with the increase of static load. Figure 4 illustrates that the wave peak near the center of the beam is lower than the sides.
Table 5.
The first five-mode frequencies under different static loads (Hz).
Figure 4.
The mode shapes under different static loads: (a) the 3rd mode shape; (b) the 4th mode shape.
Following the dynamic characteristic analysis, the mode-superposition method is employed to compute the random response analysis of beams while taking into account the effects of static and thermal loads. Figure 5 presents the z-direction acceleration power spectral density nephogram of the beam under the influence of different static loads. It can be observed that the symmetrical mode accounts for a significant portion of the structural response. Moreover, the 1st, 3rd, and 5th-order modal responses are the primary responses in the nephogram. Furthermore, an increase in the static load does not significantly alter the distribution of the structural acceleration power spectral density nephogram. This is due to only a slight change in the structural mode shapes and frequencies.
Figure 5.
PSD contour of acceleration in the z-direction under different static loads (g2/Hz): (a) case ref; (b) case a1; (c) case a2; (d) case a3.
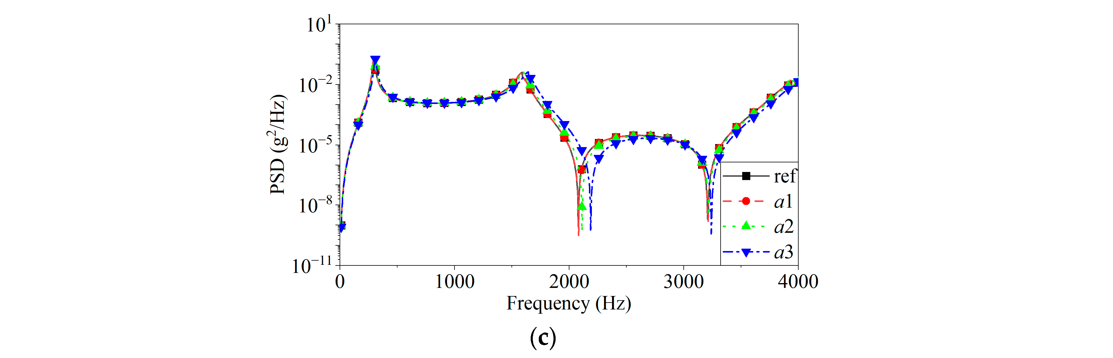
The PSD curves of acceleration for points located at x = 150 mm, 100 mm, and 75 mm are shown in Figure 6. With an increase in the static force, the initial deformation of the structure increases, causing a shift in the peak frequency of the structural response to a higher frequency. Additionally, the amplitude of the higher-order response becomes greater than that of the fundamental frequency. It is observed that the 1st mode frequency remains relatively unaffected by the initial deformation. However, the 3rd mode frequency is highly impacted by it. It is noteworthy that the anti-resonance peak after the third-order mode frequency is significantly shifted to a higher frequency due to the alteration of mode frequency.

Figure 6.
PSD curves of acceleration in the z-direction under different static loads at various locations: (a) PSD curves for a point located at x = 150 mm (b) PSD curves for a point located at x = 100 mm; (c) PSD curves for a point located at x = 75 mm.
Figure 7 displays the RMS of the acceleration response of the beam under the given excitation. The figure shows that the static deformation has a negligible effect on the acceleration response of the central region [60, 90] of the beam. However, the value slightly increases in the regions on both sides ([50, 100], [20, 250]), which can be primarily attributed to the changes in the third and fifth-order modes with increasing static deformation.
Figure 7.
RMS of acceleration in the z-direction under different static loads.
4.2.2. The Effect of Thermal Load
The effect of thermal load on the structural response without static load was investigated. Table 6 displays the set of thermal loads applied, while Table 7 presents the first five-mode frequencies. The thermal effect was observed to cause a decrease in the structural stiffness, which led to a significant reduction in the structural mode frequencies. However, the mode shapes remained relatively constant despite the thermal load and can be approximated by harmonic functions.
Table 6.
Different cases set of thermal loads.
Table 7.
The first five-mode frequencies under different thermal loads (Hz).
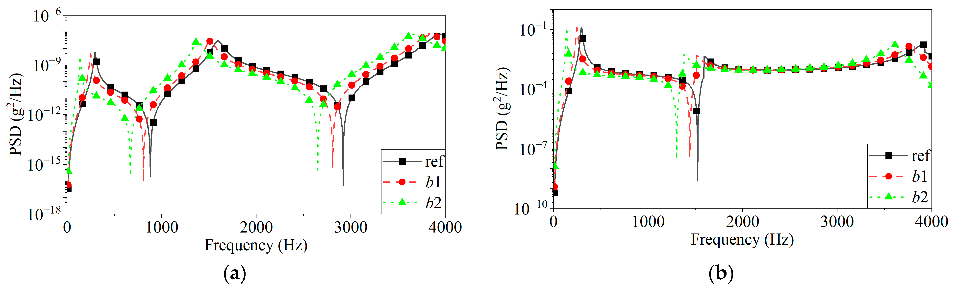
Figure 8 presents the z-direction acceleration PSD nephogram of the beam under the influence of different thermal loads. After analysis, it is clear that the symmetrical mode remains primarily responsible for the structural response. In comparison to the reference case discussed in Section 4.2.1, the impact of thermal load on the structural response is mainly manifested through a frequency shift. As the thermal load gradually increases, the peak frequency of the response noticeably shifts towards lower frequencies.
Figure 8.
PSD contour of acceleration in the z-direction under different thermal loads (g2/Hz): (a) case b1; (b) case b2.
The PSD curves of acceleration under different thermal loads for points located at x = 150 mm, 100 mm, and 75 mm are shown in Figure 9. Analysis reveals that with an increase in thermal load, the structural response frequency shifts towards lower frequencies, and the higher-order response exhibits a significantly greater shift than the fundamental frequency, while the peak value of the lower-order response slightly decreases. Influenced by the variation of modal frequencies, the anti-resonance peak shifts noticeably towards lower frequencies.

Figure 9.
PSD curves of acceleration in the z-direction under different thermal loads at various locations: (a) PSD curves for a point located at x = 150 mm (b) PSD curves for a point located at x = 100 mm; (c) PSD curves for a point located at x = 75 mm.
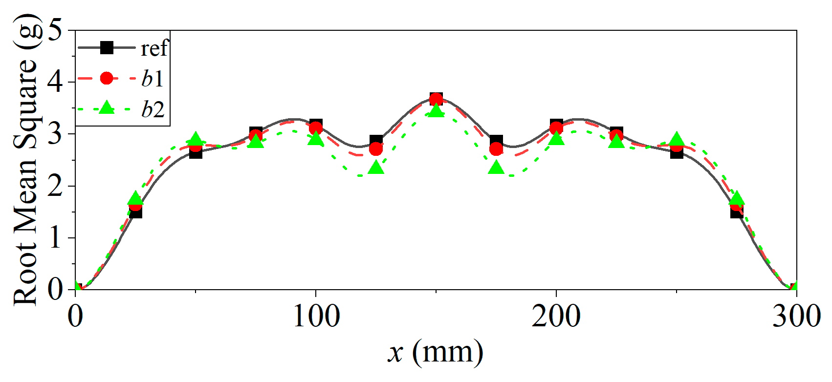
The RMS of the acceleration response of the beam considering the influence of thermal load is shown in Figure 10. Analysis reveals that with an increase in thermal load, the structural response slightly decreases. Influenced by the reduction of the acceleration response value corresponding to the first-order mode shape, the central region experiences a greater decrease in amplitude than the side regions.
Figure 10.
RMS of acceleration in the z-direction under different thermal loads.
4.2.3. The Effect of Combined Static and Thermal Load
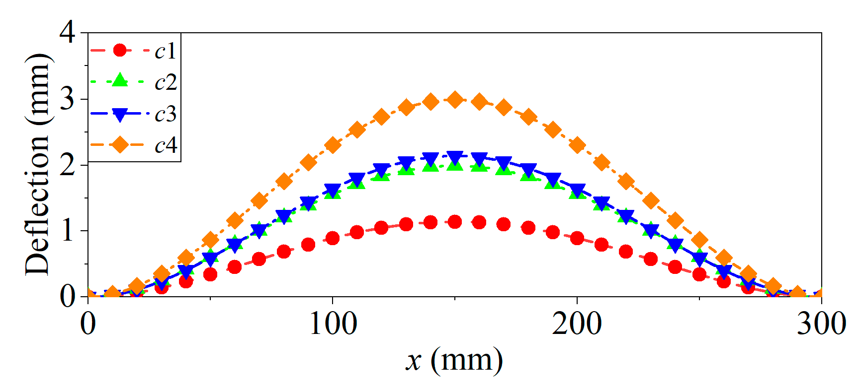
To investigate the effect of a combination of static and thermal loads on the dynamic behavior of the structure, different sets of combined loads are listed in Table 8. The deflections of beams are illustrated in Figure 11. The deflections of the structure increase non-linearly as the combined loads increase, with the maximum deflections of 1.14 mm, 1.99 mm, 2.14 mm, and 2.99 mm for cases cl, c2, c3, and c4 respectively. The thermal effect causes structural stiffness to decrease, resulting in a significant increase in static deformation when exposed to combined loads. The analysis indicates that the deflection curve under the same static load is similarly affected by a uniform thermal load.
Table 8.
Different cases set of combined loads.
Figure 11.
Deflections of beams under different combined loads.
The effect of the combined load is more complex in modal analysis than in static analysis. The first five-mode frequencies are presented in Table 9. In the majority of conditions, the decrease in structural stiffness due to the thermal load is more pronounced than the stiffness increase resulting from the geometric nonlinear effect of the static deformation, leading to a significant reduction in the mode frequencies. Under the same temperature load, the increase in static deformation caused by the increase in static load leads to a slight increase in structural mode frequencies. Compared with the single load case, the effects of static and thermal loads on the dynamic characteristics of the structure cannot be simulated by linear superposition. The coupling effect between thermal and static deformation needs to be considered in the modal analysis.
Table 9.
The first five-mode frequencies under different combined loads (Hz).
As the static deformation increases, the 1st and 2nd mode shapes remain relatively unchanged and can still be approximated using triangular functions. However, the 3rd, 4th, and 5th mode shapes undergo significant changes which are shown in Figure 12. The peak values of the mode shapes near the center of the beam are significantly lower than those on the two sides.
Figure 12.
The mode shapes under different combined loads: (a) the 3rd mode shape; (b) the 4th mode shape; (c) the 5th mode shape.
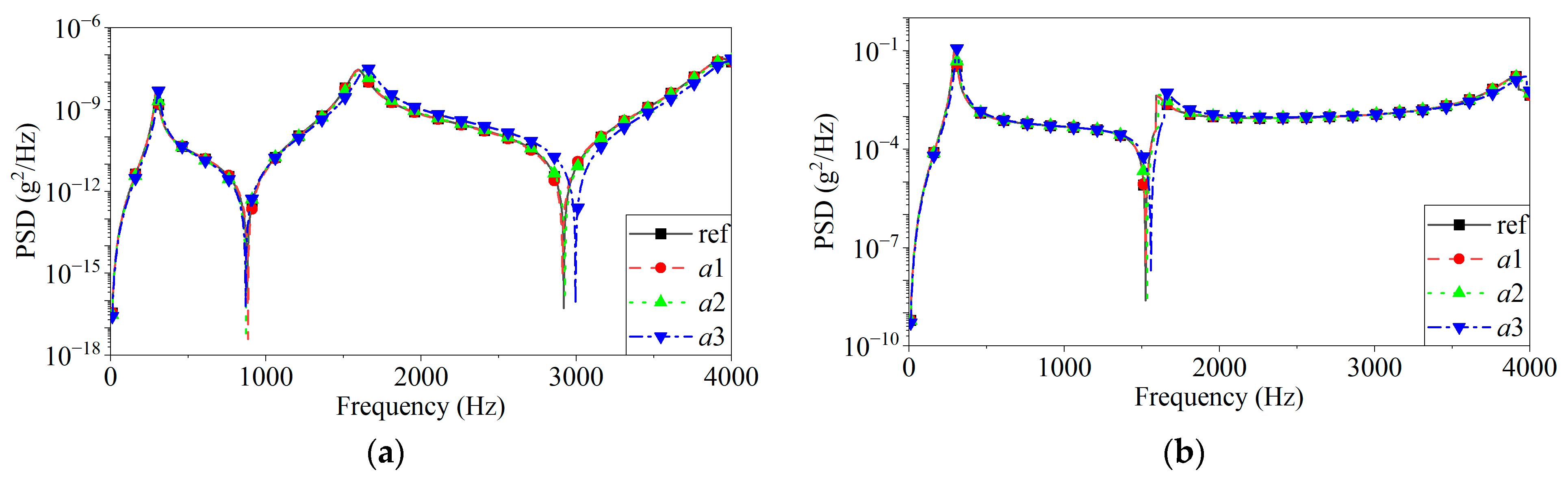
As depicted in Figure 13, the PSD contour of acceleration of the beam under different static-thermal combined loads is analyzed. The analysis reveals that, with the static-thermal load increment, the structural nephogram undergoes minor changes. And the peak frequency of the nephogram shifts with the fluctuation of mode frequencies.
Figure 13.
PSD contour of acceleration in the z-direction under different combined loads (g2/Hz): (a) case c1; (b) case c2; (c) case c3; (d) case c4.
The PSD curves of acceleration under different combined loads for points located at x = 150 mm, x = 100 mm, and x = 75 mm are shown in Figure 14. After analyzing the load range, the effect of thermal loads on beam response is greater than that of static loads. The peak frequency of structural response decreases due to the influence of thermal loads and increases due to the influence of static loads. By comparing c1 with c3 and c2 with c4, it can be concluded that temperature has a greater impact than static loads. The peak frequency of acceleration response shifts with the mode frequencies, and there is no significant impact on the peak value of acceleration response. The position of the anti-resonance peak of structural response changes consistently with the mode frequencies. It shifts towards lower frequencies with an increase in thermal loads and towards higher frequencies with an increase in static loads. In the analyzed load range, the effect of thermal loads is greater than that of static loads.
Figure 14.
PSD curves of acceleration in the z-direction under different combined loads at various locations: (a) PSD curves for point located at x = 150 mm (b) PSD curves for point located at x = 100 mm; (c) PSD curves for point located at x = 75 mm.
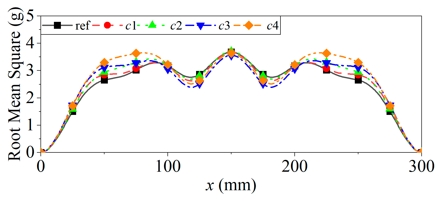
The RMS of the acceleration response considering the influence of combined loads is shown in Figure 15. Upon analysis, it has been determined that alterations in mode shapes have resulted in a minor fluctuation in the acceleration response within the central area of the beam [100, 200]. However, the RMS acceleration response in the two lateral regions ([50, 100] and [200, 250]) has demonstrated a significant rise in correlation with the augmentation of static deformation. The structural acceleration response is more affected by the combined loads than by the linear superposition of the individual loads.
Figure 15.
RMS of acceleration in the z-direction under different combined loads.
5. Conclusions
The present research paper proposed a semi-analytical approach for the dynamic response analysis of beam structures, considering the effects of thermal loading and initial deformation. Static deformation analysis under static and thermal loads is conducted using the Rayleigh-Ritz method, and the structural dynamic equation of the beam under static-thermal coupling is established. A segmented solution method and transfer matrix method based on the theory of local homogenization technique is used to solve the variable coefficient differential equation. Based on the linearized modal analysis, a response analysis method considering static and thermal effects is established using the mode superposition technique. The effects of single static load, single thermal load, and static-thermal combined load on structural responses are analyzed.
It has been demonstrated that uniform thermal stress resulting from thermal loads can decrease structural stiffness and lower mode frequencies while leaving the mode shape unaffected. On the other hand, non-uniform stress resulting from static deformation can increase structural stiffness and raise mode frequencies, as well as affect the mode shapes. The mode shapes cannot be approximated by harmonic functions. These changes in modal characteristics can cause the peak frequency of the structural random vibration response to shift. Furthermore, when deflection is large, the root-mean-square value of acceleration response on both sides of the beam significantly increases.
The analysis takes into account the influence of thermal effects on the static deformation of the structure, and the combined loads have a more significant effect on the acceleration response than the superposition of individual load effects.
Further research could investigate the impact of thermal stresses on the clamped beam and temperature-dependent properties on vibration frequencies. The inclusion of these factors would provide a more comprehensive understanding of the dynamic behavior. Moreover, experimental verification of the obtained results is necessary to validate and confirm the accuracy of the proposed method in future research.
Author Contributions
Conceptualization, X.Y., Y.L. and Q.F.; methodology, X.Y.; software, X.Y. and Q.C.; validation, X.Y., Y.L. and Q.C.; writing—original draft preparation, X.Y. and Q.C.; writing—review and editing, X.Y., Y.L. and Q.C.; supervision, Y.L. and Q.F.; funding acquisition, Y.L. and Q.F. All authors have read and agreed to the published version of the manuscript.
Funding
The research work described in this paper was supported by the National Natural Science Foundation of China (52175220, 52125209), the Natural Science Foundation of Jiangsu Province (BK20211558), the Southeast University “Zhongying Young Scholars” Project (202201), Postdoctoral Science Foundation of Jiangsu Province (2021K230B), and the Postgraduate Research & Practice Innovation Program of Jiangsu Province (KYCX18_0070).
Institutional Review Board Statement
Not applicable.
Informed Consent Statement
Not applicable.
Data Availability Statement
All data used in this paper can be obtained by contacting the authors.
Conflicts of Interest
The authors declare no conflict of interest.
References
- Li, Y.; Mulani, S.B.; Fei, Q.; Wu, S.; Zhang, P. Vibro-acoustic analysis under stationary and non-stationary random excitations with KLE/FEM/BEM. Aerosp. Sci. Technol. 2017, 66, 203–215. [Google Scholar] [CrossRef]
- Li, Y.; Mulani, S.B.; Kapania, R.K.; Fei, Q.; Wu, S. Non-stationary random vibration analysis of structures under multiple correlated normal random excitations. J. Sound Vib. 2017, 400, 481–507. [Google Scholar] [CrossRef]
- Li, Y.; Mulani, S.B.; Scott, K.M.L.; Kapania, R.K.; Wu, S.; Fei, Q. Non-stationary random vibration analysis of multi degree systems using auto-covariance orthogonal decomposition. J. Sound Vib. 2016, 372, 147–167. [Google Scholar] [CrossRef]
- Takabatake, H. Effects of Dead Loads in Static Beams. J. Struct. Eng. 1990, 116, 1102–1120. [Google Scholar] [CrossRef]
- Takabatake, H. Effect of Dead Loads on Natural Frequencies of Beams. J. Struct. Eng. 1991, 117, 1039–1052. [Google Scholar] [CrossRef]
- Takabatake, H. Effects of dead loads on dynamic analyses of beams subject to moving loads. Earthq. Struct. 2013, 5, 589–605. [Google Scholar] [CrossRef]
- Takabatake, H. Effects of Dead Loads in Dynamic Plates. J. Struct. Eng. 1992, 118, 34–51. [Google Scholar] [CrossRef]
- Zhou, S.-J.; Zhu, X. Analysis of Effect of Dead Loads on Natural Frequencies of Beams Using Finite-Element Techniques. J. Struct. Eng. 1996, 122, 512–516. [Google Scholar] [CrossRef]
- Saha, K.N.; Misra, D.; Ghosal, S.; Pohit, G. Nonlinear free vibration analysis of square plates with various boundary conditions. J. Sound Vib. 2005, 287, 1031–1044. [Google Scholar] [CrossRef]
- Banerjee, A.; Bhattacharya, B.; Mallik, A.K. Large deflection of cantilever beams with geometric non-linearity: Analytical and numerical approaches. Int. J. Non-Linear Mech. 2008, 43, 366–376. [Google Scholar] [CrossRef]
- Wang, D.; Geng, Q.; Li, Y. Effect of static load on vibro-acoustic behaviour of clamped plates with geometric imperfections. J. Sound Vib. 2018, 432, 155–172. [Google Scholar] [CrossRef]
- Carrera, E.; Pagani, A.; Augello, R. Effect of large displacements on the linearized vibration of composite beams. Int. J. Non-Linear Mech. 2019, 120, 103390. [Google Scholar] [CrossRef]
- Chen, Q.; Fei, Q.; Li, Y.; Wu, S.; Zhang, P. Prediction of Statistical Energy Analysis Parameters in Thermal Environment. J. Spacecr. Rocket. 2019, 56, 687–694. [Google Scholar] [CrossRef]
- Chen, S.; Fei, Q.; Jiang, D.; Cao, Z. Determination of thermo-elastic parameters for dynamical modeling of 2.5D C/SiC braided composites. J. Mech. Sci. Technol. 2018, 32, 231–243. [Google Scholar] [CrossRef]
- Jeyaraj, P. Buckling and free vibration behavior of an isotropic plate under nonuniform thermal load. Int. J. Struct. Stab. Dyn. 2013, 13, 1250071. [Google Scholar] [CrossRef]
- Yu, Y.; Shen, H.-S.; Wang, H.; Hui, D. Postbuckling of sandwich plates with graphene-reinforced composite face sheets in thermal environments. Compos. Part B Eng. 2018, 135, 72–83. [Google Scholar] [CrossRef]
- Javaheri, R.; Eslami, M.R. Thermal buckling of functionally graded plates. AIAA J. 2002, 40, 162–169. [Google Scholar] [CrossRef]
- Kumar, R.; Ramachandra, L.S.; Banerjee, B. Semi-analytical approach for thermal buckling and postbuckling response of rectangular composite plates subjected to localized thermal heating. Acta Mech. 2017, 228, 1767–1791. [Google Scholar] [CrossRef]
- Mead, D.J. Vibration and buckling of flat free–free plates under non-uniform in-plane thermal stresses. J. Sound Vib. 2003, 260, 141–165. [Google Scholar] [CrossRef]
- Cui, D.; Hu, H. Thermal buckling and natural vibration of the beam with an axial stick–slip–stop boundary. J. Sound Vib. 2014, 333, 2271–2282. [Google Scholar] [CrossRef]
- Ebrahimi, F.; Naei, M.H.; Rastgoo, A. Geometrically nonlinear vibration analysis of piezoelectrically actuated FGM plate with an initial large deformation. J. Mech. Sci. Technol. 2009, 23, 2107–2124. [Google Scholar] [CrossRef]
- Yaghoobi, H.; Torabi, M. Post-buckling and nonlinear free vibration analysis of geometrically imperfect functionally graded beams resting on nonlinear elastic foundation. Appl. Math. Model. 2013, 37, 8324–8340. [Google Scholar] [CrossRef]
- Yeh, Y.-L. The effect of thermo-mechanical coupling for a simply supported orthotropic rectangular plate on non-linear dynamics. Thin-Walled Struct. 2005, 43, 1277–1295. [Google Scholar] [CrossRef]
- Amabili, M. Theory and experiments for large-amplitude vibrations of rectangular plates with geometric imperfections. J. Sound Vib. 2006, 291, 539–565. [Google Scholar] [CrossRef]
- Amabili, M.; Farhadi, S. Shear deformable versus classical theories for nonlinear vibrations of rectangular isotropic and laminated composite plates. J. Sound Vib. 2009, 320, 649–667. [Google Scholar] [CrossRef]
- Amabili, M.; Karazis, K.; Karazis, K.; Khorshidi, K. Nonlinear vibrations of rectangular laminated composite plates with different boundary conditions. Int. J. Struct. Stab. Dyn. 2011, 11, 673–695. [Google Scholar] [CrossRef]
- Chiang, C.K.; Mei, C.; Gray, C.E. Finite element large-amplitude free and forced vibrations of rectangular thin composite plates. J. Vib. Acoust. 1991, 113, 309–315. [Google Scholar] [CrossRef]
- Pagani, A.; Carrera, E. Unified formulation of geometrically nonlinear refined beam theories. Mech. Adv. Mater. Struct. 2018, 25, 15–31. [Google Scholar] [CrossRef]
- Gunda, J.B.; Gupta, R.K.; Ranga Janardhan, G.; Venkateswara Rao, G. Large amplitude vibration analysis of composite beams: Simple closed-form solutions. Compos. Struct. 2011, 93, 870–879. [Google Scholar] [CrossRef]
- Wattanasakulpong, N.; Ungbhakorn, V. Linear and nonlinear vibration analysis of elastically restrained ends FGM beams with porosities. Aerosp. Sci. Technol. 2014, 32, 111–120. [Google Scholar] [CrossRef]
- Ribeiro, P.; Petyt, M. Nonlinear vibration of plates by the hierarchical finite element and continuation methods. Int. J. Mech. Sci. 1999, 41, 437–459. [Google Scholar] [CrossRef]
- Lou, M.; Chen, G. Modal Perturbation Method and its Applications in Structural Systems. J. Eng. Mech. 2003, 129, 935–943. [Google Scholar] [CrossRef]
- Hsu, J.-C.; Lai, H.-Y.; Chen, C.K. Free vibration of non-uniform Euler–Bernoulli beams with general elastically end constraints using Adomian modified decomposition method. J. Sound Vib. 2008, 318, 965–981. [Google Scholar] [CrossRef]
- Takabatake, H. Effects of dead loads on dynamic analyses of beams. Earthq. Struct. 2010, 1, 411–425. [Google Scholar] [CrossRef]
Disclaimer/Publisher’s Note: The statements, opinions and data contained in all publications are solely those of the individual author(s) and contributor(s) and not of MDPI and/or the editor(s). MDPI and/or the editor(s) disclaim responsibility for any injury to people or property resulting from any ideas, methods, instructions or products referred to in the content. |
© 2023 by the authors. Licensee MDPI, Basel, Switzerland. This article is an open access article distributed under the terms and conditions of the Creative Commons Attribution (CC BY) license (https://creativecommons.org/licenses/by/4.0/).
















