Railcar Dynamic Response during Braking Maneuvers Based on Frequency Analysis
Abstract
1. Introduction
2. Materials and Methods
2.1. Experiment Description
2.2. Data Adquisition System
3. Methodology
3.1. Frequency Analysis
3.2. Correlation Method
4. Results
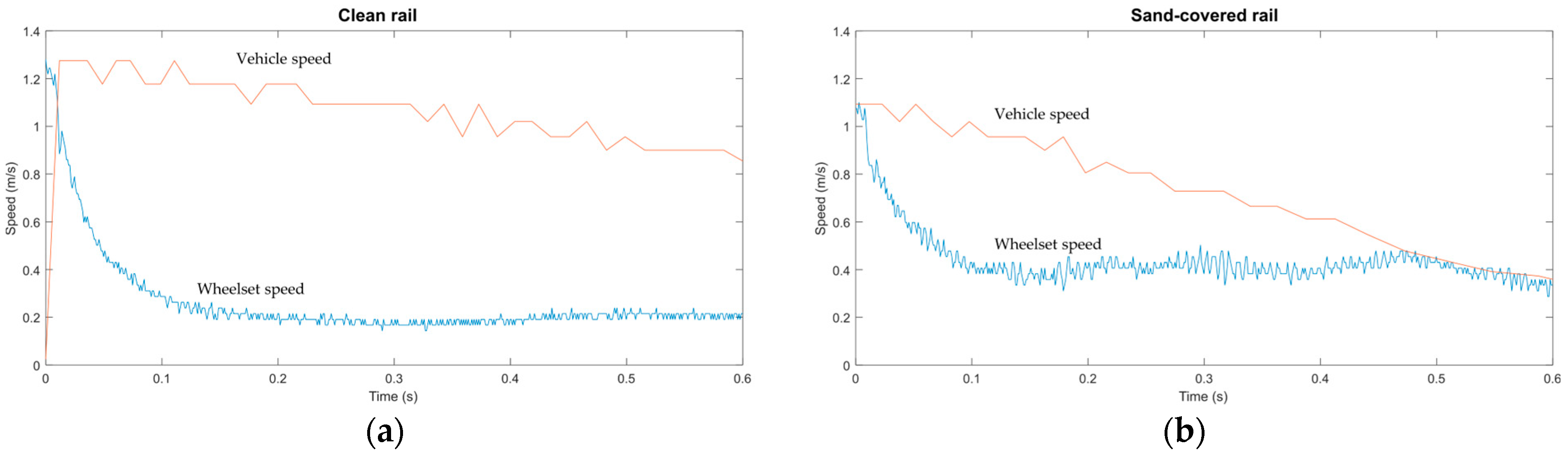
4.1. Creep
4.2. Frequency Analisys before Braking
4.3. Frequency Analisys during Braking
5. Conclusions
Author Contributions
Funding
Institutional Review Board Statement
Informed Consent Statement
Data Availability Statement
Acknowledgments
Conflicts of Interest
References
- Zhang, Z.; Dhanasekar, M. Dynamics of railway wagons subjected to braking/traction torque. Veh. Syst. Dyn. 2009, 47, 285–307. [Google Scholar] [CrossRef]
- Lixin, Q.; Haitao, C. Three dimension dynamics response of car in heavy haul train during braking mode. In Proceedings of the 7th International Heavy Haul Conference, Brisbane, Australia, 10–14 June 2001; pp. 231–238. [Google Scholar]
- Eroğlu, M.; Koç, M.A.; Esen, I.; Kozan, R. Train-structure interaction for high-speed trains using a full 3D train model. J. Braz. Soc. Mech. Sci. Eng. 2022, 44, 1–28. [Google Scholar] [CrossRef]
- Koç, M.A. A new expert system for active vibration control (AVC) for high-speed train moving on a flexible structure and PID optimization using MOGA and NSGA-II algorithms. J. Braz. Soc. Mech. Sci. Eng. 2022, 44, 1–24. [Google Scholar] [CrossRef]
- Lee, J.S.; Choi, S.; Kim, S.-S.; Park, C.; Kim, Y.G. A Mixed Filtering Approach for Track Condition Monitoring Using Accelerometers on the Axle Box and Bogie. IEEE Trans. Instrum. Meas. 2011, 61, 749–758. [Google Scholar] [CrossRef]
- Tsunashima, H. Condition monitoring of railway tracks from car-body vibration using a machine learning technique. Appl. Sci. 2019, 9, 2734. [Google Scholar] [CrossRef]
- Wei, X.; Liu, F.; Jia, L. Urban rail track condition monitoring based on in-service vehicle acceleration measurements. Measurement 2016, 80, 217–228. [Google Scholar] [CrossRef]
- Jauregui-Correa, J.C.; Morales-Velazquez, L.; Otremba, F.; Hurtado-Hurtado, G. Method for predicting dynamic loads for a health monitoring system for subway tracks. Front. Mech. Eng. 2022, 8, 1–16. [Google Scholar] [CrossRef]
- Iwnicki, S.; Iwnicki, S. (Eds.) Tribology of the Wheel-Rail Contact. In Handbook of Railway Vehicle Dynamics, 1st ed.; CRC Press: Boca Raton, FL, USA, 2006; pp. 282–291. [Google Scholar]
- Nielsen, J.C.; Johansson, A. Out-of-round railway wheels-a literature survey. Proc. Inst. Mech. Eng. Part F J. Rail Rapid Transit. 2000, 214, 79–91. [Google Scholar] [CrossRef]
- Tao, G.; Wen, Z.; Liang, X.; Ren, D.; Jin, X. An investigation into the mechanism of the out-of-round wheels of metro train and its mitigation measures. Veh. Syst. Dyn. 2019, 57, 1–16. [Google Scholar] [CrossRef]
- Ye, Y.; Zhu, B.; Huang, P.; Peng, B. OORNet: A deep learning model for on-board condition monitoring and fault diagnosis of out-of-round wheels of high-speed trains. Measurement 2022, 199, 111268. [Google Scholar] [CrossRef]
- Tanaka, H.; Matsumoto, M.; Harada, Y. Application of axle-box acceleration to track condition monitoring for rail corrugation management. In Proceedings of the 7th IET Conference on Railway Condition Monitoring 2016 (RCM 2016), Birmingham, UK, 27–28 September 2016. [Google Scholar] [CrossRef]
- Moore, D.F. Chapter 14—Transportation and Locomotion. In Principles and Applications of Tribology; Elsevier: Amsterdam, The Netherlands, 1975; pp. 302–330. [Google Scholar]
- Harmon, M.; Lewis, R. Review of top of rail friction modifier tribology. Tribol. Mater. Surf. Interfaces 2016, 10, 150–162. [Google Scholar] [CrossRef]
- Lundberg, J.; Rantatalo, M.; Wanhainen, C.; Casselgren, J. Measurements of friction coefficients between rails lubricated with a friction modifier and the wheels of an IORE locomotive during real working conditions. Wear 2015, 324–325, 109–117. [Google Scholar] [CrossRef]
- Lu, X.; Cotter, J.; Eadie, D. Laboratory study of the tribological properties of friction modifier thin films for friction control at the wheel/rail interface. Wear 2005, 259, 1262–1269. [Google Scholar] [CrossRef]
- Arias-Cuevas, O.; Li, Z.; Lewis, R.; Gallardo-Hernandez, E.A. Rolling–sliding laboratory tests of friction modifiers in dry and wet wheel–rail contacts. Wear 2010, 268, 543–551. [Google Scholar] [CrossRef]
- Bosso, N.; Gugliotta, A.; Magelli, M.; Oresta, I.F.; Zampieri, N. Study of wheel-rail adhesion during braking maneuvers. Procedia Struct. Integr. 2019, 24, 680–691. [Google Scholar] [CrossRef]
- Hurtado-Hurtado, G.; Morales-Velazquez, L.; Valtierra-Rodríguez, M.; Otremba, F.; Jáuregui-Correa, J.C. Frequency Analysis of the Railway Track under Loads Caused by the Hunting Phenomenon. Mathematics 2022, 10, 2286. [Google Scholar] [CrossRef]
- Polach, O. Creep forces in simulations of traction vehicles running on adhesion limit. Wear 2005, 258, 992–1000. [Google Scholar] [CrossRef]


















| Parameter | |
|---|---|
| Mass | |
| 4.4 kg 1.0 kg 0.64 kg 2.76 kg |
| Dimensions | |
| 506 mm 100 mm 120 mm 63 mm 23 mm |
| Suspension stiffness | 5.82 N/mm |
| Center of mass | x: 42 mm y: 0 mm z: 62 mm |
| Frequency (Hz) | Source |
|---|---|
| 25 | Sleeper passage |
| 46 | Wheel rolling (at vehicle speed 1.2 m/s) |
| 150 | Vehicle vertical |
| 180 | Vehicle lateral |
| 200 | Vehicle longitudinal |
Disclaimer/Publisher’s Note: The statements, opinions and data contained in all publications are solely those of the individual author(s) and contributor(s) and not of MDPI and/or the editor(s). MDPI and/or the editor(s) disclaim responsibility for any injury to people or property resulting from any ideas, methods, instructions or products referred to in the content. |
© 2023 by the authors. Licensee MDPI, Basel, Switzerland. This article is an open access article distributed under the terms and conditions of the Creative Commons Attribution (CC BY) license (https://creativecommons.org/licenses/by/4.0/).
Share and Cite
Hurtado-Hurtado, G.; Morales-Velazquez, L.; Otremba, F.; Jáuregui-Correa, J.C. Railcar Dynamic Response during Braking Maneuvers Based on Frequency Analysis. Appl. Sci. 2023, 13, 4132. https://doi.org/10.3390/app13074132
Hurtado-Hurtado G, Morales-Velazquez L, Otremba F, Jáuregui-Correa JC. Railcar Dynamic Response during Braking Maneuvers Based on Frequency Analysis. Applied Sciences. 2023; 13(7):4132. https://doi.org/10.3390/app13074132
Chicago/Turabian StyleHurtado-Hurtado, Gerardo, Luis Morales-Velazquez, Frank Otremba, and Juan C. Jáuregui-Correa. 2023. "Railcar Dynamic Response during Braking Maneuvers Based on Frequency Analysis" Applied Sciences 13, no. 7: 4132. https://doi.org/10.3390/app13074132
APA StyleHurtado-Hurtado, G., Morales-Velazquez, L., Otremba, F., & Jáuregui-Correa, J. C. (2023). Railcar Dynamic Response during Braking Maneuvers Based on Frequency Analysis. Applied Sciences, 13(7), 4132. https://doi.org/10.3390/app13074132

