Next Article in Journal
Wireless Covert Communication with Polarization Dirty Constellation
Previous Article in Journal
Effect of Recycled Foundry Sand on the Workability and Mechanical Properties of Mortar
 
 
Font Type:
Arial Georgia Verdana
Font Size:
Aa Aa Aa
Line Spacing:
Column Width:
Background:
Communication

Novel Proton-Conducting Layered Perovskites Based on BaLa2In2O7 Produced by Cationic Co-Doping

by
Nataliia Tarasova
1,2,*,
Anzhelika Bedarkova
1,2,
Irina Animitsa
1,2,
Ekaterina Abakumova
1,2,
Alexey Trofimov
1,2 and
Evgeniya Verinkina
2
1
The Institute of High Temperature Electrochemistry of the Ural Branch, Russian Academy of Sciences, 620016 Yekaterinburg, Russia
2
Institute of Hydrogen Energy, Ural Federal University, 620000 Yekaterinburg, Russia
*
Author to whom correspondence should be addressed.
Appl. Sci. 2023, 13(6), 3449; https://doi.org/10.3390/app13063449
Submission received: 17 February 2023 / Revised: 2 March 2023 / Accepted: 7 March 2023 / Published: 8 March 2023
(This article belongs to the Section Nanotechnology and Applied Nanosciences)

Abstract

Proton conducting materials are used in electrochemical devices such as proton conducting fuel cells and proton conducting electrolyzers. These devices belong to the hydrogen energy field and serve the goals of clean energy and sustainable environmental development. Layered perovskites are a promising class of proton conducting electrolytes. Cationic co-doping is a well-known method to improve the transport properties of classical perovskite ABO3. However, data on the application of this method to layered perovskites are limited. In this work, the bilayered perovskites BaLa1.9−xSrxGd0.1In2O7−0.5x have been prepared and studied for the first time. The possibility of oxygen-ionic and proton transport was demonstrated. Cationic co-doping was shown to increase the proton conductivity values by up to 1.5 orders of magnitude.

1. Introduction

Proton conductivity in solid state materials is a required property for the electrolytic components of electrochemical devices such as proton conducting fuel cells (PCFCs) and proton conducting electrolyzers (PCECs) [1,2,3,4,5,6,7,8]. These devices belong to the hydrogen energy field and serve the goals of clean energy and sustainable environmental development [9,10,11,12,13,14,15,16]. The efficiency of PCFCs and PCECs depends on many factors, including parameters such as the magnitude of the proton conductivity of the electrolyte material. There are several strategies to improve conductivity, one of which is doping, including cationic co-doping. The co-doping (double doping) method worked well for the most studied proton conductors such as barium cerate [2,17,18,19,20,21] and lanthanum scandate [22,23,24,25,26,27,28,29,30,31]. However, data on the application of this method to improve the transport properties of proton conducting layered perovskites are limited.
The layered perovskites AA′nBnO3n + 1 are a structural class derived from the classical perovskite ABO3, where the perovskite blocks (A′BO3)n are separated by the rock salt layers AO [32]. The ionic (oxygen-ionic) conductivity of this type of material was first opened up about 10 years ago by Fujii et al. and by Troncoso et al. for compositions based on BaNdInO4 [33,34,35,36,37] and SrLaInO4 [38,39,40], respectively. The possibility of proton conductivity in layered perovskites was opened in 2019 for the compositions based on BaLaInO4 [41]. A few years later it was demonstrated for many materials based on Ba(Sr)La(Nd)In(Sc)O4 [42,43,44,45,46]. These compositions can be described by the general formula AA′BO4 and are called monolayerd perovskites (n = 1). Last year (2022), bilayerd perovskites AA′2B2O7 (n = 2) based on BaLa2In2O7 [47,48], BaNd2In2O7 [49] and SrLa2Sc2O7 [50] were investigated in terms of oxygen ionic and proton conductivity. Cationic doping was found to increase the proton conductivity values by up to 1.5 orders of magnitude [12]. However, the possibility of a co-doping strategy applied to bilayerd perovskites has not yet been investigated. In this work we have carried out double isovalent Gd3+→La3+ and acceptor Sr2+→La3+ doping in the cationic sublattice of the bilayerd perovskite BaLa2In2O7. The influence of doping on the crystal lattice, the possibility of water uptake and the proton conductivity were revealed.

2. Experimental Procedure

The compositions BaLa1.9−xSrxGd0.1In2O7−0.5x were prepared by the solid state method. The powders of the starting reagents BaCO3, SrCO3, La2O3, Gd2O3, In2O3 were dried and used in stoichiometric amounts. An agate mortar was used for grinding. The compositions were heated after each grinding. The annealing was carried out in the temperature range of 800, 900, 1100, 1200 and 1300 °C.
The phase identification of the obtained compositions was carried out using the Bruker Advance D8 Cu Kα diffractometer. The scanning electron microscope VEGA3 TESCAN equipped with the system for energy dispersive X-ray spectroscopy was used to define the morphology and chemical composition of the samples. The thermogravimetric and mass spectrometric investigations were carried out using the NETZSCH STA 409 PC analyzer equipped with the NETZSCH QMS 403C Aëolos mass spectrometer. Initially hydrated samples were used. The hydrated samples were obtained by slow cooling from 1100 to 150 °C (1 °C/min) under a flow of wet Ar (pH2O = 2 × 10−2 atm).
The electrical conductivity was measured with an impedance spectrometer Z-1000P, Elins, RF. The ceramic pellets with a 10 mm diameter and 2 mm thickness were pressed for the investigations. Pt-electrodes were applied on the surfaces of the samples. The investigations were carried out from 1000 to 200 °C with a cooling rate of 1°/min under dry air or dry Ar. The dry gas (air or Ar) was prepared by circulating the gas through P2O5 (pH2O = 3.5 × 10−5 atm). The wet gas (air or Ar) was obtained by bubbling the gas at room temperature first through distilled water and then through a saturated solution of KBr (pH2O = 2 × 10−2 atm).

3. Results and Discussions

The homogeneity range of the solid solution BaLa1.9−xSrxGd0.1In2O7−0.5x was defined by XRD analysis. The full profile Le Bail refinement of the obtained data showed that compositions with x ≤ 0.15 are single phase and have orthorhombic symmetry, Pbca space group (Figure 1). All compositions were isostructural to the matrix composition BaLa2In2O7, which has the structure of bilayer perovskite [51]. The higher dopant content x > 0.15 led to the appearance of impurities. Table 1 shows the lattice parameters of the compositions studied. As shown, doping led to an increase in lattice parameters and unit cell volume. The comparison of these data with the results for the related compositions obtained by doping the La3+ sublattice with Sr2+ ions BaLa2−xSrxIn2O7−0.5x [47] and Gd3+ ions BaLa2−xGdxIn2O7 [48] (Figure 1e) shows that the largest increase in parameters during doping is achieved for the acceptor-doped solid solution BaLa2−xSrxIn2O7−0.5x, where the ionic radii of the dopants are larger ( r La 3 + = 1.216 Å; r Sr 2 + = 1.31 Å; r Gd 3 + = 1.107 Å [52]). However, there is no direct correlation between the dopant radius and the change in the lattice parameters. The introduction of Gd3+ ions into the La3+ sublattice led to an increase in the interlayer space (lattice parameter c) due to the appearance of local distortions caused by the effects of mutual repulsion of ions of different electronegativity in the same sublattice [37]. It is obvious that the presence of three different cations also leads to the local distortion of the crystal lattice, and this is the reason for the significant decrease in the lattice parameter c for the solid solution BaLa1.9−xSrxGd0.1In2O7−0.5x compared to BaLa2−xSrxIn2O7−0.5x. Therefore, the increasing in the lattice parameter c is observed for all three solid solutions, but this increasing is different.
Morphological analysis of the compositions was carried out using scanning electron microscopy (SEM). The diameter of the grains was about ~2–5 μm (Figure 2). Energy dispersive X-ray spectroscopy (EDS) analysis confirmed the presence of all cations in the samples and the agreement of their ratio with the theoretical values (Table 2).
The electrical conductivities were obtained using the impedance spectroscopy method. Figure 3 shows the typical EIS plots for the sample BaLa1.75Sr0.15Gd0.1In2O6.925. The semicircle starting from zero coordinates (high frequency semicircle) corresponds to the resistivity of the grain volume of polycrystalline sample. This is proved by the small capacitance value ~ 10−12 F/cm. The conductivities were calculated from the resistivity values taken at the intersection of the high-frequency semicircle with the abscissa axis. The temperature dependencies of the conductivity obtained under dry (pH2O = 3.5·10−5 atm) and wet (pH2O = 2·10−2) air (pO2 = 0.21 atm) and Ar (pO2 ~10−5 atm) are shown in Figure 4.
As can be seen, the changes in atmospheric humidity (pH2O variation) and oxygen partial pressure do not affect the general shape and regularities of the conductivity values changes. The increase in the dopant concentration leads to the increase of the electrical conductivity values (Figure 5a). Figure 5b shows the concentration dependence of the conductivity in dry Ar, i.e., at lower oxygen partial pressure, where the conductivity nature is predominantly oxygen-ionic. The conductivity increases with increasing strontium content, which is explained by an increase in the concentration of oxygen vacancies:
2 SrO   La 2 O 3 2 Sr La + 2 O o × + V o
where Sr La is strontium ion in lanthanum sites; V o is the oxygen vacancy; O o × is the oxygen atom in the regular position.
The comparison of the oxygen-ionic conductivity of the solid solutions BaLa1.9−xSrxGd0.1In2O7−0.5x, BaLa2−xSrxIn2O7−0.5x and BaLa2−xGdxIn2O7 at 500 °C is shown in Figure 5c. As can be seen, the conductivity value for the co-doped composition BaLa1.8Sr0.1Gd0.1In2O6.95 is higher than for the isovalent-doped composition BaLa1.9Gd0.1In2O7 with the same gadolinium concentration. The reason for this is the higher concentration of ionic charge carriers (oxygen ions) due to the formation of oxygen vacancies during acceptor doping. At the same time, the conductivity values for the acceptor-doped BaLa2−xSrxIn2O7−0.5x compositions are close to the values for the co-doped BaLa1.9−xSrxGd0.1In2O7−0.5x compositions, except for the compositions with x = 0.1. The conductivity values for the BaLa1.9Sr0.1In2O6.95 composition are higher than for the BaLa1.8Sr0.1Gd0.1In2O6.95 composition at the same oxygen vacancy concentration. It is clear that the conductivity values depend on both geometric and concentration factors. Because the lattice parameters and interlayer space are larger for the acceptor-doped composition than for the co-doped composition, the mobility of oxygen ions may be higher for the BaLa1.9Sr0.1In2O6.95 composition than for the BaLa1.8Sr0.1Gd0.1In2O6.95 composition.
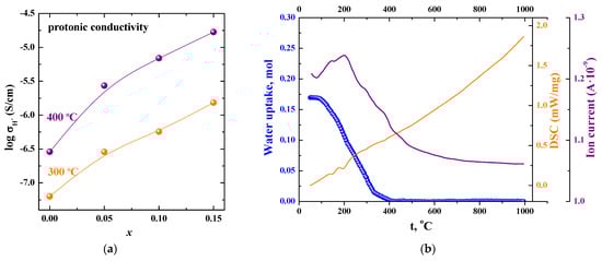
The proton conductivity values were obtained as the difference between the ionic conductivity under wet conditions (wet Ar) and dry conditions (dry Ar). The concentration dependence of the protonic conductivity for the compositions BaLa1.9−xSrxGd0.1In2O7−0.5x is shown in Figure 6a. As can be seen, the protonic conductivity increases with increasing dopant concentration. For the correct analysis of these dependencies, the values of the proton concentrations are required. Figure 6b shows the results of thermogravimetry (TG), mass spectrometry (MS) and differential scanning calorimetry (DSC) analyses for BaLa1.8Sr0.1Gd0.1In2O6.95 as an example. Mass loss occurs at the temperatures below 400 °C (TG curve) and is solely due to the release of water (MS(H2O) curve). The values of water uptake were close for all doped BaLa1.9−xSrxGd0.1In2O7−0.5x and undoped BaLa2In2O7 compositions and are about ~0.17 mol of water per formula unit (Table 1). In other words, the proton concentration ( c H + ) was close for all compositions. Consequently, the increase in proton conductivity ( σ H + ) with increasing x in the formula BaLa1.9−xSrxGd0.1In2O7−0.5x is due to the increase in proton mobility ( μ H + ):
σ H + = z × e · μ H + × c H +
The proton conductivity value for the most conductive co-doped composition BaLa1.75Sr0.15Gd0.1In2O6.925 is 8∙10−6 S/cm at 400 °C. The conductivity values for the undoped BaLa2In2O7 composition, the isovalent-doped BaLa1.9Gd0.1In2O7 composition and the acceptor-doped BaLa1.75Sr0.15In2O6.925 composition were 0.3∙10−6, S/cm, 2∙10−6 S/cm and 15∙10−6 S/cm, respectively. Thus, the acceptor doped composition was more conductive than the co-doped one. However, co-doping increases the proton conductivity values by up to 1.5 orders of magnitude.

4. Conclusions

The bilayered perovskites BaLa1.9−xSrxGd0.1In2O7−0.5x have been prepared and studied for the first time. The phase attestation, morphology, element content, possibility of water uptake and electrical conductivity were investigated and discussed. The possibility of oxygen-ionic and proton transport was demonstrated. It was shown that cationic co-doping led to an increase in proton conductivity values of up to 1.5 orders of magnitude. The cationic co-doping strategy is a promising way to improve the transport properties of bilayer perovskites. The selection of optimal dopants may be the task of future studies.

Author Contributions

Conceptualization, I.A. and N.T.; methodology, I.A. and N.T.; investigation, A.B., A.T., E.A. and E.V.; data curation, N.T., E.A., A.T. and A.B.; writing—original draft preparation, N.T.; writing—review and editing, N.T. and I.A. All authors have read and agreed to the published version of the manuscript.

Funding

This research received no external funding.

Institutional Review Board Statement

Not applicable.

Informed Consent Statement

Not applicable.

Data Availability Statement

Not applicable.

Conflicts of Interest

The authors declare no conflict of interest.

References

  1. Zhang, W.; Hu, Y.H. Progress in proton-conducting oxides as electrolytes for low-temperature solid oxide fuel cells: From materials to devices. Energy Sci. Eng. 2021, 9, 984–1011. [Google Scholar] [CrossRef]
  2. Nayak, A.P.; Sasmal, A. Recent advance on fundamental properties and synthesis of barium zirconate for proton conducting ceramic fuel cell. J. Clean. Prod. 2023, 386, 135827. [Google Scholar] [CrossRef]
  3. Guo, R.; He, T. High-entropy perovskite electrolyte for protonic ceramic fuel cells operating below 600 °C. ACS Mater. Lett. 2022, 4, 1646–1652. [Google Scholar] [CrossRef]
  4. Wang, C.; Li, Z.; Zhao, S.; Xia, L.; Zhu, M.; Han, M.; Ni, M. Modelling of an integrated protonic ceramic electrolyzer cell (PCEC) for methanol synthesis. J. Power Sources 2023, 559, 232667. [Google Scholar] [CrossRef]
  5. Liu, F.; Ding, D.; Duan, C. Protonic ceramic electrochemical cells for synthesizing sustainable chemicals and fuels. Adv. Sci. 2023, 2023, 2206478. [Google Scholar] [CrossRef]
  6. Kim, D.; Bae, K.T.; Kim, K.J.; Im, H.-N.; Jang, S.; Oh, S.; Lee, S.W.; Shin, T.H.; Lee, K.T. High-performance protonic ceramic electrochemical cells. ACS Energy Lett. 2022, 7, 2393–2400. [Google Scholar] [CrossRef]
  7. Tian, H.; Luo, Z.; Song, Y.; Zhou, Y.; Gong, M.; Li, W.; Shao, Z.; Liu, M.; Liu, X. Protonic ceramic materials for clean and sustainable energy: Advantages and challenges. Int. Mater. Rev. 2022, 2022, 1–29. [Google Scholar] [CrossRef]
  8. Ji, H.I.; Lee, J.H.; Son, J.W.; Yoon, K.J.; Yang, S.; Kim, B.K. Protonic ceramic electrolysis cells for fuel production: A brief review. J. Korean Ceram. Soc. 2020, 57, 480–494. [Google Scholar] [CrossRef]
  9. Corigliano, O.; Pagnotta, L.; Fragiacomo, P. On the technology of solid oxide fuel cell (SOFC) energy systems for stationary power generation: A review. Sustainability 2022, 14, 15276. [Google Scholar] [CrossRef]
  10. Kumar, S.S.; Lim, H. An overview of water electrolysis technologies for green hydrogen production. Energy Rep. 2022, 8, 13793–13813. [Google Scholar] [CrossRef]
  11. Huang, L.; Huang, X.; Yan, J.; Liu, Y.; Jiang, H.; Zhang, H.; Tang, J.; Liu, Q. Research progresses on the application of perovskite in adsorption and photocatalytic removal of water pollutants. J. Hazard. Mater. 2023, 442, 130024. [Google Scholar] [CrossRef]
  12. Tarasova, N. Layered perovskites BaLnnInnO3n+1 (n = 1, 2) for electrochemical applications: A mini review. Membranes 2023, 13, 34. [Google Scholar] [CrossRef]
  13. Zvonareva, I.A.; Medvedev, D.A. Proton-conducting barium stannate for high-temperature purposes: A brief review. J. Eur. Ceram. Soc. 2023, 43, 198–207. [Google Scholar] [CrossRef]
  14. Aminudin, M.A.; Kamarudin, S.K.; Lim, B.H.; Majilan, E.H.; Masdar, M.S.; Shaari, N. An overview: Current progress on hydrogen fuel cell vehicles. Int. J. Hydrog. Energy 2023, 48, 4371–4388. [Google Scholar] [CrossRef]
  15. Liu, F.; Fang, L.; Diercks, D.; Kazempoor, P.; Duan, C. Rationally designed negative electrode for selective CO2-to-CO conversion in protonic ceramic electrochemical cells. Nano Energy 2022, 102, 107722. [Google Scholar] [CrossRef]
  16. Liu, F.; Duan, C. Direct-hydrocarbon proton-conducting solid oxide fuel cells. Sustainability 2021, 13, 4736. [Google Scholar] [CrossRef]
  17. Qiao, Z.; Li, S.; Li, Y.; Xu, N.; Xiang, K. Structure, mechanical properties, and thermal conductivity of BaZrO3 doped at the A-B site. Ceram. Int. 2022, 48, 12529–12536. [Google Scholar] [CrossRef]
  18. Guo, R.; Li, D.; Guan, R.; Kong, D.; Cui, Z.; Zhou, Z.; He, T. Sn–Dy–Cu triply doped BaZr0.1Ce0.7Y0.2O3−δ: A chemically stable and highly proton-conductive electrolyte for low-temperature solid oxide fuel cells. ACS Sustain. Chem. Eng. 2022, 10, 5352–5362. [Google Scholar] [CrossRef]
  19. Gu, Y.; Luo, G.; Chen, Z.; Huo, Y.; Wu, F. Enhanced chemical stability and electrochemical performance of BaCe0.8Y0.1Ni0.04Sm0.06O3-δ perovskite electrolytes as proton conductors. Ceram. Int. 2022, 48, 10650–10658. [Google Scholar] [CrossRef]
  20. Medvedev, D.A. Current drawbacks of proton-conducting ceramic materials: How to overcome them for real electrochemical purposes. Curr. Opin. Green Sustain. Chem. 2021, 32, 100549. [Google Scholar] [CrossRef]
  21. Kasyanova, A.N.; Zvonareva, I.A.; Tarasova, N.A.; Bi, L.; Medvedev, D.A.; Shao, Z. Electrolyte materials for protonic ceramic electrochemical cells: Main limitations and potential solutions. Mater. Rep. Energy 2022, 2, 100158. [Google Scholar] [CrossRef]
  22. Lybye, D.; Poulsen, F.W.; Mogensen, M. Conductivity of A- and B-site doped LaAlO3, LaGaO3, LaScO3 and LaInO3 perovskites. Solid State Ion. 2000, 128, 91–103. [Google Scholar] [CrossRef]
  23. Gorelov, V.P.; Stroeva, A.Y. Solid proton conducting electrolytes based on LaScO3. Russ. J. Electrochem. 2012, 48, 949–960. [Google Scholar] [CrossRef]
  24. Kuzmin, A.V.; Lesnichyova, A.S.; Tropin, E.S.; Stroeva, A.Y.; Vorotnikov, V.A.; Solodyankina, D.M.; Belyakov, S.A.; Plekhanov, M.S.; Farlenkov, A.S.; Osinkin, D.A.; et al. LaScO3-based electrolyte for protonic ceramic fuel cells: Influence of sintering additives on the transport properties and electrochemical performance. J. Power Sources 2020, 466, 228255. [Google Scholar] [CrossRef]
  25. Kuzmin, A.V.; Stroeva, A.Y.; Plekhanov, M.S.; Gorelov, V.P.; Farlenkov, A.S. Chemical solution deposition and characterization of the La1-xSrxScO3-α thin films on La1-xSrxMnO3-α substrate. Int. J. Hydrog. Energy 2018, 43, 19206–19212. [Google Scholar] [CrossRef]
  26. Kato, H.; Kudo, T.; Naito, H.; Yugami, H. Electrical conductivity of Al-doped La1−xSrxScO3 perovskite-type oxides as electrolyte materials for low-temperature SOFC. Solid State Ion. 2003, 159, 217–222. [Google Scholar] [CrossRef]
  27. Lybye, D.; Bonanos, N. Proton and oxide ion conductivity of doped LaScO3. Solid State Ion. 1999, 125, 339–344. [Google Scholar] [CrossRef]
  28. Stroeva, A.Y.; Gorelov, V.P.; Balakireva, V.B. Conductivity of La1−xSrxSc1−yMgyO3−α (x = y = 0.01–0.20) in reducing atmosphere. Russ. J. Electrochem. 2010, 46, 784–788. [Google Scholar] [CrossRef]
  29. Ito, N.; Matsumoto, H.; Kawasaki, Y.; Okada, S.; Ishihara, T. The effect of Zn addition to La1−xSrxScO3-δ systems as a B-site dopant. Chem. Lett. 2009, 38, 582–583. [Google Scholar] [CrossRef]
  30. Yugami, H.; Kato, H.; Iguchi, F. Protonic SOFCs using perovskite-type conductors. Adv. Sci. Technol. 2014, 95, 66–71. [Google Scholar] [CrossRef]
  31. Kato, H.; Iguchi, F.; Yugami, H. Compatibility and performance of La0.675Sr0.325Sc0.99Al0.01O3 perovskite-type oxide as an electrolyte material for SOFCs. Electrochemistry 2014, 82, 845–850. [Google Scholar] [CrossRef]
  32. Ruddlesden, S.N.; Popper, P. The compound Sr3Ti2O7 and its structure. Acta Cryst. 1958, 11, 54–55. [Google Scholar] [CrossRef]
  33. Fujii, K.; Esaki, Y.; Omoto, K.; Yashima, M.; Hoshikawa, A.; Ishigaki, T.; Hester, J.R. New perovskite-related structure family of oxide-ion conducting materials NdBaInO4. Chem. Mater. 2014, 26, 2488–2491. [Google Scholar] [CrossRef]
  34. Fujii, K.; Shiraiwa, M.; Esaki, Y.; Yashima, M.; Kim, S.J.; Lee, S. Improved oxide-ion conductivity of NdBaInO4 by Sr doping. J. Mater. Chem. A 2015, 3, 11985. [Google Scholar] [CrossRef]
  35. Ishihara, T.; Yan, Y.; Sakai, T.; Ida, S. Oxide ion conductivity in doped NdBaInO4. Solid State Ion. 2016, 288, 262. [Google Scholar] [CrossRef]
  36. Yang, X.; Liu, S.; Lu, F.; Xu, J.; Kuang, X. Acceptor doping and oxygen vacancy migration in layered perovskite NdBaInO4-based mixed conductors. J. Phys. Chem. C 2016, 120, 6416–6426. [Google Scholar] [CrossRef]
  37. Fijii, K.; Yashima, M. Discovery and development of BaNdInO4—A brief review. J. Ceram. Soc. Jpn. 2018, 126, 852–859. [Google Scholar] [CrossRef]
  38. Troncoso, L.; Alonso, J.A.; Aguadero, A. Low activation energies for interstitial oxygen conduction in the layered perovskites La1+xSr1-xInO4+d. J. Mater. Chem. A 2015, 3, 17797–17803. [Google Scholar] [CrossRef]
  39. Troncoso, L.; Alonso, J.A.; Fernández-Díaz, M.T.; Aguadero, A. Introduction of interstitial oxygen atoms in the layered perovskite LaSrIn1-xBxO4+δ system (B=Zr, Ti). Solid State Ion. 2015, 282, 82–87. [Google Scholar] [CrossRef]
  40. Troncoso, L.; Mariño, C.; Arce, M.D.; Alonso, J.A. Dual oxygen defects in layered La1.2Sr0.8-xBaxInO4+d (x = 0.2, 0.3) oxide-ion conductors: A neutron diffraction study. Materials 2019, 12, 1624. [Google Scholar] [CrossRef]
  41. Tarasova, N.; Animitsa, I.; Galisheva, A.; Korona, D. Incorporation and conduction of protons in Ca, Sr, Ba-doped BaLaInO4 with Ruddlesden-Popper structure. Materials 2019, 12, 1668. [Google Scholar] [CrossRef]
  42. Troncoso, L.; Arce, M.D.; Fernández-Díaz, M.T.; Mogni, L.V.; Alonso, J.A. Water insertion and combined interstitial-vacancy oxygen conduction in the layered perovskites La1.2Sr0.8-xBaxInO4+δ. New J. Chem. 2019, 43, 6087–6094. [Google Scholar] [CrossRef]
  43. Zhou, Y.; Shiraiwa, M.; Nagao, M.; Fujii, K.; Tanaka, I.; Yashima, M.; Baque, L.; Basbus, J.F.; Mogni, L.V.; Skinner, S.J. Protonic conduction in the BaNdInO4 structure achieved by acceptor doping. Chem. Mater. 2021, 33, 2139–2146. [Google Scholar] [CrossRef] [PubMed]
  44. Shiraiwa, M.; Kido, T.; Fujii, K.; Yashima, M. High-temperature proton conductors based on the (110) layered perovskite BaNdScO4. J. Mat. Chem. A 2021, 9, 8607. [Google Scholar] [CrossRef]
  45. Tarasova, N.; Animitsa, I. Materials AIILnInO4 with Ruddlesden-Popper structure for electrochemical applications: Relationship between ion (oxygen-ion, proton) conductivity, water uptake and structural changes. Materials 2022, 15, 114. [Google Scholar] [CrossRef]
  46. Tarasova, N.; Animitsa, I.; Galisheva, A.; Medvedev, D. Layered and hexagonal perovskites as novel classes of proton-conducting solid electrolytes: A focus review. Electrochem. Mater. Technol. 2022, 1, 20221004. [Google Scholar] [CrossRef]
  47. Tarasova, N.; Bedarkova, A.; Animitsa, I.; Belova, K.; Abakumova, E.; Cheremisina, P.; Medvedev, D. Oxygen ion and proton transport in alkali-earth doped layered perovskites based on BaLa2In2O7. Inorganics 2022, 10, 161. [Google Scholar] [CrossRef]
  48. Tarasova, N.; Bedarkova, A.; Animitsa, I.; Verinkina, E. Synthesis, hydration processes and ionic conductivity of novel gadolinium-doped ceramic materials based on layered perovskite BaLa2In2O7 for electrochemical purposes. Processes 2022, 10, 2536. [Google Scholar] [CrossRef]
  49. Tarasova, N.; Bedarkova, A.; Animitsa, I.; Abakumova, E. Cation and oxyanion doping of layered perovskite BaNd2In2O7: Oxygen-ion and proton transport. Int. J. Hydrog. Energy 2022, in press. [Google Scholar] [CrossRef]
  50. Tarasova, N.; Bedarkova, A.; Animitsa, I.; Abakumova, E.; Gnatyuk, V.; Zvonareva, I. Novel protonic conductor SrLa2Sc2O7 with layered structure for electrochemical devices. Materials 2022, 15, 8867. [Google Scholar] [CrossRef]
  51. Caldes, M.; Michel, C.; Rouillon, T.; Hervieu, M.; Raveau, B. Novel indates Ln2BaIn2O7, n = 2 members of the Ruddlesden–Popper family (Ln = La, Nd). J. Mater. Chem. 2002, 12, 473–476. [Google Scholar] [CrossRef]
  52. Shannon, R.D. Revised effective ionic radii and systematic studies of interatomic distances in halides and chalcogenides. Acta Cryst. A 1976, 32, 751–767. [Google Scholar] [CrossRef]
Figure 1. The results of XRD investigations (red dots are experimental data, black line is calculated pattern, blue line is the difference curve, green symbols are calculated peak positions) for the compositions BaLa2In2O7 (a), BaLa1.85Sr0.05Gd0.1In2O6.975 (b), BaLa1.8Sr0.1Gd0.1In2O6.95 (c), BaLa1.75Sr0.15Gd0.1In2O6.925 (d), and the concentration dependencies of the lattice parameter c for the solid solutions BaLa1.9−xSrxGd0.1In2O7−0.5x (blue line), BaLa2−xSrxIn2O7−0.5x [38] (orange line) and BaLa2−xGdxIn2O7 [39] (violet line) (e).
Figure 1. The results of XRD investigations (red dots are experimental data, black line is calculated pattern, blue line is the difference curve, green symbols are calculated peak positions) for the compositions BaLa2In2O7 (a), BaLa1.85Sr0.05Gd0.1In2O6.975 (b), BaLa1.8Sr0.1Gd0.1In2O6.95 (c), BaLa1.75Sr0.15Gd0.1In2O6.925 (d), and the concentration dependencies of the lattice parameter c for the solid solutions BaLa1.9−xSrxGd0.1In2O7−0.5x (blue line), BaLa2−xSrxIn2O7−0.5x [38] (orange line) and BaLa2−xGdxIn2O7 [39] (violet line) (e).
Applsci 13 03449 g001
Figure 2. SEM (a) and EDX (b) results for the composition BaLa1.8Sr0.1Gd0.1In2O6.95.
Figure 2. SEM (a) and EDX (b) results for the composition BaLa1.8Sr0.1Gd0.1In2O6.95.
Applsci 13 03449 g002
Figure 3. The EIS plots for the composition BaLa1.75Sr0.15Gd0.1In2O6.925 obtained at 390 °C, 410 °C and 430 °C in dry air (a) and at 410 °C in dry and wet air (b).
Figure 3. The EIS plots for the composition BaLa1.75Sr0.15Gd0.1In2O6.925 obtained at 390 °C, 410 °C and 430 °C in dry air (a) and at 410 °C in dry and wet air (b).
Applsci 13 03449 g003
Figure 4. The temperature dependencies for the samples BaLa2In2O7 (1), BaLa1.85Sr0.05Gd0.1In2O6.975 (2), BaLa1.8Sr0.1Gd0.1In2O6.95 (3), BaLa1.75Sr0.15Gd0.1In2O6.925 (4) in dry air (a), dry Ar (b), wet air (c), wet Ar (d).
Figure 4. The temperature dependencies for the samples BaLa2In2O7 (1), BaLa1.85Sr0.05Gd0.1In2O6.975 (2), BaLa1.8Sr0.1Gd0.1In2O6.95 (3), BaLa1.75Sr0.15Gd0.1In2O6.925 (4) in dry air (a), dry Ar (b), wet air (c), wet Ar (d).
Applsci 13 03449 g004
Figure 5. The concentration dependencies of conductivity for the solid solution BaLa1.9−xSrxGd0.1In2O7−0.5x in dry air (1), dry Ar (2), wet air (3), wet Ar (4) (a); the concentration dependencies of oxygen-ionic conductivity for the solid solution BaLa1.9−xSrxGd0.1In2O7−0.5x at 300 °C, 400 °C, 500 °C (b); the concentration dependencies of oxygen-ionic conductivity for the solid solutions BaLa1.9−xSrxGd0.1In2O7−0.5x, BaLa2−xSrxIn2O7−0.5x [38] and BaLa2−xGdxIn2O7 [39] at 500 °C (c).
Figure 5. The concentration dependencies of conductivity for the solid solution BaLa1.9−xSrxGd0.1In2O7−0.5x in dry air (1), dry Ar (2), wet air (3), wet Ar (4) (a); the concentration dependencies of oxygen-ionic conductivity for the solid solution BaLa1.9−xSrxGd0.1In2O7−0.5x at 300 °C, 400 °C, 500 °C (b); the concentration dependencies of oxygen-ionic conductivity for the solid solutions BaLa1.9−xSrxGd0.1In2O7−0.5x, BaLa2−xSrxIn2O7−0.5x [38] and BaLa2−xGdxIn2O7 [39] at 500 °C (c).
Applsci 13 03449 g005
Figure 6. The concentration dependencies of protonic conductivity for the solid solution BaLa1.9−xSrxGd0.1In2O7−0.5x at 300 °C and 400 °C (a); the results of TG (blue line), DSC (orange line) and MS(H2O) (violet line) investigations for the composition BaLa1.8Sr0.1Gd0.1In2O6.95 (b).
Figure 6. The concentration dependencies of protonic conductivity for the solid solution BaLa1.9−xSrxGd0.1In2O7−0.5x at 300 °C and 400 °C (a); the results of TG (blue line), DSC (orange line) and MS(H2O) (violet line) investigations for the composition BaLa1.8Sr0.1Gd0.1In2O6.95 (b).
Applsci 13 03449 g006
Table 1. Lattice parameters, unit cell volume and water uptake for the solid solution BaLa1.9−xSrxGd0.1In2O7−0.5x.
Table 1. Lattice parameters, unit cell volume and water uptake for the solid solution BaLa1.9−xSrxGd0.1In2O7−0.5x.
Samplea, b (Å)c (Å)Vcell (Å3)Water Uptake (mol)
05.914(9)20.846(5)729.33650.17
0.055.918(5)20.848(9)730.30860.16
0.105.919(2)20.853(6)730.64610.17
0.155.920(3)20.861(0)731.17700.18
Table 2. The average element ratios determined by EDS analysis for the samples BaLa2In2O7 (1), BaLa1.85Sr0.05Gd0.1In2O6.975 (2), BaLa1.8Sr0.1Gd0.1In2O6.95 (3), BaLa1.75Sr0.15Gd0.1In2O6.925 (4) (theoretical values are given in the brackets).
Table 2. The average element ratios determined by EDS analysis for the samples BaLa2In2O7 (1), BaLa1.85Sr0.05Gd0.1In2O6.975 (2), BaLa1.8Sr0.1Gd0.1In2O6.95 (3), BaLa1.75Sr0.15Gd0.1In2O6.925 (4) (theoretical values are given in the brackets).
CompositionContent of Element, Atomic %
BaLaInSrGd
120.2 (20.0)40.1 (40.0)39.7 (40.0)--
220.1 (20.0)37.3 (37.0)39.8 (40.0)0.9 (1.0)1.9 (2.0)
320.3 (20.0)36.0 (36.0)39.8 (40.0)1.9 (2.0)2.0 (2.0)
420.2 (20.0)35.3 (35.0)39.7 (40.0)2.8 (3.0)2.0 (2.0)
Disclaimer/Publisher’s Note: The statements, opinions and data contained in all publications are solely those of the individual author(s) and contributor(s) and not of MDPI and/or the editor(s). MDPI and/or the editor(s) disclaim responsibility for any injury to people or property resulting from any ideas, methods, instructions or products referred to in the content.

Share and Cite

MDPI and ACS Style

Tarasova, N.; Bedarkova, A.; Animitsa, I.; Abakumova, E.; Trofimov, A.; Verinkina, E. Novel Proton-Conducting Layered Perovskites Based on BaLa2In2O7 Produced by Cationic Co-Doping. Appl. Sci. 2023, 13, 3449. https://doi.org/10.3390/app13063449

AMA Style

Tarasova N, Bedarkova A, Animitsa I, Abakumova E, Trofimov A, Verinkina E. Novel Proton-Conducting Layered Perovskites Based on BaLa2In2O7 Produced by Cationic Co-Doping. Applied Sciences. 2023; 13(6):3449. https://doi.org/10.3390/app13063449

Chicago/Turabian Style

Tarasova, Nataliia, Anzhelika Bedarkova, Irina Animitsa, Ekaterina Abakumova, Alexey Trofimov, and Evgeniya Verinkina. 2023. "Novel Proton-Conducting Layered Perovskites Based on BaLa2In2O7 Produced by Cationic Co-Doping" Applied Sciences 13, no. 6: 3449. https://doi.org/10.3390/app13063449

APA Style

Tarasova, N., Bedarkova, A., Animitsa, I., Abakumova, E., Trofimov, A., & Verinkina, E. (2023). Novel Proton-Conducting Layered Perovskites Based on BaLa2In2O7 Produced by Cationic Co-Doping. Applied Sciences, 13(6), 3449. https://doi.org/10.3390/app13063449

Note that from the first issue of 2016, this journal uses article numbers instead of page numbers. See further details here.

Article Metrics

Back to TopTop