Receiver Operating Characteristic Analysis of Posture and Gait Parameters to Prevent Frailty Condition and Fall Risk in the Elderly
Abstract
1. Introduction
2. Materials and Methods
2.1. Participants
- -
- subjects over 65 years old;
- -
- non-institutionalized subjects;
- -
- independent gait, except for walking stick or crutch (subjects with any other health equipment—rollator, wheelchair, or medical walkers—were excluded).
2.2. Procedures
2.3. Statistical Analysis
3. Results
3.1. Fall vs. NFall Groups
3.2. Able vs. Frail Groups
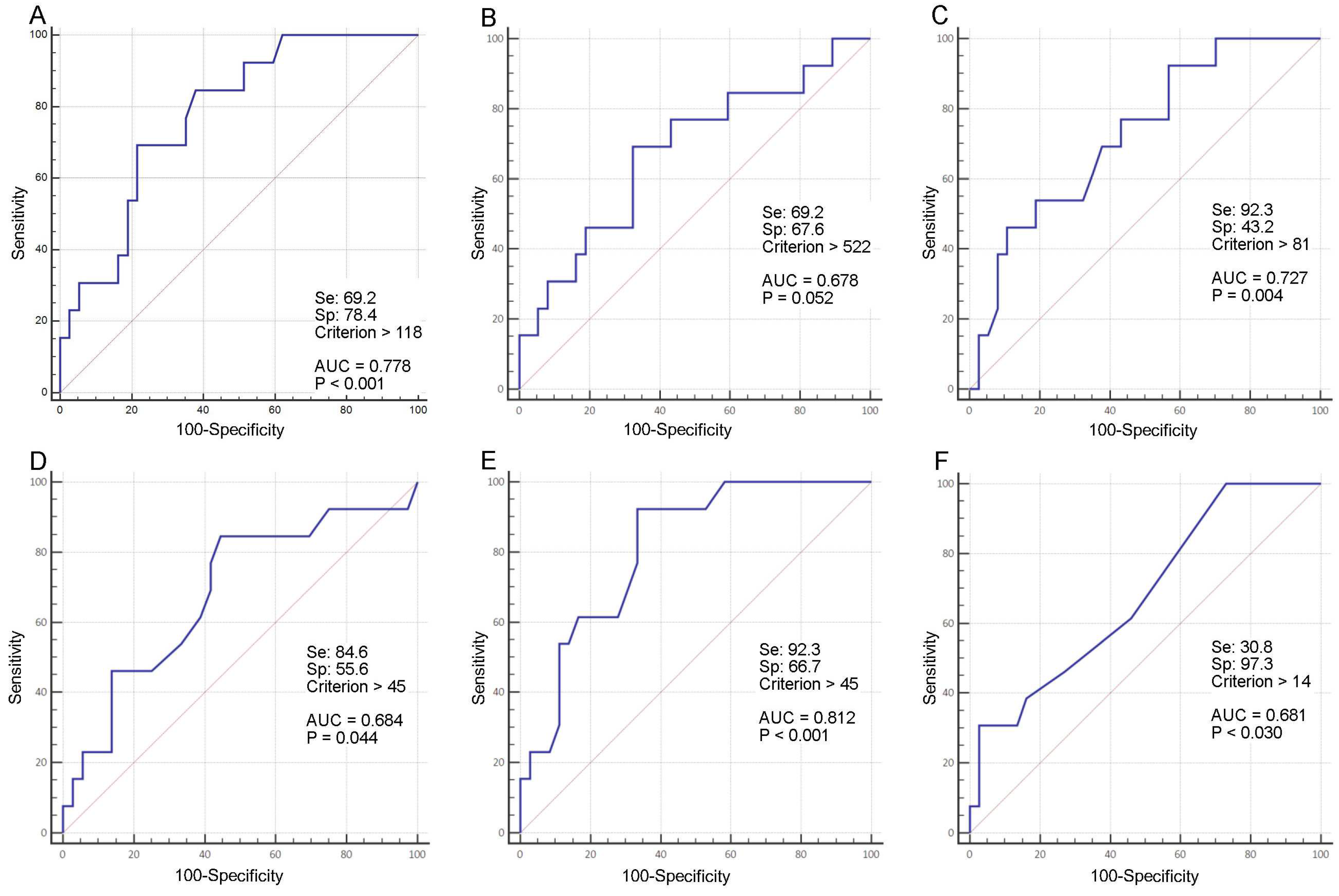
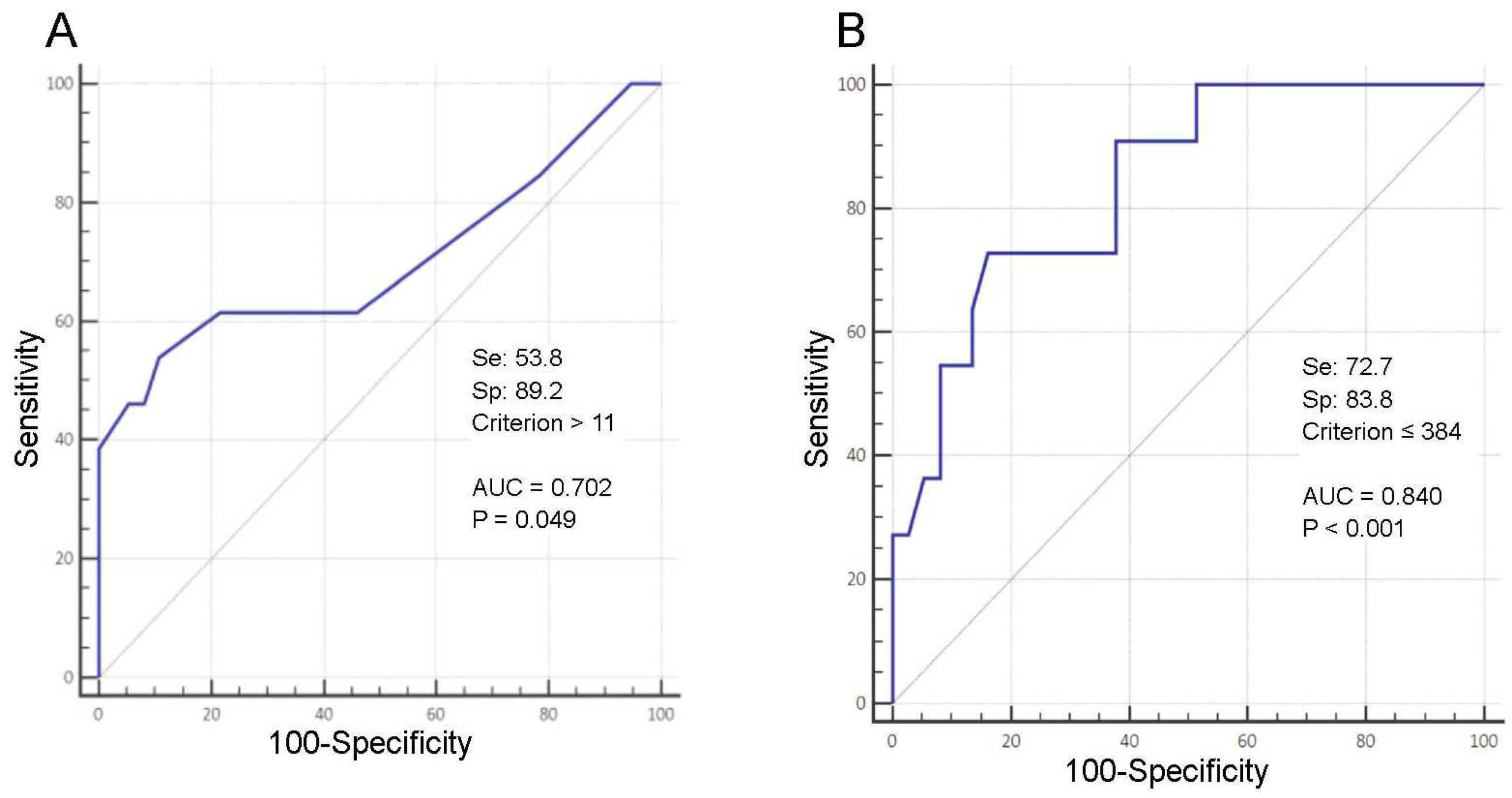
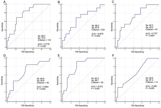
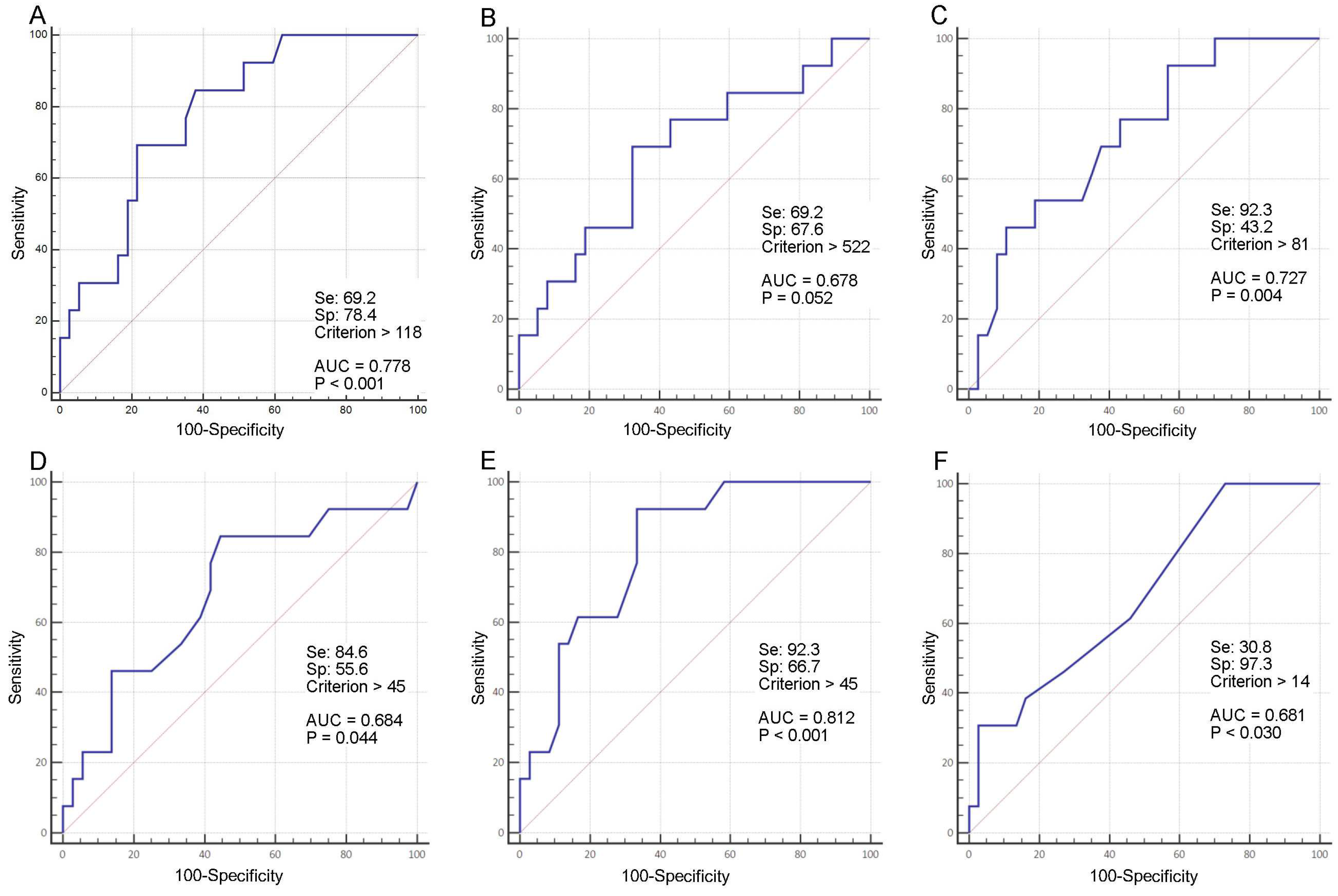
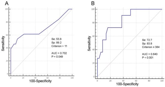
3.3. ROC Curves
4. Discussion
5. Conclusions
Author Contributions
Funding
Institutional Review Board Statement
Informed Consent Statement
Data Availability Statement
Acknowledgments
Conflicts of Interest
References
- Lee, Y.Y.; Chen, C.L.; Lee, I.C.; Lee, I.C.; Chen, N.C. History of Falls, Dementia, Lower Education Levels, Mobility Limitations, and Aging Are Risk Factors for Falls among the Community-Dwelling Elderly: A Cohort Study. Int. J. Environ. Res. Public Health 2021, 18, 9356. [Google Scholar] [CrossRef] [PubMed]
- Bass, E.; French, D.D.; Bradham, D.D.; Rubenstein, L.Z. Risk-Adjusted Mortality Rates of Elderly Veterans with Hip Fractures. Ann. Epidemiol. 2007, 17, 514–519. [Google Scholar] [CrossRef] [PubMed]
- Presta, V.; Gobbi, G.; Condello, G.; Carubbi, C.; Masselli, E.; Mirandola, P.; Vitale, M. Evolution Led Humans to Bipedalism, but We Live in a Sedentary Society: Will “Sunday Running” Protect us from NCDs at no Cost? Front. Public Health 2023, 10, 1031911. [Google Scholar] [CrossRef] [PubMed]
- Mikos, M.; Trybulska, A.; Czerw, A. Falls—The Socio-Economic and Medical Aspects Important for Developing Prevention and Treatment Strategies. Ann. Agric. Environ. Med. 2021, 28, 391–396. [Google Scholar] [CrossRef] [PubMed]
- Haddad, Y.K.; Bergen, G.; Florence, C.S. Estimating the Economic Burden Related to Older Adult Falls by State. J. Public Health Manag. Pract. 2019, 25, E17–E24. [Google Scholar] [CrossRef]
- WHO. WHO Global Report on Falls Prevention in Older Age; World Health Organization: Geneva, Switzerland, 2008. [Google Scholar]
- Dionyssiotis, Y. Analyzing the Problem of Falls among Older People. Int. J. Gen. Med. 2012, 5, 805–813. [Google Scholar] [CrossRef]
- Aranda-Gallardo, M.; Morales-Asencio, J.M.; Luna-Rodriguez, M.; Vazquez-Blanco, M.J.; Morilla-Herrera, J.C.; Rivas-Ruiz, F. Characteristics, Consequences and Prevention of Falls in Institutionalised Older Adults in the Province of Malaga (Spain): A Prospective, Cohort, Multicentre Study. BMJ Open 2018, 8, e020039. [Google Scholar] [CrossRef]
- de Castro, V.; Mokoroa, O.; Artieda, J.; Muniozguren, N.; Etxebarriarteun, L.; Alvarez, L.; Garcia Calabuig, M.A. Epidemiología de los accidentes en una cohorte de adultos mayores de 64 años de la Comunidad Autónoma del País Vasco. Rev. Esp. Geriatr. Gerontol. 2015, 50, 281–284. [Google Scholar] [CrossRef]
- Rubenstein, L.Z.; Kenny, R.; Koval, K.; Martin, F.; Tinetti, M.; Apple, D. Guideline for the Prevention of Falls in Older Persons. American Geriatrics Society, British Geriatrics Society, and American Academy of Orthopaedic Surgeons Panel on Falls Prevention. J. Am. Geriatr. Soc. 2001, 49, 664–672. [Google Scholar]
- Pynoos, J.; Steinman, B.A.; Nguyen, A.Q. Environmental Assessment and Modification as Fall-Prevention Strategies for Older Adults. Clin. Geriatr. Med. 2010, 26, 633–644. [Google Scholar] [CrossRef]
- Corsinovi, L.; Bo, M.; Ricauda Aimonino, N.; Marinello, R.; Gariglio, F.; Marchetto, C. Predictors of Falls and Hospitalization Outcomes in Elderly Patients Admitted to an Acute Geriatric Unit. Arch. Gerontol. Geriatr. 2009, 49, 142–145. [Google Scholar] [CrossRef] [PubMed]
- Di Laura, A.; Hothi, H.S.; Henckel, J.; Kwon, Y.-M.; Skinner, J.A.; Hart, A.J. Retrieval Findings of Recalled Dual-Taper Hips. J. Bone Jt. Surg. Am. 2018, 100, 1661–1672. [Google Scholar] [CrossRef]
- Landi, F.; Liperoti, R.; Russo, A.; Giovannini, S.; Tosato, M.; Capoluongo, E. Sarcopenia as a Risk Factor for Falls in Elderly Individuals: Results from the IlSIRENTE Study. Clin. Nutr. 2012, 31, 652–658. [Google Scholar] [CrossRef] [PubMed]
- Hartikainen, S.; Lönnroos, E.; Louhivuori, K. Medication as a risk factor for falls: Critical systematic review. J. Gerontol. Ser. A Biol. Sci. Med. Sci. 2007, 62, 1172–1181. [Google Scholar] [CrossRef] [PubMed]
- Stevens, J.A.; Corso, P.S.; Finkelstein, E.A.; Miller, T.R. The Costs of Fatal and Non-Fatal Falls among Older Adults. Inj. Prev. 2006, 12, 290–295. [Google Scholar] [CrossRef]
- Galli, D.; Carubbi, C.; Masselli, E.; Vaccarezza, M.; Presta, V.; Pozzi, G.; Ambrosini, L.; Gobbi, G.; Vitale, M.; Mirandola, P. Physical Activity and Redox Balance in the Elderly: Signal Transduction Mechanisms. Appl. Sci. 2021, 11, 2228. [Google Scholar] [CrossRef]
- Rubenstein, L.Z.; Josephson, K.R. Falls and Their Prevention in Elderly People: What Does the Evidence Show? Med. Clin. N. Am. 2006, 90, 807–824. [Google Scholar] [CrossRef]
- Grobe, S.; Kakar, R.S.; Smith, M.L.; Mehta, R.; Baghurst, T.; Boolani, A. Impact of Cognitive Fatigue on Gait and Sway among Older Adults: A Literature Review. Prev. Med. Rep. 2017, 6, 88–93. [Google Scholar] [CrossRef]
- Allali, G.; Launay, C.P.; Blumen, H.M.; Callisaya, M.L.; Cock, A.M.; Kressig, R.W. Falls, Cognitive Impairment, and Gait Performance: Results from the GOOD Initiative. J. Am. Med. Dir. Assoc. 2017, 18, 335–340. [Google Scholar] [CrossRef]
- Ruiz-Ruiz, L.; Jimenez, A.R.; Garcia-Villamil, G.; Seco, F. Detecting Fall Risk and Frailty in Elders with Inertial Motion Sensors: A Survey of Significant Gait Parameters. Sensors 2021, 21, 6918. [Google Scholar] [CrossRef]
- Fried, L.P.; Tangen, C.M.; Walston, J.; Newman, A.B.; Hirsch, C.; Gottdiener, J. Frailty in Older Adults: Evidence for a Phenotype. J. Gerontol. Ser. A Biol. Sci. Med. Sci. 2001, 56, M146–M156. [Google Scholar] [CrossRef] [PubMed]
- Ofori-Asenso, R.; Chin, K.L.; Mazidi, M.; Zomer, E.; Ilomaki, J.; Zullo, A.R. Global Incidence of Frailty and Prefrailty among Community-Dwelling Older Adults: A Systematic Review and Meta-Analysis. JAMA Netw. Open 2019, 2, e198398. [Google Scholar] [CrossRef] [PubMed]
- Osoba, M.Y.; Rao, A.K.; Agrawal, S.K.; Lalwani, A.K. Balance and Gait in the Elderly: A Contemporary Review. Laryngoscope Investig. Otolaryngol. 2019, 4, 143–153. [Google Scholar] [CrossRef] [PubMed]
- Michalska, J.; Kamieniarz, A.; Sobota, G.; Stania, M.; Juras, G.; Słomka, K.J. Age-Related Changes in Postural Control in Older Women: Transitional Tasks in Step Initiation. BMC Geriatr. 2021, 21, 17. [Google Scholar] [CrossRef]
- Lauretani, F.; Maggio, M.; Ticinesi, A.; Tana, C.; Prati, B.; Gionti, L.; Nouvenne, A.; Meschi, T. Muscle Weakness, Cognitive Impairment and Their Interaction on Altered Balance in Elderly Outpatients: Results from the TRIP Observational Study. Clin. Interv. Aging 2018, 13, 1437–1443. [Google Scholar] [CrossRef]
- Papa, E.V.; Dong, X.; Hassan, M. Skeletal Muscle Function Deficits in the Elderly: Current Perspectives on Resistance Training. J. Nat. Sci. 2017, 3, e272. [Google Scholar]
- Eikema, D.J.; Hatzitaki, V.; Tzovaras, D.; Papaxanthis, C. Application of Intermittent Galvanic Vestibular Stimulation Reveals Age-Related Constraints in the Multisensory Reweighting of Posture. Neurosci. Lett. 2014, 561, 112–117. [Google Scholar] [CrossRef]
- Wiesmeier, I.K.; Dalin, D.; Wehrle, A.; Granacher, U.; Muehlbauer, T.; Dietterle, J. Balance Training Enhances Vestibular Function and Reduces Overactive Proprioceptive Feedback in Elderly. Front. Aging Neurosci. 2017, 9, 273. [Google Scholar] [CrossRef]
- Machado, Á.S.; Bombach, G.D.; Duysens, J.; Carpes, F.P. Differences in Foot Sensitivity and Plantar Pressure between Young Adults and Elderly. Arch. Gerontol. Geriatr. 2016, 63, 67–71. [Google Scholar] [CrossRef]
- Clark, D.J.; Fielding, R.A. Neuromuscular Contributions to Age-Related Weakness. J. Gerontol. Ser. A Biol. Sci. Med. Sci. 2012, 67, 41–47. [Google Scholar] [CrossRef]
- Anson, E.; Bigelow, R.T.; Swenor, B.; Deshpande, N.; Studenski, S.; Jeka, J.J. Loss of Peripheral Sensory Function Explains Much of the Increase in Postural Sway in Healthy Older Adults. Front. Aging Neurosci. 2017, 9, 202. [Google Scholar] [CrossRef] [PubMed]
- Danna-Dos-Santos, A.; Ribeiro Dos Santos, M.M.; Magalhães, A.T.; Cardoso, V.S.; Driusso, P.; Mochizuki, L. Visuo-postural dependency index (VPDI) in human postural control. BMC Sport. Sci. Med. Rehabil. 2021, 13, 7. [Google Scholar] [CrossRef] [PubMed]
- Presta, V.; Vitale, C.; Ambrosini, L.; Gobbi, G. Stereopsis in Sports: Visual Skills and Visuomotor Integration Models in Professional and Non-Professional Athletes. Int. J. Environ. Res. Public Health 2021, 18, 11281. [Google Scholar] [CrossRef]
- Pirker, W.; Katzenschlager, R. Gait disorders in adults and the elderly: A clinical guide. Wien. Klin. Wochenschr. 2017, 129, 81–95. [Google Scholar] [CrossRef]
- Jahn, K.; Freiberger, E.; Eskofier, B.M.; Bollheimer, C.; Klucken, J. Balance and Mobility in Geriatric Patients: Assessment and Treatment of Neurological Aspects. Z. Gerontol. Geriatr. 2019, 52, 316–323. [Google Scholar] [CrossRef] [PubMed]
- Presta, V.; Paraboschi, F.; Marsella, F.; Lucarini, V.; Galli, D.; Mirandola, P. Posture and Gait in the Early Course of Schizophrenia. PLoS ONE 2021, 16, e0245661. [Google Scholar] [CrossRef] [PubMed]
- Ronthal, M. Gait Disorders and Falls in the Elderly. Med. Clin. N. Am. 2019, 103, 203–213. [Google Scholar] [CrossRef]
- Wang, D.; Zhang, J.; Sun, Y.; Zhu, W.; Tian, S.; Liu, Y. Evaluating the Fall Risk among Elderly Population by Choice Step Reaction Test. Clin. Interv. Aging 2016, 11, 1075–1082. [Google Scholar] [CrossRef]
- Gerards, M.H.G.; Marcellis, R.G.J.; Poeze, M.; Lenssen, A.F.; Meijer, K.; Bie, R.A. Perturbation-Based Balance Training to Improve Balance Control and Reduce Falls in Older Adults—Study Protocol for a Randomized Controlled Trial. BMC Geriatr. 2021, 21, 9. [Google Scholar] [CrossRef]
- Afiah, I.N.; Nakashima, H.; Loh, P.Y.; Muraki, S. An Exploratory Investigation of Changes in Gait Parameters with Age in Elderly Japanese Women. Springerplus 2016, 5, 1069. [Google Scholar] [CrossRef]
- Sato, K. Factors Affecting Minimum Foot Clearance in the Elderly Walking: A Multiple Regression Analysis. Open J. Ther. Rehabil. 2015, 3, 109–115. [Google Scholar] [CrossRef]
- Gueugnon, M.; Stapley, P.J.; Gouteron, A.; Lecland, C.; Morisset, C.; Casillas, J.M. Age-Related Adaptations of Lower Limb Intersegmental Coordination during Walking. Front. Bioeng. Biotechnol. 2019, 7, 173. [Google Scholar] [CrossRef] [PubMed]
- Beck Jepsen, D.; Robinson, K.; Ogliari, G.; Montero-Odasso, M.; Kamkar, N.; Ryg, J.; Freiberger, E.; Masud, T. Predicting Falls in Older Adults: An Umbrella Review of Instruments Assessing Gait, Balance, and Functional Mobility. BMC Geriatr. 2022, 22, 615. [Google Scholar] [CrossRef]
- Thaweewannakij, T.; Suwannarat, P.; Mato, L.; Amatachaya, S. Functional Ability and Health Status of Community-Dwelling Late Age Elderly People with and without a History of Falls. Hong Kong Physiother. J. 2015, 34, 1–9. [Google Scholar] [CrossRef] [PubMed]
- Phelan, E.A.; Ritchey, K. Fall Prevention in Community-Dwelling Older Adults. Ann. Intern. Med. 2018, 169, ITC81–ITC96. [Google Scholar] [CrossRef]
- Won, C.W. Diagnosis and Management of Frailty in Primary Health Care. Korean J. Fam. Med. 2020, 41, 207–213. [Google Scholar] [CrossRef]
- Anders, J.; Dapp, U.; Laub, S.; Renteln-Kruse, W. Impact of Fall Risk and Fear of Falling on Mobility of Independently Living Senior Citizens Transitioning to Frailty: Screening Results Concerning Fall Prevention in the Community. Z. Gerontol. Geriatr. 2007, 40, 255–267. [Google Scholar] [CrossRef]
- Woo, J.; Yu, R.; Wong, M.; Yeung, F.; Wong, M.; Lum, C. Frailty Screening in the Community Using the FRAIL Scale. J. Am. Med. Dir. Assoc. 2015, 16, 412–419. [Google Scholar] [CrossRef]
- Fairhall, N.; Sherrington, C.; Lord, S.R.; Kurrle, S.E.; Langron, C.; Lockwood, K.; Monaghan, N.; Aggar, C.; Cameron, I.D. Effect of a Multifactorial, Interdisciplinary Intervention on Risk Factors for Falls and Fall Rate in Frail Older People: A Randomised Controlled Trial. Age Ageing 2014, 43, 616–622. [Google Scholar] [CrossRef]
- Yeung, P.Y.; Chan, W.; Woo, J. A Community-Based Falls Management Exercise Programme (FaME) Improves Balance, Walking Speed and Reduced Fear of Falling. Prim. Health Care Res. Dev. 2015, 16, 138–146. [Google Scholar] [CrossRef]
- Leardini, A.; Durante, S.; Belvedere, C.; Caravaggi, P.; Carrara, C.; Berti, L. Weight-Bearing CT Technology in Musculoskeletal Pathologies of the Lower Limbs: Techniques, Initial Applications, and Preliminary Combinations with Gait-Analysis Measurements at the Istituto Ortopedico Rizzoli. Semin. Musculoskelet. Radiol. 2019, 23, 643–656. [Google Scholar] [CrossRef] [PubMed]
- Lindner, M.; Nosseir, O.; Keller-Pliessnig, A.; Teigelack, P.; Teufel, M.; Tagay, S. Psychosocial Predictors for Outcome after Total Joint Arthroplasty: A Prospective Comparison of Hip and Knee Arthroplasty. BMC Musculoskelet. Disord. 2018, 19, 159. [Google Scholar] [CrossRef] [PubMed]
- The Jamovi Project, Version 2.3; Jamovi, 2022. [Computer Software]. Available online: https://www.jamovi.org (accessed on 24 February 2023).
- Burns, E.R.; Lee, R.; Hodge, S.E.; Pineau, V.J.; Welch, B.; Zhu, M. Validation and Comparison of Fall Screening Tools for Predicting Future Falls among Older Adults. Arch. Gerontol. Geriatr. 2022, 101, 104713. [Google Scholar] [CrossRef] [PubMed]
- Nguyen, Q.D.; Moodie, E.M.; Desmarais, P.; Forget, M.F.; Wang, H.T.; Keezer, M.R.; Wolfson, C. The State of Frailty in Research: A Mapping Review of its Clinical Applicability to Practice. Ageing Res. Rev. 2021, 72, 101493. [Google Scholar] [CrossRef] [PubMed]
- Chen, M.; Wang, H.; Yu, L.; Yeung, E.H.K.; Luo, J.; Tsui, K.L.; Zhao, Y. A Systematic Review of Wearable Sensor-Based Technologies for Fall Risk Assessment in Older Adults. Sensors 2022, 22, 6752. [Google Scholar] [CrossRef]
- Hunter, M.C.; Hoffman, M.A. Postural Control: Visual and Cognitive Manipulations. Gait Posture 2001, 13, 41–48. [Google Scholar] [CrossRef] [PubMed]
- Piirtola, M.; Era, P. Force Platform Measurements as Predictors of Falls among Older People—A Review. Gerontology 2006, 52, 1–16. [Google Scholar] [CrossRef]
- Quijoux, F.; Vienne-Jumeau, A.; Bertin-Hugault, F.; Lefèvre, M.; Zawieja, P.; Vidal, P.P. Center of Pressure Characteristics from Quiet Standing Measures to Predict the Risk of Falling in Older Adults: A Protocol for a Systematic Review and Meta-Analysis. Syst. Rev. 2019, 8, 232. [Google Scholar] [CrossRef]
- Tyson, S.; Connell, L. The Psychometric Properties and Clinical Utility of Measures of Walking and Mobility in Neurological Conditions: A Systematic Review. Clin. Rehabil. 2009, 23, 1018–1033. [Google Scholar] [CrossRef]
- Billington, J.; Fahey, T.; Galvin, R. Diagnostic accuracy of the STRATIFY clinical prediction rule for falls: A systematic review and meta-analysis. BMC Fam. Pract. 2012, 13, 76. [Google Scholar] [CrossRef]
- Omaña, H.; Bezaire, K.; Brady, K.; Davies, J.; Louwagie, N.; Power, S.; Santin, S.; Hunter, S.W. Functional Reach Test, Single-Leg Stance Test, and Tinetti Performance-Oriented Mobility Assessment for the Prediction of Falls in Older Adults: A Systematic Review. Phys. Ther. 2021, 101, pzab173. [Google Scholar] [CrossRef] [PubMed]
- Jeong, S.M.; Shin, D.W.; Han, K.; Jung, J.H.; Chun, S.; Jung, H.W. Timed up-and-go test is a useful predictor of fracture incidence. Bone 2019, 127, 474–481. [Google Scholar] [CrossRef] [PubMed]
- Bassett, A.M.; Siu, K.C.; Honaker, J.A. Functional Measures for Fall Risk in the Acute Care Setting: A Review. West. J. Nurs. Res. 2018, 40, 1469–1488. [Google Scholar] [CrossRef]
- Asai, T.; Oshima, K.; Fukumoto, Y.; Yonezawa, Y.; Matsuo, A.; Misu, S. Association of Fall History with the Timed Up and Go Test Score and the Dual Task Cost: A Cross-Sectional Study among Independent Community-Dwelling Older Adults. Geriatr. Gerontol. Int. 2018, 18, 1189–1193. [Google Scholar] [CrossRef]
- Leirós-Rodríguez, R.; García-Soidán, J.L.; Romo-Pérez, V. Analyzing the Use of Accelerometers as a Method of Early Diagnosis of Alterations in Balance in Elderly People: A Systematic Review. Sensors 2019, 19, 3883. [Google Scholar] [CrossRef]
- Mortaza, N.; Abu Osman, N.A.; Mehdikhani, N. Are the Spatio-Temporal Parameters of Gait Capable of Distinguishing a Faller from a Non-Faller Elderly? Eur. J. Phys. Rehabil. Med. 2014, 50, 677–691. [Google Scholar]
- Guadagnin, E.C.; Priario, L.A.A.; Carpes, F.P.; Vaz, M.A. Correlation between Lower Limb Isometric Strength and Muscle Structure with Normal and Challenged Gait Performance in Older Adults. Gait Posture 2019, 73, 101–107. [Google Scholar] [CrossRef] [PubMed]
- Perez-Sousa, M.A.; Venegas-Sanabria, L.C.; Chavarro-Carvajal, D.A.; Cano-Gutierrez, C.A.; Izquierdo, M.; Correa-Bautista, J.E. Gait Speed as a Mediator of the Effect of Sarcopenia on Dependency in Activities of Daily Living. J. Cachexia Sarcopenia Muscle 2019, 10, 1009–1015. [Google Scholar] [CrossRef]


| Mean (SD) | |
|---|---|
| Age (years) | 77.1 (3.6) |
| Gender (M/F) | 50 (17/33) |
| Height (m) | 1.59 (0.1) |
| Weight (kg) a | 73.1 (13.6) |
| BMI (kg/m2) a | 28.7 (4.7) |
| PBF (%) a | 35.6 (11.7) |
| Groups | |||
|---|---|---|---|
| Able | Frail | Total | |
| Fall | 7 | 6 | 13 |
| No Fall | 30 | 7 | 37 |
| Total | 37 | 13 | 50 |
| Tests | Parameters | Statistic a | p-Value |
|---|---|---|---|
| Stabilometry | Sway Area OE | 132 | 0.016 |
| Max Speed_Oscillation OE | 107 | 0.003 | |
| 10 MWT | 10 MWT_Left Propulsion | 144 | 0.033 |
| TUG | TUG_IR_Duration | 147 | 0.038 |
| TUG_FR_Duration | 131 | 0.015 | |
| TUG_IR_Speed | 134 | 0.019 | |
| TUG_FR_Speed | 151 | 0.048 |
| Tests | Parameters | Statistic a | p-Value |
|---|---|---|---|
| 10 MWT | 10 MWT_Cadence | 146 | 0.036 |
| 10 MWT_Speed | 91 | <0.001 | |
| 10 MWT_Left_Propulsion | 85.5 | <0.001 | |
| 6 MWT | 6 MWT_Distance | 65 | <0.001 |
| TUG | TUG_Duration | 151.5 | 0.050 |
| TUG_IR_Duration | 115 | 0.005 | |
| TUG_FR_Duration | 110 | 0.004 | |
| TUG_IR_Speed | 82 | <0.001 | |
| TUG_FR_Speed | 103 | 0.002 |
| BMI | TUG_Duration | TUG_Lift_Acc | TUG_FR | ||
|---|---|---|---|---|---|
| BMI | Pearson’s r | — | |||
| p-value | — | ||||
| Spearman’s rho | — | ||||
| p-value | — | ||||
| TUG_Duration | Pearson’s r | −0.057 | — | ||
| p-value | 0.705 | — | |||
| Spearman’s rho | 0.299 | — | |||
| p-value | 0.041 * | — | |||
| TUG_Lift_Acc | Pearson’s r | −0.311 | −0.576 | — | |
| p-value | 0.033 * | <0.001 * | — | ||
| Spearman’s rho | −0.37 | −0.772 | — | ||
| p-value | 0.01 * | <0.001 * | — | ||
| TUG_FR | Pearson’s r | −0.15 | −0.679 | 0.582 | — |
| p-value | 0.313 | <0.001 * | <0.001 * | — | |
| Spearman’s rho | −0.257 | −0.651 | 0.501 | — | |
| p-value | 0.081 | <0.001 * | <0.001 * | — |
Disclaimer/Publisher’s Note: The statements, opinions and data contained in all publications are solely those of the individual author(s) and contributor(s) and not of MDPI and/or the editor(s). MDPI and/or the editor(s) disclaim responsibility for any injury to people or property resulting from any ideas, methods, instructions or products referred to in the content. |
© 2023 by the authors. Licensee MDPI, Basel, Switzerland. This article is an open access article distributed under the terms and conditions of the Creative Commons Attribution (CC BY) license (https://creativecommons.org/licenses/by/4.0/).
Share and Cite
Presta, V.; Galuppo, L.; Condello, G.; Rodà, F.; Mirandola, P.; Vitale, M.; Vaccarezza, M.; Gobbi, G. Receiver Operating Characteristic Analysis of Posture and Gait Parameters to Prevent Frailty Condition and Fall Risk in the Elderly. Appl. Sci. 2023, 13, 3387. https://doi.org/10.3390/app13063387
Presta V, Galuppo L, Condello G, Rodà F, Mirandola P, Vitale M, Vaccarezza M, Gobbi G. Receiver Operating Characteristic Analysis of Posture and Gait Parameters to Prevent Frailty Condition and Fall Risk in the Elderly. Applied Sciences. 2023; 13(6):3387. https://doi.org/10.3390/app13063387
Chicago/Turabian StylePresta, Valentina, Laura Galuppo, Giancarlo Condello, Francesca Rodà, Prisco Mirandola, Marco Vitale, Mauro Vaccarezza, and Giuliana Gobbi. 2023. "Receiver Operating Characteristic Analysis of Posture and Gait Parameters to Prevent Frailty Condition and Fall Risk in the Elderly" Applied Sciences 13, no. 6: 3387. https://doi.org/10.3390/app13063387
APA StylePresta, V., Galuppo, L., Condello, G., Rodà, F., Mirandola, P., Vitale, M., Vaccarezza, M., & Gobbi, G. (2023). Receiver Operating Characteristic Analysis of Posture and Gait Parameters to Prevent Frailty Condition and Fall Risk in the Elderly. Applied Sciences, 13(6), 3387. https://doi.org/10.3390/app13063387

