A Spider Monkey Optimization Based on Beta-Hill Climbing Optimizer for Unmanned Combat Aerial Vehicle (UCAV)
Abstract
1. Introduction
2. Related Review
3. Problem Formulation
3.1. UCAV Path Planning Model
- A segment that directly connects the starting and terminal point is drawn,
- The segment is divided into equal parts by perpendicular lines,
- All lines are taken as new axes, and a series of points are assigned and connected on them to form a complete path.
3.2. Objective Function
4. The Proposed New SMO Variant
4.1. The SMO Basic Algorithm
4.1.1. Initialization Step
4.1.2. Local Leader Phase (LLP)
| Algorithm 1: Local Leader Phase (LLP) | |
| Input: | |
| Output: | |
| 1: | function SMO-LLP |
| 2: | . for each member group do |
| 3: | if then |
| 4: | Compute a novel solution using (5). |
| 5: | if then |
| 6: | |
| 7: | end if |
| 8: | else |
| 9: | |
| 10: | end if |
| 11: | end for |
| 12: | end function |
4.1.3. Global Leader Phase (GLP)
| Algorithm 2: Global Leader Phase (GLP) | |
| Input: | |
| Output: | |
| 1: | function SMO-GLP |
| 2: | . for each member whole SM group do |
| 3: | if then |
| 4: | Select a index randomly from the set |
| 5: | Compute a novel spider monkey solution using (6). |
| 6: | if then |
| 7: | |
| 8: | end if |
| 9: | else |
| 10: | |
| 11: | end if |
| 12: | end for |
| 13: | end function |
4.1.4. Global Leader Learning (GLL) Phase
4.1.5. Local Leader Learning (LLL) Phase
4.1.6. Local Leader Decision (LLD) phase
| Algorithm 3: Local Leader Decision (LLD) phase | |
| Input: , Local Leader Limit (LLL), | |
| Output: for the kth group, , the kth Local Limit Count = 0 | |
| 1: | function SMO-LLD phase |
| 2: | . if the kth Local Limit Count Local Leader Limit |
| 3: | The kth Local Limit Count = 0 |
| 4: | for each do |
| 5: | for each do |
| 6: | if then |
| 7: | Compute a novel spider monkey solution using (4). |
| 8: | else |
| 9: | Compute a novel spider monkey solution using (8). |
| 10: | end if |
| 11: | end for |
| 12: | end for |
| 13: | |
| 14: | The kth Local Limit Count = 0 |
| 15: | end if |
| 14: | end function |
4.1.7. Global Leader Decision (GLD) Phase
| Algorithm 4: Global Leader Decision (GLD) phase | |
| Input: Global Leader Limit (GLL), | |
| Output: , for each kth group, Global Limit Count | |
| 1: | function SMO-GLD phase |
| 2: | . if Global Limit Count Global Leader Limit |
| 3: | if Numbers of groups |
| 4: | Number of groups = Number of groups + 1 |
| 5: | Generate a equal to the existing groups, where , is the index of the kth group |
| 6: | Generate a new |
| 7: | Global Limit Count |
| 8: | else |
| 9: | Numbers of groups =1 |
| 10: | Global Limit Count |
| 11: | end if |
| 12: | end if |
| 13: | end function |
4.2. The Beta-Hill Climbing Optimizer (BHC)
4.3. Proposed Method
![]() |
![]() ![]() |
![]() ![]() |




5. Experimental Results and Discussions















6. Conclusions
Author Contributions
Funding
Institutional Review Board Statement
Informed Consent Statement
Data Availability Statement
Conflicts of Interest
Appendix A
| Parameter | Signification |
| Number of steps | |
| points | |
| Parameter that determines the form of the density function | |
| The radius of the ith threat element | |
| A weight coefficient ranging in [0, 1] | |
| Total number of threats in the battlefield | |
| FFS | Fission–Fusion System of spider monkeys |
| LLP | Local Leader Phase |
| GLP | Global Leader Phase |
| LLD | Local Leader Decision phase |
| Maximum Group limit | |
| Global Leader Limit | |
| Local Leader Limit | |
| Perturbation rate | |
| Spider Monkey positions number | |
| Group number counter (number of groups) | |
| -operator bandwidth | |
| -operator probability | |
| Maximum number of iterations | |
| Maximum number of runs |
References
- Elmokadem, T.; Savkin, A.V. Towards fully autonomous UAVs: A survey. Sensors 2021, 21, 6223. [Google Scholar] [CrossRef]
- Altan, A.; Hacıoglu, R. Model predictive control of three-axis gimbal system mounted on UAV for real-time target tracking underexternal disturbances. Mech. Syst. Signal Process. 2020, 138, 106548. [Google Scholar] [CrossRef]
- Saadi, A.A.; Soukane, A.; Meraihi, Y.; Gabis, A.B.; Mirjalili, S.; Ramdane-Cherif, A. UAV Path Planning Using Optimization Approaches: A Survey. Arch. Comput. Methods Eng. 2022, 29, 4233–4284. [Google Scholar] [CrossRef]
- Belge, E.; Altan, A.; Hacıoglu, R. Metaheuristic Optimization-Based Path Planning and Tracking of Quadcopter for Payload Hold-Release Mission. Electronics 2022, 11, 1208. [Google Scholar] [CrossRef]
- Bansal, J.C.; Sharma, H.; Jadon, S.S.; Clerc, M. Spider monkey optimization algorithm for numerical optimization. Memet. Comput. 2014, 6, 31–47. [Google Scholar] [CrossRef]
- Zhu, H.; Wang, Y.; Li, X. UCAV path planning for avoiding obstacles using cooperative co-evolution Spider Monkey Optimization. Knowl. Based Syst. 2022, 246, 108713. [Google Scholar] [CrossRef]
- Zhu, H.; Wang, Y.; Ma, Z.; Li, X. A comparative study of swarm intelligence algorithms for UCAV path-planning problems. Mathematics 2021, 9, 171. [Google Scholar] [CrossRef]
- Guo, T.; Jiang, N.; Li, B.Y. UAV navigation in high dynamic environments: A deep reinforcement learning approach. Chin. J. Aeronaut. 2021, 34, 479–489. [Google Scholar] [CrossRef]
- Huang, H.; Savkin, A.V. Autonomous Navigation of a Solar-Powered UAV for Secure Communication in Urban Environments with Eavesdropping Avoidance. Future Internet 2020, 12, 170. [Google Scholar] [CrossRef]
- Huang, H.; Savkin, A.V.; Ni, W. Energy-Efficient 3D Navigation of a Solar-Powered UAV for Secure Communication in the Presence of Eavesdroppers and No-Fly Zones. Energies 2020, 13, 1445. [Google Scholar] [CrossRef]
- Isik, O.K.; Hong, J.; Petrunin, I.; Tsourdos, A. Integrity analysis for GPS-based navigation of UAVs in urban environment. Robotics 2020, 9, 66. [Google Scholar] [CrossRef]
- Zhang, S.; Li, Y.; Dong, Q. Autonomous navigation of UAV in multi-obstacle environments based on a Deep Reinforcement Learning approach. Appl. Soft Comput. 2022, 115, 108194. [Google Scholar] [CrossRef]
- Delamer, J.-A.; Watanabe, Y.; Chanel, C.P.C. Safe path planning for UAV urban operation under GNSS signal occlusion risk. Rob. Auton. Syst. 2021, 142, 103800. [Google Scholar] [CrossRef]
- He, L.; Aouf, N.; Song, B. Explainable Deep Reinforcement Learning for UAV autonomous path planning. Aerosp. Sci. Technol. 2021, 118, 107052. [Google Scholar] [CrossRef]
- Al-Kabi, H.; Mazinani, S.M. DNCS: New UAV navigation with considering the no-fly zone and efficient selection of the charging station. Ain Shams Eng. J. 2021, 12, 3669–3676. [Google Scholar] [CrossRef]
- Wang, S.; Zhan, X.; Zhai, Y.; Chi, C.; Shen, J. Highly reliable relative navigation for multi-UAV formation flight in urban environments. Chin. J. Aeronaut. 2020, in press. [Google Scholar] [CrossRef]
- Zhu, X.; Wang, L.; Li, Y.; Song, S.; Ma, S.; Yang, F.; Zhai, L. Path planning of multi-UAVs based on deep Q-network for energy-efficient data collection in UAVs-assisted IoT. Veh. Commun. 2022, 36, 100491. [Google Scholar] [CrossRef]
- Li, J.; Yang, G.; Cai, Q.; Niu, H.; Li, J. Cooperative navigation for UAVs in GNSS-denied area based on optimized belief propagation. Meas. J. Int. Meas. Confed. 2022, 192, 110797. [Google Scholar] [CrossRef]
- Hoon, L.M.; Moon, J. Deep reinforcement learning-based model-free path planning and collision avoidance for UAVs: A soft actor–critic with hindsight experience replay approach. ICT Express 2022, in press. [Google Scholar]
- Habibi, H.; Safaei, A.; Voos, H.; Darouach, M.; Sanchez-Lopez, J.L. Safe navigation of a quadrotor UAV with uncertain dynamics and guaranteed collision avoidance using barrier Lyapunov function. Aerosp. Sci. Technol. 2023, 132, 108064. [Google Scholar] [CrossRef]
- Chen, H.; Lu, P. Real-time identification and avoidance of simultaneous static and dynamic obstacles on point cloud for UAVs navigation. Robot. Auton. Syst. 2022, 154, 104124. [Google Scholar] [CrossRef]
- El-Basioni, B.M.M.; El-Kader, S.M.A. Mission-based PTR triangle for multi-UAV systems flight planning. Ad Hoc Netw. 2023, 142, 103115. [Google Scholar] [CrossRef]
- Wang, Y.; Liu, W.; Liu, J.; Sun, C. Cooperative USV–UAV marine search and rescue with visual navigation and reinforcement learning-based control. ISA Trans. 2023, in press. [Google Scholar] [CrossRef] [PubMed]
- Seo, D.; Kang, J. Collision-avoided Tracking Control of UAV Using Velocity-adaptive 3D Local Path Planning. Int. J. Control Autom. Syst. 2023, 21, 231–243. [Google Scholar] [CrossRef]
- Li, T.; Zhang, X.; Zhang, S.; Zhang, X.; Chen, X. STUNS-Planner: A Spatiotemporal Motion Planner with Unbending and Consistency Awareness for Quadrotors in Unknown Environments. J. Intell. Robot Syst. 2023, 107, 7. [Google Scholar] [CrossRef]
- Zhang, Y.; Wang, P.; Yang, L.; Liu, Y.; Lu, Y.; Zhu, X. Novel Swarm Intelligence Algorithm for Global Optimization and Multi-UAVs Cooperative Path Planning: Anas Platyrhynchos Optimizer. Appl. Sci. 2020, 10, 4821. [Google Scholar] [CrossRef]
- Shi, K.; Zhang, X.; Xia, S. Multiple Swarm Fruit Fly Optimization Algorithm Based Path Planning Method for Multi-UAVs. Appl. Sci. 2020, 10, 2822. [Google Scholar] [CrossRef]
- Nayeem, G.M.; Fan, M.; Li, S.; Ahammad, K. A Modified Particle Swarm Optimization for Autonomous UAV Path Planning in 3D Environment. In Cyber Security and Computer Science; Bhuiyan, T., Rahman, M.M., Ali, M.A., Eds.; ICONCS 2020. Lecture Notes of the Institute for Computer Sciences, Social Informatics and Telecommunications Engineering; Springer: Cham, Switzerland, 2020; Volume 325. [Google Scholar]
- Ge, F.; Li, K.; Han, Y.; Xu, W.; Wang, Y. Path planning of UAV for oilfield inspections in a three-dimensional dynamic environment with moving obstacles based on an improved pigeon-inspired optimization algorithm. Appl. Intell. 2020, 50, 2800–2817. [Google Scholar] [CrossRef]
- Chai, X.; Xiao, J.; Zheng, Z.; Zhang, L.; Qu, B.; Yan, L.; Sun, H. UAV 3D Path Planning Based on Multi-Population Ensemble Differential Evolution. In Bio-Inspired Computing: Theories and Applications; Pan, L., Liang, J., Qu, B., Eds.; BIC-TA 2019. Communications in Computer and Information Science; Springer: Singapore, 2020; p. 1159. [Google Scholar]
- Mesquita, R.; Gaspar, P.D. A Novel Path Planning Optimization Algorithm Based on Particle Swarm Optimization for UAVs for Bird Monitoring and Repelling. Processes 2022, 10, 62. [Google Scholar] [CrossRef]
- Xia, S.; Zhang, X. Constrained path planning for unmanned aerial vehicle in 3D terrain using modified multi-objective particle swarm optimization. Actuators 2021, 10, 255. [Google Scholar] [CrossRef]
- Liu, H.; Ge, J.; Wang, Y.; Li, J.; Ding, K.; Zhang, Z.; Guo, Z.; Li, W.; Lan, J. Multi-UAV optimal mission assignment and path planning for disaster rescue using adaptive genetic algorithm and improved artificial bee colony method. Actuators 2022, 11, 4. [Google Scholar] [CrossRef]
- Huo, L.S.; Zhu, J.H.; Li, Z.M.; Ma, M.H. A Hybrid Differential Symbiotic Organisms Search Algorithm for UAV Path Planning. Sensors 2021, 21, 3037. [Google Scholar] [CrossRef] [PubMed]
- Tang, A.D.; Han, T.; Zhou, H.; Xie, L. An improved equilibrium optimizer with application in unmanned aerial vehicle path planning. Sensors 2021, 21, 1814. [Google Scholar] [CrossRef]
- Ahmed, N.; Pawase, C.J.; Chang, K. Distributed 3-D Path Planning for Multi-UAVs with Full Area Surveillance Based on Particle Swarm Optimization. Appl. Sci. 2021, 11, 3417. [Google Scholar] [CrossRef]
- Jarray, R.; Al-Dhaifallah, M.; Rezk, H.; Bouallègue, S. Parallel Cooperative Coevolutionary Grey Wolf Optimizer for Path Planning Problem of Unmanned Aerial Vehicles. Sensors 2022, 22, 1826. [Google Scholar] [CrossRef]
- Zhang, C.; Liu, Y.; Hu, C. Path Planning with Time Windows for Multiple UAVs Based on Gray Wolf Algorithm. Biomimetics 2022, 7, 225. [Google Scholar] [CrossRef]
- Chu, H.; Yi, J.; Yang, F. Chaos Particle Swarm Optimization Enhancement Algorithm for UAV Safe Path Planning. Appl. Sci. 2022, 12, 8977. [Google Scholar] [CrossRef]
- Zhang, R.; Li, S.; Ding, Y.; Qin, X.; Xia, Q. UAV Path Planning Algorithm Based on Improved Harris Hawks Optimization. Sensors 2022, 22, 5232. [Google Scholar] [CrossRef] [PubMed]
- Chen, H.; Zhou, X.; Ran, X.; Wang, J.; Chen, H.; Deng, W. Adaptive cylinder vector particle swarm optimization with differential evolution for UAV path planning. Eng. Appl. Artif. Intell. 2023, 121, 105942. [Google Scholar]
- Yu, X.; Jiang, N.; Wang, X.; Li, M. A hybrid algorithm based on grey wolf optimizer and differential evolution for UAV path planning. Expert Syst. Appl. 2022, 215, 119327. [Google Scholar] [CrossRef]
- Chowdhury, A.; De, D. RGSO-UAV: Reverse Glowworm Swarm Optimization inspired UAV path-planning in a 3D dynamic environment. Ad Hoc Netw. 2023, 140, 103068. [Google Scholar] [CrossRef]
- Li, B.; Gong, L.; Zhao, C. Unmanned combat aerial vehicles path planning using a novel probability density model based on artificial bee colony algorithm. In Proceedings of the 2013 Fourth International Conference on Intelligent Control and Information Processing (ICICIP), Beijing, China, 9–11 June 2013; pp. 620–625. [Google Scholar]
- Al-Betar, M.A. B-hill climbing: An exploratory local search. Neural Comput. Appl. 2017, 28, 153–168. [Google Scholar] [CrossRef]
- Coelho, L.D.S. Gaussian quantum-behaved particle swarm optimization approaches for constrained engineering design problems. Expert Syst. Appl. 2010, 37, 1676–1683. [Google Scholar] [CrossRef]
- Yang, X.S. A New Metaheuristic Bat-Inspired Algorithm. In Nature Inspired Cooperative Strategies for Optimization (NISCO 2010); Cruz, C., Gonzalez, J.R., Pelta, D.A., Terrazas, G., Eds.; Studies in Computational Intelligence; Springer: Berlin/Heidelberg, Germany, 2010; Volume 284, pp. 65–74. [Google Scholar]
- Yang, X.S.; Deb, S. Cuckoo Search via L´evy Flights. In Proceedings of the World Congress on Nature & Biologically Inspired Computing (NaBIC 2009), Coimbatore, India, 9–11 December 2009; IEEE Publications: Piscataway, NJ, USA; pp. 210–214. [Google Scholar]
- Yang, X.-S. Firefly algorithm, Levy flights and global optimization. In Research and Development in Intelligent Systems; Springer: Berlin/Heidelberg, Germany, 2010; pp. 209–218. [Google Scholar]
- Wang, G.G.; Zhao, X.; Deb, S. A novel monarch butterfly optimization with greedy strategy and self-adaptive. In Proceedings of the 2015 Second International Conference on Soft Computing and Machine Intelligence (ISCMI), Hong Kong, China, 23–24 November 2015; pp. 45–50. [Google Scholar]
- Mirjalili, S.; Mirjalili, S.M.; Lewis, A. Grey wolf optimizer. Adv. Eng. Softw. 2014, 69, 46–61. [Google Scholar] [CrossRef]
- Lee, K.; Geem, Z. A new meta-heuristic algorithm for continuous engineering optimization: Harmony search theory and practice. Comput. Methods Appl. Mech. Eng. 2005, 194, 3902–3933. [Google Scholar] [CrossRef]
- Mirjalili, S.; Lewis, A. The whale optimization algorithm. Adv. Eng. Softw. 2016, 95, 51–67. [Google Scholar] [CrossRef]
- Mirjalili, S. The ant lion optimizer. Adv. Eng. Softw. 2015, 83, 80–98. [Google Scholar] [CrossRef]
- Abualigah, L.; Diabat, A.; Mirjalili, S.; Elaziz, M.A.; Gandomi, A.H. The arithmetic optimization algorithm. Comput. Methods Appl. Mech. Eng. 2021, 376, 113609. [Google Scholar] [CrossRef]
- Mirjalili, S. Dragonfly algorithm: A new meta-heuristic optimization technique for solving single-objective, discrete, and multi-objective problems. Neural Comput. Appl. 2016, 27, 1053–1073. [Google Scholar] [CrossRef]
- Weiguo, Z.; Wang, L.; Mirjalili, S. Artificial hummingbird algorithm: A new bio-inspired optimizer with its engineering applications. Comput. Methods Appl. Mech. Eng. 2022, 388, 114194. [Google Scholar]
- Azizi, M. Atomic orbital search: A novel metaheuristic algorithm. Appl. Math. Model 2021, 93, 657–683. [Google Scholar] [CrossRef]
- Wang, L.; Cao, Q.; Zhang, Z.; Mirjalili, S.; Zhao, W. Artificial rabbits optimization: A new bio-inspired meta-heuristic algorithm for solving engineering optimization problems. Eng. Appl. Artif. Intell. 2022, 114, 105082. [Google Scholar] [CrossRef]
- Hashim, F.A.; Hussien, A.G. Snake Optimizer: A novel meta-heuristic optimization Algorithm. Knowl. Based Syst. 2022, 242, 108320. [Google Scholar] [CrossRef]
- Zhong, C.; Li, G.; Meng, Z. Beluga whale optimization: A novel nature-inspired metaheuristic algorithm. Knowl. Based Syst. 2022, 251, 109215. [Google Scholar] [CrossRef]
- Shami, T.M.; Grace, D.; Burr, A.; Mitchell, P.D. Single candidate optimizer: A novel optimization algorithm. Evol. Intel. 2022. [Google Scholar] [CrossRef]
- Ahmadianfar, O. Bozorg-Haddad, X. Chu, Gradient-based optimizer: A new metaheuristic optimization algorithm. Inform. Sci. 2020, 540, 131–159. [Google Scholar] [CrossRef]
- Agushaka, J.O.; Ezugwu, A.E.; Abualigah, L. Dwarf Mongoose Optimization Algorithm. Comput. Methods Appl. Mech. Eng. 2022, 391, 114570. [Google Scholar] [CrossRef]
- Zhao, S.; Zhang, T.; Ma, S.; Chen, M. Dandelion Optimizer: A nature-inspired metaheuristic algorithm for engineering applications. Eng. Appl. Artif. Intell. 2022, 114, 105075. [Google Scholar] [CrossRef]
- Faramarzi, A.; Heidarinejad, M.; Stephens, B.; Mirjalili, S. Equilibrium optimizer: A novel optimization algorithm. Knowl. Based Syst. 2020, 191, 105190. [Google Scholar] [CrossRef]
- Azizi, M.; Talatahari, S.; Gandomi, A.H. Fire Hawk Optimizer: A novel metaheuristic algorithm. Artif. Intell. Rev. 2022, 56, 287–363. [Google Scholar] [CrossRef]
- Braik, M.; Hammouri, A.; Atwan, J.; Al-Betar, M.A.; Awadallah, M.A. White Shark Optimizer: A novel bio-inspired meta-heuristic algorithm for global optimization problems. Knowl. Based Syst. 2022, 243, 108457. [Google Scholar] [CrossRef]
- Trojovský, P.; Dehghani, M. Pelican Optimization Algorithm: A Novel Nature-Inspired Algorithm for Engineering Applications. Sensors 2022, 22, 855. [Google Scholar] [CrossRef] [PubMed]



| Navigation Systems-Based UAV Path Planning | |||
|---|---|---|---|
| Ref | Proposed Algorithm | Advantages | Limitations |
| [8] | A deep reinforcement learning approach for UAV navigation in high dynamic environments. The method uses a neural network to learn control policies from sensor inputs and reward signals. | Can handle high-dynamic environments, is adaptable to different environments, can learn from experience, and requires minimal human intervention. | Needs a large amount of data for training, may suffer from safety issues if deployed without sufficient training and can be affected by sensor noise and disturbances in the environment. |
| [9] | Autonomous navigation method for a solar-powered UAV that can provide secure communication in urban environments while avoiding eavesdropping. The method utilizes an onboard camera and a GPS receiver to create a real-time map of the environment and uses machine learning algorithms to detect and avoid potential eavesdropping areas. | Provides secure communication in urban areas, is environmentally friendly and cost-effective, and effective tool for surveillance and reconnaissance. | Limited flight time, GPS signal disruption, the accuracy of machine learning algorithms affected by the complexity of urban environments and multiple signals, and privacy and security concerns. |
| [10] | A 3D navigation method for a solar-powered UAV that provides secure communication in the presence of eavesdroppers and no-fly zones while being energy efficient. The method uses a dynamic programming algorithm to optimize the UAV’s flight path and speed based on the available solar energy and communication requirements. | Provides secure communication in challenging environments, is energy efficient, can avoid no-fly zones, and is adaptable to different communication requirements. | May not be suitable for environments with low solar energy availability; requires accurate solar energy prediction; may not be able to handle sudden changes in the environment; may require a more complex communication system for larger distances. |
| [11] | The paper proposes a novel method for ensuring the integrity of GPS-based navigation for Unmanned Aerial Vehicles (UAVs) in an urban environment using an integrity map and a weighted sum of the navigation solution residuals. | The advantages of the proposed method are that it provides a means to detect and mitigate GPS signal errors and can improve the reliability and safety of UAV navigation in urban environments. | The limitations of the proposed method are that it relies on the assumption that the GPS errors are independent and identically distributed, which may not always be the case in practice. Additionally, the method may not be effective in environments where the GPS signal is severely obstructed or jammed. |
| [12] | The paper proposes a deep reinforcement learning approach for the autonomous navigation of Unmanned Aerial Vehicles (UAVs) in multi-obstacle environments. The method involves training a Deep Q-Network (DQN) agent to select actions that enable the UAV to navigate through an environment with multiple obstacles while maximizing its reward. | The proposed method offers several advantages, including the ability to navigate complex environments without prior knowledge of the environment, the ability to handle dynamic obstacles, and the ability to handle multiple obstacles simultaneously. Additionally, the method offers the potential to reduce human intervention in UAV navigation, which could lead to increased efficiency and reduced costs. | One potential limitation of the proposed method is the need for significant computational resources for training the DQN agent. Additionally, the method may not be well-suited for environments with high levels of uncertainty or unpredictability, as the agent’s performance is dependent on the quality of the reward function and the training data. Finally, the method may not be able to handle certain types of obstacles or environments, such as those with complex or irregular shapes. |
| [13] | A safe path planning algorithm for UAVs that uses a grid-based approach and considers the risk of GNSS signal occlusion in urban environments. | The algorithm takes into account the risk of GNSS signal occlusion and is able to plan safe paths in urban environments with high accuracy and efficiency. | The algorithm relies on accurate and up-to-date maps of the environment and may not be able to handle unforeseen obstacles or changes in the environment in real-time. |
| [14] | The paper proposes an Explainable Deep Reinforcement Learning (X-DRL) algorithm for UAV autonomous path planning. | The X-DRL algorithm provides a way to interpret the decision-making process of the UAV, allowing for greater transparency and accountability. It also achieves higher accuracy and faster convergence compared to other methods. | The proposed algorithm relies on a pre-defined reward function and may not be suitable for complex environments where the optimal reward function is unknown. Additionally, the X-DRL algorithm requires a large amount of training data and computational resources. |
| [15] | The paper proposes a new UAV navigation method called DNCS, which considers the no-fly zone and efficiently selects the charging station to optimize the UAV’s energy consumption. | The DNCS method can effectively avoid no-fly zones and choose the best charging station based on the UAV’s energy level, resulting in longer flight time and reduced energy consumption. | The proposed method is evaluated through simulations and may not reflect real-world scenarios. The accuracy of the no-fly zone map and the availability of charging stations may also affect the performance of the method. |
| [16] | The paper proposes a highly reliable relative navigation method for multi-UAV formation flight in urban environments using a combination of vision-based and sensor-based techniques. | The proposed method achieves high reliability in relative navigation, even in challenging urban environments with obstacles and GPS-denied conditions. It also allows for flexible formation reconfiguration and can be applied to a variety of multi-UAV formations. | The proposed method relies on the availability of multiple UAVs and may not be suitable for single UAV missions. The accuracy of the method is also affected by the quality of sensor data and the complexity of the environment. |
| [17] | Deep Q-Network (DQN)-based path planning algorithm for multiple UAVs for energy-efficient data collection in UAV-assisted IoT. | The proposed algorithm can efficiently plan optimal paths for multiple UAVs, reducing energy consumption and enabling more efficient data collection. | The algorithm relies on accurate and timely communication between the UAVs and the ground station, which can be challenging in certain scenarios. Additionally, the algorithm assumes that the UAVs have unlimited battery capacity, which may not be practical in real-world scenarios. |
| [18] | Optimized belief propagation-based cooperative navigation algorithm for multiple UAVs in GNSS-denied areas using only onboard sensors. | The proposed algorithm can achieve high positioning accuracy and reliability in GNSS-denied areas by leveraging the cooperation of multiple UAVs and the optimization of the belief propagation algorithm. | The proposed algorithm relies on the availability of multiple UAVs and assumes that they can communicate with each other in real-time, which may not always be feasible in practical scenarios. Additionally, the algorithm may require significant computational resources, which may limit its real-time applicability. |
| [19] | Soft actor-critic with Hindsight Experience Replay (HER) algorithm based on deep reinforcement learning for model-free path planning and collision avoidance for UAVs. | The proposed algorithm can learn effective collision-free paths for UAVs in complex environments using only raw sensory input, without relying on a pre-defined map or model of the environment. | The training of the algorithm can be computationally expensive and time-consuming, and the resulting policies may not always generalize well to unseen environments. Additionally, the algorithm may require a large amount of data to achieve good performance, which can be challenging to obtain in real-world scenarios. |
| [20] | Barrier Lyapunov Function (BLF)-based control algorithm for safe navigation of quadrotor UAVs in the presence of uncertain dynamics and with guaranteed collision avoidance. | The proposed algorithm can guarantee safe and collision-free navigation of quadrotor UAVs even in the presence of model uncertainties and external disturbances. | The algorithm assumes that the UAV’s state and environment information are accurately known, which may not always be the case in real-world scenarios. Additionally, the algorithm may require tuning of certain parameters, which can be challenging for users without a deep understanding of control theory. |
| [21] | Real-time obstacle identification and avoidance algorithm based on point cloud data for UAV navigation in environments with simultaneous static and dynamic obstacles. | The proposed algorithm can identify and avoid both static and dynamic obstacles in real-time, enabling safe and efficient UAV navigation in complex environments. | The algorithm relies on accurate and reliable point cloud data, which may not always be available or may be affected by environmental factors such as weather. Additionally, the algorithm may struggle with identifying and avoiding small or transparent obstacles that are not easily detectable in point cloud data. |
| [22] | Mission-based planning, tasking, and re-tasking (PTR) triangle framework for flight planning of multi-UAV systems in complex missions. | The proposed framework can facilitate efficient mission planning, tasking, and re-tasking of multi-UAV systems, enabling improved mission performance and adaptability. | The framework may require significant communication and computational resources to achieve real-time re-tasking and adaptation of the UAVs, which can be challenging in certain scenarios. Additionally, the framework assumes that the UAVs have unlimited battery capacity and does not consider the impact of energy consumption on mission performance. |
| [23] | Cooperative marine search and rescue framework based on visual navigation and reinforcement learning-based control for USV-UAV systems. | The proposed framework enables efficient and effective search and rescue missions in marine environments by combining the advantages of both USVs and UAVs. The use of visual navigation and reinforcement learning-based control can improve the adaptability and robustness of the system. | The framework may require significant computational resources to process a large amount of sensory data and perform real-time control of the USV-UAV system. Additionally, the framework assumes that the system has accurate and reliable sensors and communication capabilities, which may not always be the case in real-world scenarios. |
| [24] | Velocity-adaptive 3D local path planning method for collision-avoided tracking control of UAVs. | The proposed method can enable efficient and safe tracking control of UAVs in complex environments by adapting the velocity of the UAV to avoid obstacles and reduce the risk of collisions. Path planning in 3D can provide more flexibility and maneuverability for the system. | The proposed method relies on accurate and reliable sensor data for obstacle detection and path planning, which may not always be available or may be affected by environmental factors such as weather. Additionally, the method may not always guarantee optimal or globally optimal paths for the UAV. |
| [25] | Spatiotemporal motion planner for quadrotors in unknown environments with unbending and consistency awareness referred to as STUNS-Planner. | The STUNS-Planner can enable quadrotors to navigate safely and efficiently in unknown environments by taking into account the dynamics of the quadrotor and the surrounding obstacles. The unbending and consistency awareness can improve the stability and robustness of the system. | The proposed method may be computationally intensive and require significant computing resources, limiting its real-time applicability. Additionally, the method may not always guarantee globally optimal paths or may be affected by sensor noise or inaccuracies in the estimation of the quadrotor dynamics. |
| Optimization Techniques-Based UAV Path Planning | |||
|---|---|---|---|
| Ref | Proposed Algorithm | Advantages | Limitations |
| [26] | A novel Swarm Intelligence algorithm called the Anas Platyrhynchos Optimizer (APO) for global optimization and multi-UAV cooperative path planning. | The APO algorithm can optimize multiple objectives, such as energy consumption and path length while taking into account the coordination and cooperation among multiple UAVs. The method has been shown to achieve good performance and convergence speed in simulation experiments. | The effectiveness of the APO algorithm may depend on the choice of parameters and may be affected by the complexity of the optimization problem. The algorithm may also require significant computational resources for large-scale problems, limiting its practical applicability. |
| [27] | Multiple Swarm Fruit Fly Optimization Algorithm-Based Path Planning method for multi-UAVs, which utilizes a hybrid of a Fruit Fly Optimization Algorithm and Swarm Intelligence for path planning of multiple Unmanned Aerial Vehicles (UAVs). | The proposed method provides a balance between exploration and exploitation and improves the efficiency and effectiveness of path planning for multi-UAVs. | The proposed method does not consider dynamic environments and obstacles, which may limit its applicability in real-world scenarios. Additionally, the computational complexity may increase with an increasing number of UAVs. |
| [28] | A modified Particle Swarm Optimization (PSO) algorithm for autonomous path planning of Unmanned Aerial Vehicles (UAVs) in 3D environments that takes into account obstacles and the need for safe separation distances. | The proposed method achieves a higher success rate and a lower computational time than other PSO-based path planning methods. It can also handle complex environments and be used for both single and multiple UAVs. | The proposed method assumes that the UAV has complete and accurate knowledge of the environment, which may not be the case in real-world scenarios. Additionally, the method may require tuning its parameters to achieve optimal performance. |
| [29] | An improved Pigeon-Inspired Optimization algorithm (IPIO) for path planning of Unmanned Aerial Vehicles (UAVs) in dynamic 3D environments with moving obstacles, specifically designed for oilfield inspections. | The proposed IPIO algorithm outperforms other popular optimization algorithms in terms of convergence rate and solution quality. It can effectively handle the complexities of a dynamic oilfield environment while optimizing multiple objectives, such as the shortest path and safe separation distances. | The proposed method assumes perfect information about the environment and obstacles, which may not always be available in real-world scenarios. Additionally, the computational time may increase with larger search spaces and more UAVs. |
| [30] | A Multi-Population Ensemble Differential Evolution (MP-EDE) algorithm for path planning of Unmanned Aerial Vehicles (UAVs) in 3D environments that optimizes multiple objectives such as collision avoidance and path smoothness. | The proposed MP-EDE algorithm shows a better convergence rate, diversity, and robustness compared to other state-of-the-art algorithms for UAV path planning. It can also handle complex 3D environments with multiple UAVs. | The proposed method assumes a static environment and may require parameter tuning to achieve optimal performance. Additionally, the computational time may increase with larger search spaces and more UAVs. |
| [31] | The paper proposes a path planning optimization algorithm based on Particle Swarm Optimization (PSO) for Unmanned Aerial Vehicles (UAVs) for bird monitoring and repelling. | The proposed algorithm can optimize the path planning for UAVs to effectively monitor and repel birds, which can reduce the damage caused by birds to crops and reduce the risk of bird-aircraft collisions. | The paper does not provide extensive experimental results, and the proposed algorithm may not be applicable to other scenarios beyond bird monitoring and repelling. |
| [32] | The paper proposes a modified Multi-Objective Particle Swarm Optimization (MOPSO) algorithm for path planning of Unmanned Aerial Vehicles (UAVs) in 3D terrain with constraints. | The proposed method is able to find feasible paths that satisfy different constraints while considering multiple objectives, leading to better performance compared to other optimization methods. | The proposed method is computationally intensive and may not be suitable for real-time applications with limited computational resources. Additionally, the effectiveness of the method is dependent on the accuracy of the input data used to represent the terrain. |
| [33] | The paper proposes an Adaptive Genetic Algorithm (AGA) and an Improved Artificial Bee Colony (IABC) method for multi-UAV mission assignment and path planning for disaster rescue. | The proposed method is able to simultaneously optimize the mission assignment and path planning for multiple UAVs, improving the efficiency and effectiveness of disaster rescue operations. It also incorporates adaptive strategies to enhance the performance of the optimization algorithms. | The proposed method has not been tested in real-world disaster rescue scenarios, and its performance may depend on the accuracy of the underlying models and assumptions. Additionally, the computational complexity of the method may limit its scalability to larger numbers of UAVs or more complex scenarios. |
| [34] | A Hybrid Differential Symbiotic Organisms Search (HDSOS) algorithm for unmanned aerial vehicle (UAV) path planning. | HDSOS combines the advantages of differential evolution and symbiotic organisms search algorithms, leading to improved global search capabilities and faster convergence in finding optimal paths for UAVs. | The effectiveness of HDSOS for UAV path planning may be limited by the complexity of the environment and the number of waypoints to be visited. |
| [35] | An improved Equilibrium Optimizer (EO) for unmanned aerial vehicle (UAV) path planning, which includes a modified search strategy and a new balance operator. | The improved EO algorithm demonstrated improved performance in terms of finding optimal paths for UAVs compared to other optimization algorithms. | The effectiveness of the improved EO algorithm may be limited by the complexity of the environment and the number of waypoints to be visited. Additionally, the algorithm may require tuning its parameters for optimal performance. |
| [36] | Distributed 3D path planning for multiple UAVs based on the Particle Swarm Optimization (PSO) algorithm for full-area surveillance. | Provides a distributed approach to path planning for multiple UAVs with high accuracy and efficiency, as well as full-area surveillance with reduced time and cost. | The proposed method may require a large number of UAVs to achieve full-area surveillance, and it may not consider dynamic obstacles in real-time. |
| [37] | Parallel Cooperative Coevolutionary Grey Wolf Optimizer (CCGWO) for path planning of Unmanned Aerial Vehicles (UAVs) in complex environments. | Improved convergence speed and solution quality compared to other optimization algorithms, and the ability to handle complex environments with dynamic obstacles. | The proposed CCGWO method may require significant computational resources to run, and it may not perform well in cases where the search space is not well defined. |
| [38] | Path planning for multiple Unmanned Aerial Vehicles (UAVs) with time windows using the Grey Wolf Algorithm (GWA). | Improved efficiency and accuracy in path planning with time constraints, as well as the ability to optimize multiple UAVs simultaneously. | The proposed GWA-based method may struggle to find optimal solutions in complex environments with many obstacles, and it may not be suitable for real-time applications due to the computational resources required. |
| [39] | A Chaos-Enhanced Particle Swarm Optimization (CPSO) algorithm for safe path planning of Unmanned Aerial Vehicles (UAVs). | The proposed CPSO algorithm is efficient at finding safe paths for UAVs while avoiding obstacles and can handle complex environments. The chaos enhancement improves the algorithm’s convergence speed and accuracy. | The CPSO algorithm’s performance may be affected by the selection of hyperparameters, and it may struggle with time-constrained applications as the search process can take longer than expected. |
| [40] | An algorithm for path planning for Unmanned Aerial Vehicles (UAVs) based on an improved Harris Hawks Optimization (IHHO) algorithm. | The IHHO algorithm provides high accuracy in finding optimal paths for UAVs while avoiding obstacles, and it can handle complex environments with multiple objectives. | The proposed algorithm may require significant computational resources to run, and it may not be suitable for real-time applications where fast planning is required. |
| [41] | Adaptive Cylinder Vector Particle Swarm Optimization with Differential Evolution (ACVPSO-DE) for unmanned aerial vehicle (UAV) path planning. | The proposed ACVPSO-DE algorithm provides high-quality solutions for finding safe paths for UAVs while avoiding obstacles in real-time applications. | The performance of the algorithm may be impacted by the selection of hyperparameters, and it may struggle with complex environments with multiple objectives. |
| [42] | A hybrid algorithm based on the Grey Wolf optimizer and Differential Evolution (GWO-DE) for unmanned aerial vehicle (UAV) path planning. | The proposed GWO-DE algorithm provides an efficient and effective solution for finding safe paths for UAVs while avoiding obstacles in dynamic environments. | The proposed algorithm may struggle with complex environments with multiple objectives, and the selection of hyperparameters may impact the performance. |
| [43] | The proposed method is RGSO-UAV, which is a path planning algorithm inspired by Reverse Glowworm Swarm Optimization (RGSO) for Unmanned Aerial Vehicles (UAVs) in a 3D dynamic environment. | The advantages of RGSO-UAV are that it is effective in finding optimal or near-optimal paths for UAVs in dynamic environments while also considering energy consumption, obstacle avoidance, and smoothness of the path. | The limitations of RGSO-UAV are not explicitly mentioned in the abstract, but further investigation of the paper may reveal any potential shortcomings, such as computational complexity or limited applicability to certain types of environments. |
| D | Results | SMOBHC | SMO | PSO | GQPSO | BA | CS | DE | FA | GCMBO | GWO | HS | WOA | ALO | AOA | DA |
|---|---|---|---|---|---|---|---|---|---|---|---|---|---|---|---|---|
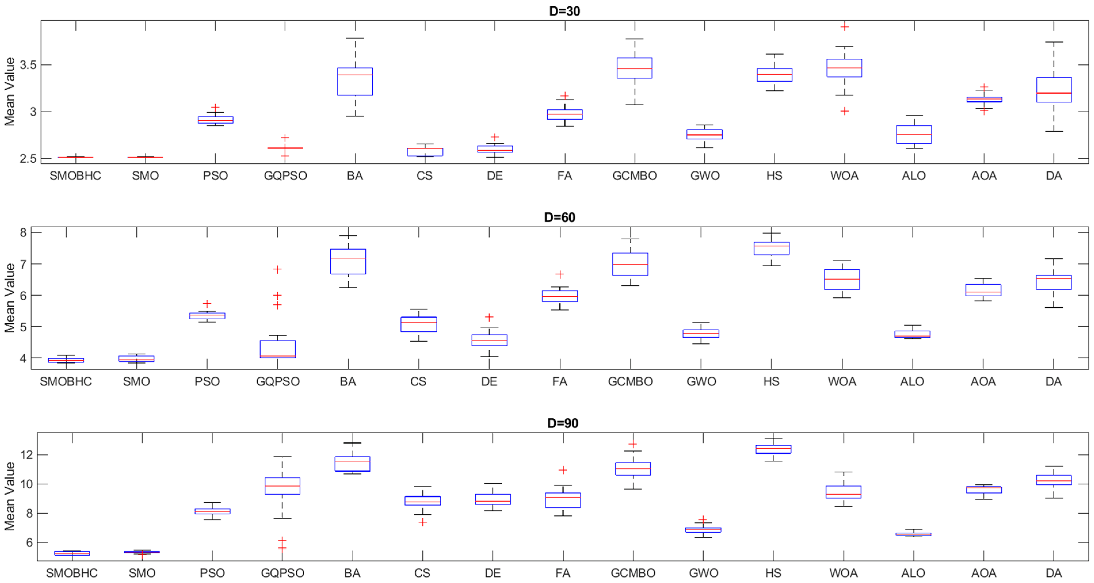
| 30 | Best | 2.28947e+00 | 2.29310e+00 | 2.75424e+00 | 2.29066e+00 | 3.92196e+00 | 2.57876e+00 | 2.55853e+00 | 2.65663e+00 | 4.05979e+00 | 2.71719e+00 | 4.44264e+00 | 3.20219e+00 | 2.63780e+00 | 3.07582e+00 | 2.82583e+00 |
| Worst | 2.61597e+00 | 2.71327e+00 | 3.22385e+00 | 4.61145e+00 | 5.29548e+00 | 2.88037e+00 | 2.99855e+00 | 3.72796e+00 | 6.17494e+00 | 3.23827e+00 | 5.66178e+00 | 3.99601e+00 | 2.86127e+00 | 3.44006e+00 | 4.34395e+00 | |
| Mean | 2.43943e+00 | 2.53647e+00 | 2.93352e+00 | 2.94125e+00 | 4.69916e+00 | 2.65740e+00 | 2.66122e+00 | 3.06191e+00 | 4.98465e+00 | 2.87950e+00 | 5.21530e+00 | 3.62562e+00 | 2.67352e+00 | 3.21786e+00 | 3.59273e+00 | |
| Std. | 1.36303e-01 | 1.17987e-01 | 1.13051e-01 | 6.03611e-01 | 4.82167e-01 | 8.13444e-02 | 1.23028e-01 | 2.90825e-01 | 4.23119e-01 | 1.43531e-01 | 2.94617e-01 | 2.39591e-01 | 7.52754e-02 | 9.50957e-02 | 4.16094e-01 | |
| 60 | Best | 3.77426e+00 | 3.99230e+00 | 5.61468e+00 | 4.41786e+00 | 1.04104e+01 | 5.87736e+00 | 4.71361e+00 | 5.49910e+00 | 5.49910e+00 | 4.77953e+00 | 1.19106e+01 | 5.86641e+00 | 4.29269e+00 | 6.27408e+00 | 6.32505e+00 |
| Worst | 4.27692e+00 | 4.53576e+00 | 6.45057e+00 | 8.40310e+00 | 1.40119e+01 | 7.81696e+00 | 8.08800e+00 | 7.43200e+00 | 7.43200e+00 | 5.69980e+00 | 1.42811e+01 | 7.74777e+00 | 4.50942e+00 | 6.59945e+00 | 9.00176e+00 | |
| Mean | 4.06937e+00 | 4.21641e+00 | 5.97044e+00 | 7.45684e+00 | 1.18586e+01 | 6.65323e+00 | 6.05573e+00 | 6.52296e+00 | 6.52296e+00 | 5.15119e+00 | 1.32566e+01 | 6.69630e+00 | 4.31833e+00 | 6.44717e+00 | 7.32161e+00 | |
| Std. | 1.29764e-01 | 1.49738e-01 | 2.28953e-01 | 1.54426e+00 | 9.28414e-01 | 5.57735e-01 | 8.38343e-01 | 6.33541e-01 | 6.33541e-01 | 2.62726e-01 | 6.23371e-01 | 4.79265e-01 | 6.27870e-02 | 9.40193e-02 | 7.25221e-01 | |
| 90 | Best | 5.20185e+00 | 5.72008e+00 | 9.06882e+00 | 6.46893e+00 | 1.72251e+01 | 1.10881e+01 | 1.23797e+01 | 8.72690e+00 | 8.72690e+00 | 6.83429e+00 | 2.14295e+01 | 9.34339e+00 | 5.94606e+00 | 9.53456e+00 | 1.03423e+01 |
| Worst | 6.77599e+00 | 6.70230e+00 | 1.04167e+01 | 1.19491e+01 | 2.25479e+01 | 1.51550e+01 | 1.58565e+01 | 1.21446e+01 | 1.21446e+01 | 8.07238e+00 | 2.40816e+01 | 1.11104e+01 | 6.22909e+00 | 1.03621e+01 | 1.34498e+01 | |
| Mean | 5.97088e+00 | 6.10449e+00 | 9.71420e+00 | 1.05624e+01 | 2.00473e+01 | 1.31477e+01 | 1.44052e+01 | 9.69276e+00 | 9.69276e+00 | 7.39528e+00 | 2.24904e+01 | 1.01782e+01 | 6.01703e+00 | 9.86784e+00 | 1.17318e+01 | |
| Std. | 4.33765e-01 | 3.02698e-01 | 4.57557e-01 | 2.22147e+00 | 1.53747e+00 | 9.22082e-01 | 8.91705e-01 | 8.24435e-01 | 8.24435e-01 | 3.63992e-01 | 8.21393e-01 | 5.09086e-01 | 8.62215e-02 | 2.41530e-01 | 9.63863e-01 |
| D | SMOBHC vs. SMO | SMOBHC vs. PSO | SMOBHC vs. GQPSO | SMOBHC vs. BA | SMOBHC vs. CS | SMOBHC vs. DE | SMOBHC vs. FA | SMOBHC vs. GCMBO | SMOBHC vs. GWO | SMOBHC vs. HS | SMOBHC vs. WOA | SMOBHC vs. ALO | SMOBHC vs. AOA | SMOBHC vs. DA | |
|---|---|---|---|---|---|---|---|---|---|---|---|---|---|---|---|
| 30 | 3.3362e-03 | 6.7956e-08 | 8.2924e-05 | 6.7956e-08 | 1.6571e-07 | 2.7451e-04 | 6.7956e-08 | 6.7956e-08 | 6.7956e-08 | 6.7956e-08 | 6.7956e-08 | 6.7956e-08 | 6.7956e-08 | 6.7956e-08 | |
| 1 | 1 | 1 | 1 | 1 | 1 | 1 | 1 | 1 | 1 | 1 | 1 | 1 | 1 | ||
| 60 | p | 4.3202e-03 | 6.7956e-08 | 6.7574e-08 | 6.7956e-08 | 6.7956e-08 | 6.7956e-08 | 6.7956e-08 | 6.7956e-08 | 6.7956e-08 | 6.7956e-08 | 6.7956e-08 | 6.7956e-08 | 6.7956e-08 | 6.7956e-08 |
| h | 1 | 1 | 1 | 1 | 1 | 1 | 1 | 1 | 1 | 1 | 1 | 1 | 1 | 1 | |
| 90 | 3.2348e-01 | 6.7956e-08 | 1.1772e-07 | 6.7956e-08 | 6.7956e-08 | 6.7956e-08 | 6.7956e-08 | 6.7956e-08 | 6.7956e-08 | 6.7956e-08 | 6.7956e-08 | 7.3527e-01 | 6.7956e-08 | 6.7956e-08 | |
| 0 | 1 | 1 | 1 | 1 | 1 | 1 | 1 | 1 | 1 | 1 | 1 | 1 | 1 | ||
| 1) | 2 | 3 | 3 | 3 | 3 | 3 | 3 | 3 | 3 | 3 | 3 | 2 | 3 | 3 | |
| 0) | 1 | 0 | 0 | 0 | 0 | 0 | 0 | 0 | 0 | 0 | 0 | 0 | 0 | 0 | |
| Best | 2 | 3 | 3 | 3 | 3 | 3 | 3 | 3 | 3 | 3 | 3 | 3 | 3 | 3 | |
| D | Results | SMOBHC | SMO | PSO | GQPSO | BA | CS | DE | FA | GCMBO | GWO | HS | WOA | ALO | AOA | DA |
|---|---|---|---|---|---|---|---|---|---|---|---|---|---|---|---|---|
| 30 | Best | 2.51028e+00 | 2.51028e+00 | 2.84819e+00 | 2.52220e+00 | 2.95020e+00 | 2.51845e+00 | 2.51028e+00 | 2.84445e+00 | 3.06962e+00 | 2.61220e+00 | 3.22308e+00 | 3.00608e+00 | 2.60448e+00 | 3.00800e+00 | 2.78753e+00 |
| Worst | 2.51477e+00 | 2.51580e+00 | 3.04426e+00 | 2.71888e+00 | 3.78299e+00 | 2.65383e+00 | 2.72929e+00 | 3.16937e+00 | 3.77617e+00 | 2.85639e+00 | 3.61163e+00 | 3.90492e+00 | 2.96006e+00 | 3.26194e+00 | 3.74059e+00 | |
| Mean | 2.51177e+00 | 2.51184e+00 | 2.91253e+00 | 2.60964e+00 | 3.33122e+00 | 2.57734e+00 | 2.59191e+00 | 2.97449e+00 | 3.45475e+00 | 2.75032e+00 | 3.39670e+00 | 3.45755e+00 | 2.75710e+00 | 3.12795e+00 | 3.23671e+00 | |
| Std. | 1.80077e-03 | 1.80160e-03 | 5.15307e-02 | 3.21338e-02 | 2.33012e-01 | 4.46921e-02 | 5.79417e-02 | 8.75677e-02 | 1.66528e-01 | 6.27334e-02 | 1.01415e-01 | 1.86706e-01 | 1.15131e-01 | 5.81913e-02 | 2.04256e-01 | |
| 60 | Best | 3.83595e+00 | 3.83733e+00 | 5.14681e+00 | 4.00704e+00 | 6.25087e+00 | 4.53306e+00 | 4.05029e+00 | 5.53866e+00 | 6.31199e+00 | 4.45724e+00 | 6.93861e+00 | 5.92446e+00 | 4.61219e+00 | 5.82414e+00 | 5.60451e+00 |
| Worst | 4.09095e+00 | 4.12617e+00 | 5.74427e+00 | 6.84385e+00 | 7.89760e+00 | 5.55078e+00 | 5.31220e+00 | 6.68037e+00 | 7.79732e+00 | 5.11988e+00 | 7.98475e+00 | 7.10324e+00 | 5.04743e+00 | 6.52705e+00 | 7.15782e+00 | |
| Mean | 3.93090e+00 | 3.96579e+00 | 5.36391e+00 | 4.46120e+00 | 7.09673e+00 | 5.08951e+00 | 4.57179e+00 | 5.99368e+00 | 6.99630e+00 | 4.77400e+00 | 7.50167e+00 | 6.48509e+00 | 4.75926e+00 | 6.16272e+00 | 6.43501e+00 | |
| Std. | 7.73957e-02 | 9.64438e-02 | 1.32390e-01 | 7.97121e-01 | 4.34957e-01 | 2.80242e-01 | 2.95791e-01 | 2.49162e-01 | 4.45219e-01 | 1.83088e-01 | 2.77829e-01 | 3.82256e-01 | 1.30515e-01 | 2.31844e-01 | 3.63704e-01 | |
| 90 | Best | 5.11541e+00 | 5.15118e+00 | 7.55355e+00 | 5.56467e+00 | 1.06711e+01 | 7.36641e+00 | 8.14985e+00 | 7.79696e+00 | 9.64809e+00 | 6.34746e+00 | 1.15298e+01 | 8.46152e+00 | 6.39245e+00 | 8.95448e+00 | 9.04897e+00 |
| Worst | 5.41980e+00 | 5.48288e+00 | 8.72640e+00 | 1.18545e+01 | 1.27817e+01 | 9.79593e+00 | 1.00464e+01 | 1.09265e+01 | 1.27122e+01 | 7.53783e+00 | 1.31188e+01 | 1.08261e+01 | 6.91228e+00 | 9.95324e+00 | 1.11885e+01 | |
| Mean | 5.26593e+00 | 5.34675e+00 | 8.13438e+00 | 9.39583e+00 | 1.14995e+01 | 8.77740e+00 | 8.95983e+00 | 9.00075e+00 | 1.10847e+01 | 6.88814e+00 | 1.23627e+01 | 9.39447e+00 | 6.58353e+00 | 9.57711e+00 | 1.02167e+01 | |
| Std. | 1.23101e-01 | 7.47452e-02 | 2.67716e-01 | 1.80024e+00 | 6.84311e-01 | 5.45987e-01 | 5.44965e-01 | 7.38526e-01 | 7.58873e-01 | 2.79571e-01 | 4.12738e-01 | 5.80251e-01 | 1.32454e-01 | 3.06967e-01 | 5.35252e-01 |
| D | SMOBHC vs. SMO | SMOBHC vs. PSO | SMOBHC vs. GQPSO | SMOBHC vs. BA | SMOBHC vs. CS | SMOBHC vs. DE | SMOBHC vs. FA | SMOBHC vs. GCMBO | SMOBHC vs. GWO | SMOBHC vs. HS | SMOBHC vs. WOA | SMOBHC vs. ALO | SMOBHC vs. AOA | SMOBHC vs. DA | |
|---|---|---|---|---|---|---|---|---|---|---|---|---|---|---|---|
| 30 | 2.9768e-01 | 6.7956e-08 | 6.7956e-08 | 6.7956e-08 | 2.3557e-06 | 6.7956e-08 | 6.7956e-08 | 6.7956e-08 | 6.7956e-08 | 6.7956e-08 | 6.7956e-08 | 6.7956e-08 | 6.7956e-08 | 6.7956e-08 | |
| 0 | 1 | 1 | 1 | 1 | 1 | 1 | 1 | 1 | 1 | 1 | 1 | 1 | 1 | ||
| 60 | 1.9883e-01 | 6.7956e-08 | 1.5997e-05 | 6.7956e-08 | 6.7956e-08 | 1.0646e-07 | 6.7956e-08 | 6.7956e-08 | 6.7956e-08 | 6.7956e-08 | 6.7956e-08 | 6.7956e-08 | 6.7956e-08 | 6.7956e-08 | |
| 1 | 1 | 1 | 1 | 1 | 1 | 1 | 1 | 1 | 1 | 1 | 1 | 1 | 1 | ||
| 90 | 9.6196e-02 | 6.7956e-08 | 6.7956e-08 | 6.7956e-08 | 6.7956e-08 | 6.7956e-08 | 6.7956e-08 | 6.7956e-08 | 6.7956e-08 | 6.7956e-08 | 6.7956e-08 | 6.7956e-08 | 6.7956e-08 | 6.7956e-08 | |
| 0 | 1 | 1 | 1 | 1 | 1 | 1 | 1 | 1 | 1 | 1 | 1 | 1 | 1 | ||
| 1) | 0 | 3 | 3 | 3 | 3 | 3 | 3 | 3 | 3 | 3 | 3 | 3 | 3 | 3 | |
| 0) | 3 | 0 | 0 | 0 | 0 | 0 | 0 | 0 | 0 | 0 | 0 | 0 | 0 | 0 | |
| Best | 0 | 3 | 3 | 3 | 3 | 3 | 3 | 3 | 3 | 3 | 3 | 3 | 3 | 3 | |
| D | Results | SMOBHC | SMO | AHA | AOS | ARO | SO | BWO | SCO | GBO | DMOA | DO | EO | FHO | WSO | PDO |
|---|---|---|---|---|---|---|---|---|---|---|---|---|---|---|---|---|
| 30 | Best | 2.42035e+00 | 2.42035e+00 | 2.74338e+00 | 2.74393e+00 | 2.74339e+00 | 2.42839e+00 | 2.90601e+00 | 4.78941e+00 | 2.73036e+00 | 2.48093e+00 | 2.44246e+00 | 2.63792e+00 | 2.86500e+00 | 2.77533e+00 | 3.18897e+00 |
| Worst | 2.57116e+00 | 2.57117e+00 | 2.77586e+00 | 3.17199e+00 | 2.93080e+00 | 2.83734e+00 | 2.99695e+00 | 4.11803e+00 | 2.87057e+00 | 3.22760e+00 | 2.78509e+00 | 2.92475e+00 | 3.02361e+00 | 3.10438e+00 | 4.23746e+00 | |
| Mean | 2.42963e+00 | 2.44267e+00 | 2.75207e+00 | 2.90602e+00 | 2.76218e+00 | 2.62672e+00 | 2.96914e+00 | 4.62706e+00 | 2.76473e+00 | 2.73652e+00 | 2.67790e+00 | 2.74856e+00 | 2.96439e+00 | 2.95392e+00 | 3.68263e+00 | |
| Std. | 3.35353e-02 | 4.85828e-02 | 8.11277e-03 | 1.41608e-01 | 4.09533e-02 | 1.19591e-01 | 1.89275e-02 | 1.93943e-01 | 3.34833e-02 | 1.96120e-01 | 8.77372e-02 | 6.73683e-02 | 4.49008e-02 | 1.04436e-01 | 2.76668e-01 | |
| 60 | Best | 3.70782e+00 | 3.71227e+00 | 4.51038e+00 | 4.63060e+00 | 4.51131e+00 | 3.86218e+00 | 5.11575e+00 | 7.95593e+00 | 4.50639e+00 | 8.76551e+00 | 4.25750e+00 | 4.49766e+00 | 5.12686e+00 | 4.91835e+00 | 6.23948e+00 |
| Worst | 4.15695e+00 | 4.25617e+00 | 4.55403e+00 | 5.22236e+00 | 4.91454e+00 | 4.84537e+00 | 5.16204e+00 | 8.86259e+00 | 5.02363e+00 | 1.10561e+01 | 4.86091e+00 | 4.89462e+00 | 5.21059e+00 | 5.84186e+00 | 8.64117e+00 | |
| Mean | 3.87064e+00 | 3.95329e+00 | 4.53216e+00 | 4.90928e+00 | 4.58364e+00 | 4.40985e+00 | 5.14784e+00 | 8.74873e+00 | 4.62033e+00 | 1.02349e+01 | 4.58760e+00 | 4.63640e+00 | 5.18204e+00 | 5.40936e+00 | 7.42693e+00 | |
| Std. | 1.45410e-01 | 1.67976e-01 | 1.29237e-02 | 2.00486e-01 | 9.84922e-02 | 2.45296e-01 | 1.26257e-02 | 2.06429e-01 | 1.31735e-01 | 5.48412e-01 | 1.90264e-01 | 1.26067e-01 | 2.27147e-02 | 2.73430e-01 | 7.61039e-01 | |
| 90 | Best | 5.03620e+00 | 5.17218e+00 | 6.29085e+00 | 6.63783e+00 | 6.26632e+00 | 6.45604e+00 | 7.24355e+00 | 1.19037e+01 | 6.25195e+00 | 1.86112e+01 | 6.01061e+00 | 6.24270e+00 | 7.27208e+00 | 7.56239e+000 | 1.03499e+01 |
| Worst | 5.61129e+00 | 6.10704e+00 | 6.56629e+00 | 7.17214e+00 | 6.79300e+00 | 7.34307e+00 | 7.29806e+00 | 1.26385e+01 | 6.70000e+00 | 2.05484e+01 | 6.98320e+00 | 7.02330e+00 | 7.33953e+00 | 8.62073e+00 | 1.22534e+01 | |
| Mean | 5.36272e+00 | 5.47085e+00 | 6.43876e+00 | 6.86873e+00 | 6.44597e+00 | 6.83742e+00 | 7.28132e+00 | 1.24897e+01 | 6.37801e+00 | 1.97401e+01 | 6.45996e+00 | 6.54829e+00 | 7.32062e+00 | 8.21006e+00 | 1.10281e+01 | |
| Std. | 1.30557e-01 | 2.02255e-01 | 8.43281e-02 | 1.65042e-01 | 1.22716e-01 | 2.47851e-01 | 1.25090e-02 | 2.19932e-01 | 1.22234e-01 | 6.45794e-01 | 2.74162e-01 | 1.86834e-01 | 1.83397e-02 | 3.13058e-01 | 5.36196e-01 |
| D | SMOBHC vs. SMO | SMOBHC vs. AHA | SMOBHC vs. AOS | SMOBHC vs. ARO | SMOBHC vs. SO | SMOBHC vs. BWO | SMOBHC vs. SCO | SMOBHC vs. GBO | SMOBHC vs. DMOA | SMOBHC vs. DO | SMOBHC vs. EO | SMOBHC vs. FHO | SMOBHC vs. WSO | SMOBHC vs. PDO | |
|---|---|---|---|---|---|---|---|---|---|---|---|---|---|---|---|
| 30 | 3.9417e-01 | 6.7956e-08 | 6.7860e-08 | 6.7956e-08 | 2.2178e-07 | 6.7956e-08 | 6.7956e-08 | 6.7956e-08 | 1.0646e-07 | 9.1728e-08 | 6.7956e-08 | 6.7956e-08 | 6.7956e-08 | 6.7956e-08 | |
| 0 | 1 | 1 | 1 | 1 | 1 | 1 | 1 | 1 | 1 | 1 | 1 | 1 | 1 | ||
| 60 | 1.3328e-01 | 6.7956e-08 | 6.7956e-08 | 6.7956e-08 | 2.9598e-07 | 6.7956e-08 | 6.7956e-08 | 6.7956e-08 | 6.7956e-08 | 6.7956e-08 | 6.7956e-08 | 6.7956e-08 | 6.7956e-08 | 6.7956e-08 | |
| 0 | 1 | 1 | 1 | 1 | 1 | 1 | 1 | 1 | 1 | 1 | 1 | 1 | 1 | ||
| 90 | 6.7868e-02 | 6.7956e-08 | 6.7956e-08 | 6.7956e-08 | 6.7956e-08 | 6.7956e-08 | 6.7956e-08 | 6.7956e-08 | 6.7956e-08 | 6.7956e-08 | 6.7956e-08 | 6.7956e-08 | 6.7956e-08 | 6.7956e-08 | |
| 0 | 1 | 1 | 1 | 1 | 1 | 1 | 1 | 1 | 1 | 1 | 1 | 1 | 1 | ||
| Diff (1) | 0 | 3 | 3 | 3 | 3 | 3 | 3 | 3 | 3 | 3 | 3 | 3 | 3 | 3 | |
| No diff (0) | 3 | 0 | 0 | 0 | 0 | 0 | 0 | 0 | 0 | 0 | 0 | 0 | 0 | 0 | |
| Best | 0 | 3 | 3 | 3 | 3 | 3 | 3 | 3 | 3 | 3 | 3 | 3 | 3 | 3 | |
Disclaimer/Publisher’s Note: The statements, opinions and data contained in all publications are solely those of the individual author(s) and contributor(s) and not of MDPI and/or the editor(s). MDPI and/or the editor(s) disclaim responsibility for any injury to people or property resulting from any ideas, methods, instructions or products referred to in the content. |
© 2023 by the authors. Licensee MDPI, Basel, Switzerland. This article is an open access article distributed under the terms and conditions of the Creative Commons Attribution (CC BY) license (https://creativecommons.org/licenses/by/4.0/).
Share and Cite
Allouani, F.; Abboudi, A.; Gao, X.-Z.; Bououden, S.; Boulkaibet, I.; Khezami, N.; Lajmi, F. A Spider Monkey Optimization Based on Beta-Hill Climbing Optimizer for Unmanned Combat Aerial Vehicle (UCAV). Appl. Sci. 2023, 13, 3273. https://doi.org/10.3390/app13053273
Allouani F, Abboudi A, Gao X-Z, Bououden S, Boulkaibet I, Khezami N, Lajmi F. A Spider Monkey Optimization Based on Beta-Hill Climbing Optimizer for Unmanned Combat Aerial Vehicle (UCAV). Applied Sciences. 2023; 13(5):3273. https://doi.org/10.3390/app13053273
Chicago/Turabian StyleAllouani, Fouad, Abdelaziz Abboudi, Xiao-Zhi Gao, Sofiane Bououden, Ilyes Boulkaibet, Nadhira Khezami, and Fatma Lajmi. 2023. "A Spider Monkey Optimization Based on Beta-Hill Climbing Optimizer for Unmanned Combat Aerial Vehicle (UCAV)" Applied Sciences 13, no. 5: 3273. https://doi.org/10.3390/app13053273
APA StyleAllouani, F., Abboudi, A., Gao, X.-Z., Bououden, S., Boulkaibet, I., Khezami, N., & Lajmi, F. (2023). A Spider Monkey Optimization Based on Beta-Hill Climbing Optimizer for Unmanned Combat Aerial Vehicle (UCAV). Applied Sciences, 13(5), 3273. https://doi.org/10.3390/app13053273






