Non-Extensive Statistical Mechanics in Acoustic Emissions: Detection of Upcoming Fracture in Rock Materials
Abstract
1. Introduction
2. Theoretical Preliminaries
3. Materials and Experimental Apparatus-Loading Protocols
Loading Protocols and Acoustic Activity
4. Results and Discussion
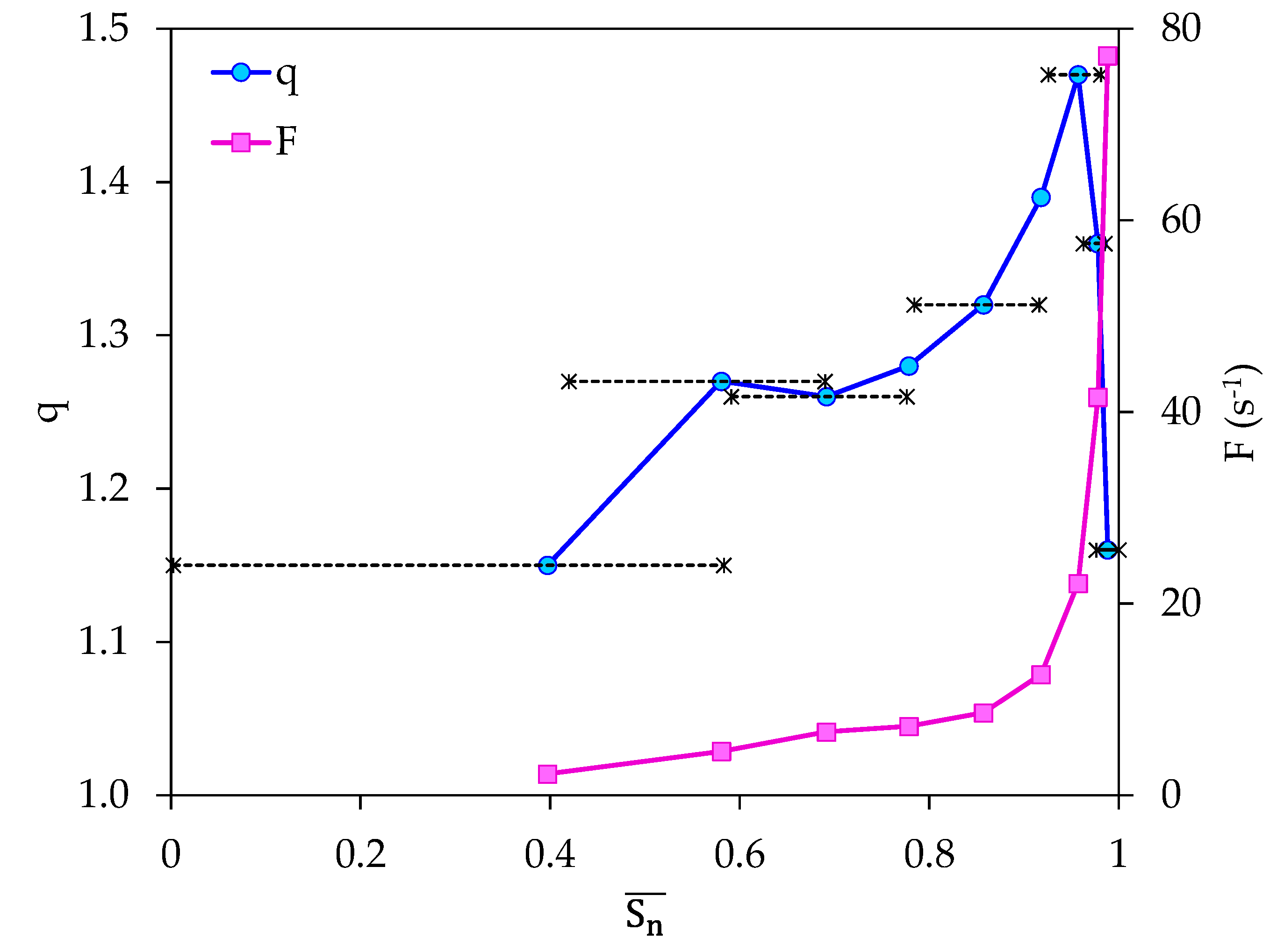
4.1. Using AE Time Intervals to Study the Variability of the Entropic Index q
4.2. The Variability of Index q
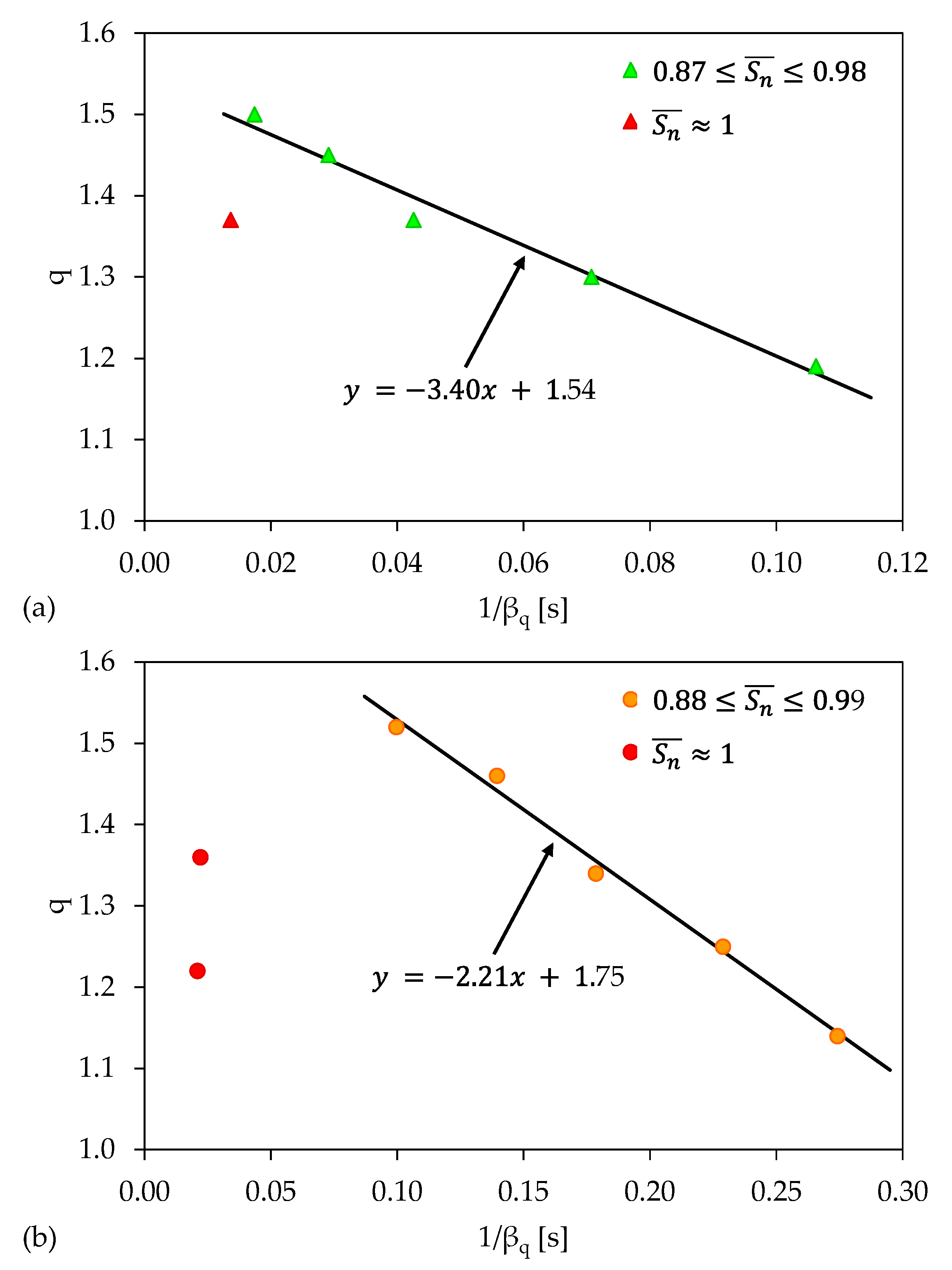
4.3. Correlation between q and βq
5. Conclusions
Author Contributions
Funding
Institutional Review Board Statement
Informed Consent Statement
Data Availability Statement
Conflicts of Interest
References
- Sammonds, P.R.; Meredith, P.G.; Main, I.G. Role of pore fluids in the generation of seismic precursors to shear fracture. Nature 1992, 359, 228–230. [Google Scholar] [CrossRef]
- Grosse, C.U.; Ohtsu, M.; Aggelis, D.G.; Shiotani, T. Acoustic Emission Testing, Basics for Research—Applications in Civil Engineering; Grosse, C.U., Ohtsu, M., Eds.; Springer: Berlin/Heidelberg, Germany, 2008; pp. 11–18. [Google Scholar]
- Calabrese, L.; Proverbio, E. A Review on the Applications of Acoustic Emission Technique in the Study of Stress Corrosion Cracking. Corros. Mater. Degrad. 2021, 2, 1–30. [Google Scholar] [CrossRef]
- Sagar, R.V.; Prasad, B.K.R. A review of recent developments in parametric based acoustic emission techniques applied to concrete structures. Nondestruct. Test. Eval. 2012, 27, 47–68. [Google Scholar] [CrossRef]
- Colombo, I.S.; Main, I.G.; Forde, M.C. Assessing Damage of Reinforced Concrete Beam Using “b-value” Analysis of Acoustic Emission Signals. J. Mater. Civ. Eng. 2003, 15, 280–286. [Google Scholar] [CrossRef]
- Aggelis, D.G. Classification of cracking mode in concrete by acoustic emission parameters. Mech. Res. Commun. 2011, 38, 153–157. [Google Scholar] [CrossRef]
- Rao, A.K. Acoustic Emission and Signal Analysis. Def. Sci. J. 2013, 40, 55–70. [Google Scholar] [CrossRef]
- Kourkoulis, S.K.; Pasiou, E.D.; Dakanali, I.; Stavrakas, I.; Triantis, D. Mechanical response of notched marble beams under bending versus acoustic emissions and electric activity. J. Theor. Appl. Mech. 2018, 56, 523–547. [Google Scholar] [CrossRef]
- Niu, Y.; Zhou, X.-P.; Zhou, L.-S. Fracture damage prediction in fissured red sandstone under uniaxial compression: Acoustic emission b-value analysis. Fatigue Fract. Eng. Mater. Struct. 2020, 43, 175–190. [Google Scholar] [CrossRef]
- Triantis, D.; Stavrakas, I.; Loukidis, A.; Pasiou, E.D.; Kourkoulis, S.K. Exploring the acoustic activity in brittle materials in terms of the position of the acoustic sources and the power of the acoustic signals—Part I: Founding the approach. Forces Mech. 2022, 7, 100088. [Google Scholar] [CrossRef]
- Gao, A.; Qi, C.; Shan, R.; Wang, C. Experimental Study on the Spatial—Temporal Failure Characteristics of Red Sandstone with a Cemented Structural Surface under Compression. ACS Omega 2022, 7, 20250–20258. [Google Scholar] [CrossRef]
- Wu, Y.; Li, X.-Z.; Huang, Z.; Xue, S. Effect of temperature on physical, mechanical and acoustic emission properties of Beishan granite, Gansu Province, China. Nat. Hazards 2021, 107, 1577–1592. [Google Scholar] [CrossRef]
- Loukidis, A.; Tzagkarakis, D.; Kyriazopoulos, A.; Stavrakas, I.; Triantis, D. Correlation of Acoustic Emissions with Electrical Signals in the Vicinity of Fracture in Cement Mortars Subjected to Uniaxial Compressive Loading. Appl. Sci. 2023, 13, 365. [Google Scholar] [CrossRef]
- Wei, H.; Zhang, H.; Li, J.; Zheng, J.; Ren, J. Effect of loading rate on failure characteristics of asphalt mixtures using acoustic emission technique. Constr. Build. Mater. 2023, 364, 129835. [Google Scholar] [CrossRef]
- Zang, A.; Christian Wagner, F.; Stanchits, S.; Dresen, G.; Andresen, R.; Haidekker, M.A. Source analysis of acoustic emissions in Aue granite cores under symmetric and asymmetric compressive loads. Geophys. J. Int. 1998, 135, 1113–1130. [Google Scholar] [CrossRef]
- Ostapchuk, A.A.; Morozova, K.G. On the Mechanism of Laboratory Earthquake Nucleation Highlighted by Acoustic Emission. Sci. Rep. 2020, 10, 7245. [Google Scholar] [CrossRef]
- Tsallis, C. Possible generalization of Boltzmann-Gibbs statistics. J. Stat. Phys. 1988, 52, 479–487. [Google Scholar] [CrossRef]
- Tsallis, C.; Baldovin, F.; Cerbino, R.; Pierobon, P. Introduction to Nonextensive Statistical Mechanics and Thermodynamics. In Volume 155: The Physics of Complex Systems (New Advances and Perspectives); IOS Press: Amsterdam, The Netherlands, 2003; pp. 229–252. [Google Scholar]
- Tsallis, C.; Brigatti, E. Nonextensive statistical mechanics: A brief introduction. Contin. Mech. Thermodyn. 2004, 16, 223–235. [Google Scholar] [CrossRef]
- Tsallis, C. Nonadditive entropy and nonextensive statistical mechanics—An overview after 20 years. Braz. J. Phys. 2009, 39, 337–356. [Google Scholar] [CrossRef]
- Tsallis, C. Introduction to Nonextensive Statistical Mechanics: Approaching a Complex World; Springer Science & Business Media: New York, NY, USA, 2009. [Google Scholar]
- Tsallis, C. On the foundations of statistical mechanics. Eur. Phys. J. Spec. Top. 2017, 226, 1433–1443. [Google Scholar] [CrossRef]
- Li, D.; Wang, E.; Li, Z.; Ju, Y.; Wang, D.; Wang, X. Experimental investigations of pressure stimulated currents from stressed sandstone used as precursors to rock fracture. Int. J. Rock Mech. Min. Sci. 2021, 145, 104841. [Google Scholar] [CrossRef]
- Loukidis, A.; Stavrakas, I.; Triantis, D. The relaxation processes of Pressure Stimulated Currents under the concept of Non-extensive statistical physics. Procedia Struct. Integr. 2020, 26, 277–284. [Google Scholar] [CrossRef]
- Vallianatos, F.; Benson, P.; Meredith, P.; Sammonds, P. Experimental evidence of a non-extensive statistical physics behaviour of fracture in triaxially deformed Etna basalt using acoustic emissions. EPL 2012, 97, 58002. [Google Scholar] [CrossRef]
- Vallianatos, F.; Triantis, D. Is pressure stimulated current relaxation in amphibolite a case of non-extensivity? EPL 2012, 99, 18006. [Google Scholar] [CrossRef]
- Stavrakas, I.; Triantis, D.; Kourkoulis, S.K.; Pasiou, E.D.; Dakanali, I. Acoustic Emission Analysis of Cement Mortar Specimens During Three Point Bending Tests. Lat. Am. J. Solids Struct. 2016, 13, 2283–2297. [Google Scholar] [CrossRef]
- Saltas, V.; Vallianatos, F.; Triantis, D.; Stavrakas, I. 8-Complexity in Laboratory Seismology: From Electrical and Acoustic Emissions to Fracture. In Complexity of Seismic Time Series; Chelidze, T., Vallianatos, F., Telesca, L., Eds.; Elsevier: Amsterdam, The Netherlands, 2018; pp. 239–273. [Google Scholar]
- Saltas, V.; Vallianatos, F.; Triantis, D.; Koumoudeli, T.; Stavrakas, I. Non-extensive statistical analysis of acoustic emissions series recorded during the uniaxial compression of brittle rocks. Phys. A Stat. Mech. Appl. 2019, 528, 121498. [Google Scholar] [CrossRef]
- Greco, A.; Tsallis, C.; Rapisarda, A.; Pluchino, A.; Fichera, G.; Contrafatto, L. Acoustic emissions in compression of building materials: Q-statistics enables the anticipation of the breakdown point. Eur. Phys. J. Spec. Top. 2020, 229, 841–849. [Google Scholar] [CrossRef]
- Loukidis, A.; Triantis, D.; Stavrakas, I. Non-Extensive Statistical Analysis of Acoustic Emissions Recorded in Marble and Cement Mortar Specimens Under Mechanical Load Until Fracture. Entropy 2020, 22, 1115. [Google Scholar] [CrossRef]
- Loukidis, A.; Triantis, D.; Stavrakas, I. Non-Extensive Statistical Analysis of Acoustic Emissions: The Variability of Entropic Index q during Loading of Brittle Materials Until Fracture. Entropy 2021, 23, 276. [Google Scholar] [CrossRef]
- Kourkoulis, S.K.; Loukidis, A.; Pasiou, E.D.; Stavrakas, I.; Triantis, D. Response of fiber reinforced concrete while entering into the critical stage: An attempt to detect pre-failure indicators in terms of Non-Extensive Statistical Mechanics. Theor. Appl. Fract. Mech. 2022, 123, 103690. [Google Scholar] [CrossRef]
- Abe, S.; Suzuki, N. Law for the distance between successive earthquakes. J. Geophys. Res. Solid Earth 2003, 108, 2113. [Google Scholar] [CrossRef]
- Abe, S.; Suzuki, N. Scale-free statistics of time interval between successive earthquakes. Phys. A Stat. Mech. Appl. 2005, 350, 588–596. [Google Scholar] [CrossRef]
- Hasumi, T. Interoccurrence time statistics in the two-dimensional Burridge-Knopoff earthquake model. Phys. Rev. E 2007, 76, 026117. [Google Scholar] [CrossRef] [PubMed]
- Darooneh, A.H.; Dadashinia, C. Analysis of the spatial and temporal distributions between successive earthquakes: Nonextensive statistical mechanics viewpoint. Phys. A Stat. Mech. Appl. 2008, 387, 3647–3654. [Google Scholar] [CrossRef]
- Sarlis, N.V.; Skordas, E.S.; Varotsos, P.A. Nonextensivity and natural time: The case of seismicity. Phys. Rev. E 2010, 82, 021110. [Google Scholar] [CrossRef] [PubMed]
- Kourkoulis, S.K.; Exadaktylos, G.E.; Vardoulakis, I. U-Notched Dionysos-Pentelicon Marble Beams in Three Point Bending: The Effect of Nonlinearity, Anisotropy and Microstructure. Int. J. Fract. 1999, 98, 369–392. [Google Scholar] [CrossRef]
- Exadaktylos, G.; Vardoulakis, I.; Kourkoulis, S. Influence of nonlinearity and double elasticity on flexure of rock beams—II. Characterization of Dionysos marble. Int. J. Solids Struct. 2001, 38, 4119–4145. [Google Scholar] [CrossRef]
- Triantis, D.; Kourkoulis, S. Fracture precursor phenomena in marble specimens under uniaxial compression by means of Acoustic Emission data. Frat. Integrita Strutt. 2019, 13, 537–547. [Google Scholar] [CrossRef]
- Pasiou, E.D.; Triantis, D. Correlation between the electric and acoustic signals emitted during compression of brittle materials. Frat. Integrita Strutt. 2017, 11, 41–51. [Google Scholar] [CrossRef]
- Triantis, D. Acoustic emission monitoring of marble specimens under uniaxial compression. Precursor phenomena in the near-failure phase. Procedia Struct. Integr. 2018, 10, 11–17. [Google Scholar] [CrossRef]
- Abramowitz, M.; Stegun, I.A. Handbook of Mathematical Functions with Formulas, Graphs and Mathematical Tables; Dover Publications, Inc.: New York, NY, USA, 1965. [Google Scholar]










| AE Hit Group | ||||
|---|---|---|---|---|
| 1 | 0.398 | 1.15 | 2.56 | 2.22 |
| 2 | 0.581 | 1.27 | 5.81 | 4.59 |
| 3 | 0.692 | 1.26 | 8.48 | 6.69 |
| 4 | 0.779 | 1.28 | 9.66 | 7.84 |
| 5 | 0.857 | 1.32 | 11.92 | 9.06 |
| 6 | 0.918 | 1.39 | 19.33 | 12.81 |
| 7 | 0.957 | 1.47 | 37.99 | 22.10 |
| 8 | 0.978 | 1.36 | 73.84 | 41.54 |
| 9 | 0.988 | 1.16 | 102.03 | 77.19 |
| Increasing Stress | Constant Stress | ||||||
|---|---|---|---|---|---|---|---|
| AE Hit Group | AE Hit Group | ||||||
| 1 | 0.868 | 1.19 | 9.41 | 1 | 0.881 | 1.14 | 3.65 |
| 2 | 0.910 | 1.30 | 14.14 | 2 | 0.924 | 1.25 | 4.37 |
| 3 | 0.940 | 1.37 | 23.50 | 3 | 0.948 | 1.34 | 5.60 |
| 4 | 0.964 | 1.45 | 34.36 | 4 | 0.971 | 1.46 | 7.17 |
| 5 | 0.982 | 1.50 | 57.50 | 5 | 0.986 | 1.52 | 10.04 |
| 6 | 0.997 | 1.37 | 73.49 | 6a | 1.000 | 1.36 | 42.64 |
| 6b | 1.000 | 1.22 | 47.99 | ||||
Disclaimer/Publisher’s Note: The statements, opinions and data contained in all publications are solely those of the individual author(s) and contributor(s) and not of MDPI and/or the editor(s). MDPI and/or the editor(s) disclaim responsibility for any injury to people or property resulting from any ideas, methods, instructions or products referred to in the content. |
© 2023 by the authors. Licensee MDPI, Basel, Switzerland. This article is an open access article distributed under the terms and conditions of the Creative Commons Attribution (CC BY) license (https://creativecommons.org/licenses/by/4.0/).
Share and Cite
Loukidis, A.; Stavrakas, I.; Triantis, D. Non-Extensive Statistical Mechanics in Acoustic Emissions: Detection of Upcoming Fracture in Rock Materials. Appl. Sci. 2023, 13, 3249. https://doi.org/10.3390/app13053249
Loukidis A, Stavrakas I, Triantis D. Non-Extensive Statistical Mechanics in Acoustic Emissions: Detection of Upcoming Fracture in Rock Materials. Applied Sciences. 2023; 13(5):3249. https://doi.org/10.3390/app13053249
Chicago/Turabian StyleLoukidis, Andronikos, Ilias Stavrakas, and Dimos Triantis. 2023. "Non-Extensive Statistical Mechanics in Acoustic Emissions: Detection of Upcoming Fracture in Rock Materials" Applied Sciences 13, no. 5: 3249. https://doi.org/10.3390/app13053249
APA StyleLoukidis, A., Stavrakas, I., & Triantis, D. (2023). Non-Extensive Statistical Mechanics in Acoustic Emissions: Detection of Upcoming Fracture in Rock Materials. Applied Sciences, 13(5), 3249. https://doi.org/10.3390/app13053249

