Modelling, Analysis and Performance of a Low Inertia AC-DC Microgrid
Abstract
1. Introduction
- This paper presents a comprehensive modelling of an AC-DC microgrid considering the interlinking voltage source converter equipped with an inertial support loop, the DC link dynamics, AC grid load modelling and synchronous generator dynamics (governor and the AVR dynamics).
- A new virtual inertia controller based on a high-pass filter (HPF) compensator is proposed and its dynamic performance is compared with the low-pass filter (LPF)-based virtual methods used in the literature; the advantages of the proposed method are highlighted, showing the differences between the two controllers.
- Using eigenvalue-based analysis, a stability analysis is provided to study the impact of the system parameters’ uncertainty on the entire system stability to demonstrate the interaction dynamics that arise after adding the virtual inertia loop.
- Finally, time domain simulations and performance check of the proposed method are presented, considering different operating scenarios.
2. System Model
2.1. Voltage Source Converter Model
2.2. Model of Induction Machine
2.3. Model of Diesel Generator
2.3.1. Generator Model
2.3.2. Governer and Engine Model
2.3.3. AVR Model
3. Stability Analysis
3.1. Impact of Cdc Variation
3.2. Impact of DC Loading Variation
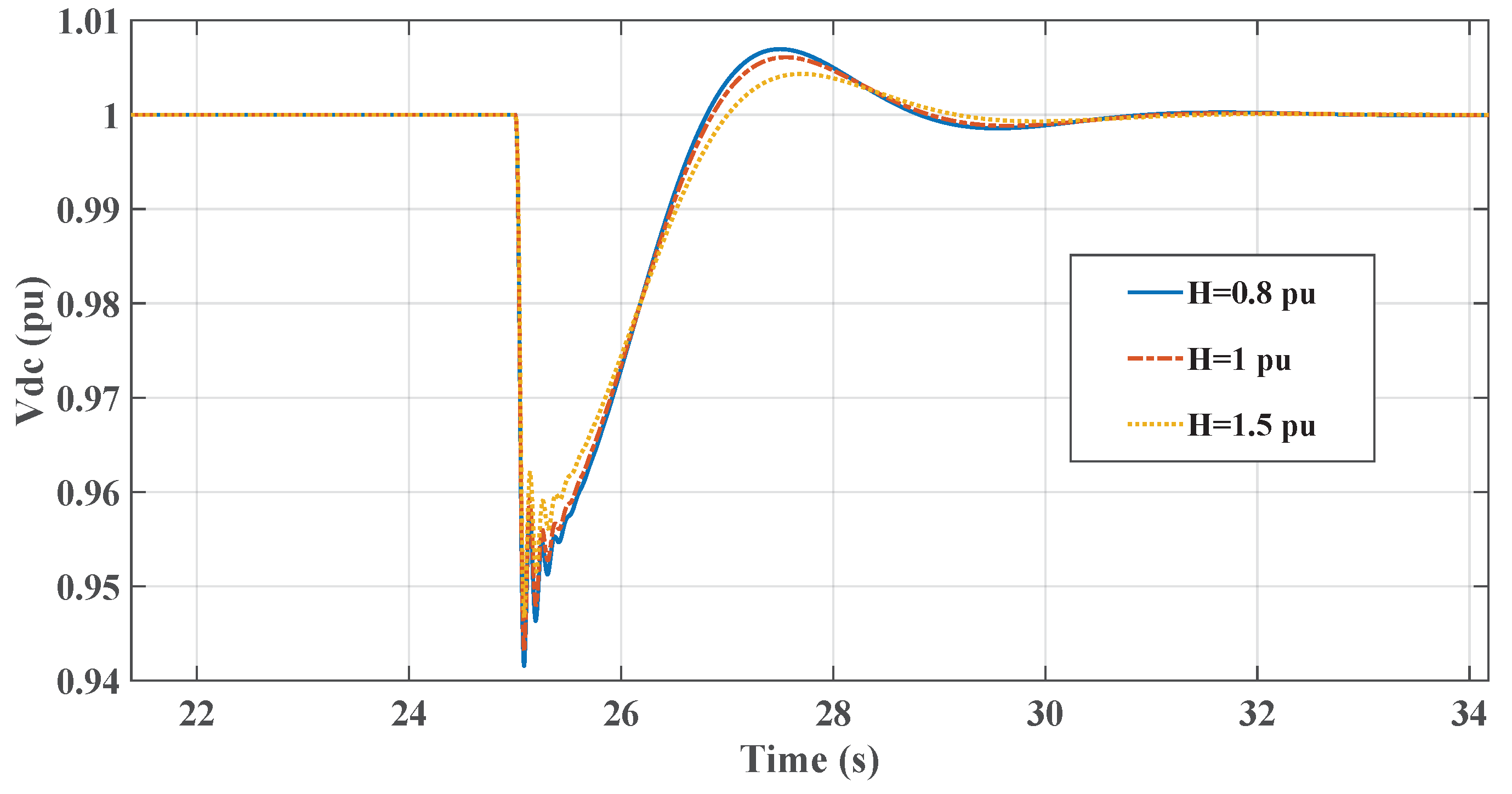
3.3. Impact of Generator Inertia Variation
3.4. Impact of AC Loading Variation
3.5. Impact of Inertial Loop Gain Variation
4. Simulation Results
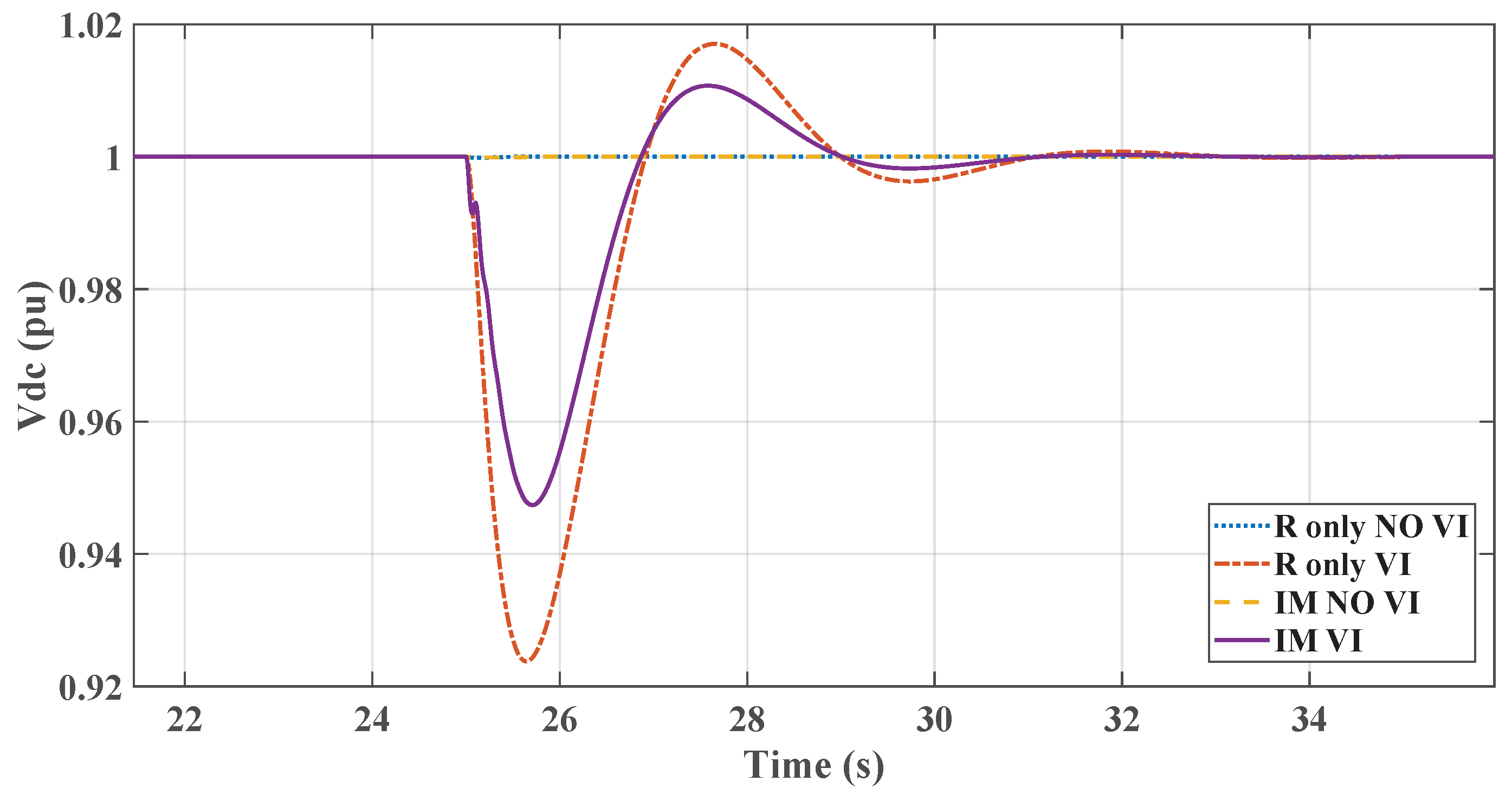
4.1. Model Verification
4.2. Comparison between LPF- and HPF-Based VI Controllers
4.3. Dynamic Loading Effect
4.4. Effect of Network System Parameters
5. Conclusions
Author Contributions
Funding
Institutional Review Board Statement
Informed Consent Statement
Data Availability Statement
Conflicts of Interest
References
- Denholm, P.; Mai, T.; Kenyon, R.; Kroposki, B.; O’Malley, M. Inertia and the Power Grid: A Guide Without the Spin; Technical Report; National Renewable Energy Lab. (NREL): Golden, CO, USA, 2020. [Google Scholar]
- Khazaei, J.; Tu, Z.; Liu, W. Small-signal modeling and analysis of virtual inertia-based PV systems. IEEE Trans. Energy Convers. 2020, 35, 1129–1138. [Google Scholar] [CrossRef]
- Ratnam, K.; Kaliannan, P. Emulated Inertia Control for the Stand-Alone Microgrid with High Penetration of Renewable Energy Sources. Int. J. Renew. Energy Res. 2020, 10, 831. [Google Scholar]
- Bašakarad, T.; Holjevac, N.; Kuzle, I.; Ivanković, I.; Zovko, N. Rocof Importance in Electric Power Systems with High Renewables Share: A Simulation Case for Croatia. In Proceedings of the 12th Mediterranean Conference on Power Generation, Transmission, Distribution and Energy Conversion (MEDPOWER 2020), Online, 9–12 November 2020. [Google Scholar]
- Chen, T.; Guo, J.; Chaudhuri, B.; Hui, S.Y. Virtual inertia from smart loads. IEEE Trans. Smart Grid 2020, 11, 4311–4320. [Google Scholar] [CrossRef]
- Ortega, Á.; Milano, F. Combined Frequency and RoCoF Control of Converter-Interfaced Energy Storage Systems. IFAC-PapersOnLine 2019, 52, 240–245. [Google Scholar] [CrossRef]
- Saeedian, M.; Eskandari, B.; Taheri, S.; Hinkkanen, M.; Pouresmaeil, E. A control technique based on distributed virtual inertia for high penetration of renewable energies under weak grid conditions. IEEE Syst. J. 2021, 15, 1825–1834. [Google Scholar] [CrossRef]
- Fang, J.; Li, H.; Tang, Y.; Blaabjerg, F. On the inertia of future more-electronics power systems. IEEE J. Emerg. Sel. Top. Power Electron. 2019, 7, 2130–2146. [Google Scholar] [CrossRef]
- 946-2020; IEEE Recommended Practice for the Design of DC Auxiliary Power Systems for Generating Stations, in IEEE Std 946-2020 (Revision of IEEE Std 946-2004). IEEE: Manhattan, NY, USA, 23 September 2020.
- D’Arco, S.; Suul, J.A.; Fosso, O.B. A Virtual Synchronous Machine implementation for distributed control of power converters in SmartGrids. Electr. Power Syst. Res. 2015, 122, 180–197. [Google Scholar] [CrossRef]
- Abuagreb, M.; Allehyani, M.F.; Johnson, B.K. Overview of Virtual Synchronous Generators: Existing Projects, Challenges and Future Trends. Electronics 2022, 11, 2843. [Google Scholar] [CrossRef]
- Liu, Y.; Hao, M.; He, Y.; Zang, C.; Zeng, P. Review and Applications of Virtual Synchronous Machines Technologies. In Proceedings of the 2019 IEEE Innovative Smart Grid Technologies—Asia (ISGT Asia), Chengdu, China, 21–24 May 2019. [Google Scholar]
- Pan, D.; Wang, X.; Liu, F.; Shi, R. Transient Stability of Voltage-Source Converters With Grid-Forming Control: A Design-Oriented Study. IEEE J. Emerg. Sel. Top. Power Electron. 2020, 8, 1019–1033. [Google Scholar] [CrossRef]
- Fang, J.; Li, H.; Tang, Y.; Blaabjerg, F. Distributed power system virtual inertia implemented by grid-connected power converters. IEEE Trans. Power Electron. 2018, 33, 8488–8499. [Google Scholar] [CrossRef]
- Rocabert, J.; Capo-Misut, R.; Munoz-Aguilar, R.S.; Candela, J.I.; Rodriguez, P. Control of Energy Storage System Integrating Electrochemical Batteries and Supercapacitors for Grid-Connected Applications. IEEE Trans. Ind. Appl. 2019, 55, 1853–1862. [Google Scholar] [CrossRef]
- Zhang, M.; Liu, Y.; Li, D.; Cui, X.; Wang, L.; Li, L.; Wang, K. Electrochemical Impedance Spectroscopy: A New Chapter in the Fast and Accurate Estimation of the State of Health for Lithium-Ion Batteries. Energies 2023, 16, 1599. [Google Scholar] [CrossRef]
- Abuagreb, M.; Abuhussein, A.; AlZahir, S. Sizing of Energy Storage System for Virtual Inertia Emulation. In Proceedings of the 2022 IEEE 31st International Symposium on Industrial Electronics (ISIE), Anchorage, AK, USA, 1–3 June 2022. [Google Scholar]
- Zhang, C.; Rakhshani, E.; Kumar, N.V.; Rueda-Torres, J.L.; Palensky, P.; Gonzalez-Longatt, F. Real-time simulation Model of Ultracapacitors for Frequency Stability Support from Wind Generation. In Proceedings of the IECON 2021—47th Annual Conference of the IEEE Industrial Electronics Society, Toronto, ON, Canada, 13–16 October 2021. [Google Scholar]
- Hadavi, S.; Mansour, M.Z.; Bahrani, B. Optimal Allocation and Sizing of Synchronous Condensers in Weak Grids With Increased Penetration of Wind and Solar Farms. IEEE J. Emerg. Sel. Top. Circuits Syst. 2021, 11, 199–209. [Google Scholar] [CrossRef]
- Mehrabankhomartash, M.; Saeedifard, M.; Yazdani, A. Adjustable wind farm frequency support through multi-terminal HVDC grids. IEEE Trans. Sustain. Energy 2021, 12, 1461–1472. [Google Scholar] [CrossRef]
- Vennelaganti, S.G.; Chaudhuri, N.R. Stability criterion for inertial and primary frequency droop control in MTDC grids with implications on ratio-based frequency support. IEEE Trans. Power Syst. 2020, 35, 3541–3551. [Google Scholar] [CrossRef]
- Wang, W.; Li, Y.; Cao, Y.; Hager, U.; Rehtanz, C. Adaptive droop control of VSC-MTDC system for frequency support and power sharing. IEEE Trans. Power Syst. 2018, 33, 1264–1274. [Google Scholar] [CrossRef]
- Martinez Sanz, I.; Chaudhuri, B.; Strbac, G. Inertial response from offshore wind farms connected through DC grids. IEEE Trans. Power Syst. 2015, 30, 1518–1527. [Google Scholar] [CrossRef]
- Zhu, J.; Booth, C.D.; Adam, G.P.; Roscoe, A.J.; Bright, C.G. Inertia emulation control strategy for VSC-HVDC transmission systems. IEEE Trans. Power Syst. 2013, 28, 1277–1287. [Google Scholar] [CrossRef]
- Chen, D.; Xu, Y.; Huang, A.Q. Integration of DC microgrids as virtual synchronous machines into the AC grid. IEEE Trans. Ind. Electron. 2017, 64, 7455–7466. [Google Scholar] [CrossRef]
- Yana, S.; James, A.F.; Emhemed, A.; Burt, G. Decentralised Control of DC Microgrid Based on Virtual Admittance to Enhance DC Voltage and Grid Frequency Support. In Proceedings of the 2018 53rd International Universities Power Engineering Conference (UPEC), Glasgow, UK, 4–7 September 2018. [Google Scholar]
- Han, Y.; Li, H.; Shen, P.; Coelho, E.A.A.; Guerrero, J.M. Review of Active and Reactive Power Sharing Strategies in Hierarchical Controlled Microgrids. IEEE Trans. Power Electron. 2017, 32, 2427–2451. [Google Scholar] [CrossRef]
- Florida-James, A.; Yana, S.; Emhemed, A.; Burt, G. Investigation of a decentralised control strategy for grid frequency support from DC microgrids. J. Eng. 2019, 2019, 5099–5103. [Google Scholar] [CrossRef]
- AbuHussein, A.; Ingalls, N.; Sadi, M.A.H.; AbuAgreb, M. Transient Stability Microgrid Model for Arctic Community Integration. In Proceedings of the 2020 IEEE/PES Transmission and Distribution Conference and Exposition (T&D), Chicago, IL, USA, 12–15 October 2020. [Google Scholar]
- Mohamad, A.M.E.I.; Mohamed, Y.A.R.I. Investigation and Assessment of Stabilization Solutions for DC Microgrid With Dynamic Loads. IEEE Trans. Smart Grid 2019, 10, 5735–5747. [Google Scholar] [CrossRef]
- Kundur, P. Power System Stability and Control; McGraw-Hill Professional: New York, NY, USA, 1994. [Google Scholar]
- Sauer, P.W.; Pai, M.A. Power System Dynamics and Stability; Pearson: Upper Saddle River, NJ, USA, 1997. [Google Scholar]
- Mohamad, A.M.I.; Mohamed, Y.A.R.I. Analysis and Mitigation of Interaction Dynamics in Active DC Distribution Systems with Positive Feedback Islanding Detection Schemes. IEEE Trans. Power Electron. 2018, 33, 2751–2773. [Google Scholar] [CrossRef]
Parameter | Value (pu) | Parameter | Value (pu) |
---|---|---|---|
H | 1.5 | D | 1.33 |
0.0095 | 2.11 | ||
0.17 | 0.13 | ||
1.56 | 1.56 | ||
0.23 | 0.05 | ||
4.4849 | 0.0681 | ||
0.33 ∗ 0.00001 | 0.1 |
Parameter | Value | Parameter | Value |
---|---|---|---|
AC Grid Rated voltage | 400 V | DC microgrid Resistive Load Rdc | 0.5 MW |
AC Grid Rated Power | 2 MVA | Current controller bandwidth 1/ | 2000 |
Rated angular frequency | 2 ∗ 50 | DC bus capacitance Cdc | 0.012 F |
Base impedance | 0.4 | HPF corner frequency | 2 ∗ 5 rad/sec |
DC Link Voltage controller gain: kpc, kic | 1.75, 50 | HPF gain | 5 ∗ 1800 ∗ 6 |
DC Bus voltage | 1800 V | LPF corner frequency | 2 ∗ 5 rad/sec |
Eigenvalues | Eigenvalues | ||
---|---|---|---|
1, 2 | −1927.6 ± 508.57i | 13 | −12.773 |
3, 4 | −108.51 ± 436.31i | 14, 15 | −2.8705 ± 2.8075i |
5 | −199.38 | 16, 17 | −0.83376 ± 1.4659i |
6 | −115.12 | 18 | |
7, 8 | −8.6252 ± 54.647i | 19 | −0.94987 |
9 | −37.117 | 20 | −1.1079 |
10 | −28.439 | 21 | |
11 | −26.636 | 22 | −0.4899 |
12 | −15.862 |
R Only without VI | R Only with VI | IM without VI | IM with VI | |
---|---|---|---|---|
Nadir | 0.9946 | 0.9972 | 0.9966 | 0.9982 |
RoCoF | 4.912/kS | 1.496/kS | 3.852/kS | 0.983 |
Disclaimer/Publisher’s Note: The statements, opinions and data contained in all publications are solely those of the individual author(s) and contributor(s) and not of MDPI and/or the editor(s). MDPI and/or the editor(s) disclaim responsibility for any injury to people or property resulting from any ideas, methods, instructions or products referred to in the content. |
© 2023 by the authors. Licensee MDPI, Basel, Switzerland. This article is an open access article distributed under the terms and conditions of the Creative Commons Attribution (CC BY) license (https://creativecommons.org/licenses/by/4.0/).
Share and Cite
Afifi, M.A.; Marei, M.I.; Mohamad, A.M.I. Modelling, Analysis and Performance of a Low Inertia AC-DC Microgrid. Appl. Sci. 2023, 13, 3197. https://doi.org/10.3390/app13053197
Afifi MA, Marei MI, Mohamad AMI. Modelling, Analysis and Performance of a Low Inertia AC-DC Microgrid. Applied Sciences. 2023; 13(5):3197. https://doi.org/10.3390/app13053197
Chicago/Turabian StyleAfifi, Mohamed A., Mostafa I. Marei, and Ahmed M. I. Mohamad. 2023. "Modelling, Analysis and Performance of a Low Inertia AC-DC Microgrid" Applied Sciences 13, no. 5: 3197. https://doi.org/10.3390/app13053197
APA StyleAfifi, M. A., Marei, M. I., & Mohamad, A. M. I. (2023). Modelling, Analysis and Performance of a Low Inertia AC-DC Microgrid. Applied Sciences, 13(5), 3197. https://doi.org/10.3390/app13053197